Next Article in Journal
Data-Driven Adaptive Control of Transonic Buffet via Localized Morphing Skin
Previous Article in Journal
Operator Dynamics Approach to Short-Arc Orbital Prediction Based on the Wigner Distribution
Previous Article in Special Issue
Comparative Study of Sphere Decoding Algorithm and FCS-MPC for PMSMs in Aircraft Application
 
 
Font Type:
Arial Georgia Verdana
Font Size:
Aa Aa Aa
Line Spacing:
Column Width:
Background:
Article

Demagnetization Fault Diagnosis Based on Coupled Multi-Physics Characteristics of Aviation Permanent Magnet Synchronous Motor

1
Electronic Information and Automation Institute, Civil Aviation University of China, Tianjin 300300, China
2
Tianjin Key Laboratory of Aeronautical Power Distribution System, Tianjin 300300, China
*
Author to whom correspondence should be addressed.
Aerospace 2026, 13(1), 39; https://doi.org/10.3390/aerospace13010039
Submission received: 27 October 2025 / Revised: 18 December 2025 / Accepted: 25 December 2025 / Published: 30 December 2025
(This article belongs to the Special Issue Aircraft Electric Power System II: Motor Drive Design and Control)

Abstract

Aviation permanent magnet synchronous motors (PMSMs) operate with high power density under high-altitude conditions, where the thermal sensitivity of permanent magnet materials and reduced air density make them prone to demagnetization faults. Even small performance degradation can therefore pose a risk to operational safety, and reliable demagnetization diagnosis is required. This paper analyzes the operating characteristics of an aviation interior PMSM under demagnetization faults and develops a dedicated diagnostic approach. A coupled electromagnetic–thermal finite element model is established to evaluate no-load and rated performance, compute losses under rated conditions, and obtain temperature distributions; the electromagnetic model is further corroborated using an RT-LAB semi-physical real-time simulation of the motor body. Altitude-dependent ambient air properties corresponding to 5000 m are then incorporated to assess the magneto–thermal field distribution and reveal the impact of high-altitude operation on temperature rise and demagnetization risk. Based on the thermal analysis, overall demagnetization faults are classified into several temperature-based levels, and representative local demagnetization cases are constructed; for each fault case, time-domain torque and phase-voltage signals and their frequency-domain components are extracted to form a fault dataset. Building on these features, an intelligent diagnostic method integrating a deep belief network (DBN) and an extreme learning machine (ELM) optimized by an enhanced fireworks algorithm (EnFWA) is proposed. Comparative results show that the proposed DBN–ELM–EnFWA framework achieves a favorable trade-off between diagnostic accuracy and training time compared with several benchmark deep learning models, providing a practical and effective tool for demagnetization fault diagnosis in aviation interior PMSMs.

1. Introduction

Electric aircraft have attracted significant research attention due to their potential for reduced noise, improved environmental sustainability, and lower reliance on fossil fuels [1,2]. For lift and cruise applications, high power density is essential [3]. Permanent magnet synchronous motors (PMSMs) are widely applied in electric aircraft because of their simple structure, excellent controllability, high energy density, and reliability. However, at high altitudes, low atmospheric pressure, reduced air density, and low ambient temperature significantly weaken convective cooling. Combined with their inherently high power density, aviation PMSMs are prone to heat accumulation. Rising motor temperature can cause demagnetization of the permanent magnets, leading to torque reduction, eccentric rotation, or even catastrophic motor failure [4]. Therefore, investigating and diagnosing demagnetization faults under coupled multi-physics conditions is crucial for aviation PMSMs.
Scholars have conducted extensive research on demagnetization fault diagnosis in PMSMs to enhance their operational lifespan and reliability. A major line of work focuses on accurate time–frequency characterization for early fault detection. Ref. [5] employs a wavelet-transform-based motor current signature analysis technique to analyze current signals under transient conditions. Using finite element analysis, Ref. [6] constructs demagnetization fault models at different severity levels and investigates the associated stator current spectra via wavelet transform. Ref. [7] combines wavelet packet decomposition and sample entropy, and experimentally shows that the 5th and 7th harmonics are significantly influenced by demagnetization and can serve as diagnostic indicators. These studies demonstrate that time–frequency methods are effective for detecting local demagnetization. However, overall demagnetization does not produce strong magnetic field asymmetry, and the resulting spectral variations are often weak, making it difficult to reliably distinguish overall demagnetization from local demagnetization using time–frequency features alone.
To overcome these limitations, other studies have exploited additional physical quantities. Ref. [8] proposes an online diagnostic method for PMSMs that targets rotor demagnetization and eccentricity based on the spatiotemporal characteristics of stator tooth flux using a multi-search-coil detection device. Reference [9] diagnoses faults in surface mounted PMSMs by analyzing output torque while accounting for saturation, slot structure, and fault severity, and validates the results via finite element simulations. Ref. [10] detects harmonic components of induced electromotive force caused by shaft oscillations under demagnetization. Ref. [11] introduces a physics-based indicator and identifies the 8th stator current harmonic as a sensitive demagnetization marker. Refs. [12,13] use search coils or stator tooth flux measurements to locate and quantify demagnetization, demonstrating the ability to distinguish between overall and local faults. In general, these methods infer the motor state from parameters such as phase voltage, current, magnetic flux, speed, and torque. However, their performance depends strongly on motor geometry, winding layout, sensor configuration, and observer design, which can reduce robustness and generalizability under varying operating and environmental conditions, especially in aviation scenarios.
To address these challenges, this paper develops a finite element method (FEM)-based framework to analyze the electromagnetic characteristics of an interior aviation PMSM under no-load, rated, and multiple demagnetization fault conditions. Motor losses under rated operating conditions are calculated, and a coupled magneto–thermal model is established considering the ambient air properties at the flight-altitude environment. On this basis, demagnetization faults are classified into temperature-based overall levels and representative local cases, and their effects on air-gap flux density, back-EMF, and torque are analyzed to extract physically meaningful features. Building on these features, a DBN–ELM diagnostic framework optimized by an enhanced fireworks algorithm (EnFWA) is proposed and compared with several deep-learning benchmarks, demonstrating a favorable trade-off between diagnostic accuracy and training time for aviation PMSM demagnetization fault diagnosis.

2. Finite Element Modeling and Magneto–Thermal Analysis of Aviation PMSMs

2.1. Electromagnetic Modeling of Aviation PMSMs

In this study, a specific aviation interior permanent magnet synchronous motor (IPMSM) is selected as the reference machine. The motor is designed for high-power-density aerospace applications and adopts a compact rotor topology with interior permanent magnets. Its main geometric and electrical parameters (including stator/rotor dimensions, winding configuration, and rated operating point) are summarized in Table 1. Subsequent electromagnetic and magneto–thermal analyses are carried out on the basis of this reference machine.
High power density is required for interior PMSMs used in aviation applications. The permanent magnet (PM) is one of the core components of PMSMs, and the choice of PM material largely determines the electromagnetic performance of the motor. However, due to their high temperature sensitivity, PM materials should be selected with high remanence and coercive force, and with the highest possible allowable operating temperature. At the same time, given the scarcity and cost of rare-earth materials, economic factors must also be considered. Taking these aspects into account, NdFeB is adopted in this study, and the B–H curve of the material at normal temperature is shown in Figure 1.
On account of the magnetic reluctance of the air gap, most of the magnetic energy is stored in this region. A relatively small air-gap width is conducive to increasing the air-gap flux density and reducing leakage loss. In addition, it helps reduce the overall motor size and increase energy density. The trapezoidal slot has a larger internal area and a smaller opening, which facilitates the arrangement of windings and keeps the slot fill factor within a suitable range. Double-layer windings place two layers of conductors in each slot with insulation between them, and can be designed to suppress high-order harmonics. According to Equation (1), the number of slots per pole per phase is determined to be 3.
q = Z 2 p m
Z is the number of stator slots. p is pole pairs. m is the number of phases. q is the number of slots per pole per phase.
The structure and mesh of the motor and main parameters are shown in Figure 2 and Table 1.

2.2. Analysis of Electromagnetic Characteristics

As the no-load back electromotive force (BEF) of the motor is an important parameter, the no-load BEF E0 can be calculated with Equation (2).
E 0 = 4.44 f K N φ
f is electrical frequency. K is winding coefficient. N is number of turns. φ is average magnetic flux through winding. No-load BEF and its amplitude of odd harmonics during a single electrical period are extracted and shown in Figure 3. The three-phase no-load BEF has an approximate sinusoidal waveform and each odd harmonic component is low relative to the fundamental component. The amplitude of odd harmonics of no-load BEF is summarized in Table 2 and the U phase is taken as an example to give the percentage of odd harmonics proportion as shown in Table 3.
It can be seen from Table 3 that the percentage of each odd harmonic of the no-load back-EMF is mostly lower than 3%. From the above analysis, it can be concluded that the motor runs under the rated operating condition.
Figure 4 shows the spatial magnetic flux density distribution of the air gap under no-load conditions. The magnetic flux density distribution of the motor at each pole is reasonable and approximately sinusoidal in circumferential space. The magnetic flux density of the air gap fluctuates because of the PM arrangement and the cogging effect of the stator. The rated output torque of the motor is shown in Figure 5. The torque pulsates to a certain extent because of the existence of cogging torque.
PMSMs will produce various kinds of losses under rated conditions where the electrical frequency is higher. Figure 6 shows the loss curve of the steel material. Because of the high frequency of aviation power supply, the rotor adopts a laminated structure to reduce eddy current loss. In addition, under high electrical frequency, the loss increases significantly, and methods for reducing the loss should be considered. Moreover, the cooling and heat dissipation capacity of the motor should be improved accordingly.
Loss of PMSMs mainly includes iron loss, winding eddy loss, permanent magnet hysteresis loss and mechanical loss. Accurate calculation of loss is the basis of coupled multi-physics modeling. The most widely used calculation method for iron loss is Bertotti’s model, which divides iron core loss into three parts: hysteresis loss, core loss and excess loss [14]. The expression is as follows:
P F e = P h + P c + P e           = K h f B m 2 + K c f 2 B m 2 + K e f 1.5 B m 1.5 ρ c o r e V F e
PFe is iron loss. Ph is hysteresis loss. Pc is core loss. Pe is excess loss. f is core magnetization frequency. Bm is amplitude of magnetic density. Kh is hysteresis loss coefficient. Kc is core loss coefficient. Ke is excess loss coefficient. ρcore is density of the core. VFe is core magnetization volume.
In the calculation of steady thermal model, the initial heat source of the model is defined by the heat generation rate. The calculation formula of the heat generation rate q is shown as Equation (4):
q = Q V
Q is total heat. V is volume. Therefore, the heat generation rate of each part of the motor is obtained. Except the coil which is calculated in root mean square, other parts are calculated in average. The details of the loss and heat generation rate for each part of the motor are summarized in Table 4.
To further validate the accuracy of the finite element electromagnetic model, a semi-physical simulation was conducted on the RT-LAB platform. The OP5700 real-time simulator (OPAL-RT Technologies Inc., Montreal, QC, Canada), which integrates a multi-core target computer, a reconfigurable FPGA, and modular I/O conditioning boards, is well suited for verifying the complex operational requirements of aviation PMSMs. It supports high-speed data exchange through fiber-optic channels and up to 256 I/O lines, enabling flexible interfacing with external systems.
In this study, the OP5700 was configured to reproduce the rated operating conditions of the motor, allowing the real-time execution of the PMSM model and providing dynamic responses consistent with practical operation. This setup ensures that finite element analysis (FEA) results can be cross-verified in a real-time environment, establishing a complementary validation framework that bridges the gap between offline simulations and actual operating conditions. Figure 7 shows the OP5700 simulator used in this study.
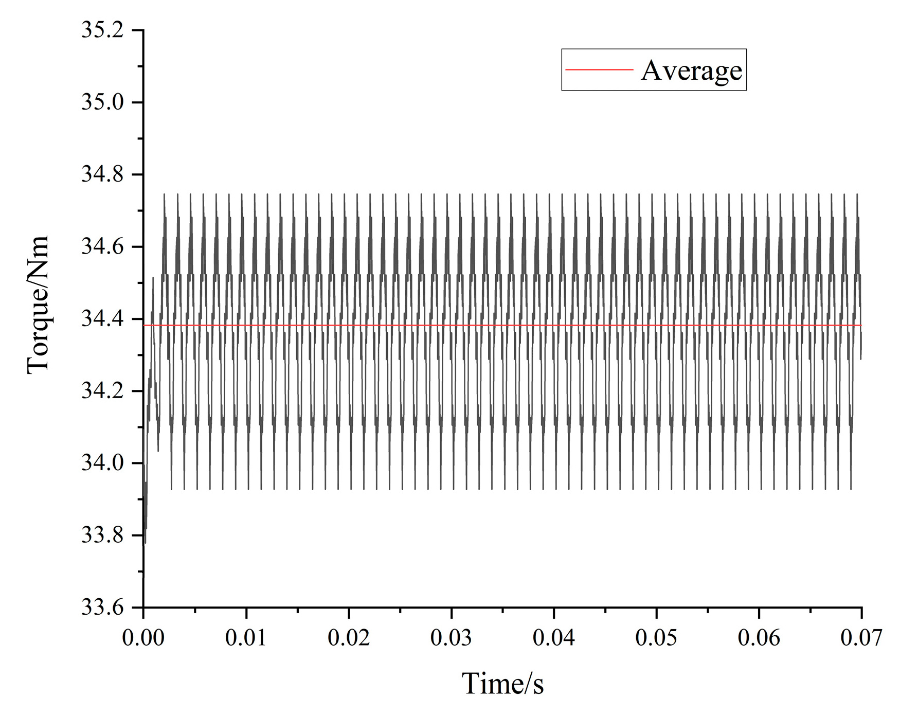
In this process, the IPMSM parameters exported from finite element model—including the motor type, stator phase resistance, d–q axis inductances, permanent-magnet flux linkage, back-EMF characteristics, and the torque–speed curve—were imported directly into RT-LAB to construct the dynamic model of the machine. These electromagnetic parameters ensure that the real-time simulation reflects the same steady-state and transient behavior predicted by the finite element analysis. The RT-LAB implementation further incorporates the inverter switching model, DC-bus voltage, and control-loop parameters to form a closed-loop real-time simulation environment. Under rated-speed and rated-torque conditions, the output torque waveform obtained in RT-LAB was recorded and compared with the finite-element results. As shown in Figure 8, the two waveforms show strong agreement in both average torque and ripple characteristics, demonstrating that the electromagnetic behavior of the PMSM is accurately reproduced in real-time simulation and confirming the reliability of the electromagnetic model used in this study.
The finite element model directly simulates the steady-state operation results of the motor, whereas the semi-physical simulation model is a dynamic model that requires a certain duration to reach a stable state. Its output fluctuates less, and the output torque tends to stabilize after 4000 points, reflecting good control performance. The output torque finally stabilizes at about 34.3 N·m, with an error of approximately 0.58% compared with the mean output torque of the finite element model.

2.3. Thermal Modeling of Aviation PMSMs

The distribution of loss is symmetrical due to the symmetry of the motor’s geometric structure. Although the internal structure of the motor is complex, most of the losses are concentrated in the windings, stator, and rotor. Therefore, in order to balance computational accuracy and modeling effort, the internal structure of the motor can be simplified to some extent.
The motor windings are designed in double layers and are evenly distributed in the stator slots. Each winding consists of multiple turns of wire, with each turn coated in insulating rubber to prevent short-circuit faults. However, an excessive number of turns makes the thermal model overly complex while contributing little to the improvement of analysis accuracy. Hence, each winding can be regarded as an independent thermal structure with an insulating coating on its surface. The double-layer winding structure consists of two identical layers, which can be equivalently modeled as two parallel conductors. The equivalent structure is illustrated in Figure 9.
In order to reduce eddy current loss, the stator and rotor adopt a laminated structure, with each layer coated in insulation to ensure electrical isolation and mitigate the eddy current effect. Since the thermal study is conducted under steady-state conditions and assumes uniform heat dissipation across all components, the stator and rotor are treated as equivalent whole structures in the thermal analysis, and their dimensions remain unchanged after equivalence [15]. Figure 10 illustrates the equivalent structure.
Aviation PMSMs operate under diverse conditions as aircraft undergo taxiing, climbing, cruising, descending, and landing throughout the flight cycle. These phases are accompanied by variations in altitude, which cause significant changes in the external environment. With increasing altitude, the air density and pressure decrease markedly, the ambient temperature drops, and the convective cooling capacity of the surrounding airflow is substantially weakened. Among these flight phases, the cruise stage occupies the largest proportion of the total duration and is therefore selected as the representative operating background in this study. At present, the cruising altitude of all-electric aircraft is typically within the range of 1000 m to 5000 m. To account for the most demanding cooling condition and ensure sufficient thermal dissipation margin, a cruising altitude of 5000 m is adopted in the analysis.
The changes in the dynamic viscosity and thermal conductivity of air with altitude can be determined using Sutherland’s equation [16]. The expression is as follows:
μ T = μ A T T A 3 2 T A + S μ T + S μ
k T = k A T T A 3 2 T A + S k T + S k
Sμ and Sk are constants; TA, μA and kA are the Kelvin temperature, dynamic viscosity and thermal conductivity at a temperature of 0 °C, respectively. Therefore, the physical parameters of the air at an altitude of 5000 m can be calculated, the physical parameters of air at 0 m and 5000 m altitude are presented in Table 5.
To balance computational efficiency and accuracy, the thermal model of the motor is simplified with the following assumptions:
(1)
The fluid inside and around the motor is treated as incompressible.
(2)
Gravitational and buoyancy effects of the fluid are neglected.
(3)
The fluid flow is assumed to be laminar.
As summarized in Table 5, the ambient air at 5000 m exhibits substantially reduced density and moderately increased kinematic viscosity compared with sea level. These changes collectively lead to a noticeably lower Reynolds number for the same characteristic length and airflow velocity. A reduced Reynolds number weakens the convective heat-transfer capability of the surrounding air, making external cooling less effective. As a result, under identical internal losses, the windings, stator core, and permanent magnets tend to reach higher steady-state temperatures at 5000 m, thereby increasing the risk of thermally induced demagnetization in aviation PMSMs.
To justify the laminar-flow assumption adopted in the thermal model, the Reynolds number was estimated using the motor’s characteristic length and typical forced-convection velocities found in aviation equipment bays. Owing to the significantly lower air density and higher kinematic viscosity at high altitude, the resulting Reynolds number remains well below the conventional laminar-to-turbulent transition threshold. This confirms that the external airflow stays within the laminar regime under the conditions considered, and thus the modeling assumption is appropriate.
Under these assumptions, an equivalent thermal model of the motor is established. At an altitude of 5000 m, the reduced air density and lower pressure significantly weaken the effectiveness of forced convection cooling, limiting the ability of airflow to remove heat from the motor surface. As a result, heat accumulation in the windings, stator, and permanent magnets becomes more pronounced, and the overall thermal field shifts toward higher equilibrium temperatures. Although the axial temperature gradient remains relatively small due to the approximately uniform airflow, the elevated absolute temperature level increases the risk of magnet demagnetization and insulation degradation. The computational domain is defined such that the forward wall along the z-axis is set as the velocity inlet and the rear wall as the pressure outlet, while the remaining four walls are treated as adiabatic. The complete configuration is illustrated in Figure 11, with the four adiabatic walls hidden for clarity.
These assumptions and boundary conditions not only simplify the thermal model while maintaining sufficient accuracy but also provide a consistent basis for coupling the electromagnetic loss distribution with the thermal field, enabling an integrated magneto–thermal analysis of the aviation PMSM. Although these assumptions simplify the thermal model, they mainly affect local temperature non-uniformities rather than the average temperatures of the windings, core, and magnets. Since the demagnetization analysis in this study depends primarily on these average temperature levels and their trends, the simplified model remains sufficient for supporting the subsequent fault modeling and diagnostic framework.

2.4. Process and Result Analysis of Magneto-Thermal Coupling

In aviation PMSMs, the electromagnetic and thermal fields are strongly coupled, and the high-altitude environment further aggravates thermal challenges due to reduced air density and weakened convection. Magneto-thermal coupling analysis is therefore essential. To balance computational cost and accuracy, this paper adopts a one-way coupling approach, where electromagnetic losses obtained from finite element analysis are introduced as heat sources in the thermal model. This method provides reliable results while maintaining computational efficiency. On this basis, the main steps of magneto-thermal coupling analysis are as follows:
(1) First, the magnetic analysis model and the thermal analysis model of the aviation PMSM are established, and then the losses of each part of the motor are obtained from the magnetic field analysis.
(2) The thermal parameters are initialized, including equivalent modeling, the initial heat-generation rate, and the calculation of thermal conductivity.
(3) The computational domain and boundary conditions are defined. Specifically, inlet and outlet conditions are set along the motor’s z-axis to simulate forced convection, while the remaining walls are treated as adiabatic. The initial temperature distribution and fluid parameters are assigned in accordance with high-altitude ambient conditions, consistent with the assumptions described in the previous section.
(4) After all conditions are set, the magneto–thermal coupling model is executed. The temperature curves of each component are monitored to determine whether the motor has reached a steady state. If the temperature has not converged, the number of simulation steps is increased until thermal equilibrium is achieved.
The flowchart is shown in Figure 12:
The simulation results are shown in Figure 13. The permanent magnet starts at an initial temperature of 20 °C and stabilizes at approximately 114 °C after several iterations. Other motor components also reach steady-state conditions following transient fluctuations, where notable temperature variations occur before rated operation is established. The laminated structure effectively mitigates heat generation in the rotor, stator, and permanent magnets; however, for high-power motors, additional cooling strategies remain essential to prevent insulation degradation and potential short-circuit faults. Figure 14 depicts the temperature distribution of the motor. Due to forced convection, the front region maintains relatively lower temperatures, while the axial temperature gradually increases toward the rear. The color scale in the figure indicates temperature levels, with blue representing lower temperatures and red indicating higher temperatures, as shown in the gradient. Nonetheless, the temperature difference between the two ends is small, indicating that demagnetization tends to occur globally rather than locally. This thermally induced demagnetization modifies the electromagnetic performance of the motor, leading to distortions in current, back-EMF, and torque. These variations provide measurable indicators that form the basis for subsequent fault analysis and diagnosis.

3. Analysis and Diagnosis of Demagnetization Fault

3.1. Modeling of Demagnetization Fault

According to the magneto–thermal coupling analysis, the permanent magnet temperature under rated conditions rises from an initial 20 °C and stabilizes at approximately 114 °C. To investigate the influence of progressive thermal loading on overall demagnetization and to construct labeled cases for subsequent analysis and diagnosis, six representative operating points are selected at 20 °C, 40 °C, 60 °C, 80 °C, 100 °C and 120 °C. These operating points are denoted as overall demagnetization faults I–VI. This selection is consistent with both the simulated thermal range of the motor and the thermal characteristics of NdFeB magnets, for which a monotonic decrease in remanence Br(T) and coercive force Hc(T) occurs with rising temperature, with a pronounced decline emerging above approximately 120 °C and potential irreversible demagnetization beyond roughly 150 °C. In the finite element model, each overall demagnetization level is implemented by uniformly scaling down the Br and Hc values of all rotor magnets according to the corresponding temperature level, ensuring that the simulated magnetic weakening reflects the physical degradation induced by thermal loading.
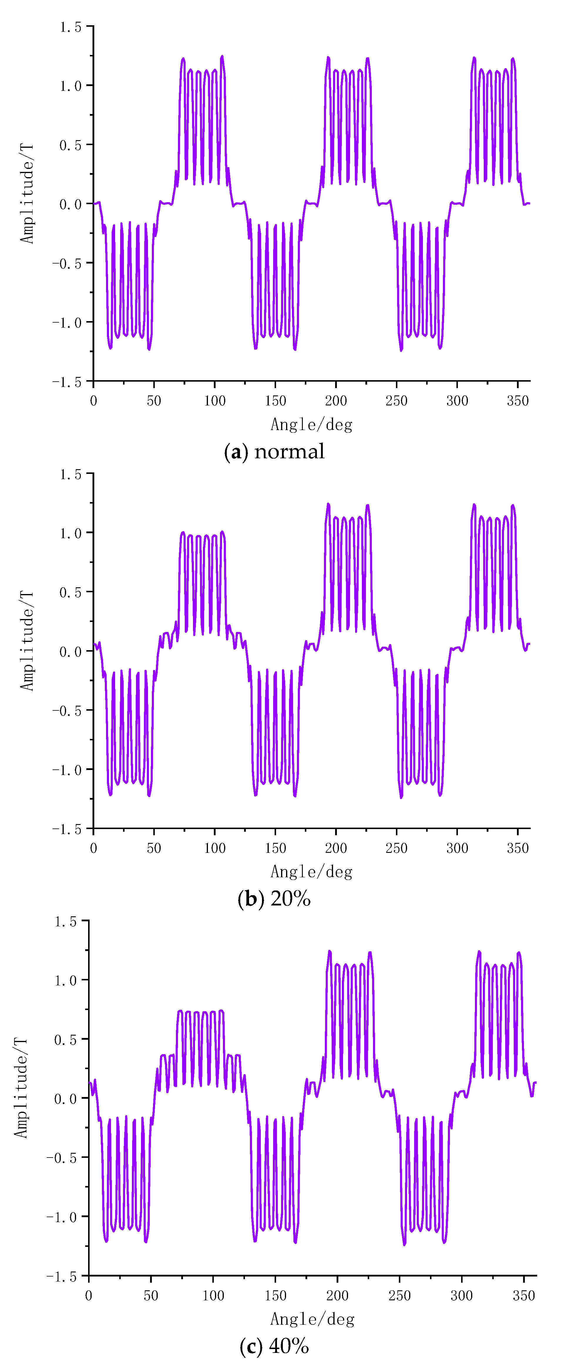
In addition to overall demagnetization, PMSMs may also suffer local demagnetization faults caused by permanent magnet aging, mechanical impact, or manufacturing defects. Local demagnetization leads to torque reduction, torque ripple, and may induce rotor eccentricity, thereby significantly degrading the output performance of the motor. In this paper, two representative local demagnetization cases are considered: 20% demagnetization of a single magnetic pole (Local demagnetization fault I) and 40% demagnetization of a single magnetic pole (Local demagnetization fault II). In the finite element model, local demagnetization is realized by partially reducing the Br and Hc of one pole over a specified angular span, while the remaining poles retain their nominal magnetization. The resulting air-gap flux density distribution exhibits distinct spatial distortion and loss of symmetry compared with the healthy and globally demagnetized cases, as illustrated in Figure 15.
For subsequent feature analysis and diagnostic experiments, the six overall and two local demagnetization cases are assigned unified fault numbers 1–8, and their definitions are summarized in Table 6.

3.2. Feature Analysis of Demagnetization Fault

The remanence and coercivity of a permanent magnet decrease with the increase in temperature. The demagnetization rate Dem of a permanent magnet can be expressed in Equation (7).
D em = B r B r 1 B r
Br is the initial remanence and Br1 is the remanence under the current demagnetization. Most of the magnetic energy is stored in the air gap for the large magnetic reluctance. Therefore, the magnetic density of the air gap becomes an important target to measure the magnetic performance of the motor. Fundamental magnetic flux per pole is shown as Equation (8):
Φ 0 = b B r S ε 0 × 10 4
b’ is the per unit value of the magnetic flux density under the current working condition of the permanent magnet. S is the cross-sectional area of each pole. ε0 is the no-load magnetic leakage coefficient. No-load air gap magnetic density B0 is shown in Equation (9).
B 0 = Φ 0 α τ l e f × 10 4
α is the polar arc coefficient. τ is the pole pitch. lef is the length of the core. As shown in Equations (8) and (9), it can be seen that the fundamental flux of each pole decreases due to the reduction in remanence when demagnetization faults occur, which resulting in the decrease in the air gap magnetic density and the output performance of the motor.
The input electric power P1 can be expressed as
P 1 = P C u + P e
PCu is the copper loss. Electromagnetic power Pe can be expressed as
P e = P F e + P Ω + P 2
PFe is the iron loss. PΩ is the mechanical loss. P2 is the output mechanical power on the shaft. Pe can also be expressed as
P e = 3 U s E 0 x d sin θ + 3 U s 2 x d x q 2 x d x q sin 2 θ
Us is the RMS value of the phase voltage. xq and xd are the reactance of quadrature and direct axis, respectively. ωm is the mechanical angular velocity. θ is the power angle. For the interior PMSM, the electromagnetic torque Te of the motor is divided into basic torque and reluctance torque because of the inequality of quadrature and direct axis reactance. The expression of Te is as follows:
T e = 3 U s E 0 ω m x d sin θ + 3 U s 2 x d x q 2 ω m x d x q sin 2 θ
When the motor operates under no-load conditions, the air-gap magnetic field mainly consists of permanent magnet flux. The amplitude and waveform of the air-gap magnetic flux density are directly determined by the remanence of the permanent magnet. When the motor operates under load, the air-gap magnetic field consists of the permanent magnet field and the field generated by the windings. Due to the winding field, the impact of demagnetization faults on the air-gap magnetic field is relatively weakened. Figure 16 illustrates the no-load and load air-gap magnetic flux density waveforms under six levels of overall demagnetization faults.
When the temperature of the motor rises to 120 °C, that is, the overall demagnetization fault Ⅵ occurs, the air gap magnetic density of both conditions decreases to a certain extent and the reduction is more obvious under no-load operation. Figure 17 can be obtained by intercepting a positive half period of no-load and load air gap magnetic density and taking its average value. It can be seen from Figure 17 that under no-load and load conditions, the mean value of magnetic density decreases with the increase in demagnetization degree. Under the influence of winding magnetic field, the average magnetic density of air gap is larger.
The frequency components of the air-gap magnetic extracted from six kinds of overall demagnetization faults are shown in Table 7. With the increase in demagnetization degree, the fundamental amplitude of the air-gap magnetic density decreases significantly, and other odd harmonics also decrease to varying degrees, except for the ninth harmonic, which increases with demagnetization. The amplitude of the 15th harmonic remains almost unchanged across the different fault levels.
The three-phase voltage shows a decreasing trend as temperature rises, as shown in Figure 18. After extracting the single-phase voltage for FFT analysis, the amplitude of the fundamental frequency component decreases significantly, while the amplitudes of other frequency components, such as the 5th, 13th, and 15th harmonics, exhibit significant variations. At lower temperatures, the voltage does not decrease markedly and exhibits a nonlinear variation with increasing temperature.
Overall demagnetization faults lead to a decrease and fluctuation in output torque. The effect is approximately linear within a relatively low temperature range and exhibits an accelerated decline as temperature increases, as shown in Figure 19.
Local demagnetization faults destroy the symmetry of the air-gap magnetic field, causing the magnetic density to generate several specific frequency harmonics. These harmonics can be expressed as
f d = f 1 ± k p
fd is the characteristic frequency of local demagnetization faults. f is the fundamental frequency. p is the number of pole-pairs. k is a positive integer.
Taking the magnetic density of the stator as an example, the characteristic frequency components of local demagnetization faults are analyzed. According to the equation, several components are generated around the fundamental frequency. Figure 20 illustrates the details, and specific data are presented in Table 8. For different values of k, the characteristic components in Equation (14) are 133.33, 266.67, 533.33, 666.67, 800, 933.33, etc. The calculated results agree with the tabulated data.
The characteristic frequency of local demagnetization faults can be used to distinguish overall demagnetization faults from local demagnetization faults. This characteristic frequency introduces harmonic components into the three-phase voltage. The time and frequency characteristics of the single-phase voltage are shown in Figure 21. Local demagnetization faults lead to characteristic components in the three-phase voltage. Therefore, local demagnetization faults can be diagnosed by extracting the stator voltage frequency and analyzing the amplitudes of specific frequency components.
On account of the asymmetry in the magnetic density distribution under local demagnetization faults, it is deduced that the motor’s voltage and torque will be affected, thereby producing harmonics. Local demagnetization faults weaken the magnetic field generated by the permanent magnets and cause a reduction in output torque, potentially leading to a mismatch between the motor output torque and the load torque. Such asymmetry may also result in eccentric faults when the magnetic pull on the rotor becomes unbalanced. The output torque under demagnetization faults is shown in Figure 22.
As shown in Figure 22, within the range of demagnetization studied in this paper—specifically 20% and 40% demagnetization of a magnetic pole—local demagnetization faults cause greater torque loss than overall demagnetization faults. A rapid decline in torque intensifies the imbalance on the motor’s output shaft, resulting in deceleration, strong current pulsations, and mechanical vibrations, all of which threaten the structural safety of the motor.
The preceding analyses identified the characteristic features of demagnetization faults and clarified their impact on motor behavior. To translate these insights into an effective fault-diagnosis method, a systematic framework is required to extract representative features, ensure robustness against interference, and achieve reliable classification. The following section develops such a diagnostic framework and evaluates its performance.

4. Diagnostic Framework and Performance Evaluation

4.1. Diagnostic Model and Optimization

Traditional time-frequency methods for PMSM fault diagnosis are often limited by their sensitivity to motor geometry and operating conditions, making feature extraction unreliable in complex environments. Deep learning–based approaches, by contrast, can directly learn representative fault characteristics from signal data without relying on the specific structure or operating principles of the machine [17]. To exploit this advantage, this study adopts a hybrid diagnostic framework that integrates a Deep Belief Network (DBN) with an Extreme Learning Machine (ELM) [18].
The DBN, composed of multiple Restricted Boltzmann Machines (RBMs), extracts hierarchical features from input signals through unsupervised pretraining and refines them via supervised fine-tuning. The extracted features are then classified by the ELM, which offers fast training speed and strong generalization ability. By combining the DBN’s feature representation capability with the ELM’s classification efficiency, the proposed framework achieves improved diagnostic accuracy and robustness in identifying PMSM demagnetization faults. The structure of the RBM is shown in Figure 23. During the training stage, the DBN extracts characteristic information from the input signal, while in the fine-tuning stage, the parameters are adjusted according to the learning error.
As a classifier, ELM has a typical three-layer structure consisting of the input layer, the hidden layer and the output layer. The output of ELM oi is shown in Equation (15):
o i = j = 1 ϑ β j δ W j X j + b j
W is the ELM hidden layer weight matrix. b is the ELM hidden layer bias vector. ϑ is the number of ELM hidden layer nodes. i is the number of label layers. β is the weight matrix between the hidden layer and the label layer. X is the output value of the upper-layer. In this paper, ELM, as a label classifier of fault diagnosis model, is placed in the last layer of the model.
Since the diagnostic performance of the DBN–ELM model is highly sensitive to hyperparameter selection, this study introduces an Enhanced Fireworks Algorithm (EnFWA) for optimization. Compared with the traditional Fireworks Algorithm, EnFWA incorporates a dynamic adjustment factor q and a dynamic radius factor μr, expressed as in Equations (16) and (17):
q = 1 n N ζ
μ r = R i f x f min f max f min
n is the current number of iterations. N is the maximum number of iterations. ζ is the adjustment coefficient. f(x) is the fitness function of the algorithm. fmin and fmax is the minimum and maximum value of the fitness function. Ri is the search radius under the current fitness value.
Additionally, EnFWA adopts a roulette-based selection strategy, which dynamically adjusts the search radius as fitness updates, accelerating convergence and reducing the risk of local optima. This optimization ensures that the DBN–ELM model achieves an efficient and robust structure for fault diagnosis.

4.2. Process of Fault Diagnosis and Result Analysis

Before constructing the diagnostic framework, it is necessary to clarify the rationale for feature extraction. Demagnetization faults in IPMSMs manifest primarily as distortions in magnetic flux density, torque fluctuations, and variations in induced voltage. Torque provides a direct reflection of the motor’s electromechanical performance, while the three-phase induced voltage contains abundant fault-related information in both the time and frequency domains. By applying FFT, the frequency components of induced voltage can be decomposed to identify harmonics that are particularly sensitive to demagnetization. Specifically, overall demagnetization is often associated with an increase in the third harmonic due to flux asymmetry, whereas local demagnetization typically produces sideband components near the fundamental frequency. These harmonic variations provide discriminative features that strengthen the separability of different fault modes.
Based on this rationale, the diagnostic dataset is constructed from both time-domain and frequency-domain indicators. The sampled signals include the motor’s output torque and the three-phase induced voltage. FFT analysis is applied to the induced voltage, and each phase is decomposed into 1025 frequency components. The sampling frequency is set to 20 kHz, with a duration of 0.75 s, yielding one torque time series, three voltage time series, and three corresponding voltage spectra under each fault mode. For accuracy and generality, 30 sets of data are recorded per fault, of which 25 are used for model training to determine optimal parameters and 5 for testing. The final data and labels are summarized in Table 9.
On this basis, a hybrid diagnostic model is constructed using a Deep Belief Network–Extreme Learning Machine (DBN–ELM) architecture. Each Restricted Boltzmann Machine (RBM) in the DBN is trained for 20 iterations with a learning rate of 0.01 and an initial momentum coefficient of 0.5. After data preprocessing and white-noise perturbation, the processed samples are fed into the DBN to extract hierarchical features, and the resulting high-level representations are subsequently classified by the ELM.
To obtain an efficient network structure, an enhanced Fireworks Algorithm (EnFWA) is employed to optimize the key hyperparameters of the DBNELM model, primarily the number of neurons in each hidden layer. In this study, the main EnFWA parameters are set as follows: 10 iterations, 20 initial fireworks, an explosion amplitude range of 20–500, 5 mutation fireworks, and an initial explosion radius of 20. EnFWA evaluates candidate solutions using a fitness-based criterion and uses a roulette-based selection mechanism to dynamically adjust the explosion radius, thereby accelerating convergence while reducing the risk of falling into local optima.
During each iteration, the algorithm updates the hyperparameter candidates and computes their fitness values. The optimization process terminates when the fitness satisfies the convergence requirement or when the maximum number of iterations is reached. If the fitness remains unsatisfactory, the iteration budget is increased to further approach the optimal solution. Through this procedure, the DBN–ELM model obtains an optimized structure with improved diagnostic accuracy and stability in the presence of noise, which forms the basis for the subsequent fault diagnosis and performance evaluation.
Data from the eight demagnetization faults form a 240 × 63,075 matrix, where each sample consists of 15,000 torque time-domain points, 45,000 three-phase voltage time-domain points and 3075 frequency-domain components concatenated into a single feature vector. During the actual sampling process of a motor, disturbances such as mechanical and electromagnetic interference are inevitably present. To simulate real-world conditions, Gaussian white noise is introduced to corrupt the sampled data. Standardization and normalization processing are then carried out. Figure 24 shows the effect of white noise, where the data represent the frequency components of the U-phase voltage.
The fault diagnosis model adopts the combination of DBN-ELM and the diagnosis flow chart is shown in Figure 25. The details are as follows:
(1) Demagnetization fault data are obtained using the multi-physical coupling analysis method.
(2) Noise is introduced to simulate real-world operating conditions. The data are then standardized, normalized, and divided into training and testing sets, with labels assigned accordingly.
(3) An optimization algorithm is employed to tune the hyperparameters of the model, thereby obtaining the optimal structure.
(4) The training data are input into the model for learning, and the testing data are subsequently used to perform fault diagnosis.
The results of a single diagnosis are shown in Figure 26. The accuracy of the training set reached 92%, while that of the test set reached 85%. More error points occur in the overall demagnetization faults because the differences among the six fault types are relatively small. The distribution of the other error points is irregular, which may be attributed to the presence of white noise.
To provide a more reliable estimate of the diagnostic performance beyond this single train-test split, a 10-fold cross-validation procedure is additionally performed on the same dataset. Specifically, the dataset is randomly divided into ten subsets of equal size; nine subsets are used for training and the remaining subset for testing, and the procedure is repeated until each subset has served once as the test set. Across the ten folds, the proposed DBN-ELM model achieves an average test accuracy of 89.1% ± 1.2%, indicating that the model maintains stable generalization performance under different data partitions.
Table 10 shows the performance comparison of different fault diagnosis algorithms. In order to further verify the accuracy of the diagnostic model, three benchmark models are selected for comparison.
(1) SDAE + SVM: stacked denoised autoencoder (SDAE) is used to extract features from the original data and reduce the overall dimension of the data. Support vector machine (SVM) is used to classify the data and corresponding fault labels. The hidden layer network structure is [150,75,30]. The sparse coefficient is 0.01. The penalty term has a weight of 2.
(2) CNN + Softmax: convolutional neural networks (CNN) are used for feature extraction and the last layer of the network is classified by softmax classifier. The model has 5 convolutional layers. The size of the convolution kernel in the first layer is 64’1, and the remaining 4 layers are 3’1. The number of neurons in the fully connected layer is 100 and the activation function is Relu function. The softmax layer has eight outputs corresponding to eight faults.
(3) LSTM: model adopts a two-layer LSTM (Long Short Term Memory) structure. The number of neurons in each layer is 20. The Dropout parameter is set to 0.4 and the bottom layer adopts a fully connected layer to classify output.
The model consisting of SDAE and SVM has poor accuracy and long training time. The accuracy of the training set of the diagnostic model CNN + Softmax is better, but the accuracy of the test set is decreased, which means the diagnosis is unstable. The low data dimension may lead to overfitting of the model. The results of the LSTM diagnostic model are stable, and the accuracy of the training set and the test set hardly have differences but both of them are relatively low. Compared with the processing of time series data, the performance of LSTM in the processing of classification diagnosis is dissatisfactory. Overall, the proposed DBN-ELM model achieves a favorable trade-off between diagnostic accuracy and computational efficiency. Although CNN + Softmax attains the highest test accuracy, it shows clear signs of overfitting, whereas DBN-ELM maintains more consistent performance between training and testing and demonstrates strong robustness to noise, making it more suitable for practical aviation applications.
It should also be noted that the present diagnostic evaluation is conducted on simulation data obtained under a single nominal operating condition. While the DBN–ELM model shows stable performance under k-fold validation and noise perturbation, the lack of multi-condition or experimental verification remains a limitation. These aspects will be further addressed in future work when additional data become available.

5. Conclusions

This study develops a magneto–thermal finite element framework and a data-driven diagnostic method to analyze demagnetization faults in an interior aviation PMSM. The coupled analysis reveals that demagnetization induces distinct distortions in air-gap magnetic density, accompanied by characteristic variations in harmonic components. Overall and local demagnetization exhibit different evolution patterns in the third harmonic and several low-order components near the fundamental frequency. These spectral and electromagnetic effects lead to reductions in torque and back-EMF, with torque showing accelerated degradation at higher demagnetization levels. Building on these physical insights, a DBN–ELM diagnostic model optimized by EnFWA is constructed to extract fault-sensitive features and classify demagnetization states. Comparative studies demonstrate that the proposed method achieves competitive accuracy with favorable computational efficiency. While the present investigation concentrates on a representative operating condition, the modeling and diagnostic framework developed here can be readily adapted to broader speed–load scenarios to support further generalization studies. Overall, the findings provide practical guidance for the thermal design and derating assessment of aviation PMSMs under constrained cooling environments and offer a promising diagnostic solution for future condition-monitoring applications in electric aircraft propulsion systems.

Author Contributions

Z.Y.: Conceptualization, Data curation, Funding acquisition, Investigation, Writing—review and editing, Methodology, Supervision. X.Z.: Data curation, Investigation, Methodology, Software, Writing—original draft. Y.Z.: Funding acquisition, Investigation, Project administration, Supervision. All authors have read and agreed to the published version of the manuscript.

Funding

This research was funded by the Tianjin Key Laboratory of Aeronautical Power Distribution System, funding number PD2024-KF03.

Data Availability Statement

Due to privacy and ethical restrictions, the data supporting the reported results are not publicly available.

Conflicts of Interest

The authors declare no conflicts of interest.

References

  1. Sarlioglu, B.; Morris, C.T. More Electric Aircraft: Review, Challenges, and Opportunities for Commercial Transport Air-craft. IEEE Trans. Transp. Electrif 2015, 1, 54–64. [Google Scholar] [CrossRef]
  2. Gohardani, A.S.; Doulgeris, G.; Singh, R. Challenges of future aircraft propulsion: A review of distributed propulsion technology and its potential application for the all electric commercial aircraft. Prog. Aerosp. Sci. 2011, 47, 369–391. [Google Scholar] [CrossRef]
  3. Schefer, H.; Fauth, L.; Kopp, T.H.; Mallwitz, R.; Friebe, J.; Kurrat, M. Discussion on Electric Power Supply Systems for All Electric Aircraft. IEEE Access 2020, 8, 84188–84216. [Google Scholar] [CrossRef]
  4. Wu, G.; Yu, Y.; Tu, W. Review of research on fault diagnosis of permanent magnet synchronous motor. Chin. J. Eng. Des. 2021, 28, 548–558. [Google Scholar] [CrossRef]
  5. Singh, M.; Dubey, G.; Gupta, D.; Siddiqui, K.M.; Chauhan, B.K. Modelling. Simulation and Early Diagnosis of PMSM Demagnetization Fault. In Proceedings of the 2022 1st International Conference on Sustainable Technology for Power and Energy Systems (STPES), Srinagar, India, 4–8 July 2022; pp. 1–6. [Google Scholar] [CrossRef]
  6. Ruiz, J.-R.R.; Rosero, J.A.; Espinosa, A.G.; Romeral, L. Detection of demagnetization faults in permanent-magnet synchronous motors under nonstationary conditions. IEEE Trans. Magn. 2009, 45, 2961–2969. [Google Scholar] [CrossRef]
  7. Zhang, Z.; Ma, H.; Yang, C.; Sun, J. Demagnetization fault diagnosis in permanent magnet synchronous motor com-bination wavelet packet with sample entropy. Electr. Mach. Control 2015, 19, 26–32. [Google Scholar] [CrossRef]
  8. Zeng, C.; Huang, S.; Lei, J.; Wan, Z.; Yang, Y. Online Rotor Fault Diagnosis of Permanent Magnet Synchronous Motors Based on Stator Tooth Flux. IEEE Trans. Ind. Appl. 2021, 57, 2366–2377. [Google Scholar] [CrossRef]
  9. Ebrahimi, B.M.; Faiz, J. Demagnetization fault diagnosis in surface mounted permanent magnet synchronous motors. IEEE Trans. Magn. 2013, 49, 1185–1192. [Google Scholar] [CrossRef]
  10. Urresty, J.-C.; Atashkhooei, R.; Riba, J.-R.; Romeral, L.; Royo, S. Shaft trajectory analysis in a partially demagnetized permanent-magnet synchronous motor. IEEE Trans. Ind. Electron. 2012, 60, 3454–3461. [Google Scholar] [CrossRef]
  11. Ko, Y.; Lee, Y.; Oh, J.; Park, J.; Chang, H.; Kim, N. Current signature identification and analysis for demagnetization fault diagnosis of permanent magnet synchronous motors. Mech. Syst. Signal Process. 2024, 214, 111377. [Google Scholar] [CrossRef]
  12. Gao, C.; Gao, B.; Xu, X.; Si, J.; Hu, Y. Automatic Demagnetization Fault Location of Direct-Drive Permanent Magnet Syn-chronous Motor Using Knowledge Graph. IEEE Trans. Instrum. Meas. 2023, 73, 3502312. [Google Scholar] [CrossRef]
  13. Chong, Z. Research on Fault Diagnosis of Permanent Magnet Synchronous Motor Based on Stator Tooth Flux. Ph.D. Thesis, Chongqing University, Chongqing, China, 2019. [Google Scholar] [CrossRef]
  14. Bertotti, G. General properties of power losses in soft ferromagnetic materials. IEEE Trans. Magn. 1988, 24, 621–630. [Google Scholar] [CrossRef]
  15. Qihao, F. Analysis of Loss and Temperature Field of High Speed Maglev Permanent Magnet Motor. Master’s Thesis, Wuhan University of Technology, Wuhan, China, 2021. [Google Scholar] [CrossRef]
  16. Cao, K. A Study of Fundamental Heat Transfer Behavior at Near-Space Altitudes; The University of Alabama: Tuscaloosa, AL, USA, 2008. [Google Scholar]
  17. Hinton, G.E.; Salakhutdinov, R.R. Reducing the Dimensionality of Data with Neural Networks. Science 2006, 313, 504–507. [Google Scholar] [CrossRef] [PubMed]
  18. Huang, G.-B.; Zhu, Q.-Y.; Siew, C.-K. Extreme learning machine: Theory and applications. Neurocomputing 2006, 70, 489–501. [Google Scholar] [CrossRef]
Figure 1. Magnetization curve.
Figure 1. Magnetization curve.
Aerospace 13 00039 g001
Figure 2. Finite element model and mesh.
Figure 2. Finite element model and mesh.
Aerospace 13 00039 g002
Figure 3. Analysis of back electromotive force.
Figure 3. Analysis of back electromotive force.
Aerospace 13 00039 g003
Figure 4. Spatial magnetic density distribution.
Figure 4. Spatial magnetic density distribution.
Aerospace 13 00039 g004
Figure 5. Output torque.
Figure 5. Output torque.
Aerospace 13 00039 g005
Figure 6. Loss characteristic.
Figure 6. Loss characteristic.
Aerospace 13 00039 g006
Figure 7. OP5700 Real-Time Simulation Hardware.
Figure 7. OP5700 Real-Time Simulation Hardware.
Aerospace 13 00039 g007
Figure 8. Comparison of Output Torque Between the Finite Element Model and the RT-LAB Real-Time Simulation Model.
Figure 8. Comparison of Output Torque Between the Finite Element Model and the RT-LAB Real-Time Simulation Model.
Aerospace 13 00039 g008
Figure 9. Equivalent model of winding.
Figure 9. Equivalent model of winding.
Aerospace 13 00039 g009
Figure 10. Equivalent model of stator.
Figure 10. Equivalent model of stator.
Aerospace 13 00039 g010
Figure 11. Thermal simulation model.
Figure 11. Thermal simulation model.
Aerospace 13 00039 g011
Figure 12. Flow chart of the magneto-thermal coupling model.
Figure 12. Flow chart of the magneto-thermal coupling model.
Aerospace 13 00039 g012
Figure 13. Temperature curve.
Figure 13. Temperature curve.
Aerospace 13 00039 g013
Figure 14. Temperature distribution contour.
Figure 14. Temperature distribution contour.
Aerospace 13 00039 g014
Figure 15. Spatial distribution of air gap magnetic density.
Figure 15. Spatial distribution of air gap magnetic density.
Aerospace 13 00039 g015
Figure 16. Air gap magnetic density waveform.
Figure 16. Air gap magnetic density waveform.
Aerospace 13 00039 g016
Figure 17. Mean value of air gap magnetic density.
Figure 17. Mean value of air gap magnetic density.
Aerospace 13 00039 g017
Figure 18. Induced voltage under overall demagnetization faults and FFT frequency-domain analysis.
Figure 18. Induced voltage under overall demagnetization faults and FFT frequency-domain analysis.
Aerospace 13 00039 g018
Figure 19. Torque under overall demagnetization faults.
Figure 19. Torque under overall demagnetization faults.
Aerospace 13 00039 g019
Figure 20. Frequency of magnetic density.
Figure 20. Frequency of magnetic density.
Aerospace 13 00039 g020
Figure 21. Induced voltage under local demagnetization faults and FFT frequency-domain analysis.
Figure 21. Induced voltage under local demagnetization faults and FFT frequency-domain analysis.
Aerospace 13 00039 g021
Figure 22. Comparison of torque variations under overall and local demagnetization conditions.
Figure 22. Comparison of torque variations under overall and local demagnetization conditions.
Aerospace 13 00039 g022
Figure 23. DBN.
Figure 23. DBN.
Aerospace 13 00039 g023
Figure 24. Noise effect.
Figure 24. Noise effect.
Aerospace 13 00039 g024
Figure 25. Diagnostic flow chart.
Figure 25. Diagnostic flow chart.
Aerospace 13 00039 g025
Figure 26. Diagnostic result.
Figure 26. Diagnostic result.
Aerospace 13 00039 g026
Table 1. Finite element model main parameters.
Table 1. Finite element model main parameters.
ParameterDataParameterData
Rated voltage (V)200Rotor outer diameter (mm)189.4
Notch width (mm)3.68Air gap width (mm)0.3
Rated speed (RPM)8000Number of poles6
stator outer diameter (mm)296inner diameter of stator (mm)190
Winding pitch (slots)6Stator slots54
PM thickness (mm)5.6Notch depth (mm)1.21
Table 2. Harmonic amplitude of three phase back electromotive force under no-load operation.
Table 2. Harmonic amplitude of three phase back electromotive force under no-load operation.
FrequencyUVW
f132.651128.736128.963
3f2.8971.5621.379
5f4.4392.6131.83
7f0.5774.0494.137
9f3.2821.5281.846
11f0.5881.8411.688
13f3.9322.221.742
15f3.8182.2382.544
Table 3. Harmonic amplitude of U phase.
Table 3. Harmonic amplitude of U phase.
FrequencyAmplitudePercentage
f132.651100%
3f2.8972.184%
5f4.4393.346%
7f0.5770.435%
9f3.2822.474%
11f0.5880.443%
13f3.9322.964%
15f3.8182.878%
Table 4. Loss and heat generation rate.
Table 4. Loss and heat generation rate.
PartsLoss (W)Heat Generation Rate (W·m−3)
Stator746.395,856.45
Rotor235.9844,060.07
PM22.68375,000
Coil27.781,392,481.2
Table 5. Comparison Table of Fluid physical parameter at 0 m and 5000 m Altitudes.
Table 5. Comparison Table of Fluid physical parameter at 0 m and 5000 m Altitudes.
ParametersValueValue
Altitude (m)05000
Density/(kg/m3)1.2250.736
Specific Heat Capacity/(J/kg·K)10051005
Thermal conductivity/(W/m·K)0.02570.0243
Thermal diffusivity/(m2/s)2.09 × 10−53.34 × 10−5
Dynamic viscosity/(Ns/m2)1.802 × 10−51.628 × 10−5
Kinematic viscosity (m2/s)1.47 × 10−52.21 × 10−5
Table 6. Summary of overall and local demagnetization fault cases.
Table 6. Summary of overall and local demagnetization fault cases.
DegreeFault NumberFault Label
20 °C (PM temperature)Overall demagnetization fault I1
40 °C (PM temperature)Overall demagnetization fault II2
60 °C (PM temperature)Overall demagnetization fault III3
80 °C (PM temperature)Overall demagnetization fault IV4
100 °C (PM temperature)Overall demagnetization fault V5
120 °C (PM temperature)Overall demagnetization fault VI6
20%Local demagnetization fault I7
40%Local demagnetization fault II8
Table 7. Harmonic amplitude of air gap magnetic density.
Table 7. Harmonic amplitude of air gap magnetic density.
FrequencyFault IFault IIFault IIIFault IVFault VFault VI
f1.3271.3191.311.2971.2851.269
3f0.2310.2240.2160.2030.190.171
5f0.2280.2190.210.1950.180.16
7f0.1670.1630.1590.1540.1490.145
9f0.0340.0360.0380.040.0420.045
11f0.070.0670.0640.060.0560.051
13f0.0420.0410.040.0390.0370.037
15f0.0390.0390.0390.0390.0390.038
17f0.060.0590.0570.0550.0530.05
19f0.0240.0240.0230.0230.0230.022
Table 8. Harmonic amplitude.
Table 8. Harmonic amplitude.
Fault/Frequency133.38266.76533.51666.89800.27933.64
Normal0.001660.002910.002700.001570.001320.00136
20%0.03620.05470.05340.04880.03880.0248
40%0.07780.1160.1080.1020.08240.0543
Table 9. Data collection.
Table 9. Data collection.
LabelTorqueInduced VoltageFrequency Amplitude
130’15,00030’45,00030’3075
230’15,00030’45,00030’3075
330’15,00030’45,00030’3075
430’15,00030’45,00030’3075
530’15,00030’45,00030’3075
630’15,00030’45,00030’3075
730’15,00030’45,00030’3075
830’15,00030’45,00030’3075
Table 10. Performance comparison of different fault diagnosis algorithms.
Table 10. Performance comparison of different fault diagnosis algorithms.
Training Accuracy (%)Test Accuracy (%)Duration(s)
DBN − ELM92859.2
SDAE + SVM898238.7
CNN + softmax10087.521.4
LSTM + Dense87.585.754.1
Disclaimer/Publisher’s Note: The statements, opinions and data contained in all publications are solely those of the individual author(s) and contributor(s) and not of MDPI and/or the editor(s). MDPI and/or the editor(s) disclaim responsibility for any injury to people or property resulting from any ideas, methods, instructions or products referred to in the content.

Share and Cite

MDPI and ACS Style

Yang, Z.; Zhang, X.; Zhang, Y. Demagnetization Fault Diagnosis Based on Coupled Multi-Physics Characteristics of Aviation Permanent Magnet Synchronous Motor. Aerospace 2026, 13, 39. https://doi.org/10.3390/aerospace13010039

AMA Style

Yang Z, Zhang X, Zhang Y. Demagnetization Fault Diagnosis Based on Coupled Multi-Physics Characteristics of Aviation Permanent Magnet Synchronous Motor. Aerospace. 2026; 13(1):39. https://doi.org/10.3390/aerospace13010039

Chicago/Turabian Style

Yang, Zhangang, Xiaozhong Zhang, and Yanan Zhang. 2026. "Demagnetization Fault Diagnosis Based on Coupled Multi-Physics Characteristics of Aviation Permanent Magnet Synchronous Motor" Aerospace 13, no. 1: 39. https://doi.org/10.3390/aerospace13010039

APA Style

Yang, Z., Zhang, X., & Zhang, Y. (2026). Demagnetization Fault Diagnosis Based on Coupled Multi-Physics Characteristics of Aviation Permanent Magnet Synchronous Motor. Aerospace, 13(1), 39. https://doi.org/10.3390/aerospace13010039

Note that from the first issue of 2016, this journal uses article numbers instead of page numbers. See further details here.

Article Metrics

Back to TopTop