Aerodynamic Interference of Lift Surfaces During Transition Phase for VTOL Fixed-Wing UAVs with Canard Configuration
Abstract
1. Introduction
2. Models and Methods
2.1. Numerical Simulation Methods
2.2. Computational Model
2.3. Numerical Simulation
2.3.1. Computational Domain
2.3.2. Mesh Generation
2.3.3. Mesh Independence Study
2.3.4. Solver Settings
2.4. Validation of Numerical Method
3. Results and Discussion
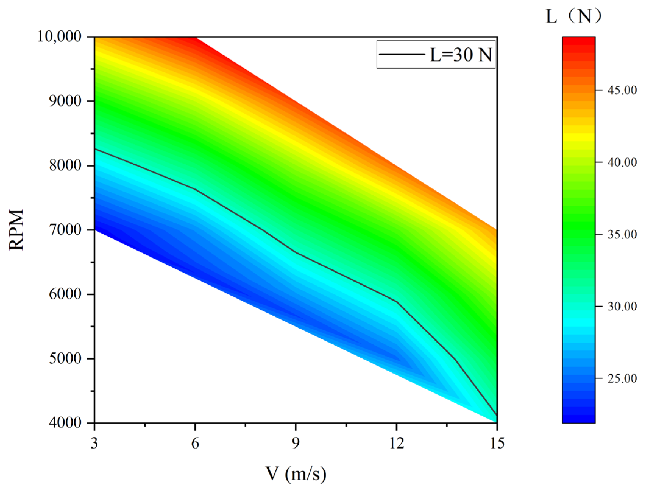
3.1. Effects of Freestream Velocity and Rotor Speed on Wing and Canard Lift and Drag Characteristics
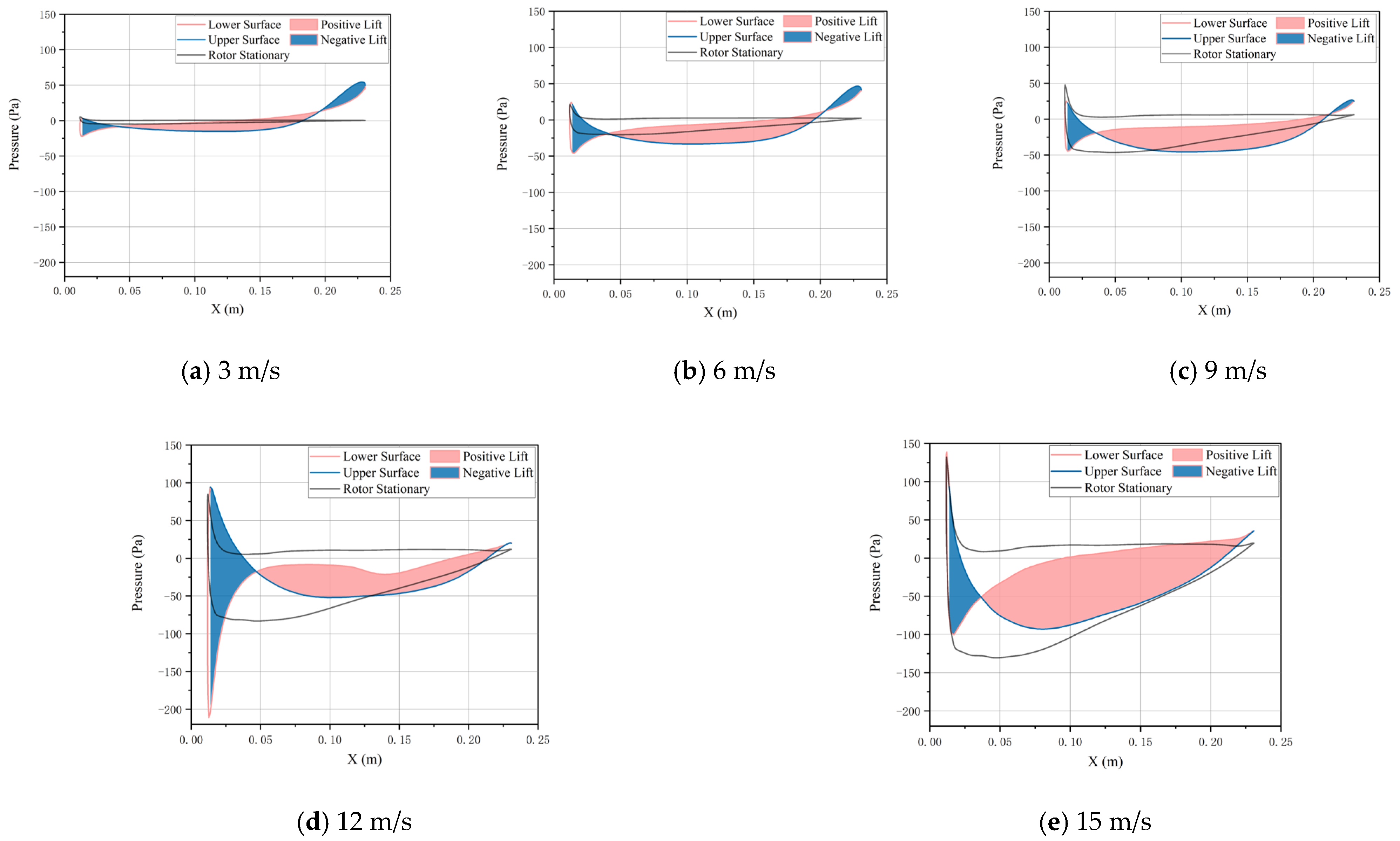
3.2. Aerodynamic Characteristics and Formation Mechanisms of Lift and Drag Variations in Rotor-Wing-Canard Systems During the Transition Phase
4. Conclusions
- (1)
- The rotors exhibit a lift-enhancing effect on the canard, primarily attributed to airflow suction induced by the front rotor’s rotation, with this enhancement diminishing as freestream velocity increases.
- (2)
- The rotors’ influence on the wing exhibits a triphasic lift variation pattern: initial reduction, followed by enhancement, and subsequent reduction. During the early transition phase, lift reduction results from the combined effects of both forward and aft rotors. The mid-transition lift enhancement is primarily governed by the aft rotor’s suction effect on the airflow. During late transition, lift reduction is dominated by the forward rotor’s influence, completing the characteristic aerodynamic interference sequence.
- (3)
- The combined effects of freestream velocity and rotor operation constitute the primary factors governing wing and canard lift characteristics during the transition phase. At low velocities, rotor-induced suction dominates by modifying flow incidence angles, whereas at high velocities, wake deflection alters the interference intensity on wing and canard surfaces. These dual mechanisms collectively drive the observed lift variations across both aerodynamic surfaces.
Author Contributions
Funding
Data Availability Statement
Conflicts of Interest
References
- Lian, Y.D.; David, W.; Quan, Y. Integrated Design, Development, and Application Technologies for Industrial Hybrid-Wing Unmanned Aerial Vehicles; Northwestern Polytechnical University Press: Xi’an, China, 2022; pp. 58–68. [Google Scholar]
- Tyan, M.; Van Nguyen, N.; Kim, S.; Lee, J.-W. Comprehensive preliminary sizing/resizing method for a fixed wing–VTOL electric UAV. Aerosp. Sci. Technol. 2017, 71, 30–41. [Google Scholar] [CrossRef]
- An, J.-H.; Kwon, D.-Y.; Jeon, K.-S.; Tyan, M.; Lee, J.-W. Advanced sizing methodology for a multi-mode eVTOL UAV powered by a hydrogen fuel cell and battery. Aerospace 2022, 9, 71. [Google Scholar] [CrossRef]
- Deng, J.H. Technological status and development of electric vertical take-off and landing aircraft. Acta Aeronaut. Astronaut. Sin. 2024, 45, 55–77. [Google Scholar]
- Xiang, J.W.; Kan, Z.; Shao, H.Y.; Li, H.D.; Dong, X.; Li, D.C. Research progress on key technologies of long-endurance UAVs. J. Harbin Inst. Technol. 2020, 52, 57–77. [Google Scholar]
- Dougherty, S.; Oo, N.L.; Zhao, D. Effects of propeller separation and onset flow condition on the performance of quadcopter propellers. Aerosp. Sci. Technol. 2024, 145, 108837. [Google Scholar] [CrossRef]
- Westcott, O.; Krishna, S.; Entwistle, R.; Ferraro, M. Aerodynamic performance of aircraft wings with stationary vertical lift propellers. Aerosp. Sci. Technol. 2023, 141, 108552. [Google Scholar] [CrossRef]
- Zanotti, A.; Menini, L.; Savino, A.; Grassi, D.; Riccobene, L. Experimental investigation of wing-propeller aerodynamic interaction in eVTOL configurations. Aerosp. Sci. Technol. 2024, 152, 109348. [Google Scholar] [CrossRef]
- Bacchini, A.; Cestino, E.; Van Magill, B.; Verstraete, D. Impact of lift propeller drag on the performance of eVTOL lift + cruise aircraft. Aerosp. Sci. Technol. 2021, 109, 106429. [Google Scholar] [CrossRef]
- Herz, S.; Atte, A.; Seth, D.; Rauleder, J.; McCrink, M. Effects of rotor–rotor and rotor–body interactions on quadrotor vehicle performance for multiple flight configurations. Aerosp. Sci. Technol. 2025, 158, 109873. [Google Scholar] [CrossRef]
- Yan, W.H.; Wang, X.C.; Zhou, J.W.; Wang, X.Y.; Yang, X. Research on aerodynamic interference between rotor/propeller and wing in cruise state. J. Propuls. Technol. 2021, 42, 290–297. [Google Scholar]
- Yin, X.; Nie, B.; Wang, C.; An, H.; Jia, S.; Ma, H.; Deng, H.; He, L. Flight Dynamics Modeling and Verification for a Novel Compound Rotorcraft Considering Rotor/Propeller/Fuselage Aerodynamic Interference. Drones 2025, 9, 329. [Google Scholar] [CrossRef]
- Nugroho, G.; Zuliardiansyah, G.; Rasyiddin, A.A. Performance analysis of empennage configurations on a surveillance and monitoring mission of a VTOL-plane UAV using a computational fluid dynamics simulation. Aerospace 2022, 9, 208. [Google Scholar] [CrossRef]
- Sadraey, M.H. Aircraft Design: A Systems Engineering Approach; John Wiley & Sons: Hoboken, NY, USA, 2024. [Google Scholar]
- Dwivedi, Y.D.; Anitha, D.; Sastry, Y.B.S. Flow field study of effect of canard location on aircraft aerodynamic performance. Macromol. Symp. 2022, 402, 2100364. [Google Scholar] [CrossRef]
- Chen, Q.; Hu, T.; Liu, P.; Zeng, R.; Qu, Q. Effect of canard’s vertical position on dynamic lift characteristics of pitching canard configurations. J. Harbin Inst. Technol. 2021, 53, 36–44. [Google Scholar]
- Qin, Y.; Liu, P.; Qu, Q.; Hu, T. Wing/canard interference of a close-coupled canard configuration in static ground effect. Aerosp. Sci. Technol. 2017, 69, 60–75. [Google Scholar] [CrossRef]
- Liu, Z.; Zhang, X.; Xia, L.; Wang, Q.; Zhou, P.; Zeng, X.Z. Aerodynamic characteristics of a novel twin-fuselage canard layout UAV. Sci. Technol. Eng. 2023, 23, 3966–3972. [Google Scholar]
- Sun, W.; Gao, Z.; Jiang, J. Interactive aerodynamic characteristics of canard rotor/wing aircraft in helicopter forward flight. Acta Aeronaut. Astronaut. Sin. 2016, 37, 2498–2506. [Google Scholar]
- Pedro, S.; Tomás, D.; Lobo do Vale, J.; Suleman, A. Design and performance quantification of VTOL systems for a canard aircraft. Aeronaut. J. 2021, 125, 1768–1791. [Google Scholar] [CrossRef]
- Gao, H.; He, A.; Gao, Z.; Na, Y.; Deng, Y. Flight dynamics characteristics of canard rotor/wing aircraft in helicopter flight mode. Chin. J. Aeronaut. 2019, 32, 1577–1587. [Google Scholar] [CrossRef]
- Zhao, W.; Wang, Y.; Li, L.; Huang, F.; Zhan, H.; Fu, Y.; Song, Y. Design and Flight Simulation Verification of the Dragonfly eVTOL Aircraft. Drones 2024, 8, 311. [Google Scholar] [CrossRef]
- Baigang, M. Aerodynamics evaluation and flight test of a vertical take-off and landing fixed-wing UAV with joined-wing configuration in transition flight state. Aerosp. Sci. Technol. 2024, 155, 109759. [Google Scholar] [CrossRef]
- Ai, L.; Xia, H.; Yang, J.; He, Y.; Tang, W.; Fan, M.; Xiang, J. A Study on the Aerodynamic Impact of Rotors on Fixed Wings During the Transition Phase in Compound-Wing UAVs. Aerospace 2024, 11, 945. [Google Scholar] [CrossRef]
- Liu, J.H.; Li, G.H.; Wang, F.X. Aerodynamic interference characteristics between rotor and wing during tilt-transition phase. Acta Aeronaut. Astronaut. Sin. 2022, 43, 214–225. [Google Scholar]
- Wang, M.T.; Jin, T.; Liu, Y.L. Simulation and analysis of aerodynamic performance of tilt-rotor/wing during continuous transition. J. Zhejiang Univ. (Eng. Sci.) 2024, 58, 857–866. [Google Scholar]
- Daud Filho, A.C.; Nelli Silva, E.C.; Silva, J.R.; Caurin, G.A.P.; Belo, E.M. Transition flight of a concept of lifting-wing quadcopter. Aeronaut. J. 2025, 129, 411–431. [Google Scholar] [CrossRef]
- Spalart, P.; Allmaras, S. A one-equation turbulence model for aerodynamic flows. In Proceedings of the 30th Aerospace Sciences Meeting and Exhibit, Reno, NV, USA, 6–9 January 1992; p. 439. [Google Scholar]
- Shur, M.L.; Strelets, M.K.; Travin, A.K.; Spalart, P.R. Turbulence modeling in rotating and curved channels: Assessing the Spalart–Shur correction. AIAA J. 2000, 38, 784–792. [Google Scholar] [CrossRef]
- Allmaras, S.R.; Johnson, F.T.; Spalart, P.R. Modifications and clarifications for the implementation of the Spalart–Allmaras turbulence model. In Proceedings of the Seventh International Conference on Computational Fluid Dynamics (ICCFD7), Big Island, HI, USA, 9–13 July 2012. [Google Scholar]
- Zhang, K.; Zhao, Q.; Ma, L.; Xu, G. Aerodynamic characteristics of rotor reduced rotational speed based on CFD/CSD coupling method. J. Aerosp. Power 2024, 39, 45–59. [Google Scholar]
- Zhao, Q.; Jiang, S.; Li, P.; Wang, B.; Zhang, H. Aerodynamic optimization analysis of tiltrotor/propeller based on CFD method. Acta Aerodyn. Sin. 2017, 35, 544–553. [Google Scholar]
- Zhang, G.; Li, Z.; Wang, Q.; Xu, Z.; Cao, Z. Numerical Investigation of Unsteady Rotor–Stator Interaction Mechanism and Wake Transportation Characteristics in a Compressor with Non-Uniform Tip Clearance Rotor. Energies 2023, 16, 7907. [Google Scholar] [CrossRef]
- Garofano-Soldado, A.; Sanchez-Cuevas, P.J.; Heredia, G.; Ollero, A. Numerical–experimental evaluation and modelling of aerodynamic ground effect for small-scale tilted propellers at low Reynolds numbers. Aerosp. Sci. Technol. 2022, 126, 107625. [Google Scholar] [CrossRef]
- Liu, Y.; Kan, Z.; Li, H.; Gao, Y.; Li, D.; Zhao, S. Analysis and modeling of the aerodynamic ceiling effect on small-scale propellers with tilted angles. Aerosp. Sci. Technol. 2024, 147, 109038. [Google Scholar] [CrossRef]
- Lakhdhar, L.; Bouabidi, A.; Snoussi, A. Impact of blade number on the aerodynamic performance of UAV propellers: A numerical and experimental study. Aerosp. Sci. Technol. 2025, 166, 110594. [Google Scholar] [CrossRef]
- Paz, C.; Suárez, E.; Gil, C.; Vence, J. Assessment of the methodology for the CFD simulation of the flight of a quadcopter UAV. J. Wind Eng. Ind. Aerodyn. 2021, 218, 104776. [Google Scholar] [CrossRef]

















| Parameters | Value |
|---|---|
| Wing Airfoil Section | NACA4412 |
| Canard Airfoil Section | MH114 |
| Wing Span | 2.028 m |
| MAC | 0.207 m |
| Canard Span | 0.65 m |
| Canard Chord Length | 0.07 m |
| Wing Installation Angle | 4.219° |
| Canard Installation Angle | 4.593° |
| Cruise Speed | 18 m/s |
| Number of Cells | Number of Nodes | |
|---|---|---|
| Mesh 1 | 10,868,830 | 26,709,659 |
| Mesh 2 | 12,590,818 | 31,130,816 |
| Mesh 3 | 14,124,195 | 35,253,722 |
| Mesh 4 | 18,738,984 | 47,188,400 |
| Parameters | Value | Unit | ||||
|---|---|---|---|---|---|---|
| Freestream Velocity | 3 | 6 | 9 | 12 | 15 | m/s |
| Rotational Speed | 8000 | 8000 | 7000 | 6000 | 4000 | RPM |
| Front Rotor Lift | 13.741 | 14.168 | 11.508 | 9.045 | 4.886 | N |
| Rear Rotor Lift | 13.502 | 13.548 | 10.529 | 7.983 | 4.034 | N |
| Wing Lift | 0.611 | 3.690 | 8.397 | 11.406 | 17.592 | N |
| Canard Lift | 0.511 | 1.392 | 2.000 | 2.504 | 3.257 | N |
| Total Lift | 28.365 | 32.798 | 32.434 | 30.938 | 29.769 | N |
Disclaimer/Publisher’s Note: The statements, opinions and data contained in all publications are solely those of the individual author(s) and contributor(s) and not of MDPI and/or the editor(s). MDPI and/or the editor(s) disclaim responsibility for any injury to people or property resulting from any ideas, methods, instructions or products referred to in the content. |
© 2025 by the authors. Licensee MDPI, Basel, Switzerland. This article is an open access article distributed under the terms and conditions of the Creative Commons Attribution (CC BY) license (https://creativecommons.org/licenses/by/4.0/).
Share and Cite
Fan, M.; Wang, L.; Sun, Y.; Xiang, J.; Xia, H. Aerodynamic Interference of Lift Surfaces During Transition Phase for VTOL Fixed-Wing UAVs with Canard Configuration. Aerospace 2025, 12, 784. https://doi.org/10.3390/aerospace12090784
Fan M, Wang L, Sun Y, Xiang J, Xia H. Aerodynamic Interference of Lift Surfaces During Transition Phase for VTOL Fixed-Wing UAVs with Canard Configuration. Aerospace. 2025; 12(9):784. https://doi.org/10.3390/aerospace12090784
Chicago/Turabian StyleFan, Minglong, Lei Wang, Yi Sun, Jinwu Xiang, and Haiting Xia. 2025. "Aerodynamic Interference of Lift Surfaces During Transition Phase for VTOL Fixed-Wing UAVs with Canard Configuration" Aerospace 12, no. 9: 784. https://doi.org/10.3390/aerospace12090784
APA StyleFan, M., Wang, L., Sun, Y., Xiang, J., & Xia, H. (2025). Aerodynamic Interference of Lift Surfaces During Transition Phase for VTOL Fixed-Wing UAVs with Canard Configuration. Aerospace, 12(9), 784. https://doi.org/10.3390/aerospace12090784

