Numerical Investigation of Frequency Acceleration Effect on Aerodynamic Characteristics of 2-DoF Flapping Wing in Hovering
Abstract
1. Introduction
2. Model and Kinematics
2.1. Kinematic Model
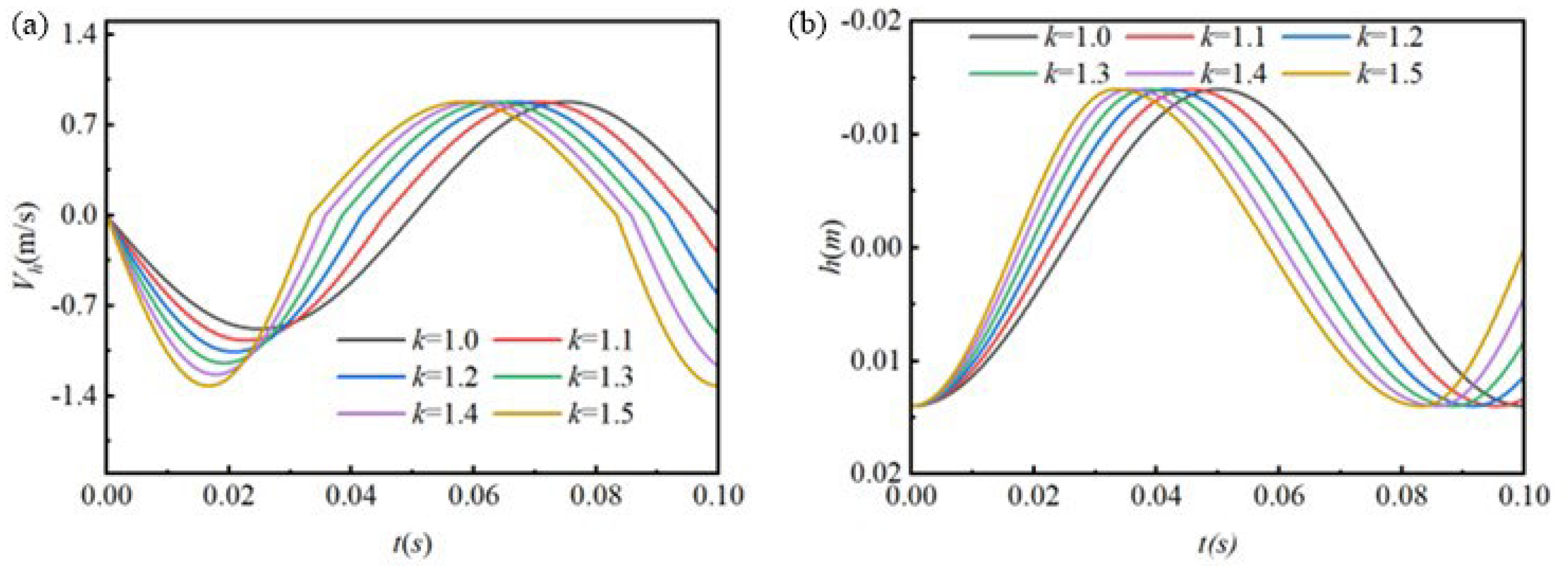
2.2. Kinematics Under FAE
3. Numerical Method
3.1. Solver Setting
3.2. Method Verification
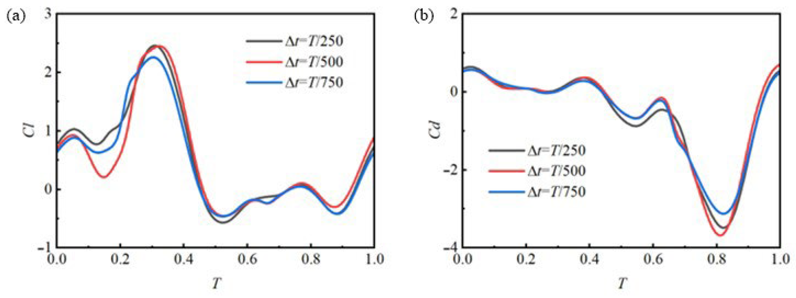
3.3. Resolution of Mesh and Time-Step
4. Results and Discussion
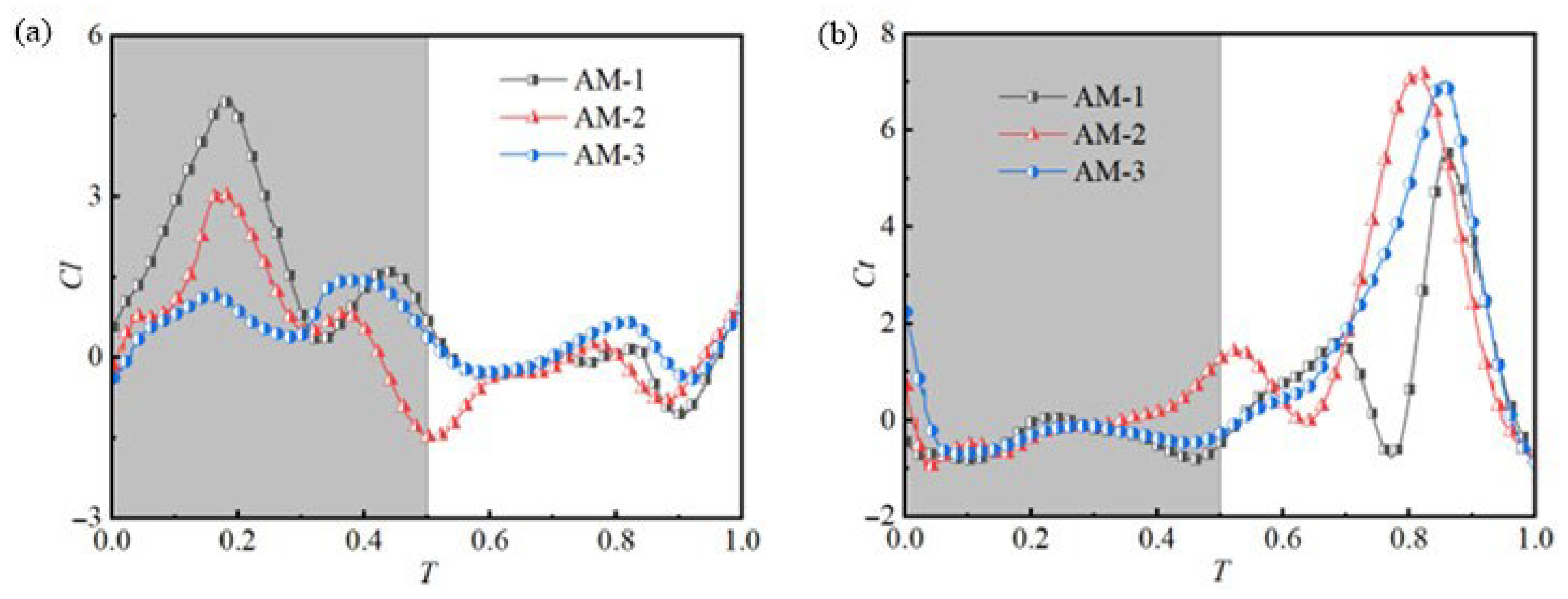
4.1. Influence of Acceleration Mode on Aerodynamic Performance
4.2. Influence of Acceleration Coefficient on Aerodynamic Force
5. Conclusions
Author Contributions
Funding
Data Availability Statement
Conflicts of Interest
References
- Chen, L.; Zhang, Y.; Zhou, C.; Wu, J. Aerodynamic mechanisms in bio-inspired micro air vehicles: A review in the light of novel compound layouts. IET Cyber-Syst. Robot. 2019, 1, 2–12. [Google Scholar] [CrossRef]
- Salami, E.; Thomas, A.; Montazer, E.; Ghazali, N.N.N. A review of aerodynamic studies on dragonfly flight. Proc. Inst. Mech. Eng. Part C J. Mech. Eng. Sci. 2019, 233, 6519–6537. [Google Scholar] [CrossRef]
- Hedrick, T.L.; Tobalske, B.W.; Ros, I.G.; Warrick, D.R.; Biewener, A.A. Morphological and kinematic basis of the hummingbird flight stroke: Scaling of flight muscle transmission ratio. Proc. R. Soc. B Biol. Sci. 2012, 279, 1986–1992. [Google Scholar] [CrossRef] [PubMed]
- Schwegmann, A.; Lindemann, J.P.; Egelhaaf, M. Temporal statistics of natural image sequences generated by movements with insect flight characteristics. PLoS ONE 2014, 9, e110386. [Google Scholar] [CrossRef] [PubMed]
- Han, J.H.; Han, Y.J.; Yang, H.H.; Lee, S.-G.; Lee, E.-H. A Review of Flapping Mechanisms for Avian-Inspired Flapping-Wing Air Vehicles. Aerospace 2023, 10, 554. [Google Scholar] [CrossRef]
- Phillips, N. Experimental Unsteady Aerodynamics Relevant to Insect-Inspired Flapping-Wing Micro Air Vehicles. Master’s Thesis, Cranfield University, Bedford, UK, 2011. [Google Scholar]
- Han, C. Investigation of unsteady aerodynamic characteristics of a seagull wing in level flight. J. Bionic Eng. 2009, 6, 408–414. [Google Scholar] [CrossRef]
- Dickinson, M.H.; Lehmann, F.O.; Sane, S.P. Wing rotation and the aerodynamic basis of insect flight. Science 1999, 284, 1954–1960. [Google Scholar] [CrossRef]
- Tarascio, M.J.; Ramasamy, M.; Chopra, I.; Leishman, J.G. Flow visualization of micro air vehicle scaled insect-based flapping wings. J. Aircr. 2005, 42, 385–390. [Google Scholar] [CrossRef]
- Wang, J.K.; Sun, M. A computational study of the aerodynamics and forewing-hindwing interaction of a model dragonfly in forward flight. J. Exp. Biol. 2005, 208, 3785–3804. [Google Scholar] [CrossRef]
- Ansari, S.A.; Zbikowski, R.; Knowles, K. Non-linear unsteady aerodynamic model for insect-like flapping wings in the hover. Part 1: Methodology and analysis. Proc. Inst. Mech. Eng. Part G J. Aerosp. Eng. 2006, 220, 61–83. [Google Scholar] [CrossRef]
- Nguyen, T.T.; Byun, D. Two-Dimensional aerodynamic models of insect flight for robotic flapping wing mechanisms of maximum efficiency. J. Bionic Eng. 2008, 5, 1–11. [Google Scholar] [CrossRef]
- Orlowski, C.T.; Girard, A.R. Modeling and simulation of nonlinear dynamics of flapping wing micro air vehicles. AIAA J. 2011, 49, 969–981. [Google Scholar] [CrossRef]
- Han, J.S. Interaction of the wakes of two flapping wings on control forces and moment. Aerosp. Sci. Technol. 2021, 115, 106794. [Google Scholar] [CrossRef]
- Zhang, Y.; Wang, Z. An experimental study of the unsteady vortex structures of a clapping-wing micro air vehicle. Int. J. Micro Air Veh. 2022, 14, 17568293221125846. [Google Scholar] [CrossRef]
- Martínez, G.B.; Van Oudheusden, B.W.; Sciacchitano, A.; Karásek, M. Large-scale volumetric flow visualization of the unsteady wake of a flapping-wing micro air vehicle. Exp. Fluids 2020, 61, 16. [Google Scholar] [CrossRef]
- Aono, H.; Liu, H. Flapping wing aerodynamics of a numerical biological flyer model in hovering flight. Comput. Fluids 2013, 85, 85–92. [Google Scholar] [CrossRef]
- Dahmani, F.; Sohn, C.H. Effects of advance ratio on elytra-hindwing interaction in forward flying Coleopteran beetle. J. Mech. Sci. Technol. 2018, 32, 5703–5710. [Google Scholar] [CrossRef]
- Jones, M.; Yamaleev, N.K. Effect of lateral, downward, and frontal gusts on flapping wing performance. Comput. Fluids 2016, 140, 175–190. [Google Scholar] [CrossRef]
- Fu, J.J.; Hefler, C.; Qiu, H.H.; Shyy, W. Effects of aspect ratio on flapping wing aerodynamics in animal flight. Acta Mech. Sin. 2014, 30, 776–786. [Google Scholar] [CrossRef]
- Bhat, S.S.; Thompson, M.C. Effect of leading-edge curvature on the aerodynamics of insect wings. Int. J. Heat Fluid Flow 2022, 93, 108898. [Google Scholar] [CrossRef]
- Au, L.T.K.; Phan, H.V.; Park, S.H.; Park, H.C. Effect of corrugation on the aerodynamic performance of three-dimensional flapping wings. Aerosp. Sci. Technol. 2020, 105, 106041. [Google Scholar] [CrossRef]
- Bie, D.; Li, D. Numerical analysis of the wing–wake interaction of tandem flapping wings in forward flight. Aerosp. Sci. Technol. 2022, 121, 107389. [Google Scholar] [CrossRef]
- Zhu, J.; Lei, B. Effect of wing-wing interaction on the propulsive performance of two flapping wings at biplane configuration. Appl. Bionics Biomech. 2018, 2018, 8901067. [Google Scholar] [CrossRef] [PubMed]
- Li, L.; Xu, J.; Gao, Y.; Yang, J.; Bai, F.; Wang, Y. Unsteady aerodynamic characteristics of a bionic flapping wing in three-dimensional composite motion. AIP Adv. 2022, 12, 015109. [Google Scholar] [CrossRef]
- Wu, T.; Song, B.F.S.; Song, W.P.; Yang, W.; Xue, D.; Han, Z. Lift performance enhancement for flapping airfoils by considering surging motion. Chin. J. Aeronaut. 2022, 35, 194–207. [Google Scholar] [CrossRef]
- Mekadem, M.; Chettibi, T.; Oualli, H.; Hanchi, S. Thrust enhancement of a flapping airfoil using a non-sinusoidal motion trajectory. J. Braz. Soc. Mech. Sci. Eng. 2021, 43, 201–218. [Google Scholar] [CrossRef]
- Lang, X.Y.; Song, B.F.; Yang, W.Q.; Song, W. Aerodynamic performance of owl-like airfoil undergoing bio-inspired flapping kinematics. Chin. J. Aeronaut. 2021, 34, 239–252. [Google Scholar] [CrossRef]
- Boudis, A.; Bayeul-Laine, A.C.; Benzaoui, A.; Oualli, H.; Guerri, O.; Coutier-Delgosha, O. Numerical investigation of the effects of nonsinusoidal motion trajectory on the propulsion mechanisms of a flapping airfoil. J. Fluids Eng. 2019, 141, 041106. [Google Scholar] [CrossRef]
- Wang, C.; Zhou, C.; Xie, P. Numerical investigation into the effects of stroke trajectory on the aerodynamic performance of insect hovering flight. J. Mech. Sci. Technol. 2016, 30, 1659–1669. [Google Scholar] [CrossRef]
- Sarkar, S.; Chajjed, S.; Krishnan, A. Study of asymmetric hovering in flapping flight. Eur. J. Mech.-B/Fluids 2013, 37, 72–89. [Google Scholar] [CrossRef]
- Younsi, A.; El-Hadj, A.A.; Abd Rahim, S.Z.; Rezoug, T. Effects of the wing spacing, phase difference, and downstroke ratio on flapping tandem wings. Proc. Inst. Mech. Eng. Part C J. Mech. Eng. Sci. 2022, 236, 4689–4712. [Google Scholar] [CrossRef]
- Hu, F.; Wang, Y.; Li, D.; Liu, X. Effects of asymmetric stroke deviation on the aerodynamic performance of flapping wing. Proc. Inst. Mech. Eng. Part G J. Aerosp. Eng. 2023, 237, 480–499. [Google Scholar] [CrossRef]
- Lang, X.; Song, B.; Yang, W.; Yang, X.; Xue, D. Sensitivity Analysis of Wing Geometric and Kinematic Parameters for the Aerodynamic Performance of Hovering Flapping Wing. Aerospace 2023, 10, 74. [Google Scholar] [CrossRef]
- Li, H.; Nabawy, M.R.A. Effects of Stroke Amplitude and Wing Planform on the Aerodynamic Performance of Hovering Flapping Wings. Aerospace 2022, 9, 479. [Google Scholar] [CrossRef]
- Zhu, J.Y.; Zhou, C.Y. Aerodynamic performance of a two-dimensional flapping wing in asymmetric stroke. Proc. Inst. Mech. Eng. Part G J. Aerosp. Eng. 2014, 228, 641–651. [Google Scholar] [CrossRef]
- Wang, T.R.; Liu, N.; Yuan, L.; Wang, K.-X.; Sheng, X.-J. Iterative least square optimization for the weights of NURBS curve. Math. Probl. Eng. 2022, 2022, 5690564. [Google Scholar] [CrossRef]
- Wang, Z.J. Two-dimensional mechanism for insect hovering. Phys. Rev. Lett. 2000, 85, 2216–2219. [Google Scholar] [CrossRef]























| φ = −π/4 | φ = 0 | φ = π/4 | ||||
|---|---|---|---|---|---|---|
| Cl | з | Cl | з | Cl | з | |
| Wang’s Experiment | 0.1721 | - | 0.4899 | - | 0.6041 | - |
| Wang’s Computation | 0.1154 | −32.95% | 0.4223 | −13.80% | 0.499 | −17.40% |
| Presented Research | 0.1576 | −8.42% | 0.5224 | 6.63% | 0.6225 | 2.95% |
| Number of Grids | Clmean | зClmean | Clmax | зClmax | Cdmean | зCdmean | Cdmax | зCdmax | |
|---|---|---|---|---|---|---|---|---|---|
| Coarse case | 1.47 × 105 | 0.543 | 10.97% | 2.732 | 3.96% | −0.557 | −6.18% | −2.80 | 24.9% |
| Medium case | 2.17 × 105 | 0.494 | 0.86% | 2.638 | 0.38% | −0.594 | −0.03% | −3.68 | 1.34% |
| Fine case | 2.89 × 105 | 0.489 | - | 2.628 | - | −0.594 | - | −3.73 | - |
| Clmean | зClmean | Clmax | зClmax | Cdmean | зCdmean | Cdmax | зCdmax | |
|---|---|---|---|---|---|---|---|---|
| T/250 | 0.5203 | 5.77% | 2.435 | 9.93% | −0.6376 | 6.35% | −3.502 | 9.61% |
| T/500 | 0.4935 | 8.16% | 2.418 | 9.16% | −0.5939 | 1.69% | −3.617 | 13.21% |
| T/750 | 0.4592 | - | 2.215 | - | −0.5877 | - | −3.195 | - |
| kh | kθ | kh | kθ | ||
|---|---|---|---|---|---|
| AM-1 | −1.2 | 1.0 | AM-2 | −1.2 | −1.2 |
| AM-3 | −1.2 | 1.2 | AM-4 | 1.2 | 1.0 |
| AM-5 | 1.2 | −1.2 | AM-6 | 1.2 | 1.2 |
| AM-7 | 1.0 | 1.0 | AM-8 | 1.0 | −1.2 |
| AM-9 | 1.0 | 1.2 |
Disclaimer/Publisher’s Note: The statements, opinions and data contained in all publications are solely those of the individual author(s) and contributor(s) and not of MDPI and/or the editor(s). MDPI and/or the editor(s) disclaim responsibility for any injury to people or property resulting from any ideas, methods, instructions or products referred to in the content. |
© 2026 by the authors. Licensee MDPI, Basel, Switzerland. This article is an open access article distributed under the terms and conditions of the Creative Commons Attribution (CC BY) license.
Share and Cite
Kong, F.; Li, Z.; Qu, L.; Li, J. Numerical Investigation of Frequency Acceleration Effect on Aerodynamic Characteristics of 2-DoF Flapping Wing in Hovering. Aerospace 2026, 13, 67. https://doi.org/10.3390/aerospace13010067
Kong F, Li Z, Qu L, Li J. Numerical Investigation of Frequency Acceleration Effect on Aerodynamic Characteristics of 2-DoF Flapping Wing in Hovering. Aerospace. 2026; 13(1):67. https://doi.org/10.3390/aerospace13010067
Chicago/Turabian StyleKong, Fanwei, Zhandong Li, Ligang Qu, and Jing Li. 2026. "Numerical Investigation of Frequency Acceleration Effect on Aerodynamic Characteristics of 2-DoF Flapping Wing in Hovering" Aerospace 13, no. 1: 67. https://doi.org/10.3390/aerospace13010067
APA StyleKong, F., Li, Z., Qu, L., & Li, J. (2026). Numerical Investigation of Frequency Acceleration Effect on Aerodynamic Characteristics of 2-DoF Flapping Wing in Hovering. Aerospace, 13(1), 67. https://doi.org/10.3390/aerospace13010067
