Image-Based Visual Servoing for Quadrotor Formation Encirclement and Tracking of Unknown Targets
Abstract
1. Introduction
2. Preliminaries
2.1. Coordinate Frame Description
2.2. Quadrotor Model
2.3. IBVS Framework
2.4. Basic Concepts of Graph Theory
2.5. Problem Statement
3. Control Method Design
3.1. Target Velocity Estimation via IMM Filter
3.2. Formation Encirclement Controller Based on IBVS
3.3. CBF-Based Collision Avoidance for Quadrotors
3.4. Image-Coordinate Prediction of Quadrotors in the Field of View
4. Simulation Experiments
4.1. Position and Velocity Estimation of the Maneuvering Target
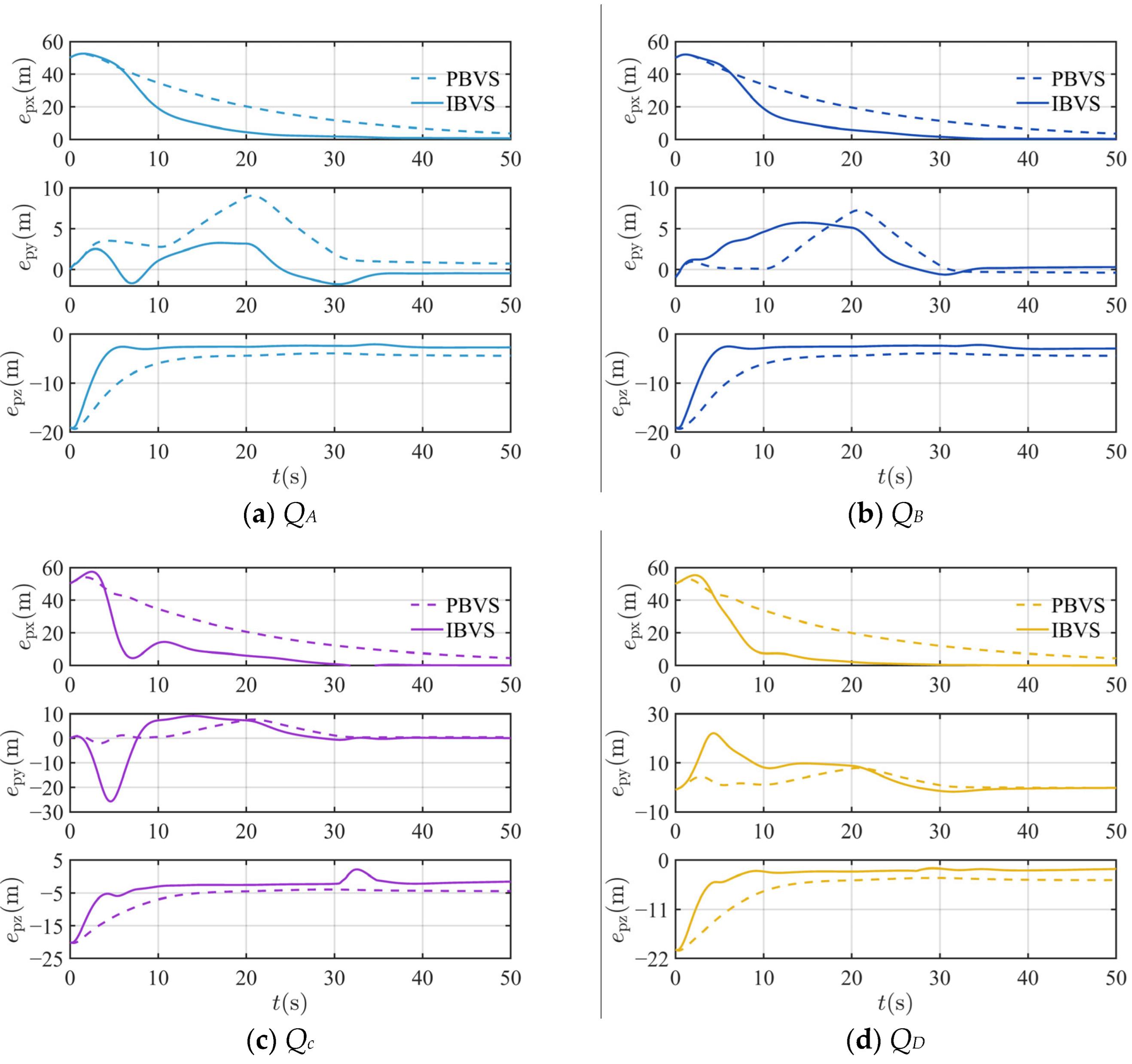
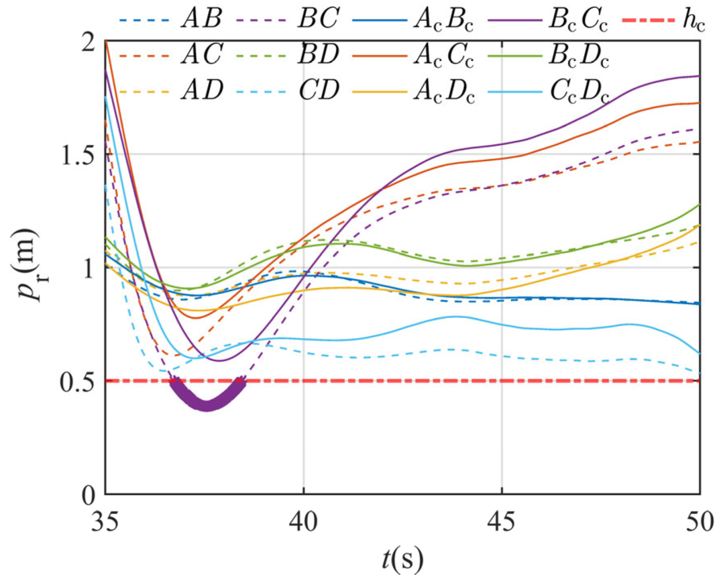
4.2. Simulation of Encirclement and Tracking Control of Mobile Targets
5. Conclusions
Author Contributions
Funding
Data Availability Statement
Conflicts of Interest
Nomenclature
| T | the position of the target | the state transition matrix | |
| the rotation matrix | zero-mean Gaussian process noise | ||
| the gravitational constant | the process covariance matrix | ||
| virtual image coordinates | the measurement matrix | ||
| real image coordinates | zero-mean Gaussian measurement noise | ||
| the position of the quadrotor | Standard error | ||
| the velocity of the quadrotor | the measurement noise covariance | ||
| the velocity of the quadrotor in the BCS | the relative position in the VCS | ||
| the angular velocity | the relative position in the ECS | ||
| the skew-symmetric matrix generated by | the depth-direction error | ||
| the thrust force | the initial desired position errors | ||
| the torque | the final desired position errors | ||
| the disturbance force | the time decay rate | ||
| the disturbance torque | the yaw-angle error | ||
| the mass of the quadrotor | the desired yaw-angle | ||
| the moment of inertia of the quadrotor | the yaw-angle | ||
| the velocity of the quadrotor in the CCS | the virtual image error | ||
| the image feature | the control gain coefficient | ||
| the camera focal length | |||
| the relative position in the camera frame | the Moore–Penrose pseudoinverse of | ||
| the interaction matrix | the relative position error vector of all nodes | ||
| the control gain coefficient | |||
| the desired image feature | the estimated target velocity | ||
| the IBVS control law | a positive-definite function | ||
| a gain coefficient | the Hessian matrix | ||
| the Moore–Penrose inverse of | the minimum eigenvalue | ||
| the relative position vector | the maximum eigenvalue | ||
| the velocity vector | |||
| the interaction matrix | |||
| the Moore–Penrose inverse of | |||
| the velocity in the VCS | |||
| the control law based on virtual camera model | |||
| A graph | |||
| a vertex set | |||
| an edge set | |||
| the Laplacian matrix | |||
| the adjacency matrix | |||
| the degree matrix | |||
| N | the number of quadrotors | ||
| the positions of all nodes | gradient | ||
| the distance between any two nodes i and j | |||
| time | |||
| the position of the target in the CCS | the Lyapunov function candidate | ||
| image-plane coordinates | identity matrix | ||
| image-plane coordinates | |||
| the position of the target | |||
| its initial velocity | |||
| the target acceleration | |||
| the variation in tracking error | |||
| the desired interagent distance | |||
| the safety distance | |||
| the state vector | |||
| model probabilities likelihoods | |||
| A priori state vector | the maximum allowable velocity | ||
| the measurement vector | the right-hand side expression in (33) | ||
| The likelihood of model i conditional on model j. | a threshold radius | ||
| the mixed initial state estimate | the percentage of improvement | ||
| estimation error covariance | ,,, | quadrotors | |
| the overall state estimate | ,,, | initial positions | |
| the overall covariance | ,,, | the desired yaw angles |
References
- Li, Q.; Lu, X.; Wang, Y. A Novel Hierarchical Distributed Robust Formation Control Strategy for Multiple Quadrotor Aircrafts. IEEE Trans. Syst. Man Cybern. Syst. 2025, 55, 6450–6462. [Google Scholar] [CrossRef]
- Liu, K.; Yang, W.; Jiao, L.; Yuan, Z.; Wen, C.Y. Fast Fixed-Time Distributed Neural Formation Control-based Disturbance Observer for Multiple Quadrotor UAVs Under Unknown Disturbances. IEEE Trans. Aerosp. Electron. Syst. 2025, 61, 13137–13155. [Google Scholar] [CrossRef]
- Huang, Y.; Xu, X.; Meng, Z.; Sun, J. A Smooth Distributed Formation Control Method for Quadrotor UAVs Under Event-Triggering Mechanism and Switching Topologies. IEEE Trans. Vehic. Technol. 2025, 74, 10081–10091. [Google Scholar] [CrossRef]
- Liu, H.; Li, B.; Ahn, C.K. Asymptotically stable learning-based formation control for multi-quadrotor UAVs. IEEE Internet Things J. 2025, 12, 24985–24995. [Google Scholar] [CrossRef]
- Doakhan, M.; Kabganian, M.; Azimi, A. Aerial Payload Transportation with Energy-Efficient Flexible Formation Control of Quadrotors. Eur. J. Control 2025, 86, 101406. [Google Scholar] [CrossRef]
- Upadhyay, J.; Rawat, A.; Deb, D. Multiple drone navigation and formation using selective target tracking-based computer vision. Electronics 2021, 10, 2125. [Google Scholar] [CrossRef]
- Seidaliyeva, U.; Ilipbayeva, L.; Taissariyeva, K.; Smailov, N.; Matson, E.T. Advances and Challenges in Drone Detection and Classification Techniques: A State-of-the-Art Review. Sensors 2024, 24, 125. [Google Scholar] [CrossRef] [PubMed]
- García, M.; Caballero, R.; González, F.; Viguria, A.; Ollero, A. Autonomous drone with ability to track and capture an aerial target. In Proceedings of the 2020 International Conference on Unmanned Aircraft Systems (ICUAS), Athens, Greece, 1–4 September 2020; IEEE: New York, NY, USA, 2020; pp. 32–40. [Google Scholar]
- Yang, L.; Wang, X.; Liu, Z.; Shen, L. Robust Online Predictive Visual Servoing for Autonomous Landing of a Rotor UAV. IEEE Trans. Intell. Veh. 2025, 10, 2818–2835. [Google Scholar] [CrossRef]
- Li, W.; Ma, Y.; Zhang, Y.; Li, B.; Shi, Y.; Chu, L. A Multiangle Observation and Imaging Method for UAV Swarm SAR Based on Consensus Constraints. IEEE Sens. J. 2025, 25, 19776–19793. [Google Scholar] [CrossRef]
- Yang, K.; Bai, C.; Quan, Q. Multiview Target Estimation for Multicopter Swarm Interception. IEEE Trans. Instrum. Meas. 2025, 74, 5023312. [Google Scholar] [CrossRef]
- Tao, Y.; Chen, S.; Huo, X. Image-Based Visual Servo Control of a Quadrotor under Field of View Constraints Using a Pan-Tilt Camera. In Proceedings of the 39th Chinese Control Conference (CCC), Shenyang, China, 27–29 July 2020; IEEE: New York, NY, USA, 2020; pp. 3518–3523. [Google Scholar]
- Lin, F.; Peng, K.; Dong, X.; Zhao, S.; Chen, B.M. Vision-based formation for UAVs. In Proceedings of the 11th IEEE International Conference on Control & Automation (ICCA), Taichung, Taiwan, 18–20 June 2014; IEEE: New York, NY, USA, 2014; pp. 1375–1380. [Google Scholar]
- Vrba, M.; Stasinchuk, Y.; Báča, T.; Spurný, V.; Petrlík, M.; Heřt, D.; Žaitlík, D.; Saska, M. Autonomous capture of agile flying objects using UAVs: The MBZIRC 2020 challenge. Rob. Auton. Syst. 2022, 149, 103970. [Google Scholar] [CrossRef]
- Ma, J.; Chen, P.; Xiong, X.; Zhang, L.; Yu, S.; Zhang, D. Research on vision-based servoing and trajectory prediction strategy for capturing illegal drones. Drones 2024, 8, 127. [Google Scholar] [CrossRef]
- Su, Y.X.; Zheng, C.H.; Müller, P.C.; Duan, B.Y. A simple improved velocity estimation for low-speed regions based on position measurements only. IEEE Trans. Control Syst. Technol. 2006, 14, 937–942. [Google Scholar] [CrossRef]
- Pliska, M.; Vrba, M.; Báča, T.; Saska, M. Towards safe mid-air drone interception: Strategies for tracking & capture. IEEE Robot. Autom. Lett. 2024, 10, 8810–8817. [Google Scholar] [CrossRef]
- Fan, X.; Wang, G.; Han, J.; Wang, Y. Interacting multiple model based on maximum correntropy Kalman filter. IEEE Trans. Circuits Syst. II Exp. Briefs 2021, 68, 3017–3021. [Google Scholar] [CrossRef]
- Yunita, M.; Suryana, J.; Izzuddin, A. Error performance analysis of IMM-Kalman filter for maneuvering target tracking application. In Proceedings of the 2020 6th International Conference on Wireless and Telematics (ICWT), Yogyakarta, Indonesia, 3–4 September 2020; IEEE: New York, NY, USA, 2020; pp. 1–6. [Google Scholar]
- Leomanni, M.; Ferrante, F.; Dionigi, A.; Costante, G.; Valigi, P.; Fravolini, M.L. Quadrotor Control System Design for Robust Monocular Visual Tracking. IEEE Trans. Control Syst. Technol. 2024, 32, 1995–2008. [Google Scholar] [CrossRef]
- Lin, J.; Miao, Z.; Wang, Y.; Wang, H.; Wang, X.; Fierro, R. Vision-Based Safety-Critical Landing Control of Quadrotors with External Uncertainties and Collision Avoidance. IEEE Trans. Control Syst. Technol. 2024, 32, 1310–1322. [Google Scholar] [CrossRef]
- Zhao, W.; Liu, H.; Lewis, F.L.; Valavanis, K.P.; Wang, X. Robust Visual Servoing Control for Ground Target Tracking of Quadrotors. IEEE Trans. Control Syst. Technol. 2019, 28, 1980–1987. [Google Scholar] [CrossRef]
- Bastourous, M.; Al-Tuwayyij, J.; Guérin, F.; Guinand, F. Image based visual servoing for multi aerial robots formation. In Proceedings of the 28th Mediterranean Conference on Control and Automation (MED), Saint-Raphaël, France, 15–18 September 2020; IEEE: New York, NY, USA, 2020; pp. 115–120. [Google Scholar]
- Wang, C.; Sun, Y.; Ma, X.; Chen, Q.; Gao, Q.; Liu, X. Multi-agent dynamic formation interception control based on rigid graph. Complex Intell. Syst. 2024, 10, 5585–5598. [Google Scholar] [CrossRef]
- Karras, G.C.; Bechlioulis, C.P.; Fourlas, G.K.; Kyriakopoulos, K.J. Formation control and target interception for multiple multi-rotor aerial vehicles. In Proceedings of the 2020 International Conference on Unmanned Aircraft Systems (ICUAS), Athens, Greece, 1–4 September 2020; IEEE: New York, NY, USA, 2020; pp. 85–92. [Google Scholar]
- Rothe, J.; Strohmeier, M.; Montenegro, S. Autonomous Multi-UAV Net Defense System for Aerial Drone Interception. In Proceedings of the 2025 10th International Conference on Control and Robotics Engineering (ICCRE), Nagoya, Japan, 9–11 May 2025; IEEE: New York, NY, USA, 2025; pp. 171–177. [Google Scholar]
- Wu, A.; Yang, R.; Li, H.; Lv, M. A specified-time cooperative optimal control approach to unmanned aerial vehicle swarms. In Proceedings of the 2023 9th International Conference on Control, Automation and Robotics (ICCAR), Beijing, China, 21–23 April 2023; IEEE: New York, NY, USA, 2023; pp. 163–169. [Google Scholar]
- Montijano, E.; Cristofalo, E.; Zhou, D.; Schwager, M.; Sagues, C. Vision-based distributed formation control without an external positioning system. IEEE Trans. Robot. 2016, 32, 339–351. [Google Scholar] [CrossRef]
- Chaumette, F.; Hutchinson, S. Visual servo control. I. Basic approaches. IEEE Robot. Autom. Mag. 2006, 13, 82–90. [Google Scholar] [CrossRef]
- Chavez-Aparicio, E.I.; Becerra, H.M.; Hayet, J.B. A Novel Consensus-Based Formation Control Scheme in the Image Space. IEEE Control Syst. Lett. 2024, 8, 2769–2774. [Google Scholar] [CrossRef]
- Li, X.R.; Jilkov, V.P. Survey of maneuvering target tracking. Part V. Multiple-model methods. IEEE Trans. Aerosp. Electron. Syst. 2005, 41, 1255–1321. [Google Scholar] [CrossRef]
- Lee, J.; Lee, D.; Wang, Z.; Wong, K.C.; So, S. Vision-based position and velocity estimation of an intruder drone by multiple detector drones. In Proceedings of the Asia Pacific International Symposium On Aerospace Technology (APISAT 2024), Adelaide, South Australia, 5–8 November 2024; pp. 1748–1754. [Google Scholar]
- Xu, Y.; Qu, Y.; Luo, D.; Duan, H.; Guo, Z. Distributed predefined-time estimator-based affine formation target-enclosing maneuver control for cooperative underactuated quadrotor UAVs with fault-tolerant capabilities. Chin. J. Aeronaut. 2025, 38, 103042. [Google Scholar] [CrossRef]
- Wang, L.; Ames, A.D.; Egerstedt, M. Safety barrier certificates for collisions-free multirobot systems. IEEE Trans. Robot. 2017, 33, 661–674. [Google Scholar] [CrossRef]
- Zheng, C.; Mi, Y.; Guo, H.; Chen, H.; Zhao, S. Vision-Based Cooperative MAV-Capturing-MAV. arXiv 2025, arXiv:2503.06412. [Google Scholar] [CrossRef]








| Estimation Methods | MPE (m) | MVE (m/s) | MAPE (m/s) | MAVE (m/s) |
|---|---|---|---|---|
| IMM | 0.4998 | 1.5195 | 0.4579 | 1.3535 |
| EKF | 0.5840 | 2.0660 | 0.4583 | 1.7637 |
| t (s) | Positional (m) | Velocity (m/s) | ||
|---|---|---|---|---|
| IMM | EKF | IMM | EKF | |
| 1 | 0.3808 | 0.2536 | 0.3223 | 0.4065 |
| 5 | 0.4898 | 0.2720 | 0.6200 | 0.1376 |
| 10 | 0.6591 | 0.6965 | 2.0633 | 2.9200 |
| 15 | 0.2455 | 0.5201 | 0.7774 | 2.4286 |
| 20 | 0.5531 | 0.8371 | 1.5813 | 3.0512 |
| t (s) | Positional (m) | Velocity (m/s) | ||
|---|---|---|---|---|
| IMM | EKF | IMM | EKF | |
| 0–5 | 0.4459 | 0.4464 | 0.6754 | 0.4346 |
| 5–10 | 0.4221 | 0.4235 | 1.3766 | 1.5855 |
| 10–15 | 0.4750 | 0.4761 | 1.6717 | 2.3067 |
| 15–20 | 0.4885 | 0.4901 | 1.6901 | 2.7280 |
Disclaimer/Publisher’s Note: The statements, opinions and data contained in all publications are solely those of the individual author(s) and contributor(s) and not of MDPI and/or the editor(s). MDPI and/or the editor(s) disclaim responsibility for any injury to people or property resulting from any ideas, methods, instructions or products referred to in the content. |
© 2026 by the authors. Licensee MDPI, Basel, Switzerland. This article is an open access article distributed under the terms and conditions of the Creative Commons Attribution (CC BY) license.
Share and Cite
Guo, H.; Song, T.; Ye, J.; Abdulrahman, Y.; Gu, X.; Jiang, T.; Dong, Y. Image-Based Visual Servoing for Quadrotor Formation Encirclement and Tracking of Unknown Targets. Aerospace 2026, 13, 138. https://doi.org/10.3390/aerospace13020138
Guo H, Song T, Ye J, Abdulrahman Y, Gu X, Jiang T, Dong Y. Image-Based Visual Servoing for Quadrotor Formation Encirclement and Tracking of Unknown Targets. Aerospace. 2026; 13(2):138. https://doi.org/10.3390/aerospace13020138
Chicago/Turabian StyleGuo, Hanyu, Tao Song, Jianchuan Ye, Yusra Abdulrahman, Xuechen Gu, Tao Jiang, and Yihao Dong. 2026. "Image-Based Visual Servoing for Quadrotor Formation Encirclement and Tracking of Unknown Targets" Aerospace 13, no. 2: 138. https://doi.org/10.3390/aerospace13020138
APA StyleGuo, H., Song, T., Ye, J., Abdulrahman, Y., Gu, X., Jiang, T., & Dong, Y. (2026). Image-Based Visual Servoing for Quadrotor Formation Encirclement and Tracking of Unknown Targets. Aerospace, 13(2), 138. https://doi.org/10.3390/aerospace13020138

