Next Article in Journal
Optimization of the Z-Profile Feature Structure of a Recirculation Combustion Chamber Based on Machine Learning
Previous Article in Journal
Warping Deformation Prediction of Smart Skin Composite Airfoil Structure with Inverse Finite Element Approach
 
 
Font Type:
Arial Georgia Verdana
Font Size:
Aa Aa Aa
Line Spacing:
Column Width:
Background:
Article

Improving the Design and Performance of MQ-9 Aircraft to Provide Pervasive High-Altitude Maritime Protection Capability

School of Engineering and Technology, University of New South Wales, Australian Defence Force Academy Campus, Northcott Drive, Canberra, ACT 2600, Australia
*
Author to whom correspondence should be addressed.
Aerospace 2026, 13(1), 44; https://doi.org/10.3390/aerospace13010044
Submission received: 17 November 2025 / Revised: 17 December 2025 / Accepted: 22 December 2025 / Published: 31 December 2025
(This article belongs to the Section Aeronautics)

Abstract

Due to emerging strategic demands, this article presents a comprehensive conceptual design investigation into enhancing the MQ-9A Uncrewed Aerial Vehicle (UAV). Motivated by the need for persistent long-range protection and surveillance capabilities, the research study proposes three primary modifications to create an aircraft titled the MQ-9X Raven. First, the existing turboprop engine was replaced with the widely used Williams FJ44-4A turbofan for reduced fuel consumption and excess power at 50,000 ft, with a range of approximately 8000 nm. Second, the wing design was updated with a 79 ft wing for a greater aspect ratio and a new LRN1015 airfoil to enable high-altitude, long-endurance standoff of around 24 h. Third and finally, the conceptual redesign included integration of a releasable store for maritime interdiction (AGM-184). The project follows a rigorous methodology beginning with a redefinition of mission requirements, aerodynamic, thrust, and stability analysis, and then verification with flight simulation, computational fluid dynamics, and wind tunnel experiments. Our analysis shows the MQ-9X Raven is highly suitable for the task of pervasive high-altitude standoff maritime protection.

1. Introduction

In light of a deteriorating regional security environment and the growing emphasis on long-range intelligence surveillance and reconnaissance (ISR) capabilities, enhancements to the MQ-9A were proposed to extend its operational range, safe operating altitude, and support alternative payload configurations. Incorporating a persistent, ISR counterpart such as an MQ-9X Raven would bolster a country’s ability to conduct integrated ISR and interdiction missions over extended distances, complementing existing assets and providing a responsive defence. The enhancement of the MQ-9A range, altitude, and payload flexibility aligns with many countries’ strategic objectives.
In its current configuration, the MQ-9A is a single-engine turboprop, Medium-Altitude, Long-Endurance (MALE) Uncrewed Aerial Vehicle (UAV) capable of carrying 1361 kg of external stores. It has a claimed ceiling of 50,000 ft, maximum speed of 240 kts and maximum endurance of 27 h [1]. It can be equipped with an electro-optic/infrared (EO/IR) camera, a Lynx multi-mode RADAR, electronic support measures (ESMs), and a laser designator. These capabilities make the MQ-9A a highly versatile multi-mission ISR and interdiction aircraft. While the MQ-9 is highly versatile, it is less capable in a peer-to-peer strategic environment where it primarily flies at medium altitude, is required to reduce its altitude to release stores, and flies relatively slowly.
The MQ-9X is a heavily modified MQ-9A, with an engine upgraded to the Williams FJ-44A, increased wingspan to 79 ft (24.08 m), airfoil upgraded to the LRN1015, and integration of the releasable AGM-184 store for maritime interdiction. This report does not justify the strategic security reasoning that motivate such modifications, only the implications on performance and mission effectiveness.
In early-stage aircraft development, conceptual and preliminary design frameworks play a critical role in shaping configuration decisions through the interaction of multiple disciplines such as aerodynamics, propulsion, structures, and control. These processes often employ Multidisciplinary Design Optimisation (MDO) methods that integrate low-fidelity analytical models to achieve system-level trade-offs in weight, performance, and cost. MDO-based platforms such as NASA’s OpenMDAO [2] and surrogate-based optimisation environments have demonstrated high efficiency in handling such multi-variable design problems while capturing interdependence among disciplines [3,4]. These studies have also emphasised the value of physics-based parametric modelling in the conceptual design phase, allowing for scalable performance predictions across diverse aircraft categories, from conventional UAVs to blended-wing-body configurations [4]. These techniques enable rapid exploration of the design space and are widely regarded as essential in the conceptual and preliminary design stages before higher fidelity refinement.
While MDO provides a powerful framework for conceptual development, it is less applicable in re-design programs. Often termed Mid-Life Updates (MLU), these focus on refining existing, well-characterised configurations. MLU projects typically aim to enhance performance, extend service life, or incorporate new technologies without fundamental changes to the baseline airframe architecture. These efforts rely on detailed geometric and aerodynamic data from prior development phases, shifting emphasis from broad parametric optimisation to high-fidelity subsystem integration and tradespace analysis. Referring to aircraft MLUs, such as those on the H-60 and Embraer E-Jet family, demonstrates that design activities centre around retrofitting propulsion systems, avionics, or mission payloads while maintaining the structural integrity of the existing airframe [5,6]. Consequently, MDO methods are not directly applicable to the present work, which represents a conceptual early design iteration to improve mission capability and integrate new systems rather than a clean-sheet design.
Previous reports of the MQ-9 aircraft have detailed a variety of upgrade pathways to enhance platform capabilities. Existing analyses have considered automation for increased efficiency and decreased operational costs [7]. Additionally, General Atomics has discussed that at least one country is looking at various upgrades to their existing platforms, such as maritime radars, a communications relay, extended range fuel tanks, support measures, and stores—all over a 3-year timeframe [8]. This highlights the increasing trend toward modular upgrades in unmanned air systems to meet emerging mission profiles through incremental system redesigns rather than full redevelopment. These prior studies provide a valuable foundation for the MQ-9X Raven concept, which continues this evolutionary design path by applying targeted aerodynamic, propulsion, and payload modifications to expand the MQ-9 platform’s mission envelope.
This report explores potential modifications and redesigns of the existing MQ-9A to better align with dynamic strategic contexts. It consists of a mission redefinition, analytic analysis, simulation analysis, CFD verification, and indicative wind tunnel testing.

2. Mission Redefinition

In order to meet more contemporary strategic outcomes as previously discussed, a new mission statement is defined as follows:
“Conduct persistent, long-range, high-altitude Intelligence, Surveillance, and Reconnaissance and long-range protection to deliver timely, accurate, and actionable intelligence and effects in support of strategic objectives.” Subsequently, a redefined mission profile was generated, as shown in Figure 1. This mission consists of a persistent high-altitude flight part at 50,000 ft with 12 h of cruise time, and stores release where necessary before returning to base. The standard MQ-9 typically cruises at 30,000 ft, and it is required to descend to 25,000 ft for target surveillance. It is also required to further descend for stores deployment, with a mission profile shown by Zountouridou et al. [9].
The climb rate to cruise was set at >2000 ft/min, as can be accomplished by the MQ-9B aircraft  [9]. The aircraft would then maintain this altitude to reduce the likelihood of detection and threat of ground-launched missiles. Maintaining this altitude improves flight efficiency by reducing the need to descend and climb for mission requirements. At a redefined cruise speed of 130 KIAS (300 KTAS), the 6-h cruise leads to a 1800 nm operational radius before stores release. This mission profile lends the new aircraft to be a suitable maritime patrol and interdiction companion to the MQ-4C Triton and P-8 Poseidon. With this newly redefined mission statement, more detailed mission and aircraft requirements were developed.

3. Theoretical and Statistical Analysis

An initial theoretical and statistical analysis of the MQ-9X, including weight and size, stability, mass properties, engine analysis, and airframe observability characteristics, was performed in order to conduct a deeper analysis, including dynamic stability and simulations.

3.1. Weight and Size Analysis

As part of the initial statistical analysis, the weights of aircraft components were estimated, as shown in Table 1.
In order to further verify some of the weight estimates, a comparison was made to an MIT paper, Valuation Techniques for Commercial Aircraft Program Design [17], where wing and empennage weight are typically 23 and 3% of aircraft empty weight [17], or W W , MIT = 0.23 ( 4900 ) = 1127 lbf (511.20 kg) and W EMP , MIT = 0.03 ( 4900 ) = 147 lbf (66.68 kg); an increase of 5.6% and 5.4% relative to the estimates is shown in Table 1. Therefore, the estimated weights calculated for both the wing and empennage were assessed as sufficiently accurate.

3.2. Mass Properties

The mass properties of each major component (fuselage, wing, empennage, landing gear, engine, payload, and pylons) were estimated based on a Fusion 360 model [18,19] created using many publicly available MQ-9 images. For each of the four loading configurations (Maximum Take-Off Weight (MTOW), Full Fuel Zero Payload, Full Payload Zero Fuel, and Empty Weight), the x, y, and z coordinates of the centre of gravity (CoG) were obtained by summing the component moments about each axis. The computed values were compared against Fusion 360 outputs to validate the distribution.
To determine the forward and aft CoG limits, moment-based estimations were performed using known main and nose landing gear load fractions. Following Gudmundsson [11], the forward limit was defined by the nose landing gear supporting approximately 20 % of the MTOW, while the aft limit corresponded to 90 % of the main landing gear bearing load. Applying these criteria yielded a forward limit at 4.015 m from the nose and an aft CoG limit at 5.511 m from the nose. Structural limit curves for both NLG and MLG were then plotted to form the CoG envelope boundary at Figure 2.
Previous Moments of Inertia (MoI) studies by the research team using the DATCOM method revealed results that aligned with the Fusion 360 model, so long as density estimates were transferred based on volume. Therefore, for each loading configuration, the moments of inertia were extracted from the Fusion 360 assembly. The empty weight case was then compared with the previously validated DATCOM estimate for the 66 ft baseline, to ensure consistency, and the results are given in Table 2. There is a mass contraction toward the longitudinal and lateral axes (lower I x x and I z z ) with a relative aft redistribution about the pitch axis (higher I y y ). These trends imply reduced roll and yaw inertia but increased pitch inertia for the updated configuration and that the Fusion 360 values are suitable for initial dynamic stability and control analyses.

3.3. Performance Analysis

3.3.1. Engine Type, Number and Sizing

The Raven is required to cruise at Mach 0.52 at an operational ceiling of approximately 50,000 ft. In this regime, turboprops offer high propulsive efficiency at low Mach numbers but are fundamentally thrust-limited in the very low-density environment at altitude. Thrust and drag assessments and simulation indicated that turboprops cannot sustain steady level flight at 50,000 ft. Best suited to the flight regime is a high-bypass-ratio (HBR) turbofan; however, there would be significant integration challenges on the Raven due to larger fan diameters and nacelle volume. Consequently, a low-bypass-ratio (LBR) turbofan emerges as the practical solution.
The Williams FJ44-4A satisfies the altitude requirement and provides suitable thrust margin for the configuration. Prior work by the design team identified a minimum thrust requirement of approximately 13.4 kN. The FJ44-4A is capable of delivering 16.10 kN at takeoff (5 min) and 15.32 kN continuous, exceeding the requirement. Integration of an LBR turbofan had been historically demonstrated for the prototype aircraft, Predator B [20,21], using the Williams FJ44-2A. Additionally, it was demonstrated in simulation for both the 66 ft baseline and the updated 79 ft wing configuration. While operation at Mach 0.5 is below the engine’s ideal cruise regime, the altitude capability and available thrust dominate the trade for aircraft of the MQ-9 class.
An installed FJ44-4A already produces adequate thrust for the aircraft loaded with AGM-184 stores. Moving to a twin configuration would introduce penalties in mass, nacelle and interference drag, structural reinforcement, and duplicated systems while complicating CoG management and increasing acoustic and IR signatures. Additionally, there is less operational need for propulsion redundancy in an uncrewed system. Consequently, the single-engine arrangement was retained. Rubberised engine sizing approaches were considered; however, for a high-altitude ISR platform where operational reliability outweighs optimisation, the fixed engine method was retained. A custom engine was not explored due to significantly higher costs associated with engine development.

3.3.2. Fuel Consumption

Fuel consumption was a critical determinant of the Raven’s overall mission endurance and range capability. At the design cruise condition of Mach 0.5 and 50,000 ft, the low-bypass turbofan operates off its peak efficiency range, incurring a moderate increase in thrust-specific fuel consumption (TSFC). The selected Williams FJ44-4A has a published TSFC of approximately 0.485 lb/lbf/hr at its design point, which provides a realistic basis for endurance and range estimation when applied to the Raven’s low-Mach, high-altitude flight regime.
The aircraft’s total fuel capacity of 6000 lb (2720 kg) establishes a substantial energy reserve for extended missions. Applying the Breguet endurance and range relationships using the fixed FJ44-4A performance data yields an estimated endurance of approximately 28 h and a corresponding range near 8000 nmi.

3.3.3. Thrust-to-Weight Versus Wing Loading

Following the propulsion and structural updates to the Raven, the thrust-to-weight ( T / W ) and wing loading ( W / S ) characteristics were recalculated to establish a revised design point. The increase in wingspan from 66 ft to 79 ft increased the total wing area from 25.35 m2 to 28.66 m2, while the maximum take-off weight increased from 4672 kg to 6124 kg. Despite the larger lifting surface, the proportional weight growth produced a higher effective wing loading, shifting the design point toward a denser, higher-performance configuration.
The updated analysis produced a design point of ( W / S , T / W ) = ( 572.6 N m 2 , 0.090 ) compared with the MQ-9 baseline value of ( 252.3 N m 2 , 0.063 ) . This shift reflects a substantial performance enhancement. The increase in T / W results primarily from replacing the Honeywell TPE331-10 turboprop with the Williams FJ44-4A turbofan, which delivers higher thrust at altitude and supports greater climb and cruise performance. The higher W / S value indicates an aircraft optimised for faster cruise and improved aerodynamic efficiency at altitude, though with higher stall speed and reduced take-off and landing margins.
When compared with contemporary long-endurance UAVs, such as the Hermes 900, Predator XP, CH-4, Gray Eagle, and Wing Loong II, the Raven occupies the endurance-optimised region of the T / W W / S scale. The resultant configuration of the Raven is well aligned with its intended maritime protection mission profile, combining efficiency and operational flexibility while maintaining adequate excess power for altitude and payload demands.

3.3.4. Thrust Available Versus Thrust Required

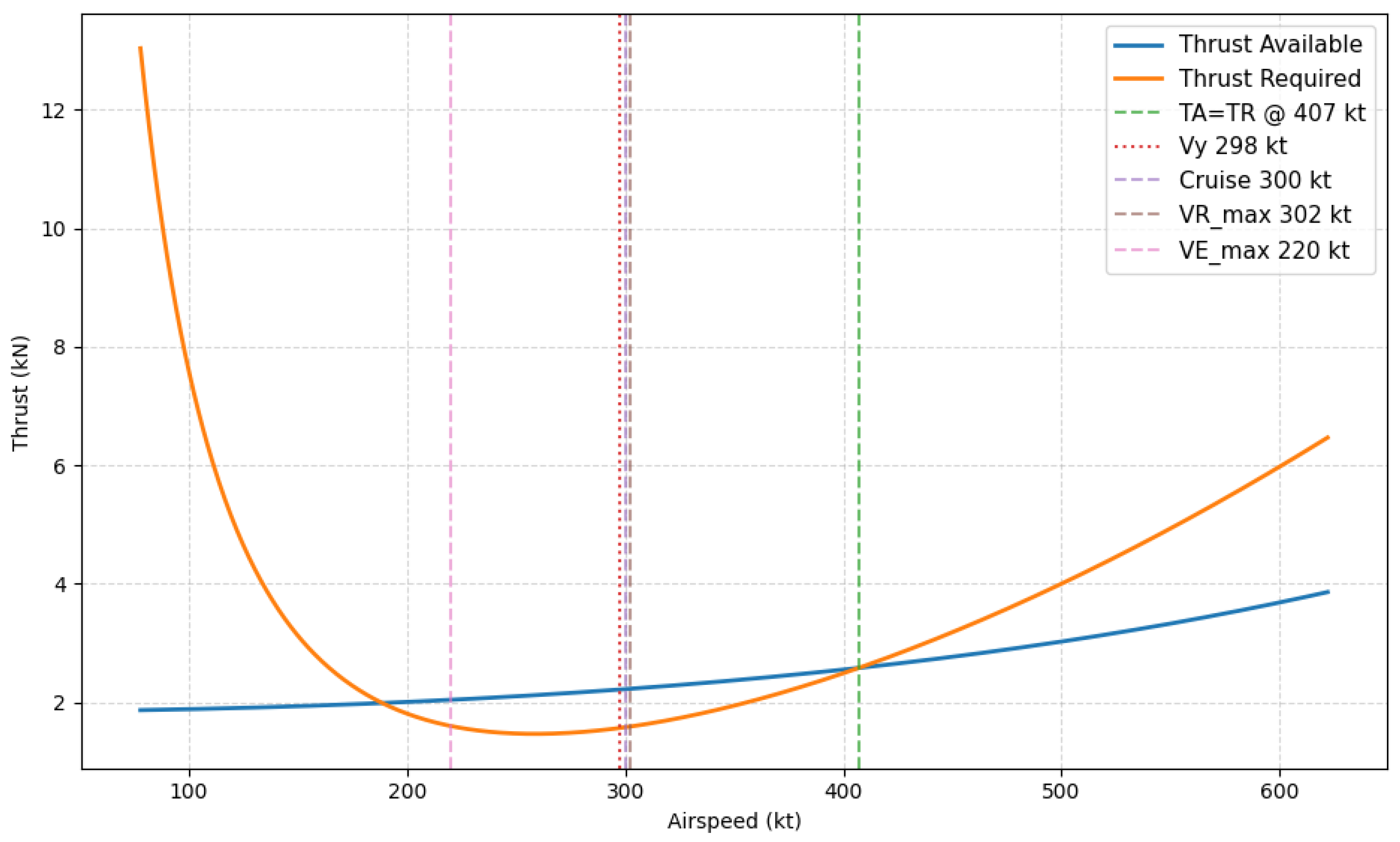
A thrust analysis was performed to compare the Raven’s thrust available (TA) from the Williams FJ44-4A turbofan against the thrust required (TR) for steady level flight across the speed range at a design altitude of 50,000 ft. The TA curve (Figure 3) was derived from standard atmosphere scaling laws for a low-bypass turbofan, while the TR was computed from the aerodynamic drag polar using the updated wing geometry and configuration parameters, at MTOW. This provided direct insight into the aircraft’s ability to sustain flight, climb, and cruise at its operational ceiling.
The resulting TA-TR plot indicated that the cruise speed (300 kt), maximum range speed (302 kt), and best rate-of-climb speed (298 kt) all converge within a narrow band near the region of maximum excess thrust. This concentration demonstrates a well-balanced aerodynamic and propulsion design. The maximum endurance speed of approximately 220 kt corresponds to the minimum of the TR curve, representing the most fuel-efficient loiter condition but with a smaller thrust margin and limited climb performance. The intersection of the TA and TR curves occurs around 407 kt, defining the theoretical maximum level-flight speed at altitude. It was evident that the Raven has a sufficient thrust margin at its design cruise speed to maintain level flight at 50,000 ft, with modest excess power available for further climb or manoeuvre.

3.3.5. Aircraft Drag Analysis

The zero-lift drag coefficient for the MQ-9 Raven was determined analytically following the methodology presented by Gudmundsson [11]. The total zero-lift drag coefficient without external stores, C D , 0 ( no stores ) , is expressed as the sum of the non-wing parasite drag ( C D , x ) and the wing contribution ( C D , wing ) as follows:
C D , 0 ( no stores ) = C D , x + C D , wing .
Each component was derived using the appropriate aerodynamic calculations and geometric parameters from the MQ-9 Raven configuration [Section 3.3.8 and Figure A1]. The subsequent analysis also accounts for the effect of six external stores, resulting in an adjusted drag model and refined cruise drag estimate.
The non-wing parasite component C D , x = 0.020 was obtained from Zountouridou et al. [9]. The wing contribution, C D , wing , was calculated using the method defined by Gudmundsson [11], incorporating the wetted-area ratio, skin-friction coefficient, form factor, and interference factor. With ( S wet / S ) = 2.14 , C f = 0.00381 , F F = 1.566 (from Torenbeek [15]), and I F = 1.0 , the wing contribution was found to be C D , wing = 0.0128 . Hence, the total zero-lift drag coefficient without stores was found to be C D , 0 ( no stores ) = 0.0328 .
The MQ-9 Raven is capable of mounting six external stores, distributed symmetrically beneath the wings. The aerodynamic contribution of these stores to overall drag was estimated using the findings of Manaf et al. [22], who experimentally observed a 4% increase in C D , 0 per store pair under comparable subsonic conditions. For three store pairs, this corresponds to a 12% increase in total parasite drag, yielding C D , 0 ( stores ) = 1.12 C D , 0 ( no stores ) = 0.0367 . To model the variation in drag with lift coefficient, the adjusted drag method from Gudmundsson [11] was employed and is defined as follows:
C D = C D , 0 + k ( C L C L , min D ) 2 .
Here, k = 1 / ( π e A R ) = 0.01657 , with e representing the Oswald efficiency factor and A R representing the aspect ratio. Based on interpolation of the LRN 1015 airfoil data in Hicks and Cliff [23], the value of C L , min D was determined to be approximately 0.87 . For a representative cruise lift coefficient of C L = 0.945 and the adjusted zero-lift drag coefficient C D , 0 ( stores ) = 0.0367 , the resulting total drag coefficient was found to be C D ( stores ) = 0.0368 .
The corresponding drag force for the MQ-9 Raven under cruise conditions at 50,000 ft was computed using the standard drag equation, with ρ = 0.1865 kg / m 3 , V = 154.34 m / s , S = 28.655 m 2 , and C D = 0.0368 , to be a total drag of D(stores) = 2342.36 N.
A detailed Constant Energy Height Map [Figure A2] and the corresponding Specific Excess Power Contours [Figure A3 and Figure A4] are presented in the Appendix A These figures illustrate the MQ-9 Raven’s energy performance characteristics across its operational flight envelope, providing insight into the aircraft’s climb capability, acceleration potential, and overall energy manoeuvrability during sustained flight conditions.

3.3.6. Engine Characteristics

The maximum engine mass flow rate for the Williams FJ44-4A turbofan is not publicly available. Therefore, it was estimated using the method described by van Kuik [24]. Engine parameters and take-off performance data were obtained from the type-certification data sheet [25] and supporting manufacturer documentation [26], with atmospheric properties defined by the ISA standard [27]. At static take-off conditions ( T = 16 , 100 N , d = 0.64 m , ρ = 1.225 kg / m 3 ), the calculated mass flow rate is m ˙ TO = 57.0 kg / s . For cruise at 50,000 ft ( T = 2753.5 N , d = 0.64 m , ρ = 0.1865 kg / m 3 ), the mass flow rate reduces to m ˙ cruise = 9.09 kg / s . As the MQ-9 Raven uses an off-the-shelf Williams FJ44-4A installation [28], the inlet design parameters remain consistent with published manufacturer data.
The inlet face and compressor front are co-located and thus share identical geometry. Therefore, the inlet velocity for both flight conditions is determined using the same effective area. At static take-off, the inlet velocity is v i = 142.9 m / s , corresponding to a Mach number of M = 0.42 using a sea-level speed of sound of a = 340.3 m / s . At cruise altitude, the inlet velocity increases slightly to v i = 151.4 m / s , yielding M = 0.51 based on a = 295.1 m / s . Both conditions confirm that inlet flow remains subsonic across the entire flight envelope.
Flow properties were determined at the inlet station (Station 1) for both operating conditions using standard relations [24,27] as per Table 3.
The results validate the aerodynamic compatibility of the Williams FJ44-4A engine with the MQ-9 Raven configuration across its operational flight envelope.

3.3.7. Observability Analysis

Observability can be considered in three main areas of acoustics, infrared, and radar.
The MQ-9 turboprop produces a distinct low-frequency buzz easily recognised by ground observers [29]. Replacing the turboprop with the FJ44-4A turbofan introduces higher-frequency broadband noise and fan tones [30], which weaken much more rapidly with distance [31]. The engine position on the Raven provides additional airframe shielding [32], while the mixed-flow nozzle and acoustic liners reduce jet noise by up to 5 dB [33,34]. These modifications make the Raven notably quieter and less distinct than the MQ-9, particularly at altitude.
The FJ44-4A’s bypass design lowers the core temperature by mixing cool bypass air with the exhaust [33]. However, the absence of propeller wash yields a more concentrated plume [35]. The upward-facing exhaust, shielded by the fuselage and wing, reduces IR detectability from the ground [31]. Although less optimised than the Predator C Avenger’s S-duct configuration [36], the Raven achieves moderate IR suppression from below but remains more visible from above than the MQ-9 turboprop configuration.
The Raven retains most of the MQ-9 external geometry and stores capability, maintaining an estimated RCS of 0.5 1.0 m 2  [35]. The exposed turbofan face increases reflections from upper and oblique angles; however, the removal of the propeller eliminates the main Doppler returns [37]. The top-mounted intake smooths the lower profile, reducing downward-hemisphere returns, though overall radar observability remains comparable to the MQ-9.

3.3.8. Summary Comparison of MQ-9A to MQ-9X

A summary of estimated operational characteristics of the updated MQ-9 is given in Table 4.

3.4. Stability Analysis

Each of the main dynamic stability modes was estimated theoretically at the main cruise design point 50,000 ft (Mach 0.523 ) before conducting simulations to confirm their magnitude and effects. Geometry, mass properties, and operating conditions were taken from the MQ-9 standard configuration [38], with atmospheric properties referenced to ISA [27].

3.4.1. Short-Period Approximation

The short-period dynamic response was assessed using stability-derivative formulations from Gudmundsson [13], converted to non-dimensional form following Nelson [39], and applied within Stengel’s  [40] short-period expressions. Each of the short-period factors is summarised in Table 5.
Substituting the Table 5 values into Stengel’s short-period relations [40] gives the natural frequency ω n = 1.83 rad / s and damping ratio ζ = 0.95 , indicating a strongly damped short-period mode with a moderate natural frequency consistent with the slender, high-aspect-ratio configuration and tail leverage embedded in the standard MQ-9 baseline [11,38,40].

3.4.2. Phugoid

The phugoid mode is characterised by a natural frequency ω n p h u and a damping ratio ζ p h u . These values were found using small angle approximation [41] and the longitudinal stability derivatives Z u and X u (from [39]). At cruise condition, these were calculated to be Z u = 0.0844 N . s / rad and X u = 0.00245 N . s / rad . Therefore, ω n p h u = 0.0732 rad / s , and ζ p h u = 0.0167 .
The natural frequency of the phugoid mode in aircraft dynamics typically ranges from 0.1 to 1 rad/s [42], with the damping ratio usually very low or near zero [42]. Therefore, the calculated natural frequency and damping ratio both fall on the lower side of the acceptable range of these values, which is a phugoid trend typical in aircraft design at such high altitudes. As such, the aircraft is likely to experience slow, lightly damped longitudinal oscillations in response to disturbances in speed or altitude. A low natural frequency (≈0.0732 rad/s) gives a long-period oscillation T d = 85.85 s, whilst a low damping ratio (0.0167 (Level 2 Stability [43])) means that the oscillations will decay very slowly. As such, cyclic effects on the sensing, engine, and structure will likely need to be minimised by introducing an altitude hold autopilot on the aircraft.

3.4.3. Directional Stability

The directional stability of the Raven was determined using equations from Chapter 24–25 of [13], with the primary intent of this analysis being the determination of C N β . As the Raven has a Y tail and there are not Y-tail-specific formulae, initially simplified projections of the surfaces onto the vertical and horizontal planes were taken, yielding C N β = 0.0438 / rad , which is within the range of 0.03 to 0.2 specified and demonstrates positive directional stability. The complexity of the empennage to get the computations correct and work on alternative arrangements led to Athena Vortex Lattice (AVL) [44,45] and VSPAERO [46] being independently used to check this estimate. For example, the VSPAERO analysis was inspired by [47] and involved the complete aircraft geometry being constructed in OpenVSP based on the dimensions of the team’s common CAD model. After an appropriate tessellation involving 3296 elements and appropriate convergence checks [46], sideslip values from 6 to + 6 degrees were tested in 2-degree increments at the cruise angle of attack of 1.5 degrees and other cruise conditions. A relatively narrow range was selected because inviscid methods, such as VSPAERO, inherently do not model flow separation, which becomes more significant at higher angles of attack. The VSPAERO surface plot is shown in Figure 4 and the sweep regression in Figure 5, finding C N β = 0.0476 / rad with an R 2 = 0.996 and an estimated uncertainty of ± 0.0024 / rad . The AVL analysis of the aircraft, modelling only thin sets, yielded C N β = 0.0476 / rad , which is two percent lower than the VSPAERO result. The relatively small difference is attributed to VSPAERO’s inclusion of thick-body effects and AVL’s omission of the nacelle.

3.4.4. Dutch Roll

The necessary non-dimensional stability derivatives for Dutch roll were calculated from Chapter 24–25 of Gudmundsson et al. [13], yielding yaw moment to sideslip C N β = 0.0438 /rad, yaw moment to yaw rate C N r = 0.0561 s/rad, C Y r = 0.391 s/rad, and side force to sideslip C Y β = 1.599 /rad. These were dimensionalised to the following using equations from [48] to then input to the equations given below from the same reference: sideforce to sideslip, Y β = 16.55 N / rad ; yaw moment to sideslip, N β = 0.7316 N . m / rad ; yaw moment to yaw rate, N r = 1.31 N . m . s / rad ; and sideforce to yaw rate, Y r = 0.0336 N . s / rad .
ω d r = Y β N r N β Y r + V N β Y r = 0.375 rad / s
ζ d r = 1 2 ω d r Y β + V N r V = 1.890
This analysis shows the Raven is very stable in the Dutch roll mode, with a high positive damping ratio and long duration period.

3.4.5. Dihedral Effect Analysis

The dihedral effect derivative, C l β , was estimated by summing the contributions of the lifting and stabilising surfaces, namely the wing, V-tail, and ventral fin. The wing dihedral effect arises from its dihedral angle, twist distribution, and moderate sweep, for which the Raven’s wing has a negligible dihedral effect. The V-tail was modelled as a secondary wing, evaluating its dihedral effect in the same way and determining a strong contribution attributed to the 36 dihedral angle. The ventral fin contributes a small destabilising dihedral effect due to the offset of its mean aerodynamic chord below the aircraft centreline, which shifts the restoring moment arm in the vertical direction during sideslip.
The component contributions and total dihedral effect are summarised in Table 6. The total dihedral effect for the MQ-9X Raven configuration was found to be C l β = 0.1424 rad 1 . This exceeds the rule of thumb of about C l β = 0.1 rad 1 by 42%, suggesting that the MQ-9X possesses strong lateral stability. This characteristic enables the aircraft to naturally return to wing-level flight following a rolling disturbance, reducing the corrective workload on the pilot or autopilot system.

3.4.6. Roll Control and Dynamics

The roll control power, C l δ a , was calculated by integrating the aileron effect across the span, accounting for a control surface effectiveness of τ = 0.4 estimated at the aileron semi-span [13]. The aileron control derivative was found to be C l δ a = 0.320 rad 1 .
The steady-state roll rate depends primarily on the roll control power, airspeed, and roll damping. Approximating a first-order roll, at the 300 KTAS cruise condition, a 5 aileron deflection would generate a steady-state roll rate of approximately 22 . 9 /s, confirming moderate roll responsiveness despite the high aspect ratio. This provides adequate manoeuvrability for the mission needs, especially given that higher aileron deflections are available at lower speeds such as during takeoff and landing. The transient roll response after initiating an aileron deflection has a time constant between 0.29 and 0.67  s depending on the roll moment of inertia I x x , as varied with changes in wing fuel and store loads.

3.4.7. Summary

At the 50,000 ft cruise design condition, the dynamic stability characteristics of the MQ-9X Raven were assessed analytically using longitudinal and lateral directional stability derivations. The short-period mode was found to be strongly damped due to the aircraft’s high aspect–ratio wing and effective tail leverage. In contrast, the phugoid mode exhibited a very low natural frequency and weak damping, resulting in slow, lightly damped long-period oscillations typical of high-altitude aircraft. Directional stability analysis resulted in a positive sideslip derivative, with close agreement between analytical estimates and independent AVL and VSPAERO simulations, confirming reasonable weathercock stability. Dutch-roll analysis indicated a highly stable mode and a large positive damping ratio, while dihedral-effect calculations showed strong lateral stability dominated by the V-tail contribution. Finally, roll control analysis demonstrated sufficient aileron authority, with moderate steady-state roll rates and short roll time constants.

4. Simulation

This section verifies the static and dynamic stability of the Raven through the use of two simulations. Austin Meyer’s xPlane 11 [49] and Mark Drela and Harold Youngren’s Athena Vortex Lattice (AVL) [50] were utilised for this simulation analysis.

4.1. Dynamic Stability

During early simulation experimentation within xPlane, it was discovered that at the desired cruise altitude, the Raven had noticeable and undesirable phugoid motion, which made it difficult to fly straight and level. This phenomenon led to further analysis to determine the root cause and the creation of two candidate tail variants to potentially improve dynamic stability behaviour.
The tail variants, shown in Figure 6, are screen-captured from xPlane; identical models were also created in AVL for a direct comparison. For simulation verification, the 3D lift slopes of both methods were compared to the theoretical three-dimensional (3D) lift slope Chapter 9 [13]: 3D theoretical, α 3 D = 6.837 /rad, 3D AVL α 3 D , AVL = 6.520 , and 3D xPlane α 3 D , xPlane = 6.3370 . This equates to a 4.7% difference between theoretical and AVL and a 7.6% difference between the theoretical and xPlane results.
Next, the static stability of the tail configurations was determined by plotting C m versus α , with positive stability determined by a positive c m . α = 0 and negative d C m d α . The results in Figure 7, show all three tail variants are stable for longitudinal static stability.
Since the tail variants lead to a statically stable Raven, dynamic stability analysis continued. To achieve this, a custom Python (Version 3.13) script was built to execute the flight test regimes following the procedures from the Air Force Flight Test Center [43]. The results of these experiments are shown in Table 7, while an example generated output simulation is shown in Figure 8.
The damping ratio and natural frequencies were further analysed by determining the flying qualities from [43], as shown in Table 8.
The standard MQ-9 tail configuration applied to the Raven yielded the best results, with only a Level 2 in Phugoid, as expected. This investigation resulted in a fourth tail variant experiment consisting of a standard MQ-9 tail with 150% surface area increase. This area increase value was chosen as a starting point to determine if a larger tail area would improve the phugoid response, without detrimental effects to other stability derivatives. The area increase was accomplished by increasing only the chord of the tail surface. This fourth configuration resulted in ζ Ph = 0.0402 and ω Ph = 0.110 , which is Level 1 in the Phugoid mode. The larger tail is recommended, and further detailed analysis is suggested to determine the optimal tail area.

4.2. Releasable Store Integration

Aircraft stores integration and test plans were constructed in order to identify the processes involved with integrating AGM-184 stores onto the MQ-9X platform in accordance with [51] for aircraft stores compatibility and STANAG 7068 [52] for systems interoperability for network-enabled stores. At the highest level, this will involve using the Open System Architecture replacing the Universal Interface, as the AGM-184 is already being integrated and tested on other analogous aircraft. It then goes into depth on all of the ground and flight tests along with the modelling and simulations such as flutter, structural integrity, and stores trajectory estimation using ASTERIX [53] as required to achieve certification and flight clearances from appropriate airworthiness organisations such as Section 17 [54] or using the ground and flight tests of [51] to establish the carriage, employment, and jettison operating limitations. Further integration information can be found in Volume 29 [55]. The literature search highlights that next-generation stores Suspension and Release Equipment (S&RE) will reduce the ejection velocities currently being used through the use of neuromorphic aircraft stores centric employment/returnable network technology (Neuromorphic-ASCENT) [56,57], wherein the AGM-184 store will guide itself away from the aircraft after release at significantly reduced ejection velocities. Neuropmorphic ASCENT-modified vehicles are particularly attractive, as they also promise to be able to return the AGM-184 store back to the host aircraft for secure reprogramming and re-employment. UNSW is currently exploring the use of such technology [58]. The test matrix for these plans that highlight all phases can be seen in Table A1 covering the full range of static ejection testing, ejector racks qualification for employment and jettison, aircraft functionals, store preparation, loading, employing, and unloading and that will be needed. As a precursor to early safe separation analysis from the Raven, a limited study was conducted into the AGM-184 store’s aerodynamic coefficients and stability using AVL software (Version 3.32) [50] per the analysis objectives in Table 9 and the following workflow:
1.
Acquire a 3D STL model of the AGM-184 store. Reference: [59]
2.
Import and scale geometry in Fusion 360 to obtain reference dimensions (span, area, MAC). Geometry scaling used to define aerodynamic reference quantities.
3.
Estimate mass properties (CG, MOI) using volume and density averaging. Approximations used for initial MOI inputs to AVL.
4.
Construct the aerodynamic model in AVL, including lifting and control surfaces. Symmetrical NACA-0012 was assumed for lifting sections.
5.
Execute static and dynamic stability analyses across multiple flight conditions. Static α sweeps and eigenmode analysis performed.
A symmetric NACA-0012 airfoil was assumed for the simulation. The reference area, span, and mean aerodynamic chord (MAC) were defined based on open-source photographic geometry. Static stability was assessed by plotting the pitching moment coefficient ( C m ) versus angle of attack ( α ) over an α sweep, with the results seen in Table 10. Although the missile is statically stable, the small static margin suggests potential sensitivity to disturbances.
Trim searches at three key altitudes are shown in Table 11 that indicate that the AGM-184 store cannot be trimmed at high altitude and low dynamic pressure conditions that are typical of the MQ-9X Raven cruise without extreme angles of attack. Further, sea-level Mach 0.9 conditions yield a practical and efficient trim consistent with the store’s sea-skimming design. These characteristics would require the AGM-184 to dive to sea level before beginning steady-level flight. The characteristics also necessitate further study on the pitch stability in the ejected safe separation conditions and during dive.
Dynamic stability was assessed from the trimmed sea-level condition using AVL’s eigenmode analysis. The missile exhibited three primary longitudinal and lateral-directional modes, which can be seen in Table 12. These results indicate that while the AGM-184 store is dynamically stable in pitch, it may require yaw damping augmentation (e.g., via control law tuning) to suppress Dutch-roll oscillations.
AVL’s linear and inviscid assumptions make it suitable for conceptual design but limit accuracy for high angles of attack or compressibility effects. Simplifications in geometry, density distribution, and control surface representation introduce additional uncertainty. Future work should involve CFD or wind tunnel testing for model validation and refinement of control effectiveness predictions. Notwithstanding, the AVL study found that the missile is likely statically stable and dynamically stable in most modes, except for a lightly unstable Dutch roll. Optimum flight conditions occur at sea level and Mach 0.9—consistent with its intended low-altitude cruise role. AVL proved to be a rapid and cost-efficient tool for early-stage aerodynamic and stability assessment, offering valuable preliminary insights for AGM-184 store integration on the MQ-9 platform.

5. Computational Fluid Dynamics

A preliminary CFD analysis was conducted on the Raven geometry to assess its aerodynamic performance at the new flight conditions and identify key flow features with the turbofan engine. The domain sizes were 12 chords above the full aircraft, 19.6 chords below, 15.8 chords wide on either side, and 56 chords long, without exploiting the plane of symmetry. This full aircraft modelling was done to ensure an organic test of the model and avoid the risk of omitting any non-symmetric aerodynamic features. All CFD analyses were conducted at the Raven’s cruise condition of 50 , 000 ft and 154.3 m / s , with a density of 0.1865 kg/m3 and viscosity of 1.4227 × 10 5 Pa . s .
The ANSYS Fluent package (Version 2025 R1) was used for both the meshing and the solutions. The solutions were conducted with the SST-k ω turbulence model option with a 1 × 10 6 as the base convergence criteria. The solutions for the lower angles of attack converged in approximately 70–90 iterations, beyond which negligible improvements were observed.
While mesh independence studies were attempted for the 0° case, time and computational limitations resulted in an incomplete and indefinite outcome. A summary of the obtained results are shown in Table 13. In the 15-million-cell case, a finer mesh was distributed across the domain, while the 8-million-cell case had greater refinement around the fuselage, leading to more efficient results. Overall, the solutions from the brief mesh independence study were consistent enough to consider the results reasonable. Meshing involved a 0.002 m first cell height, where the ideal value based on the ANSYS inflation layer calculator for a target y + of one and 20 layers would have been 2.52 × 10 5 . Hence, while quantitative results were not conclusively verified or validated, useful data were nevertheless obtained for a qualitative analysis of the flow features.
Two test cases were attempted: one with a solid engine inlet face (no inlet or outlet conditions) and one simulating approximate engine inlet mass flow rates. In the case of the operational engine, a variable density according to the ideal gas law was used. While both cases showed similar flow features, the solid inlet results were used to compare to wind tunnel values, while the operational engine case was used to conduct a qualitative airflow analysis.

5.1. Blocked Inlet Case

The blocked inlet geometry was used to obtain the aircraft’s overall lift slope and drag polar and compare to the wind tunnel tests discussed in the subsequent section. In this case, steady simulations were conducted at 0°, 4.5°, and 6°. The model geometry itself has a wing set angle of ∼5°; therefore, the true geometric angles of attack of the wing were found to be 5°, 9.5°, and 11°.
The results (Figure 9) of the lift line indicate reasonable agreement with the analytical, AVL, and X-Plane results, particularly in the case of the slope of the line being almost identical. Beyond the 10° mark, the slope begins to shallow; it was assumed that this indicated relatively more significant flow separation features on the wings. With the obtained results, and a required C L of ∼0.94 at cruise condition (considering MTOW), the aircraft would need to cruise at a fuselage angle of attack of ∼0.82°.
The drag plots (Figure 10) for both the CFD and Wind Tunnel analyses are shown once here for brevity but discussed further later under the section on wind tunnel testing. The CFD results showed reasonable consistency with theoretical calculations, with the minimum drag being 0.0375 compared to the theoretical 0.0328 estimated earlier ( + 14 % ), with the difference likely due mostly to the blocked engine. While the overall trendlines were consistent, the plots appear to be offset by a magnitude of ∼0.05, as discussed later. At the mentioned cruise condition, the CFD predicted a required thrust of ∼2500 N to overcome drag.

5.2. Engine Flow Case

The engine-flow case was used to qualitatively assess the influence of the fuselage on the engine inlet’s flow conditions. Due to the proprietary nature of the FJ44-4A engine, true engine operating conditions were not available. Thus, a representative mass flow rate of 15 kg / s was used. A more comprehensive investigation on the effect of mass flow rate is recommended as a sensitivity analysis in future refinements of the design, as this assumption is a limitation. Notwithstanding, assuming the inlet area remains the same, increasing or decreasing the mass flow rate would increase or decrease the inlet velocity condition, respectively (Bernoulli’s Principle). By extension, this would decrease or increase, respectively, the intensity of the stagnation feature shown later in this analysis section. Therefore, although the value of this boundary condition would affect the overall phenomenon, it has been assumed that the magnitude used here presents useful and representative flow field data.
To assess the affect of the fuselage on flow conditions, velocity contours and turbulence surfaces were generated. First, the velocity contour on the aircraft’s plane of symmetry indicates several key features (Figure 11). Just after the aircraft nose, a separation zone is evident. While a CAD model imperfection may have exaggerated the degree of separation, the steep transition between the nose and fuselage is likely the primary cause of this effect. Following this, a relatively thick boundary layer is observed, though it should be noted that suboptimal meshing has limited the confidence in its accuracy. Subsequently, the air is seen to accelerate at the section above the wings, where the boundary layer thickness is also substantially reduced. Figure 12 indicates the presence of the wings at this section of the fuselage has likely reduced the crossflow and limited the outer area around which air can flow (air travelling along the fuselage must flow around the wings). Considering Bernoulli’s Equation, this has resulted in a converging effect where the air is accelerated, resulting in a lower pressure over this portion of the fuselage. This effect would ultimately lead to further lift and drag contributions.
Zooming in to the engine inlet lip shows that the engine is placed within the fuselage’s upstream boundary layer, where the bottom half of the engine inlet would see turbulent flow (Figure 13). This boundary layer is indicated by the velocity gradient, which shows a deceleration of airflow near the fuselage surface. A similar velocity gradient is observed ahead of the engine inlet, expected for a turbofan, as the incoming air is intentionally slowed to increase pressure for optimal engine performance.
Finally, directly ahead of the bottom lip of the inlet, a distinct feature is evident, where a region of air is supposedly almost static. Zooming in, Figure 14 shows evidence of a stagnation region at this location. Air spills over this feature before entering the inlet, most likely resulting in undesirably turbulent engine inlet conditions and sub-optimal mass flow rates.
This preliminary study suggests three key improvements to future design iterations. First, the new engine should be mounted at a slightly higher location to the fuselage to avoid ingesting boundary layer air. Turbulent air negatively impacts performance and efficiency and can cause compressor stalls in extreme cases. For a similar reason, the engine inlet should also hang over the fuselage to delay the onset of the stagnation region. By doing so, the spillover feature mentioned above occurs past the inlet and below the engine, reducing its influence on the upstream airflow. Examples of both these features are evident on similar aircraft such as the MQ-4C Triton and RQ-4 Globalhawk (Figure 15). Finally, as mentioned earlier, a sensitivity analysis should be conducted on the assumed engine inlet mass flow rate.
The CFD campaign presented above was a feasibility study of the Raven design. The results indicated the new design is viable and capable of performing the new mission (new cruise altitude and MTOW) following changes to the engine placement. However, the campaign requires several improvements. First, the mesh requires further changes to predict the Raven’s aerodynamic performance more accurately. These changes include a more refined mesh at the boundary layer and a refined mesh zone at the engine inlet, followed by a thorough mesh independence study to verify results. Experimental validation attempts were made in the wind tunnel, which are detailed in the following section.

6. Wind Tunnel

A 1/67th-scale wind tunnel model of the MQ-9X Raven was designed and constructed for aerodynamic testing in the UNSW Canberra low-turbulence wind tunnel.

6.1. Wind Tunnel Model Construction

The model was scaled to span 80% of the test section width, as recommended in [61], resulting in a 360 mm wingspan and other dimensions given in Table 14. The model was fabricated using mixed manufacturing methods to achieve the required structural strength, surface quality, and geometric accuracy at a small scale.
The fuselage and nacelle were 3D-printed in two longitudinal halves and bonded together (Figure 16b), with an interfacing hole in the rear to accept the mounting sting. Given the short chords and very thin surfaces, the V-tail and ventral fin were cut and sanded from softwood construction timber to provide the required strength at such small dimensions. The wing, with its 360 mm span, 25.9 mm root, and 10.7 mm tip chord, required sufficient stiffness and accuracy, given that it both produces and reacts against the main flight loads. To meet these requirements, the wing was molded out of fibreglass using 3D-printed molds lined with vinyl tape to smooth over the layer lines and provide a releasing surface (Figure 16a). The resulting product was sufficiently stiff and required less surface finish work compared to previous wind tunnel models produced entirely using 3D fused deposition modelling.
All major components were assembled, bonded, painted, and sanded to achieve a measured surface roughness of approximately 0.8 μ m . Dimensional checks on main components confirmed less than 3–4% deviation in resultant product from the scaled geometry, providing a sufficiently accurate scaled model for testing (Figure 17).

6.2. Test Plan

The primary objective was to determine lift, drag, and pitching-moment characteristics across an angle-of-attack range from 5 to + 20 in 2 . 5 increments. While the wind tunnel could achieve 40–50 m/s, unfortunately, testing had to be reduced to a freestream velocity of 24.0 ± 0.3  m/s, which is well below the R e c 2.0 × 10 5 where Gudmundsson [13] advises that the lift-curve slope and maximum lift coefficient can decrease significantly. Correcting for blockage, the freestream velocity was 24.7 m/s, which corresponds to a Mach number of M 0.07 and a Reynolds number of R e c 3.0 × 10 4 , based on a reference chord of c ¯ = 0.01875 m . Compared to the full-scale cruise conditions of M 0.5 and R e c 3.0 × 10 6 , the model’s flow conditions did not achieve dynamic similarity; thus, the results are not directly comparable to full scale. At such low Reynolds numbers, the boundary layer is particularly sensitive. The transition location, separation characteristics, and potential reattachment behaviour are all strongly Reynolds-number-dependent, resulting in flow physics that differ fundamentally from those at full scale [62]. Trip strips are commonly employed to force laminar-to-turbulent transition at locations expected on the full-scale aircraft. However, at the very small model scale and low Reynolds numbers used in this study, conventional wide-grit strip techniques were assessed as ineffective according to [13,63]. Additionally, the low Mach number prevents capturing compressibility effects, including potential shock waves and the altered pressure coefficient distributions that occur at higher subsonic speeds. Despite these limitations, Prandtl–Glauert compressibility corrections were applied, together with laminar and turbulent skin-friction relations and Reynolds-number scaling, to enable first-order comparison of the wind tunnel results with expected full-scale aerodynamic characteristics.
Instrumentation and data acquisition were performed using NI FlexLogger. Balance channels were configured as AForce (axial; drag), NForce (normal; lift), and MPitch (pitching moment). Prior to model installation, sting-only baselines were acquired under both no-flow and flow conditions to establish zero and aerodynamic offsets. Following mechanical alignment of the model on the sting, test runs were conducted at each α setting, with one 30 s dwell per condition. Aircraft-only forces were later obtained by subtracting corresponding sting-only data, and the coefficients were computed. Each measurement was time-averaged over the dwell after a short settle period.
Data reduction employed a quadratic drag polar of the form C D = A C L 2 + B C L + C , from which the Oswald efficiency factor and minimum-drag parameters were derived as follows:
e = 1 π A R A , C L , min D = B 2 A , C D , min = C B 2 4 A .
The lift-curve slope ( C L α ) and zero-lift intercept ( C L 0 ) were obtained from a linear regression of the pre-stall data between 2 . 5 and + 7 . 5 .
Uncertainty in the dataset was dominated by three sources: manual angle setting (interpolated between 5° goniometer tick marks), small freestream speed fluctuations affecting dynamic pressure, and balance calibration or tare offsets. Each angle was tested once, so between-run repeatability could not be quantified. Despite these constraints, the test produced a consistent low-Reynolds-number aerodynamic database suitable for validating computational models and assessing the sub-scale Raven configuration’s aerodynamic performance envelope.

6.3. Results and Discussion

As expected for the very low Reynolds number, the lift results in Figure 18 were significantly lower than the CFD predictions. The most pronounced discrepancy occurred at the zero angle of attack, where the Raven model exhibited a negative lift coefficient, which is consistent with early separation from a low Reynolds number (i.e., Figure 2 of [62]). Throughout the range tested, the lift curve showed an approximately linear relationship up to 17.5°, beyond which the C L value began to plateau.
Very low Reynolds number tests can typically exhibit 55–60% reductions compared with full-scale results, which would adjust the lift slope from 0.0505 per degree to 0.0918 per degree, or 2.4% of the CFD result. Scaling effects for Reynolds number are covered by Barlow et al. (2018) [64] in Chapter 8.4 and are non-trivial to apply. Attempts to fit scaling for very low Reynolds numbers usually take the form below, where the power index is indicative and should be estimated for each airfoil type as follows:
C L α ( C L α ) R e 2 × 10 5 0.1 and C L m a x ( C L m a x ) R e 2 × 10 5 0.2
There are no wind tunnel data published for the LRN1015 below the R e = 5 × 10 5 in [23], so Xfoil estimates were used at R e = 5 × 10 4 adjusting to Mach 0.5 using Prandtl–Glauert correction (i.e., Equation (13.1), p. 480 of [64] to obtain ( C L α = 4.94 / rad , C L m a x = 0.866 ) . These data were then scaled to wind tunnel data [23] at R e = 5 × 10 5 and Mach 0.5 ( C L α = 6.76 / rad , C L m a x = 1.52 ) to obtain approximate power indices for the lift-curve slope and maximum lift of 0.136 and 0.244 , respectively. Applying these scales to our wind tunnel data ( C L α = 0.0505 / deg , C L m a x = 0.630 @ 12.5 deg ) yielded a lift-curve slope of 0.074/deg and maximum lift of 1.25 at the R e = 5 × 10 5 . At Reynolds numbers above R e = 5 × 10 5 , the wind tunnel data of [23] could be used to estimate the more gradual Reynolds number effects to our full scale and CFD R e = 3 × 10 6 , giving indices of 0.119 and 0.127 for the lift curve slope and maximum lift, respectively. (The data used were C L α = 0.084 / deg , C L m a x = 1.3 @ Re = 5 × 10 5 , and C L α = 0.099 / deg , C L m a x = 1.55 @ Re = 2 × 10 6 ). Applying these more gradual indices yielded final corrected wind tunnel data of C L α = 0.0916 / deg , C L m a x = 1.57 for Re = 3 × 10 6 , which are within 2.7 % of the C L α = 0.0941 / deg obtained in our CFD and are encouraging for projecting the CFD slope to a maximum in Figure 18.
Both the experimental and CFD datasets demonstrated a similar parabolic trend in the drag, confirming the expected quadratic growth of drag with the angle of attack, Figure 10. As expected for the low Reynolds number, the wind tunnel results are much higher than the CFD-predicted values because the boundary layer is laminar. For the CFD, minimum drag occurred around 1.1 degrees, whereas for the wind tunnel, it was around 0.6 degrees. Using Equation (5), the wind tunnel C D m i n = 0.0810 result was based on A = 0.143, B = 0.111, and C = 0.1025, whereas for the CFD, it was 0.0375. Scaling the drag for the difference between a laminar one at R e l a m i n a r = 3 × 10 4 to a predominantly turbulent boundary layer at R e t u r b u l e n t = 3 × 10 6 required a scaling of the average turbulent skin friction on the numerator and average laminar skin friction on the denominator, with an adjustment for skin friction drag compressibility to our cruise condition of M = 0.52 based upon the Equations (16)–(43), (16)–(40), and (16)–(44) in [13] (pp. 684–685), respectively, as follows:
S c a l i n g l a m t u r b = 0.455 l o g 10 R e t u r b u l e n t 2.58 × R e l a m i n a r 1.328 × 1 1 + 0.144 M 2 0.65
The scaling adjusted the expected minimum drag from the wind tunnel laminar value of 0.0810 to 0.0397 much closer to the values expected analytically and from CFD. The additional drag could be due to the unique very low laminar separation discussed by [62], surface roughness differences discussed by [13] (Chapter 8), and other scaling factors outlined by [65].
The final comparison of aerodynamic lift and drag from analytical, CFD, and scaled wind tunnel experimentation is summarised in Table 15. Scaling the wind tunnel data reproduced the general aerodynamic trends of the CFD and theoretical predictions, despite the low Reynolds number testing regime and experimental limitations. Future work should employ a larger model and higher-speed facility to achieve better dynamic similarity with operational Reynolds numbers, enabling quantitative validation of CFD predictions and a more accurate assessment of the Raven’s aerodynamic performance.

7. Conclusions

This study redefines the MQ-9A mission to persistent, long-range, high-altitude maritime protection and proposes subsequent modifications, resulting in the MQ-9X Raven. The impacts of three modifications were investigated, including engine replacement to a Williams FJ44-4A low-bypass turbofan, a higher aspect ratio 79 ft wing using the LRN1015 airfoil, and integration of the AGM-184 store. Theoretical and statistical sizing, stability analysis, simulation, CFD, and wind tunnel analysis were used to determine that the MQ-9X concept would likely satisfy the new maritime protection mission.
The analysis showed the updated thrust-to-weight and wing loading of the aircraft are consistent with high-altitude efficient flight whilst maintaining a power surplus at 50,000 ft. Analytically derived longitudinal and lateral directional derivative estimates, together with simulation verification, indicate overall Level 1 flying characteristics using a modified Y tail. Further qualitative analysis suggests the FJ-44 installation would reduce acoustic and IR signature from the ground, with an overall RCS comparable to the baseline.
The early CFD highlighted likely boundary layer ingestion and a local stagnation at the nacelle lip, requiring raising of the inlet and a new forward overhang to ingest cleaner airflow. The low Reynold wind tunnel tests supported expected trends and overall viability but only with problematic scaling, highlighting the need for either a wind tunnel with higher Reynold Numbers or sub-scale flight testing to obtain quantitative validation.
Overall, the MQ-9X Raven is an upgraded version of the MQ-9, delivering on the altitude, range, endurance, and carriage requirements required for standoff maritime protection while maintaining benign flying qualities.

Author Contributions

Conceptualisation, A.R., P.D., L.W.M., N.O., R.T., J.T., M.G.T. and K.J.J.; methodology, A.R., P.D., L.W.M., N.O., R.T., J.T., K.F.J., M.G.T. and K.J.J.; formal analysis, A.R., P.D., L.W.M., N.O., R.T., J.T. and K.F.J.; investigation, A.R., P.D., L.W.M., N.O., R.T., J.T. and K.F.J.; data curation, A.R., P.D., L.W.M., N.O., R.T. and J.T.; writing—original draft preparation, A.R., P.D., L.W.M., N.O., R.T., J.T. and K.F.J.; writing—review and editing, M.G.T., K.J.J. and K.F.J.; visualisation, A.R., P.D., L.W.M., N.O., R.T., J.T. and K.F.J.; supervision, K.F.J., M.G.T. and K.J.J.; project administration, A.R. and K.F.J.; funding acquisition, M.G.T. and K.J.J. All authors have read and agreed to the published version of the manuscript.

Funding

This research received no external funding.

Institutional Review Board Statement

Not applicable.

Informed Consent Statement

Not applicable.

Data Availability Statement

The original contributions presented in this study are included in the article. Further inquiries can be directed to the corresponding author.

Conflicts of Interest

The authors declare no conflicts of interest.

Abbreviations

The following abbreviations are used in this manuscript:
AGM-184Designation of a releasable store for maritime interdiction
BSFCBrake-Specific Fuel Consumption
CoGCentre of Gravity
FJFan Jet
HBRHigh-Bypass Ratio
IRInfrared
ISRIntelligence, Surveillance, and Reconnaissance
LBRLow-Bypass Ratio
MDOMultidisciplinary Design Optimisation
MLUMid-Life Update/Upgrade
MOIMoments of Inertia
MTOWMaximum Take-Off Weight
TAThrust Available
TRThrust Required
TSFCThrust-Specific Fuel Consumption
UAVUncrewed Aerial Vehicle
UNSWUniversity of New South Wales
WTWind Tunnel

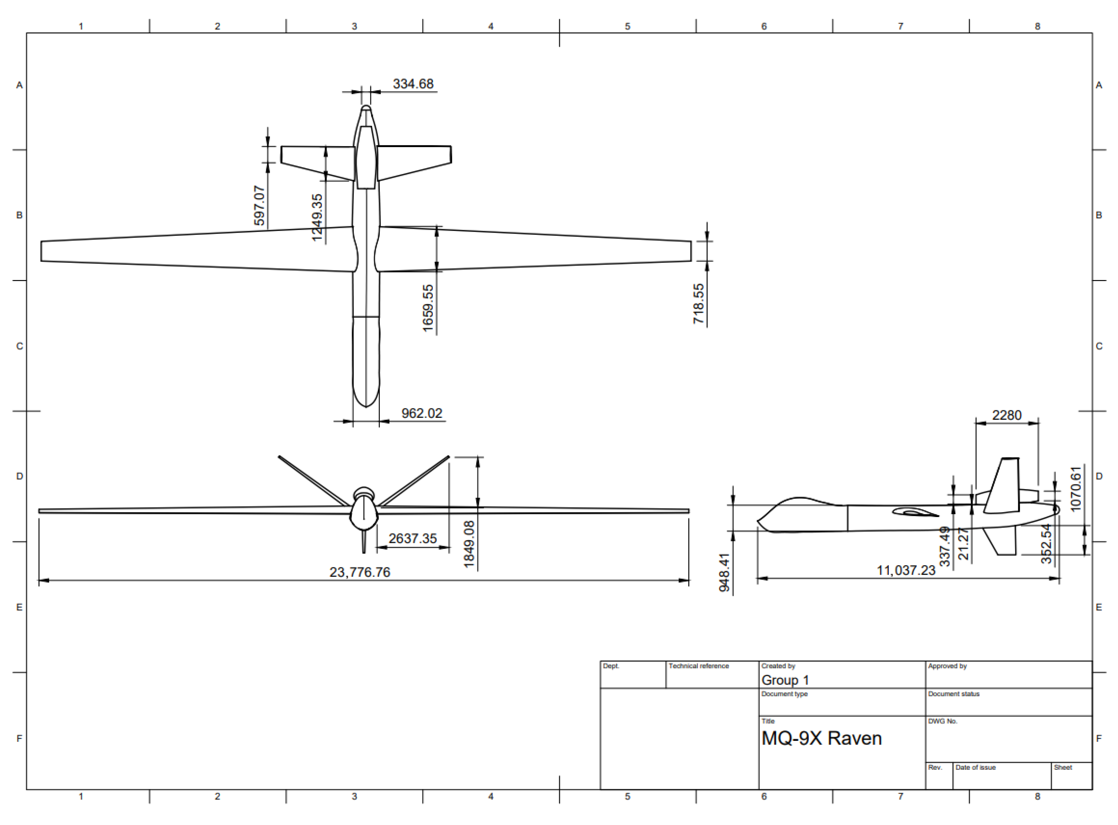
Appendix A. 3-View Diagram and Additional Information

Figure A1. 3-view drawing of Raven.
Figure A1. 3-view drawing of Raven.
Aerospace 13 00044 g0a1
Figure A2. Constant Energy Height Map.
Figure A2. Constant Energy Height Map.
Aerospace 13 00044 g0a2
Figure A3. Specific Excess Power Plot.
Figure A3. Specific Excess Power Plot.
Aerospace 13 00044 g0a3
Figure A4. Specific Excess Power Contours (Mattingly lapse, ISA to 90,000 ft).
Figure A4. Specific Excess Power Contours (Mattingly lapse, ISA to 90,000 ft).
Aerospace 13 00044 g0a4
Table A1. Store Integration Test Campaign Matrix.
Table A1. Store Integration Test Campaign Matrix.
Test IDPhaseTest CaseSpeedAltitudeConfiguration
P1-CAD-001Phase 1MOI extraction & CAD verificationN/AN/AN/A
P1-CFD-001Phase 1CFD—Isolated AGM-184 across AoA/Mach0.1–0.8 MachSea level to
45,000 ft
Isolated store
P1-CFD-002Phase 1CFD—Store attached to pylon on wing0.1–0.8 MachSea level to
45,000 ft
Store on pylon,
multiple stations
P1-AERO-001Phase 1DATCOM/AVL coefficient derivation0–0.9 MachSea level to
45,000 ft
Store & aircraft
models
P1-FEM-001Phase 1FEM structural analysis of pylon & wingN/AN/AStatic & dynamic
loads
P1-FLUT-001Phase 1Aeroelastic/flutter analysis with store0–0.9 MachSea level to
45,000 ft
Full aircraft with
store
P1-AST-001Phase 1ASTERIX separation modelling—baseline0.1–0.6 MachSea level to
45,000 ft
Clean & loaded
P2-WT-001Phase 2Wind tunnel—isolated store balance testsScaled Mach
ranges
N/AScale model
P2-WT-002Phase 2Wind tunnel—store on semi-span modelScaled Mach
ranges
N/ASemi-span
wing + pylon
P3-GND-001Phase 3Pylon static proof load & fitting checksN/AN/AStatic ground
P3-ENV-001Phase 3EMC/EMI & DO-160G environmental tests (avionics & store)N/AN/AGround lab
P4-CAP-001Phase 4Captive carry—low speed envelope expansionUp to 0.3 MachUp to 10,000 ftClean
P4-CAP-002Phase 4Captive carry—high altitude/high speedUp to 0.8 MachUp to 40,000 ftClean & transit
P5-REL-001Phase 5Instrumented release—benign conditions (low speed)0.1–0.2 Mach10,000–20,000 ftClean
P5-REL-002Phase 5Instrumented release—expanded envelope0.3–0.8 Mach5000–45,000 ftVarious flap/trim
P6-LVE-001Phase 6Captive live-stores ferryTransit speedsOperational cruiseClean
P7-LIVE-001Phase 7Live AGM-184 store release & mission validationOperational
release speeds
Operational release
altitude 45,000 ft
Mission
representative
CERT-001Phase 8Certification dossier compilation & submissionN/AN/AN/A

References

  1. General Atomics Aeronautical Systems, Inc. MQ-9A Remotely Piloted Aircraft, n.d. Available online: https://www.ga-asi.com/remotely-piloted-aircraft/mq-9a (accessed on 2 June 2025).
  2. Gray, J.S.; Hwang, J.T.; Martins, J.R.R.A.; Moore, K.T.; Naylor, B.A. OpenMDAO: An open-source framework for multidisciplinary design, analysis, and optimization. Struct. Multidiscip. Optim. 2019, 59, 1075–1104. [Google Scholar] [CrossRef]
  3. Alves, B.; Marta, A.; Félix, L. Multidisciplinary Optimisation of an eVTOL UAV With a Hydrogen Fuel Cell. In Proceedings of the 2022 International Conference on Unmanned Aircraft Systems (ICUAS), Dubrovnik, Croatia, 21–24 June 2022; pp. 134–143. [Google Scholar] [CrossRef]
  4. Roussos, S.; Karatzas, E.; Kostopoulos, V.; Lappas, V. Conceptual Design of a Low-Cost Class-III Turbofan-Based UCAV Loyal Wingman. Aerospace 2025, 12, 556. [Google Scholar] [CrossRef]
  5. Roberts, D.; Capezzuto, R. Development, Test, and Integration of the AGM-114 Hellfire Missile System and FLIR/Laser on the H-60 Aircraft; Professional Paper ADA368636; Naval Air Warfare Center Aircraft Division: Patuxent River, MD, USA, 1998. [Google Scholar]
  6. Della Vecchia, P.; Mandorino, M.; Cusati, V.; Nicolosi, F. Retrofitting Cost Modeling in Aircraft Design. Aerospace 2022, 9, 349. [Google Scholar] [CrossRef]
  7. Magnuson, S. Air Force Looks to Upgrade Reaper Unmanned Aircraft. Natl. Def. 2017, 102, 26–27. [Google Scholar]
  8. General Atomics Aeronautical Systems, Inc. The Netherlands to Upgrade Their MQ-9A Capabilities. 2024. Available online: https://www.ga.com/the-netherlands-to-upgrade-their-mq-9a-capabilities (accessed on 16 December 2025).
  9. Zountouridou, E.; Kiokes, G.; Dimeas, A.; Prousalidis, J.; Hatziargyriou, N. A Guide to Unmanned Aerial Vehicles Performance Analysis—The MQ-9 Unmanned Air Vehicle Case Study. J. Eng. 2023, 2023, e12270. [Google Scholar] [CrossRef]
  10. Adeleke, O.A.; Abbe, G.E.; Jemitola, P.O.; Thomas, S. Design of the Wing of a Medium Altitude Long Endurance UAV. Int. J. Eng. Manuf. (IJEM) 2022, 12, 37–47. [Google Scholar] [CrossRef]
  11. Gudmundsson, S. General Aviation Aircraft Design: Applied Methods and Procedures; Butterworth–Heinemann: Oxford, UK, 2013. [Google Scholar]
  12. Smithsonian Institution. Williams FJ44 Turbofan Engine; Smithsonian Institution: Washington, DC, USA, 2025. [Google Scholar]
  13. Gudmundsson, S. General Aviation Aircraft Design: Applied Methods and Procedures, 2nd ed.; Elsevier: Amsterdam, The Netherlands, 2022. [Google Scholar]
  14. JD Tech Sales. Hydraulic Actuator Replacement Using Electromechanical Technology, n.d. White Paper. JD Tech Sales Website. Available online: https://www.jdtechsales.com/wp-content/uploads/2018/12/Hydraulic-Actuator-Replacement-using-Electromechancial-Technology_Whitepaper.pdf (accessed on 29 July 2025).
  15. Torenbeek, E. Advanced Aircraft Design: Conceptual Design, Analysis and Optimization of Subsonic Civil Airplanes; John Wiley & Sons: Chichester, UK, 2013. [Google Scholar]
  16. Ostermann, M.; Schodl, J.; Lieberzeit, P.A.; Bilotto, P.; Valtiner, M. Lightning Strike Protection: Current Challenges and Future Possibilities. Materials 2023, 16, 1743. [Google Scholar] [CrossRef] [PubMed]
  17. Markish, J. Valuation Techniques for Commercial Aircraft Program Design. Ph.D. Thesis, Massachusetts Institute of Technology, Cambridge, MA, USA, 2002. [Google Scholar]
  18. Autodesk. Welcome to Fusion Product Documentation. Online, 2025. Build v.2603.1.15 (July 20). Available online: https://www.autodesk.com/products/fusion-360/blog/july-2025-product-update-whats-new/ (accessed on 30 July 2025).
  19. UNSW. CAD Basics: Fusion 360, Essential Tutorials to Start with CAD Using Autodesk Fusion 360. Online. 2025. Available online: https://www.making.unsw.edu.au/dfl/facilities/advanced-manufacturing-lab/learn-fusion-360-online/ (accessed on 30 July 2025).
  20. Mach Tres. General Atomics MQ-1 Predator/MQ-9 Reaper. Available online: https://www.machtres.com/lang1/predator.html (accessed on 22 May 2025).
  21. Patterson, M.D.; Arena, M.V. UAV Employment in Korea: A Concept for the Future; Technical Report ADA427459; RAND Corporation: Santa Monica, CA, USA, 2004. [Google Scholar]
  22. Manaf, M.Z.A.; Mat, S.; Mansor, S.; Nasir, M.N.; Lazim, T.M.; Ali, W.; Othman, N. Influences of External Store on Aerodynamic Performance of UTM-LST Generic Light Aircraft Model. J. Adv. Res. Fluid Mech. Therm. Sci. 2017, 39, 36–46. [Google Scholar]
  23. Hicks, R.M.; Cliff, S.E. An Evaluation of Three Two-Dimensional Computational Fluid Dynamics Codes Including Low Reynolds Numbers and Transonic Mach Numbers; Technical Report; NASA: Washington, DC, USA, 1991. [Google Scholar]
  24. van Kuik, G. The Fluid Dynamic Basis for Actuator Disc and Rotor Theories: Revised Second Edition; TU Delft Open Publishing: Delft, The Netherlands, 2022. [Google Scholar]
  25. European Union Aviation Safety Agency (EASA). Type-Certification Data Sheet for FJ44/FJ33 Series Engines; European Union Aviation Safety Agency (EASA): Cologne, Germany, 2021. [Google Scholar]
  26. NETAVIO. Williams FJ44-4A Full Authority Digital Engine Control (FADEC) Controlled Turbofan Engines; X-Plane.org Forum; Laminar Research: Columbia, South Carolina, USA, 2021. [Google Scholar]
  27. International Standard Atmosphere (ISA). Performance of the Jet Transport Airplane: Analysis Methods, Flight Operations and Regulations; International Standard Atmosphere (ISA): Paris, France, 2017; pp. 583–590. [Google Scholar]
  28. Williams International. Home Page—Williams International. 2025. Available online: https://www.williams-int.com/ (accessed on 21 December 2025).
  29. Schmidle, N. The Unblinking Stare—The Drone War in Pakistan. The New Yorker. 2014. Available online: https://www.newyorker.com/magazine/2014/11/24/unblinking-stare (accessed on 21 December 2025).
  30. Huff, D.L. Noise Reduction Technologies for Turbofan Engines; Technical Report; NASA Glenn Research Center: Cleveland, OH, USA, 2007. [Google Scholar]
  31. Austin, R. Unmanned Aircraft Systems: UAV Design, Development and Deployment; John Wiley & Sons: Hoboken, NJ, USA, 2010. [Google Scholar]
  32. NASA Glenn Research Center. Noise-Reduction Benefits for Over-the-Wing Mounted Engines; Technical Report; NASA: Washington, DC, USA, 1999. [Google Scholar]
  33. Williams International. FJ44-4A-QPM Engine Features for Pilatus PC-24. Flying Magazine. 2014. Available online: https://www.flyingmag.com/williams-fj44-4a-qpm-engine-earns-faa-and-easa-certification/ (accessed on 21 December 2025).
  34. Sutliff, D.L.; Elliott, D.M.; Jones, M.G.; Hartley, T.C. Attenuation of FJ44 Turbofan Engine Noise with a Foam-Metal Liner Installed Over-the-Rotor; Technical Report; NASA Glenn Research Center: Cleveland, OH, USA, 2009. [Google Scholar]
  35. Joint Air Power Competence Centre. The Vulnerabilities of Unmanned Aircraft System Components; Countering Unmanned Aircraft Systems (C-UAS): Kalkar, Germany, 2020; Chapter 4. [Google Scholar]
  36. General Atomics Aeronautical Systems. MQ-20 Avenger (Predator C) Data Sheet, 2018. Available online: https://www.ga-asi.com/remotely-piloted-aircraft/predator-c-avenger (accessed on 21 December 2025).
  37. Zhou, Z.; Huang, J. Study of the Radar Cross-Section of Turbofan Engine with Biaxial Multirotor Based on Dynamic Scattering Method. Energies 2020, 13, 5802. [Google Scholar] [CrossRef]
  38. Dunstone, P.; Medway, L.; O’Neill, N.; Tenhave, J.; Tenneti, R. Critical Analysis of the MQ-9A Reaper and Proposed Modifications; Technical Report; University of New South Wales at the Australian Defence Force Academy: Canberra, Australia, 2025; Unpublished work. [Google Scholar]
  39. Nelson, R.C. Flight Stability and Automatic Control, 2nd ed.; McGraw-Hill: Columbus, OH, USA, 2007. [Google Scholar]
  40. Stengel, R.F. Flight Dynamics; Princeton University Press: Princeton, NJ, USA, 2005. [Google Scholar]
  41. YouTube Video Creator. Dynamic Longitudinal Stability. YouTube Video, n.d. Available online: https://www.youtube.com/watch?v=YUO6iO8VipE (accessed on 29 July 2025).
  42. Cook, M.V. Chapter 6—Longitudinal Dynamics. In Flight Dynamics Principles, 3rd ed.; Butterworth-Heinemann: Oxford, UK, 2013; pp. 147–181. [Google Scholar] [CrossRef]
  43. Stability and Control. Volume I: Stability and Control Flight Test Techniques; Technical Report; Air Force Flight Test Center: Edwards Air Force Base, CA, USA, 1974; Volume I. [Google Scholar]
  44. Budziak, K.S. Aerodynamic Analysis with Athena Vortex Lattice (AVL), n.d. Available online: https://www.fzt.haw-hamburg.de/pers/Scholz/arbeiten/TextBudziak.pdf (accessed on 21 December 2025).
  45. Drela, M.; Youngren, H. AVL. 2025. Available online: https://web.mit.edu/drela/Public/web/avl/ (accessed on 15 December 2025).
  46. Litherland, B. Modeling Best-Practices for VSPAERO, 2021. 2021 OpenVSP Workshop, Virtual Broadcast. Available online: https://www.youtube.com/watch?v=MBqCAGQobVE (accessed on 21 December 2025).
  47. Anafi, S.O.; Najam, T.; Pampori, A.M.; Moses, J.K. Enhanced Stability and Aerodynamic Performance of the Skywalker X8 UAV using a V-Tail: A Comprehensive Modeling and Analysis Using OpenVSP Software. In Proceedings of the AIAA 2025-0145: Session: Modeling and Simulation of UAS/UAM/AAM Vehicle Dynamics, Systems, and Environments I, Orlando, FL, USA, 6–10 January 2025. [Google Scholar]
  48. Kish, B. Lateral/Directional Dynamic Stability [YouTube Video]. 2020. Available online: https://www.youtube.com/watch?v=wfFS6Ned1K4 (accessed on 3 November 2025).
  49. Research, L. X-Plane 11 Digital Download (Desktop Edition). Digital Download for Windows, macOS and Linux. 2023. Available online: https://www.x-plane.com/product/desktop/ (accessed on 3 November 2025).
  50. Drela, M.; Youngren, H. Athena Vortex Lattice (AVL)—Aerodynamic and Flight-Dynamic Analysis Program. 2022. Available online: http://everyspec.com/MIL-HDBK/MIL-HDBK-1500-1799/MIL_HDBK_1763_1775/ (accessed on 3 November 2025).
  51. Aircraft/Stores Compatibility: Systems Engineering Data Requirements and Test Procedures; Technical Report MIL-HDBK-1763; US DoD Handbook, dated 15 June 1998; United States Department of Defense: Arlington, VA, USA, 1998.
  52. Aircraft/Stores Certification Procedures. Technical Report STANAG 7068, 2nd ed.; NATO Military Agency for Standardization: Brussels, Belgium, 2001. [Google Scholar]
  53. Jaime Australia Pty Ltd. ASTERIX Users Guide; Jaime Australia Pty Ltd.: Sydney, Australia, 2025. [Google Scholar]
  54. European Defence Agency; Military Airworthiness Authorities Forum. European Military Airworthiness Certification Criteria (EMACC) Handbook, 2.1 ed.; 2015; Available online: https://eda.europa.eu/docs/default-source/documents/emacc-hdbk-edition-3-0-(1-feb-2018)—endorsed-for-release.pdf (accessed on 3 November 2025).
  55. AGARDograph. Aircraft Stores Compatibility, Integration and Separation Testing; NATO Research and Technology Organisation. 2014. Available online: https://www.sto.nato.int/document/aircraft-stores-compatibility-integration-and-separation-testing/ (accessed on 3 November 2025).
  56. Tutty, M.; Cenko, A. Neuromorphic Aircraft Stores Centric Expendable, Returnable Networked Technology (N-ASCENT). Provisional Patent 2024904274, 22 December 2024. [Google Scholar]
  57. Tutty, M.G.; Cenko, A. Aircraft Stores Compatibility and Novel Uses of Analogy. In Proceedings of the AIAA SciTech 2025 Forum, Orlando, FL, USA, 6–10 January 2025; Paper 2418c. American Institute of Aeronautics and Astronautics: Reston, VA, USA, 2025. [Google Scholar]
  58. Leibinger, N. Investigation into the Use of Neuromorphic Sensors for the Capture of Aircraft Stores Separation and Carriage Events; Final Report; School of Engineering and Technology, University of New South Wales Canberra, Australian Defence Force Academy: Campbell, Australia, 2025. [Google Scholar]
  59. Zen13. Naval Strike Missile (Thing: 6891849). 2024. Available online: https://www.thingiverse.com/thing:6891849 (accessed on 21 December 2025).
  60. Force, U.A. RQ-4 Global Hawk, 2014. Available online: https://www.af.mil/About-Us/Fact-Sheets/Display/Article/104516/rq-4-global-hawk/ (accessed on 21 December 2025).
  61. Daugherty, J.C. Ames Unitary Plan Wind Tunnel Blockage Recommendations. 1984. Available online: https://www.nasa.gov/wp-content/uploads/2023/06/upwt-blockage-recommendations.pdf (accessed on 8 October 2025).
  62. Winslow, J.; Otsuka, H.; Govindarajan, B.; Chopra, I. Basic Understanding of Airfoil Characteristics at Low Reynolds Numbers. J. Aircr. 2018, 55, 1050–1061. [Google Scholar] [CrossRef]
  63. Rona, A.; Soueid, H. Boundary layer trips for low Reynolds number wind tunnel tests. In Proceedings of the 48th AIAA Aerospace Sciences Meeting, Orlando, FL, USA, 4–7 January 2010; p. 399. [Google Scholar]
  64. Barlow, J.B.; Rae, W.H.J.; Pope, A. Low-Speed Wind Tunnel Testing, 3rd ed.; John Wiley & Sons Inc.: Hoboken, NJ, USA, 2018. [Google Scholar]
  65. Traub, L.W. Scale Effects in Wind Tunnel Testing: Extrapolation of the Drag Coefficient. J. Aircr. 2024, 61, 1482–1489. [Google Scholar] [CrossRef]
Figure 1. Redefined Raven mission profile. 0–1 is warm up and takeoff, 1–2 is climb, 2–3 is first cruise, 3 is stores release, 3–4 is second cruise, 4–5 is descend, 5+ is land and park.
Figure 1. Redefined Raven mission profile. 0–1 is warm up and takeoff, 1–2 is climb, 2–3 is first cruise, 3 is stores release, 3–4 is second cruise, 4–5 is descend, 5+ is land and park.
Aerospace 13 00044 g001
Figure 2. Centre-of-gravity (CG) envelope for the Raven, showing the forward and aft limits derived from nose landing gear (NLG) and main landing gear (MLG) structural constraints. The shaded region represents the permissible CG range across the aircraft weight envelope.
Figure 2. Centre-of-gravity (CG) envelope for the Raven, showing the forward and aft limits derived from nose landing gear (NLG) and main landing gear (MLG) structural constraints. The shaded region represents the permissible CG range across the aircraft weight envelope.
Aerospace 13 00044 g002
Figure 3. Thrust available versus thrust required plotted for airspeed at 50,000 ft International Standard Atmosphere (ISA) conditions.
Figure 3. Thrust available versus thrust required plotted for airspeed at 50,000 ft International Standard Atmosphere (ISA) conditions.
Aerospace 13 00044 g003
Figure 4. Surface pressure plot at β = 6 for M = 0.52 , R e N o = 3.0 × 10 6 , α = 1 . 5 , and CG located 5.713 m aft of the nose.
Figure 4. Surface pressure plot at β = 6 for M = 0.52 , R e N o = 3.0 × 10 6 , α = 1 . 5 , and CG located 5.713 m aft of the nose.
Aerospace 13 00044 g004
Figure 5. β -Sweep for M = 0.52 , R e N o = 3.0 × 10 6 , α = 1 . 5 , and CG located 5.713 m aft of the nose.
Figure 5. β -Sweep for M = 0.52 , R e N o = 3.0 × 10 6 , α = 1 . 5 , and CG located 5.713 m aft of the nose.
Aerospace 13 00044 g005
Figure 6. Three Raven tail variants for further stability analysis. (a) Standard MQ-9; (b) Inverted Y; (c) Horiz/vert projected.
Figure 6. Three Raven tail variants for further stability analysis. (a) Standard MQ-9; (b) Inverted Y; (c) Horiz/vert projected.
Aerospace 13 00044 g006
Figure 7. Static stability of 3 tail variants.
Figure 7. Static stability of 3 tail variants.
Aerospace 13 00044 g007
Figure 8. Example AVL Python script for the Dutch roll mode with the Raven Y tail. The white aircraft outline is the static position, while the red outline shows the dynamic deviation with time for that case.
Figure 8. Example AVL Python script for the Dutch roll mode with the Raven Y tail. The white aircraft outline is the static position, while the red outline shows the dynamic deviation with time for that case.
Aerospace 13 00044 g008
Figure 9. Comparison of lift slope results.
Figure 9. Comparison of lift slope results.
Aerospace 13 00044 g009
Figure 10. Drag coefficient C D versus angle of attack (AoA) (Notes: error bars: 95% confidence intervals; wind tunnel results in blue).
Figure 10. Drag coefficient C D versus angle of attack (AoA) (Notes: error bars: 95% confidence intervals; wind tunnel results in blue).
Aerospace 13 00044 g010
Figure 11. Velocity contour on aircraft’s plane of symmetry.
Figure 11. Velocity contour on aircraft’s plane of symmetry.
Aerospace 13 00044 g011
Figure 12. Streamlines around the fuselage indicating changes to velocity magnitudes.
Figure 12. Streamlines around the fuselage indicating changes to velocity magnitudes.
Aerospace 13 00044 g012
Figure 13. Velocity contour on aircraft’s plane of symmetry at the engine inlet.
Figure 13. Velocity contour on aircraft’s plane of symmetry at the engine inlet.
Aerospace 13 00044 g013
Figure 14. Lambda2 Criterion iso-surface of engine section, with upper limit set to −100 (Note an ANSYS method number 12.1.8.1.2.1.).
Figure 14. Lambda2 Criterion iso-surface of engine section, with upper limit set to −100 (Note an ANSYS method number 12.1.8.1.2.1.).
Aerospace 13 00044 g014
Figure 15. Image of RQ-4 Globalhawk showing engine inlet clearance (vertical yellow arrow) and overhang for delayed stagnation (horizontal yellow arrow) [60].
Figure 15. Image of RQ-4 Globalhawk showing engine inlet clearance (vertical yellow arrow) and overhang for delayed stagnation (horizontal yellow arrow) [60].
Aerospace 13 00044 g015
Figure 16. Manufacture of wind tunnel model. (a) CAD wing mold; (b) CAD fuselage model.
Figure 16. Manufacture of wind tunnel model. (a) CAD wing mold; (b) CAD fuselage model.
Aerospace 13 00044 g016
Figure 17. Wind tunnel model mounted.
Figure 17. Wind tunnel model mounted.
Aerospace 13 00044 g017
Figure 18. Lift coefficient C L versus angle of attack (AoA) (Note: error bars are 95% confidence intervals, and pink colour shows the wind tunnel results).
Figure 18. Lift coefficient C L versus angle of attack (AoA) (Note: error bars are 95% confidence intervals, and pink colour shows the wind tunnel results).
Aerospace 13 00044 g018
Table 1. Weight estimates for the MQ-9X Raven.
Table 1. Weight estimates for the MQ-9X Raven.
Component [Text Method]AbbreviationMass [lb]
Fuselage [10,11] W F U S 543.32
Main Landing Gear (MLG) [11] W M L G 159.33
Nose Landing Gear (NLG) [11] W N L G 47.14
Nacelle [11] W N A C 199.08
Installed dry engine [11,12] W E N G 599.66
Fuel system [11] W F S 598
Furnishings [11] W f u r n 220.18
Wing [9,13] W w i n g 1067.6
Empennage [13] W e m p 120.5
Actuators [13,14] W a c t 29.4
Flight controls [13] W F C 210.9
Electrical [13] W e l e c 131.3
Avionics [13] W A V 392.4
Anti-icing [15] W A I 88.2
Lightening protection [16] W L P 44.33
Table 2. Estimated moments of inertia changes from the redesign.
Table 2. Estimated moments of inertia changes from the redesign.
I xx (kg.m2) I yy (kg.m2) I zz (kg.m2)
MQ-9B 29 , 195 9540 37 , 491
MQ-9X 15 , 013 12 , 735 27 , 233
Δ (%) 48.56 + 33.50 27.35
Table 3. Summary of flow conditions at engine inlet.
Table 3. Summary of flow conditions at engine inlet.
ConditionAltitude M 1 p T 1 (N/m2) T 1 (K) ρ 1 (kg/m3)
Static Take-OffSL0.42 8.98 × 10 4 255.31.23
Cruise50,000 ft0.51 9.69 × 10 3 181.10.187
Table 4. Operational characteristics summary: MQ-9A versus MQ-9X Raven.
Table 4. Operational characteristics summary: MQ-9A versus MQ-9X Raven.
CharacteristicMQ-9A (Current)MQ-9X Raven (Proposed)
Role/Mission FocusMulti-mission ISR and InterdictionPersistent, Long-Range, High-Altitude ISR, and Long-Range Interdiction
Endurance (Maximum)27 h (Claimed)13 h (Mission Time + Transit)
Ceiling (Claimed/Operating)50,000 ft (Claimed)50,000 ft (Operating Altitude)
Cruise Speed (Redefined)N/A (Max Speed 240 kts)130 KIAS (300 KTAS)
Operational Radius (Redefined)N/A1800 nm (Based on 6-h Cruise at 300 KTAS)
MTOW4672 kg6123 kg
Wingspan66 ft (20.1 m)79 ft (24.08 m)
PowerplantHoneywell TPE331-10GD Turboprop , 900 shaft hp, BSFC 0.534 lb/hr/shp, Uninstalled Engine and Propeller 525 lbsWilliams FJ-44A, 16.10 kN at Takeoff, TSFC 0.485 lb/lbf/hr, Uninstalled Weight 600 lbs
Thrust to Weight 0.063 0.090
Wing Loading (N.m−2) 252.3 572.6
Thrust to Weight 0.063 0.090
Fuel Capacity6000 lb  (2720 kg)no change
AirfoilStandard MQ-9ALRN1015
Primary Releasable StoresStandard (Implied, Not Detailed)AGM-184
Cruise ProfilePrimarily Medium Altitude, Slow SpeedPersistent High-Altitude (50,000 ft), Higher Airspeed
Climb Rate (Requirement)N/A (Reference: ≤2000 ft/min)>2000 ft/min
Table 5. Longitudinal stability and damping derivatives at cruise, calculated per [11].
Table 5. Longitudinal stability and damping derivatives at cruise, calculated per [11].
DerivativeDescriptionValue
C M q W B Pitch Damping Coefficient wing-body 0.65 s/rad
C M q H T Pitch Damping Coefficient horizontal-tail 15.30 s/rad
C M q Pitch Damping Coefficient total 15.95  s/rad
C M α ˙ Downwash-Lag Pitching Moment Coefficient 3.595 s/rad
C L α Lift-Curve Slope 21.25 rad 1
C M α W Longitudinal Stability—wing≈0
C M α H T Longitudinal Stability—horizontal tail 2.07
C M α F U S Longitudinal Stability—fuselage 0.0064
C M α N A C Longitudinal Stability—nacelle 0.0064
C M α Longitudinal Stability—total 2.06 s / rad
M q Dimensional Pitch Rate 0.378 s / rad
M ˙ α Dimensional AoA Rate 0.0851 N s / rad
L α Dimensional Normal Force AoA Rate 1997.31 N / rad
M α Dimensional Pitching Moment AoA Rate 12.66 N m / rad
Table 6. Dihedral effect C l β for the MQ-9X Raven.
Table 6. Dihedral effect C l β for the MQ-9X Raven.
ComponentParameter/Description C l β (rad−1)
WingMain planar surface, Γ = 0 dihedral0
V-taildihedral effect, Γ = 36 0.1428
Ventral finSecondary coupling contribution 0.00042
Total (aircraft) 0.1424
Table 7. Simulation dynamic stability values for 3 tail variants.
Table 7. Simulation dynamic stability values for 3 tail variants.
Phugoid Short Period Dutch Roll Spiral
ζ Ph ω Ph ζ SP ω SP ζ DR ω DP T [s]
Standard0.03600.1100.9930.6620.09061.6695.5
Inverted Y0.02870.1070.9130.6570.08371.2374.6
Horiz/Vert0.03020.1100.9600.7980.07631.31104
Table 8. Simulation dynamic stability levels.
Table 8. Simulation dynamic stability levels.
PhugoidShort PeriodDutch RollSpiral
StandardLevel 2Level 1Level 1Level 1
Inverted YLevel 2Level 1Level 2Level 1
Horiz/VertLevel 2Level 1Level 2Level 1
Table 9. AVL capabilities used for AGM-184 store analysis.
Table 9. AVL capabilities used for AGM-184 store analysis.
CapabilityDescription
Static stability and trim analysisPrediction of aerodynamic forces and moments and determination of trim points for given flight conditions.
Dynamic stability (eigenmode/root-locus)Linearised small-perturbation eigenvalue analysis to obtain short period, phugoid, Dutch roll, and other modes.
Control surface and mass property modellingInclusion of control surface deflections, CG location, and approximate moments of inertia (MOI) to assess control authority and stability derivatives.
Table 10. Key longitudinal stability results from AVL ( α -sweep).
Table 10. Key longitudinal stability results from AVL ( α -sweep).
ParameterValueComment
Neutral point, X n p 1.1378 Non-dimensionalised about reference chord
Static margin≈1.7–2%Small static margin; trade-off manoeuvrability vs. stability
C m α 0.1286 Negative slope indicates static stability in pitch
Table 11. Trim feasibility across representative operating conditions.
Table 11. Trim feasibility across representative operating conditions.
ConditionAltitudeSpeedTrim Achieved? α (deg)
MQ-9 cruise reference50,000 ft300 KTASNo>150 (no feasible trim)
MQ-9 cruise + AGM-184 speed50,000 ftMach 0.9Yes (but impractical) 50 (high drag)
AGM-184 nominal cruise (sea level)Sea levelMach 0.9Yes 4 . 8 (efficient sea-skimming trim)
Table 12. Dynamic stability eigenmodes at trimmed sea-level condition (AVL eigenvalue analysis).
Table 12. Dynamic stability eigenmodes at trimmed sea-level condition (AVL eigenvalue analysis).
ModeFrequency
(Cycles/s)
Damping
Ratio
Stability/Comment
Short Period 0.1977 0.1491 Stable (adequate damping in pitch)
Phugoid 0.0068 0.0514 Stable (slow lightly-damped phugoid)
Dutch Roll 0.4351 0.0073 Lightly unstable/nearly neutral (yaw damping augmentation likely required)
Table 13. Mesh independence and mesh quality comparison.
Table 13. Mesh independence and mesh quality comparison.
Mesh TypeCell Count C L C D
Poor mesh∼15,000,000 0.882048 0.033853
Improved mesh∼8,000,000 0.857514 0.03843
Table 14. Key geometric parameters of the 1/67th-scale MQ-9X Raven wind tunnel model.
Table 14. Key geometric parameters of the 1/67th-scale MQ-9X Raven wind tunnel model.
ParameterValue
Scale ratio 1 : 67
Wingspan 360 mm
average chord 18.3 mm
Fuselage length 164 mm
Dist. from nose to wing LE 72 mm
V-tail semi-span52 mm
Wing area 0.006778 m 2
Aspect ratio 19.28
Surface roughness 0.8 μ m
Table 15. Final aerodynamic comparison for the MQ-9X Raven at cruise speed and altitude (Note: AoA refers to aircraft AoA for cruise required C L of 0.945 with a wing set angle of 5 degrees).
Table 15. Final aerodynamic comparison for the MQ-9X Raven at cruise speed and altitude (Note: AoA refers to aircraft AoA for cruise required C L of 0.945 with a wing set angle of 5 degrees).
Method C L α (per deg) A o A (deg) C L m a x C D C D m i n
(1) Analytical 0.1112 3.30 1.8 0.0368 0.0328
(2) CFD 0.0941 0.82 N/A 0.0402 0.0375
Raw WT 0.0505 N/A 0.630 N/A 0.0810
(3) Scaled WT 0.0916 6.90 1.57 0.0520 0.0397
Δ ( 1 ) ( 2 ) ( | % | ) 18302N/A914
Δ ( 1 ) ( 3 ) ( | % | ) 21109154121
Δ ( 2 ) ( 3 ) ( | % | ) 3741N/A296
Disclaimer/Publisher’s Note: The statements, opinions and data contained in all publications are solely those of the individual author(s) and contributor(s) and not of MDPI and/or the editor(s). MDPI and/or the editor(s) disclaim responsibility for any injury to people or property resulting from any ideas, methods, instructions or products referred to in the content.

Share and Cite

MDPI and ACS Style

Reitsma, A.; Dunstone, P.; Medway, L.W.; O’Neill, N.; Tenneti, R.; Tenhave, J.; Joiner, K.F.; Tutty, M.G.; Joyce, K.J. Improving the Design and Performance of MQ-9 Aircraft to Provide Pervasive High-Altitude Maritime Protection Capability. Aerospace 2026, 13, 44. https://doi.org/10.3390/aerospace13010044

AMA Style

Reitsma A, Dunstone P, Medway LW, O’Neill N, Tenneti R, Tenhave J, Joiner KF, Tutty MG, Joyce KJ. Improving the Design and Performance of MQ-9 Aircraft to Provide Pervasive High-Altitude Maritime Protection Capability. Aerospace. 2026; 13(1):44. https://doi.org/10.3390/aerospace13010044

Chicago/Turabian Style

Reitsma, Alan, Patrick Dunstone, Lachlan W. Medway, Nicholas O’Neill, Rishabh Tenneti, Jackson Tenhave, Keith Francis Joiner, Malcolm G. Tutty, and Keirin J. Joyce. 2026. "Improving the Design and Performance of MQ-9 Aircraft to Provide Pervasive High-Altitude Maritime Protection Capability" Aerospace 13, no. 1: 44. https://doi.org/10.3390/aerospace13010044

APA Style

Reitsma, A., Dunstone, P., Medway, L. W., O’Neill, N., Tenneti, R., Tenhave, J., Joiner, K. F., Tutty, M. G., & Joyce, K. J. (2026). Improving the Design and Performance of MQ-9 Aircraft to Provide Pervasive High-Altitude Maritime Protection Capability. Aerospace, 13(1), 44. https://doi.org/10.3390/aerospace13010044

Note that from the first issue of 2016, this journal uses article numbers instead of page numbers. See further details here.

Article Metrics

Back to TopTop