Assessment of Extending Flight Endurance Through Engine Dynamic Clearance Control via Fuel Heat Sink Utilization
Abstract
1. Introduction
2. Methodology
2.1. FCACC Scheme
2.2. Simulation Model
2.3. Temperature Control
3. Results and Discussion
3.1. Extension of Flight Endurance
3.2. Dynamic Regulation Strategy
3.3. Reduction in Takeoff Weight
4. Conclusions
- (1)
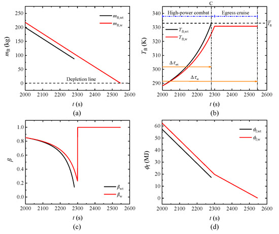
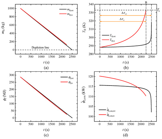
- When the TMFP operates in the FRS, cooling the bleed air with fuel not only reduces fuel consumption, but also preserves the system’s fuel heat sink, which benefits from the superior thermal management capability of the RFSB. In this case, flight endurance can be effectively extended, regardless of whether the flight ends with fuel depletion or fuel overtemperature. Calculation results indicate that the flight endurance under the standard condition and extreme mission can be extended by 2.28% and 11.62% through FCACC, respectively.
- (2)
- Once the TMFP enters the PRS, further using fuel to cool the bleed air is harmful to the system’s thermal management performance, despite a reduction in engine fuel consumption. In this case, thermal failure dominates over the limitation of flight endurance, resulting in shorter flight endurance. Therefore, there exists an optimal utilization level of fuel heat sink that maximizes flight endurance, which should be set as the critical value that transitions the TMFP from the FRS to the PRS if possible. Additionally, calculation results demonstrate that the critical fuel/bleed air heat exchange rate decreases as heat loads and fuel tank temperature increase. Furthermore, an efficient dynamic regulation strategy for fuel heat sink utilization is developed to extend flight endurance while ensuring thermal safety, displaying universal effectiveness across various operating conditions. The theoretical analytical approach regarding the trade-off between fuel supply capability and thermal management capability in determining flight endurance is also applicable to the regulation processes of other schemes that aim to reduce engine fuel consumption by utilizing fuel heat sink or at the expense of the thermal management capability of the TMFP.
- (3)
- The implementation of the FCACC scheme has the potential to reduce the required fuel capacity of the aircraft under a specific mission. Taking the common mission as an example, calculation results reveal that the required fuel mass can be reduced by 20.33 kg through FCACC, effectively decreasing the takeoff weight. This function also provides the possibility for high-performance aircraft to carry more heat sinks and equipment. At the current stage, the assessment of the dynamic regulation effects of FCACC is limited to theoretical analysis under high-fidelity models. In the future, relevant experimental verification will be carried out.
Author Contributions
Funding
Data Availability Statement
Conflicts of Interest
Nomenclature
| Heat transfer area, m2 | |
| Diameter, m | |
| Darcy friction factor | |
| Thrust, N | |
| Altitude, m | |
| Overall heat transfer coefficient, W/(m2·K) | |
| Length, m | |
| Mass, kg | |
| Mass flow rate, kg/s | |
| Limit value of mass flow rate, kg/s | |
| Mach number | |
| Rotational speed, % | |
| Number | |
| Nusselt number | |
| Pressure, Pa | |
| Total pressure difference in the pump, Pa | |
| Prandtl number | |
| Heat transfer rate, W | |
| Limit value of heat transfer rate, W | |
| Reynolds number | |
| Time, s | |
| Temperature, K | |
| Limit value of temperature, K | |
| Temperature difference, K | |
| Specific internal energy, J/kg | |
| Specific internal energy difference, J/kg | |
| Volume flow rate, m3/s | |
| Abbreviations | |
| ACC | Active clearance control |
| AFTMS | Aircraft fuel thermal management system |
| AH | Airborne heater |
| ATMSS | Aero-engine thermal management simulation software |
| BH | Bleed air heater |
| FCACC | Fuel-cooled ACC |
| FHSC | Fuel heat sink capacity |
| FHSCR | Fuel heat sink consumption rate |
| FP | Fuel pump |
| FRS | Full recirculation state |
| HFR | Hot fuel return |
| HPT | High-pressure turbine |
| HTC | Heat transfer coefficient |
| LMTD | Logarithmic mean temperature difference |
| LPT | Low-pressure turbine |
| MFRB | Middle fuel return branch |
| NUAA | Nanjing University of Aeronautics and Astronautics |
| OH | Oil heater |
| PCC | Passive clearance control |
| PRS | Partial recirculation state |
| RC | Ram air cooler |
| RFSB | Recirculation fuel supply branch |
| SFC | Specific fuel consumption |
| TMFP | Thermal management flow path |
| TTC | Turbine tip clearance |
| V1–V3 | Fuel flow regulating valves |
| Greek symbols | |
| Mass flow rate ratio | |
| Mass flow rate ratio | |
| Overall efficiency of the pump | |
| Pitch, m | |
| Turbine tip clearance size, m | |
| Limit value of TTC size, m | |
| Turbine efficiency | |
| Heat sink capacity, J | |
| Change rate of heat sink capacity, W | |
| Flight endurance, s | |
| SFC, g/(s·N) | |
| Subscripts | |
| 0 | Initial state |
| ah | Airborne heater |
| bh | Bleed air heater |
| c | Combustion |
| cok | Fuel coking |
| con | Consumption |
| cri | Critical value |
| e | Endpoint |
| f | Fuel |
| fp | Fuel pump |
| fr | Fuel return |
| fs | Fuel supply |
| fs1 | Fuel supply from the fuel tank |
| ft | Fuel tank |
| h | Heating |
| i | Inner |
| in | Inflow |
| lon | Longitudinally arranged |
| m | Mean |
| min | Minimum value |
| o | Outer |
| oh | Oil heater |
| out | Outflow |
| ra | Ram air |
| rc | Ram air cooler |
| s | High-pressure shaft |
| t | Tube |
| tc | To combustor |
| tra | Transversely arranged |
| w | With FCACC |
| wt | Without FCACC |
| Superscripts | |
| com | Combustion |
| * | Optimal value |
Appendix A

References
- Pollock, L.; Wild, G. An examination of high-speed aircraft—Part 1: Past, present, and future. Transp. Eng. 2024, 18, 100290. [Google Scholar] [CrossRef]
- De Marco, A.; D’oNza, P.M.; Manfredi, S. A deep reinforcement learning control approach for high-performance aircraft. Nonlinear Dyn. 2023, 111, 17037–17077. [Google Scholar] [CrossRef]
- Ayar, M.; Karakoc, T.H. Comparison of 5th-generation fighters: Evaluation of trends in military aviation. In New Achievements in Unmanned Systems, ISUDEF 2021, Sustainable Aviation; Springer: Cham, Switzerland, 2023. [Google Scholar] [CrossRef]
- Yang, W. Development of future fighters, Acta Aeronaut. Astronaut. Sin. 2020, 41, 524377. Available online: https://hkxb.buaa.edu.cn/EN/10.7527/S1000-6893.2020.24377 (accessed on accessed on 2 September 2025).
- Jo, B.W.; Majid, T. Enhanced range and endurance evaluation of a camber morphing wing aircraft. Biomimetics 2023, 8, 34. [Google Scholar] [CrossRef]
- Mahadevappa, R.; Virupaksha, T.; Raghavendra, L. A practical approach to enhance the flight endurance of a fixed-wing UAV. In Proceedings of the National Aerospace Propulsion Conference, Lecture Notes in Mechanical Engineering; Springer: Singapore, 2021. [Google Scholar] [CrossRef]
- Andriani, R.; Ingenito, A.; Gamma, F.; Agresta, A. Low-fuel consumption gas turbine engines for extended-range UAVs. In Proceedings of the 52nd Aerospace Sciences Meeting, National Harbor, MD, USA, 13–17 January 2014. [Google Scholar] [CrossRef]
- Guo, H.; Zhang, Y.; Yu, B. Research on optimization technology of minimum specific fuel consumption for triple-bypass variable cycle engine. Aerospace 2025, 12, 10. [Google Scholar] [CrossRef]
- da Fonseca Filho, V.F.; Ribeiro, R.F.G.; Lacava, P.T. Turbofan engine performance optimization based on aircraft cruise thrust level. J. Braz. Soc. Mech. Sci. Eng. 2019, 41, 64. [Google Scholar] [CrossRef]
- Dik, A.; Bitén, N.; Zaccaria, V.; Aslanidou, I.; Kyprianidis, K. Conceptual design of a 3-shaft turbofan engine with reduced fuel consumption for 2025. Energy Procedia 2017, 142, 1728–1735. [Google Scholar] [CrossRef]
- Zeinalpour, M.; Mazaheri, K.; Irannejad, A. Sensitivity analysis of gas turbine fuel consumption with respect to turbine stage efficiency. In Proceedings of the ASME 2012 International Mechanical Engineering Congress and Exposition, Houston, TX, USA, 9–15 November 2012. [Google Scholar] [CrossRef]
- Lattime, S.; Steinetz, B. Turbine engine clearance control systems: Current practices and future directions. In Proceedings of the 38th Joint Propulsion Conference and Exhibit, Indianapolis, IN, USA, 7–10 July 2002. [Google Scholar] [CrossRef]
- Kurzke, J.; Halliwell, I. Propulsion and Power An Exploration of Gas Turbine Performance Modeling; Springer: Cham, Switzerland, 2018. [Google Scholar] [CrossRef]
- Chapman, J.W.; Guo, T.-H.; Kratz, J.L.; Litt, J.S. Integrated turbine tip clearance and gas turbine engine simulation. In Proceedings of the 52nd AIAA/SAE/ASEE Joint Propulsion Conference, Salt Lake City, UT, USA, 25–27 July 2016. [Google Scholar] [CrossRef]
- Wei, J.; Fu, Y.; Zhou, K.; Yang, H.; Zheng, X. A comprehensive study of tip clearance control based on a multidimensional transient clearance prediction approach. In Proceedings of the 2023 Asia-Pacific International Symposium on Aerospace Technology, Lingshui, China, 16–17 October 2023. [Google Scholar] [CrossRef]
- Kratz, J.L.; Chapman, J.W.; Guo, T. A parametric study of actuator requirements for active turbine tip clearance control of a modern high bypass turbofan engine. In Proceedings of the ASME Turbo Expo 2017: Turbomachinery Technical Conference and Exposition, Charlotte, NC, USA, 26–30 June 2017. [Google Scholar] [CrossRef]
- DeCastro, J.; Melcher, K.; Noebe, R. System-level design of a shape memory alloy actuator for active clearance control in the high-pressure turbine. In Proceedings of the 41st AIAA/ASME/SAE/ASEE Joint Propulsion Conference & Exhibit, Tucson, AZ, USA, 10–13 July 2005. [Google Scholar] [CrossRef]
- Jia, B.; Zhang, X.; Hou, Y. Active control of turbine tip clearance by fuzzy parameter self-setting PID algorithms. In Proceedings of the 2012 IEEE International Conference on Automation Science and Engineering, Seoul, Republic of Korea, 20–24 August 2012. [Google Scholar] [CrossRef]
- Guo, X.; Liu, H.; Zhou, Z. Improving the blade tip clearance measurement method based on blade tip timing: Accounting for rotor speed variations and non-uniform blade-by-blade tip clearance. Measurement 2024, 242, 115777. [Google Scholar] [CrossRef]
- Wang, W.; Shao, H.; Shao, X.; Song, K. Investigation on the turbine blade tip clearance measurement and active clearance control based on eddy current pulse-trigger method. In Proceedings of the ASME Turbo Expo 2017: Turbomachinery Technical Conference and Exposition, Charlotte, NC, USA, 26–30 June 2017. [Google Scholar] [CrossRef]
- Sheng, H.; Liu, T.; Zhao, Y.; Chen, Q.; Yin, B.; Huang, R. New model-based method for aero-engine turbine blade tip clearance measurement. Chin. J. Aeronaut. 2022, 36, 128–147. [Google Scholar] [CrossRef]
- Gou, W.; Yang, S.; Lin, Y.; Shao, F.; Liang, X.; Shi, B. Dynamic blade tip clearance control of aero-engine by the integration of cooling air with fuel thermal management system. Appl. Therm. Eng. 2024, 261, 125042. [Google Scholar] [CrossRef]
- van Heerden, A.; Judt, D.; Jafari, S.; Lawson, C.; Nikolaidis, T.; Bosak, D. Aircraft thermal management: Practices, technology, system architectures, future challenges, and opportunities. Prog. Aerosp. Sci. 2022, 128, 100767. [Google Scholar] [CrossRef]
- German, B.J. Tank heating model for aircraft fuel thermal systems with recirculation. J. Propuls. Power 2012, 28, 204–210. [Google Scholar] [CrossRef]
- Li, D.; Hang, J.; Li, Y.; Dong, S. Fuel flowrate control for aeroengine and fuel thermal management for airborne system of aircraft—An overview. Appl. Sci. 2021, 12, 279. [Google Scholar] [CrossRef]
- Doman, D.B. Fuel flow topology and control for extending aircraft thermal endurance. J. Thermophys. Heat Transf. 2018, 32, 35–50. [Google Scholar] [CrossRef]
- Yang, S.; Lin, Y.; Yu, H.; Xu, X.; Liang, X. Thermal management of fuel heat sink in aircraft via flow path optimization. Appl. Therm. Eng. 2024, 246, 122880. [Google Scholar] [CrossRef]
- Yang, S.; Lin, Y.; Xu, X.; Liang, X. Extension of aircraft thermal endurance by multi-return fuel tank system. In Proceedings of the 6th China Aeronautical Science and Technology Conference, Jiaxing, China, 26–27 September 2023. [Google Scholar] [CrossRef]
- Sigthorsson, D.; Oppenheimer, M.W.; Doman, D.B. N-tank thermal management system framework for thermal endurance enhancement. In Proceedings of the AIAA SCITECH 2022 Forum, San Diego, CA, USA, 3–7 January 2022. [Google Scholar] [CrossRef]
- Sigthorsson, D.; Oppenheimer, M.W.; Doman, D.B. Flight endurance enhancement via thermal management system control subject to multiple limitations. In Proceedings of the AIAA Scitech 2020 Forum, Orlando, FL, USA, 6–10 January 2020. [Google Scholar] [CrossRef]
- Huang, G.P.; Doman, D.B.; Rothenberger, M.J.; Hencey, B.; DeSimio, M.P.; Tipton, A.; Sigthorsson, D.O. Dimensional analysis, modeling, and experimental validation of an aircraft fuel thermal management system. J. Thermophys. Heat Transf. 2019, 33, 983–993. [Google Scholar] [CrossRef]
- Sojoudi, A.; Nourbakhsh, A.; Shokouhmand, H. Experimental evaluation of temperature rise in centrifugal pumps at partial flow rates. J. Braz. Soc. Mech. Sci. Eng. 2018, 40, 183. [Google Scholar] [CrossRef]
- Tao, W. Heat Transfer, 5th ed.; Higher Education Press: Beijing, China, 2019. [Google Scholar]
- Sieder, E.N.; Tate, G.E. Heat transfer and pressure drop of liquids in tubes. Ind. Eng. Chem. 1936, 28, 1429–1435. [Google Scholar] [CrossRef]
- Gnielinski, V. New equations for heat and mass transfer in turbulent pipe and channel flow. Int. Chem. Eng. 1976, 16, 359–368. [Google Scholar]
- Žukauskas, A. Heat transfer from tubes in crossflow. Adv. Heat Transf. 1972, 8, 93–160. [Google Scholar] [CrossRef]
- Konakov, P.K. A new correlation for the friction coefficient in smooth tubes. Izv. SSSR 1946, 51, 503–506. [Google Scholar]
- Bruno, T.J.; Huber, M.; Laesecke, A.; Lemmon, E.; McLinden, M.; Outcalt, S.L.; Perkins, R.; Smith, B.L.; Widegren, J.A. Thermodynamic, transport, and chemical properties of reference JP-8. In Proceedings of the NIST Interagency/Internal Report, Gaithersburg, MD, USA, 15 December 2010; Available online: https://tsapps.nist.gov/publication/get_pdf.cfm?pub_id=904848 (accessed on 10 January 2025).
- Mills, K.C. Recommended Values of Thermophysical Properties for Selected Commercial Alloys; Woodhead Publishing: Cambridge, UK, 2002. [Google Scholar]
- Bell, I.H.; Wronski, J.; Quoilin, S.; Lemort, V. Pure and pseudo-pure fluid thermophysical property evaluation and the open-source thermophysical property library CoolProp. Ind. Eng. Chem. Res. 2014, 53, 2498–2508. [Google Scholar] [CrossRef] [PubMed]
- Yang, S.; Gou, W.; Lin, Y.; Xu, X.; Liang, X.; Shi, B. Heat generation analysis of aeroengine fuel system integrated with aircraft thermal management evaluation. Appl. Therm. Eng. 2025, 279, 127571. [Google Scholar] [CrossRef]
- Yang, S.; Gou, W.; Lin, Y.; Xu, X.; Shi, B.; Liang, X. Steady state simulation program of aero-engine thermal management system. In Proceedings of the 6th China Aeronautical Science and Technology Conference, Jiaxing, China, 26–27 September 2023. [Google Scholar] [CrossRef]














| Parameter (Unit) | Value |
|---|---|
| (K) | 333 |
| (K) | 380 |
| (K) | 421 |
| (K) | 360 |
| Parameter (Unit) | Value |
|---|---|
| 0.7 | |
| (MPa) | 1 |
| 20 | |
| 25 | |
| (m) | 0.002 |
| (m) | 0.0022 |
| (m) | 0.16 |
| (m) | 0.005 |
| Parameter (Unit) | Value |
|---|---|
| (km) | 11 |
| 0.8 | |
| (kN) | 16.57 |
| (kW) | 112 |
| (kW) | 15 |
| (kg/s) | 1 |
| (K) | 238 |
| (MPa) | 0.05 |
| Phase | Time (s) | (kW) | (kW) |
|---|---|---|---|
| Cruise | 0–1999 | 112 | 40.3 |
| High-power combat | 2000–2299 | 160 | 0 |
| Egress cruise | 2300-fuel depletion | 95 | 26.03 |
| Phase | Time (s) |
|---|---|
| Cruise | 0–699 |
| Low-power combat | 700–999 |
| Cruise | 1000–1496 |
| Low-power combat | 1497–1796 |
| Cruise | 1797–2496 |
Disclaimer/Publisher’s Note: The statements, opinions and data contained in all publications are solely those of the individual author(s) and contributor(s) and not of MDPI and/or the editor(s). MDPI and/or the editor(s) disclaim responsibility for any injury to people or property resulting from any ideas, methods, instructions or products referred to in the content. |
© 2025 by the authors. Licensee MDPI, Basel, Switzerland. This article is an open access article distributed under the terms and conditions of the Creative Commons Attribution (CC BY) license (https://creativecommons.org/licenses/by/4.0/).
Share and Cite
Yang, S.; Gou, W.; Lin, Y.; Xu, X.; Liang, X.; Shi, B. Assessment of Extending Flight Endurance Through Engine Dynamic Clearance Control via Fuel Heat Sink Utilization. Aerospace 2025, 12, 799. https://doi.org/10.3390/aerospace12090799
Yang S, Gou W, Lin Y, Xu X, Liang X, Shi B. Assessment of Extending Flight Endurance Through Engine Dynamic Clearance Control via Fuel Heat Sink Utilization. Aerospace. 2025; 12(9):799. https://doi.org/10.3390/aerospace12090799
Chicago/Turabian StyleYang, Shiyu, Weilong Gou, Yuanfang Lin, Xianghua Xu, Xingang Liang, and Bo Shi. 2025. "Assessment of Extending Flight Endurance Through Engine Dynamic Clearance Control via Fuel Heat Sink Utilization" Aerospace 12, no. 9: 799. https://doi.org/10.3390/aerospace12090799
APA StyleYang, S., Gou, W., Lin, Y., Xu, X., Liang, X., & Shi, B. (2025). Assessment of Extending Flight Endurance Through Engine Dynamic Clearance Control via Fuel Heat Sink Utilization. Aerospace, 12(9), 799. https://doi.org/10.3390/aerospace12090799

