Next Article in Journal
Strong Tracking Unscented Kalman Filter for Identification of Inflight Icing
Previous Article in Journal
Suitability Assessment and Route Network Planning for Low-Altitude Transportation in Urban Agglomerations Using Multi-Source Data
 
 
Font Type:
Arial Georgia Verdana
Font Size:
Aa Aa Aa
Line Spacing:
Column Width:
Background:
Article

A Novel 6-DOF Passive Vibration Isolation System for Aviation Optoelectronic Turret and Its Impact Analysis on Optical Systems Imaging Performance

1
State Key Laboratory of Dynamic Optical Imaging and Measurement, Changchun Institute of Optics Fine Mechanics and Physics, Chinese Academy of Sciences, Changchun 130033, China
2
University of Chinese Academy of Sciences, Beijing 100049, China
*
Author to whom correspondence should be addressed.
Aerospace 2025, 12(9), 778; https://doi.org/10.3390/aerospace12090778
Submission received: 19 July 2025 / Revised: 21 August 2025 / Accepted: 27 August 2025 / Published: 28 August 2025
(This article belongs to the Section Aeronautics)

Abstract

In recent years, with the rapid development of the unmanned aerial vehicle industry, aviation optoelectronic turrets have been widely applied in fields such as terrain exploration, disaster prevention and mitigation, and national defense. Vibration isolation systems play a critical role in ensuring their imaging performance. This paper proposes a novel eight-leg six-degree-of-freedom (6-DOF) passive vibration isolation system tailored to the characteristics of aviation optoelectronic turrets, addressing the limitations of traditional Stewart passive vibration isolation platforms. A static analysis of the system is conducted, deriving the general form of the mass matrix under application conditions for aviation optoelectronic turrets. Structural configuration conditions are established to ensure that the stiffness matrix and damping matrix are diagonal matrices. In dynamic analysis and simulations, the transmissibility in each direction is simulated, and the impact of leg failure on the vibration isolation performance of this redundant system is further investigated. Under random vibration excitation, the maximum rotational vibration angles of a specific aviation optoelectronic turret are simulated and analyzed, confirming its stable tracking capability and validating the effectiveness of the redundant leg design in the vibration isolation system.

1. Introduction

In most aerospace optical systems, vibrations introduce undesired motion to the imaging components, which affects the imaging quality of optical systems and leads to performance degradation [1,2,3,4]. These vibrations reduce the accuracy of precision optical telescopes, cause misalignment in laser communication equipment, and induce blurring in airborne camera images [5,6,7]. Therefore, vibration suppression and isolation are crucial for high-performance aerospace optical systems.
Aircraft vibration isolation systems are often required to be compact, lightweight, highly reliable, and capable of effectively addressing complex and variable aviation vibration environments. The aviation optoelectronic turrets possess a servo rotational capability that drives the optical axis to rotate along roll, pitch, and yaw directions, enabling scanning and tracking imaging functions for specific areas and targets [8]. As the isolated body, the aviation optoelectronic turret requires the vibration isolation system to both isolate external vibrations and attenuate internal vibrations induced by excitation sources such as motors.
Lin Li et al. systematically reviewed micro-vibration suppression methods/technologies specifically developed for spacecraft equipped with HPSOI in recent years, effectively summarizing the latest research progress in this field [9]. Jing Li et al. adaptively designed a passive vibration isolation system for UAVs based on their vibration characteristics, proposing an optimized design scheme to isolate vibrations in photoelectric platform payloads [10]. J. O’Toole investigated the design of passive vibration isolation systems for high-altitude long-range reconnaissance cameras, highlighting key factors such as isolator selection and layout configuration [11]. Keqi Qi et al. proposed a passive vibration isolation system design methodology for optical systems with sensitive line-of-sight requirements. Their approach determines stiffness and damping parameters for each degree of freedom by controlling vibration transmissibility under actual operational requirements, while also discussing relevant layout constraints [12]. Chan-Hwi Kang et al. explored the correlation between UAV natural frequencies and payload weight, developing a shock absorber development and testing methodology that balances both factors. Through the cross-verification of experimental measurements and finite element analysis (FEA), they established a UAV shock absorber selection methodology to enhance optical equipment stability [13].
To simplify the structure and control parameters of vibration isolation systems, Stewart active vibration isolation platforms typically adopt a six-leg configuration. Current 6-DOF passive vibration isolation systems, evolved from active isolation designs, also feature six legs. However, aviation optoelectronic turret systems require high reliability to ensure effective real-time image data acquisition and stable tracking functionality during mission execution. In a six-leg configuration, if a leg accidentally fractures and fails, the structure becomes geometrically unstable and loses its vibration isolation capability. For aviation optoelectronic turrets with stringent real-time requirements, this poses a significant risk of mission failure. This paper innovatively proposes an eight-leg 6-DOF passive vibration isolation system, which not only enhances system redundancy but also offers greater flexibility in spatial arrangement, facilitating miniaturized design.
This study originated from practical engineering applications. Our organization has documented 53 operational units of six-leg passive vibration isolation products, among which two units experienced mechanical failures. Systematic fault analysis revealed that the failure mode manifested as plastic deformation in the spring component of a particular leg’s spring-damper system. This deformation resulted in a complete loss of elastic force generation within the designated working range, rendering the affected leg functionally equivalent to a structural fracture under operational conditions. Root cause analysis identified two primary failure mechanisms: First, an inherent mass center offset between the aviation optoelectronic turret and the vibration isolation system induced an abnormal stress concentration on specific support legs. Second, during UAV landing maneuvers, the combination of significant impact forces and pre-existing stress anomalies created synergistic amplification effects. Through multiple operational cycles, this stress superposition progressively induced cumulative damage to the spring elements, ultimately leading to mechanical failure. Therefore, we conducted a study on the eight-leg structure as one approach to address the aforementioned issues.
Section 2 compares the advantages and disadvantages between conventional six-leg and novel eight-leg configurations, demonstrating the practical significance of this research in aviation optoelectronic turret engineering applications. Section 3 establishes a vibration isolation system model, deriving the stiffness matrix and structural configuration conditions required for achieving a diagonal damping matrix. Section 4 formulates the generalized form of the mass matrix under aviation optoelectronic turret operating conditions. An experimental validation of natural frequency theoretical predictions is conducted, accompanied by a comprehensive analysis of the impact induced by a single-leg fracture failure. Section 5 evaluates the influence of vibration isolation performance on optical imaging quality under specified input conditions. Section 6 summarizes the key findings of this study and outlines prospects for future research.

2. Comparative Analysis

2.1. Design Features of Mechanical Structures

The current six-leg passive vibration isolation platform typically divides the struts into three groups. Each group is symmetrically arranged along a central line, with the three central lines evenly distributed across a 360° circumference. The schematic diagram of this passive vibration isolation system is shown in Figure 1 below. The central lines of the three strut groups are spaced 120° apart on both the base platform and the moving platform.
As shown in Figure 2a, the structural configuration illustrated in Figure 1 cannot achieve complete symmetry about the X and Y axes. However, when eight legs are arranged with four centerlines uniformly distributed along a 360° circumference (as depicted in Figure 2b with 90° spacing intervals), full spatial symmetry can be realized. Assuming identical layout radii r c , the six-leg configuration exhibits X-direction and Y-direction layout distances of 3 r c and 1.5 r c , respectively, whereas the eight-leg configuration demonstrates reduced layout distances of 2 r c in both X and Y directions. This comparative spatial arrangement, visualized in Figure 2c, reveals that the eight-leg configuration achieves more compact dimensional parameters along both axes than its six-leg counterpart.
The eight-leg configuration offers enhanced flexibility in layout design for vibration isolation systems. In certain UAVs, installation space for aviation optoelectronic turrets may be restricted to lateral orientations (left/right directions) with no available mounting positions along the longitudinal axis (front/rear directions). Under such spatial constraints, the eight-leg configuration demonstrates significant advantages by providing multiple installation options while maintaining optimal vibration isolation performance. This can increase space utilization efficiency, and expands potential application scenarios.
Under equivalent loading conditions while maintaining identical natural frequency requirements, both the spring stiffness k and damping coefficient c in each leg’s spring-damper system in eight-leg passive vibration isolation configurations can be proportionally reduced. This design optimization enables the miniaturization of supporting legs, thereby achieving more compact vertical dimensions for the overall structure. Such size reduction offers significant advantages in spatially constrained aerospace applications where spatial efficiency constitutes a critical design consideration.
Based on an eight-leg configuration, the number of support legs can be further increased to create multi-leg configurations. Assuming the number of legs is n (where n is an even number and n ≥ 8), compared with traditional six-leg configurations, each leg in the n-leg configuration bears only 6/n of the force exerted on individual legs in the six-leg counterpart when maintaining identical structural geometry and payload mass. Under the condition of satisfying equivalent structural strength requirements, this force reduction enables a corresponding downsizing of individual leg dimensions. Consequently, smaller specifications can be adopted for both bearings and spring-damping systems. These inherent advantages make the miniaturization of multi-leg systems technically feasible; this is particularly suitable for compact application scenarios with stringent spatial constraints.

2.2. Structural Redundancy Analysis

The eight-leg passive vibration isolation systems are statically indeterminate structures featuring redundant leg designs. In the event of unexpected leg fracture failure, the remaining legs can still maintain the system’s statically indeterminate status, ensuring the complete constraint of all 6-DOF. This enables the system to retain its vibration isolation capability and continue performing isolation tasks. In contrast, the six-leg passive vibration isolation system constitutes a statically determinate configuration. Should any leg experience unexpected fracture failure, one degree of freedom would become unconstrained, transforming the system into a geometrically unstable structure. This instability would render the vibration isolation system incapable of meeting 6-DOF isolation requirements and fulfilling its vibration control function.

3. Statics Analysis

3.1. Derivation of the Jacobian Matrix

The three-dimensional structural schematic diagram of the aerial aviation optoelectronic turret mounted on the vibration isolation platform of this category is shown in Figure 3. As illustrated, the turret’s inherent mounting interface connects with the mounting holes of the load platform. The specific mounting configuration can be designed according to the actual product characteristics and spatial adaptability requirements.
The simplified schematic diagram of the system is shown in Figure 4, where the base coordinate system is denoted as B, the payload platform coordinate system as P, and the center-of-mass coordinate system of the vibration-isolated body (composed of the aviation optoelectronic turret) as O. During design, structural symmetry is ensured and design parameters are simplified by aligning the base coordinate system with the payload platform coordinate system, maintaining only a vertical height difference h along the Z-axis. Similarly, through precise design and mass balancing of the aviation optoelectronic turret, the center-of-mass coordinate system is aligned with the other two coordinate systems under static equilibrium conditions during the initial installation. However, due to spatial constraints in turret installation and requirements for avoiding field-of-view obstruction, the center-of-mass coordinate system cannot fully coincide with the payload platform coordinate system, resulting in an additional vertical height difference e along the Z-axis.
In a 6-DOF passive vibration isolation system, the Jacobian matrix typically describes the linear relationships between kinematic or dynamic parameters of the system, such as the mapping from input displacements to output pose, or the correlation between external forces and system responses. It serves as a crucial parameter in analyzing 6-DOF passive vibration isolation systems. The following derives its Jacobian matrix:
The eight connection points on the base platform are denoted as B i (i = 1, 2, …, 8), and the eight connection points on the payload platform are denoted as P i (i = 1, 2, …, 8). Corresponding pairs of B i and P i are sequentially connected to form eight spatial legs, creating the connection structure shown in Figure 4. Each leg constitutes an independent spring-damper system with stiffness coefficient k i and damping coefficient c i , as simplified in Figure 5a. Both the connection points B i on the base platform and P i on the payload platform employ spherical joints, with their structural schematics illustrated in Figure 5b.
Let b i denote the coordinate vector of the i-th connection point in the base platform coordinate system B, and p i denote the coordinate vector of the i-th connection point in the payload platform coordinate system P. The angle between the coordinate vector p i and the positive direction of the X P of the payload platform coordinate system is defined as ω Pi , while the angle between the coordinate vector b i and the positive direction of the X B of the base platform coordinate system is defined as ω Bi .
Assuming the radius of the base platform is r B , the radius of the payload platform is r P , the translation matrix of the payload platform relative to the base platform is t   = [ 0 0 h ] T , and the center of gravity position of the isolated body is c = [ 0 0 e ] T , with no initial rotation at the initial moment. According to the relevant reference [14,15,16,17], the Jacobian matrix can be simplified as follows:
J = s 1 T ( ( p 1 c ) × s 1 ) T s 8 T ( ( p 8 c ) × s 8 ) T
where s i denotes the unit vector of the i-th support leg.
b i can be expressed as follows:
b i = b i x b i y b i z = r B cos ω B i r B sin ω B i 0
p i can be expressed as follows:
p i = p i x p i y p i z = r P cos ω P i r P sin ω P i 0
p i c can be expressed as follows:
p i c = p i x p i y p i z 0 0 e = r P cos ω P i r P sin ω P i 0 0 0 e = r P cos ω P i r P sin ω P i e
The leg vector l i can be expressed as follows:
l i = p i + t b i = p i x b i x p i y b i y p i z + h b i z = r P cos ω P i r B cos ω B i r P sin ω P i r B sin ω B i h
Substituting into the equations, the unit vector s i of the support leg can be obtained as follows:
s i = l i / l i = s i x s i y s i z = r P cos ω P i r B cos ω B i r P sin ω P i r B sin ω B i h r P cos ω P i r B cos ω B i 2 + r P sin ω P i r B sin ω B i 2 + h 2
In the equation, l i = l i .
Similarly, we can express ( p i c ) × s i as follows:
( p i c ) × s i = p i x p i y p i z e × s i x s i y s i z = p i y s i z p i x s i z p i x s i y p i y s i x = r P sin ω P i s i z + e s i y e s i x r P cos ω P i s i z r P cos ω P i s i y r P sin ω P i s i x
The final expression of the Jacobian matrix can be obtained as follows:
J = s 1 x s 1 y s 1 z p 1 y s 1 z + e s 1 y e s 1 x p 1 x s 1 z p 1 x s 1 y p 1 y s 1 x s 8 x s 8 y s 8 z p 8 y s 8 z + e s 8 y e s 8 x p 8 x s 8 z p 8 x s 8 y p 8 y s 8 x

3.2. Conditions for J T J to Be a Diagonal Matrix

The stiffness matrix K and damping matrix C of the system are both expressions related to J , as shown in References [18,19,20,21].
K = J T d i a g ( k i ) J           i = 1 ,   2 ,   8 C = J T d i a g ( c i ) J           i = 1 ,   2 ,   8
Here, J T denotes the transpose of J , k i represents the stiffness of the i-th leg, and c i is the damping coefficient of the i-th leg.
If the design of the passive vibration isolation system is simplified by setting all support legs to have equal stiffness k and equal damping coefficients c , then d i a g ( k i ) and d i a g ( c i ) become scalar matrices. In this case, the stiffness matrix and damping matrix can be rewritten as follows:
K = k J T J C = c J T J
Therefore, in this case, for the stiffness matrix K and damping matrix C to be diagonal matrices, J T J must also be a diagonal matrix.
A = J T J = s 1 x s 2 x s 3 x s 4 x s 5 x s 6 x s 7 x s 8 x s 1 y s 2 y s 3 y s 4 y s 5 y s 6 y s 7 y s 8 y s 1 z s 2 z s 3 z s 4 z s 5 z s 6 z s 7 z s 8 z p 1 y s 1 z + e s 1 y p 2 y s 2 z + e s 2 y p 3 y s 3 z + e s 3 y p 4 y s 4 z + e s 4 y p 5 y s 5 z + e s 5 y p 6 y s 6 z + e s 6 y p 7 y s 7 z + e s 7 y p 8 y s 8 z + e s 8 y e s 1 x p 1 x s 1 z e s 2 x p 2 x s 2 z e s 3 x p 3 x s 3 z e s 4 x p 4 x s 4 z e s 5 x p 5 x s 5 z e s 6 x p 6 x s 6 z e s 7 x p 7 x s 7 z e s 8 x p 8 x s 8 z p 1 x s 1 y p 1 y s 1 x p 2 x s 2 y p 2 y s 2 x p 3 x s 3 y p 3 y s 3 x p 4 x s 4 y p 4 y s 4 x p 5 x s 5 y p 5 y s 5 x p 6 x s 6 y p 6 y s 6 x p 7 x s 7 y p 7 y s 7 x p 8 x s 8 y p 8 y s 8 x · s 1 x s 1 y s 1 z p 1 y s 1 z + e s 1 y e s 1 x p 1 x s 1 z p 1 x s 1 y p 1 y s 1 x s 2 x s 2 y s 2 z p 2 y s 2 z + e s 2 y e s 2 x p 2 x s 2 z p 2 x s 2 y p 2 y s 2 x s 3 x s 3 y s 3 z p 3 y s 3 z + e s 3 y e s 3 x p 3 x s 3 z p 3 x s 3 y p 3 y s 3 x s 4 x s 4 y s 4 z p 4 y s 4 z + e s 4 y e s 4 x p 4 x s 4 z p 4 x s 4 y p 4 y s 4 x s 5 x s 5 y s 5 z p 5 y s 5 z + e s 5 y e s 5 x p 5 x s 5 z p 5 x s 5 y p 5 y s 5 x s 6 x s 6 y s 6 z p 6 y s 6 z + e s 6 y e s 6 x p 6 x s 6 z p 6 x s 6 y p 6 y s 6 x s 7 x s 7 y s 7 z p 7 y s 7 z + e s 7 y e s 7 x p 7 x s 7 z p 7 x s 7 y p 7 y s 7 x s 8 x s 8 y s 8 z p 8 y s 8 z + e s 8 y e s 8 x p 8 x s 8 z p 8 x s 8 y p 8 y s 8 x = A 11 A 12 A 13 A 14 A 15 A 16 A 21 A 22 A 23 A 24 A 25 A 26 A 31 A 32 A 33 A 34 A 35 A 36 A 41 A 42 A 43 A 44 A 45 A 46 A 51 A 52 A 53 A 54 A 55 A 56 A 61 A 62 A 63 A 64 A 65 A 66
The passive vibration isolation system with eight support legs described in this paper features the following configuration characteristics: All legs are divided into four groups, with each group sharing a central axis. Within each group, the two legs are symmetrically arranged about this central axis. The central axes of the four groups are evenly distributed around a 360° circumference with 90° angular intervals between adjacent groups. This design configuration leverages the symmetry of trigonometric functions to eliminate non-diagonal elements in subsequent derivation results, thereby facilitating the construction of a diagonal matrix formulation. Through trigonometric calculations based on this configuration design, Equation (12) is demonstrated.
A = J T J = A 11 0 0 0 A 15 0 0 A 22 0 A 24 0 0 0 0 A 33 0 0 0 0 A 42 0 A 44 0 0 A 51 0 0 0 A 55 0 0 0 0 0 0 A 66
The off-diagonal elements are A 24 , A 42 , A 15 , A 51 .
A 24 = A 42 = A 15 = A 51 = 4 ( r P 2 h + e + r B 2 e r P r B h + 2 e cos ω Pi ω Bi )
If the stiffness matrix K and damping matrix C are required to be diagonal matrices, then A 24 = A 42 = A 15 = A 51 = 0 .
The equation admits real solutions if and only if
h + 2 e 2 cos 2 ω Pi ω Bi 4 e h + e 0
r P = h + 2 e cos ω Pi ω Bi ± h + 2 e 2 cos 2 ω Pi ω Bi 4 e h + e 2 h + e r B
Based on the above derivation, we provide a set of parameters to solve for parameter A, which will then serve as the input for subsequent calculations. The relevant data are listed in Table 1 below.
Through calculation, Matrix A is obtained as follows (rounded to four decimal places):
A = 2.5969 0 0 0 0 0 0 2.5969 0 0 0 0 0 0 2.8062 0 0 0 0 0 0 0.2469 0 0 0 0 0 0 0.2469 0 0 0 0 0 0 0.9139

4. Dynamic Analysis and Simulation

4.1. Mass Matrix Parameters

In passive vibration-isolated aviation optoelectronic turrets, trimming the turret can align its yaw rotation axis with the Z-axis of the payload platform. However, due to constraints in the actual structural configuration, the center of mass of the optoelectronic turret often fails to coincide with the load platform center in most cases, resulting in an offset vector c   =   [ 0 0 e ] T . Additionally, the structural design of the aviation optoelectronic turret inherently prevents its moment of inertia matrix from achieving full diagonalization.
For the offset vector c , its cross product matrix is denoted as S(c).
S ( c ) = 0 e 0 e 0 0 0 0 0
The moment of inertia about the center of mass is I c .
I c = I x x I x y I x z I y x I y y I y z I z x I z y I z z
where I x y = I y x , I x z = I z x and I y z = I z y .
The aviation optoelectronic turret features a complex and non-strictly symmetrical structural design, rendering the manual calculation of its moment of inertia I c particularly challenging. Consequently, the specific numerical values are typically acquired through computational analysis using 3D modeling software (Siemen NX 2212).
I O = I c + m ( c T c I 3 c c T )
I O is the moment of inertia about the center of the payload platform; m is the equivalent mass of the vibration-isolated body; and I 3 is the 3 × 3 identity matrix.
The formulation of the mass matrix is
M = m I 3 m S ( c ) m S ( c ) T I O = m 0 0 0   m e 0 0 m 0 m e 0 0 0 0 m 0 0 0 0 m e 0 I x x + m e 2 I x y I x z   m e 0 0 I y x I y y + m e 2 I y z 0 0 0 I z x I z y I z z
The masses of the legs, payload platform, and aviation optoelectronic turret are simplified and equivalently combined into a total vibration-isolated system with a total mass of 25 kg. The displacement vector between the system’s center of mass and the load platform center is given as c   =   [ 0 0 0.1 ] T . The moments of inertia in three directions are as follows: I x x = 0.5441 kg·m2, I y y = 0.4558 kg·m2, and I z z = 0.2666 kg·m2, with products of inertia I x y = I y x = −0.0033 kg·m2, I x z = I z x = −0.0082 kg·m2, and I y z = I z y = −0.0151 kg·m2. Thus, the mass matrix of the vibration isolation system can be expressed as follows:
M = 25 0 0 0 2.5 0 0 25 0 2.5 0 0 0 0 25 0 0 0 0 2.5 0 0.7941 0.0033 0.0082 2.5 0 0 0.0033 0.7058 0.0151 0 0 0 0.0082 0.0151 0.2666
In the application of aviation optoelectronic turrets, the turret center should be positioned as close as possible to the load platform center while maintaining an unobstructed optical field of view. This configuration aims to minimize the vibrational coupling between translational and rotational degrees of freedom, specifically reducing interactions between Tx and Ry, as well as between Ty and Rx.

4.2. Natural Frequency Calculation

The dynamic equations governing the vibration isolation system can be expressed as follows [22]:
M q ¨ + C q ˙ + K q = 0
The generalized displacement vector q = δ x δ y δ z θ x θ y θ z T represents six degrees of freedom. The stiffness matrix K and damping matrix C are defined in Equations (9) and (10), respectively.
By solving Equation (19), the analytical expression can be obtained as follows:
d e t λ 2 M + λ C + K = 0
The eigenvalues can be expressed as λ i = σ i ± j ω d i , and the damped natural frequency corresponding to the i-th mode is as follows:
f d i = ω d i 2 π
The determination of the damping ratio necessitates the use of the system’s undamped natural frequency ω n . The expression for the natural frequency ω n and damping ratio ζ as derived from the following equation in [23], is given by the following:
d e t K ω n 2 M = 0
f n i = ω n i 2 π
ω d i = ω n i 1 ζ i 2
When the base platform is subjected to displacement excitation, the equations of motion for the system can be expressed as follows:
M q ¨ + C ( q ˙ p ˙ ) + K ( q p ) = 0
q denotes the absolute displacement vector of the payload platform, and p represents the displacement excitation vector of the base platform.
After mathematical manipulation, the governing equation can be expressed as follows:
M q ¨ + C q ˙ + K q = C p ˙ + K p
Assuming the base excitation is in the harmonic form p t = P e i ω t and the steady-state response is q t = Q e i ω t , substituting these expressions into the equation of motion and canceling the exponential term e i ω t yields the frequency-domain equation:
( ω 2 M + i ω C + K ) Q = i ω C + K P
The calculation formula for the transmissibility matrix is given by the following [24]:
H ω = ( ω 2 M + i ω C + K ) 1 i ω C + K
if the stiffness of each leg is taken as k = 17,000 N/m and the damping coefficient of each leg is c = 120 N·s/m. The manual calculation of natural frequencies, damping ratios, and transmissibility proves prohibitively laborious, therefore computer-aided numerical simulation is strongly recommended for such analyses. The six lowest-order natural frequencies of the system obtained through computational methods are systematically presented in Table 2.

4.3. Experimental Validation of Vibration

Based on the configuration characteristics of a certain type of aviation optoelectronic turret and the parameters of the aforementioned vibration isolation system, a physical vibration isolation system was designed, manufactured, and subjected to practical vibration testing to validate the accuracy of the theoretical modeling. The experimental procedure is illustrated in Figure 6 below.
Given that our vibration platform is limited to excitation in three translational degrees of freedom and cannot directly measure the rotational natural frequencies of the vibration isolation system, as shown in Figure 7, we employed a tri-axial rotational stage for parameter characterization. The experimental methodology involves installing sensors on both the input and output sides of the vibration isolation system. The tri-axial rotational stage was controlled to perform swept-sine excitations across the 0–30 Hz frequency range in each of the three rotational directions. Subsequent analysis of the measured responses from both sides enabled the determination of natural frequencies in all three rotational degrees of freedom through frequency response function calculations. The comparative results are summarized in Table 3.
The deviation between experimental and computational results is relatively minor in terms of error rate. These discrepancies primarily originate from three sources: (1) inherent instrument error (approximately 2%) in experimental equipment, (2) computational methodology-related errors including rounding/truncation effects, and (3) practical deviations arising from manufacturing and assembly processes. This outcome validates the rationality of the theoretical design and computational approach, while confirming that the established methodological framework can effectively guide practical engineering design applications.

4.4. Frequency Domain Analysis

Using simulation software (MATLAB 2024A), a frequency domain analysis was conducted on the vibration isolation system, through logarithmically uniform sampling covering the frequency band from 1 rad/s (0.159 Hz) to 3162 rad/s (503.25 Hz), to analyze the system’s vibration isolation characteristics.
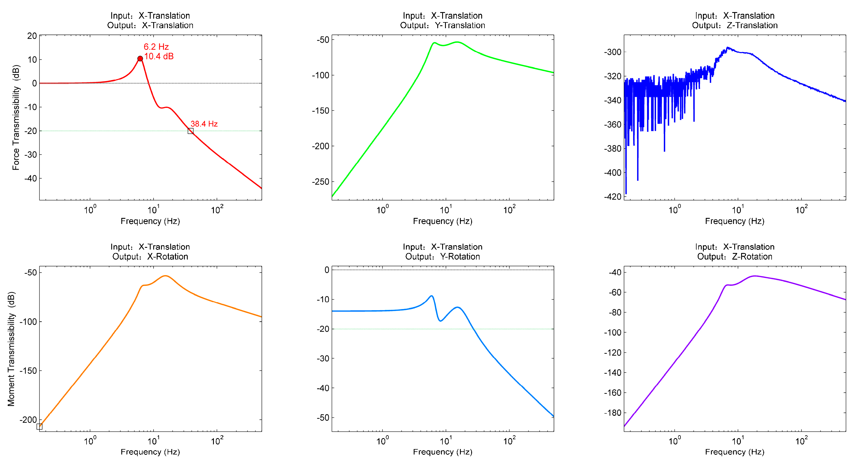
Figure 8 below shows the transmissibility curves in 6-DOF directions of the vibration isolation system. The curves reveal significant coupling phenomena in Tx, Ty, Rx, and Ry, where multiple resonance peaks are observed in the transmissibility curves.
The vibrational coupling characteristics of the system are analyzed in detail below. For excitation applied along Tx, the response curves in various directions are shown in Figure 9. The simulation results reveal significant vibrational coupling in Ty, Rx, Ry, and Rz. Particularly notable is the prominent coupling phenomenon observed in Ry, where the transmissibility in the low-frequency range exceeds −20 dB. Similarly, when the excitation is applied along the Ty, distinct vibrational coupling becomes apparent in Rx.
For excitation applied in Rx, the response curves in each direction are shown in Figure 10. The simulation results reveal the presence of vibrational coupling in Tx, Ty, Ry, and Rz. Particularly noteworthy is the significant vibrational coupling observed in Ty, where the peak value of transmissibility even exceeds 10 dB. Similarly, when the excitation is applied in Ry, strong vibrational coupling is also observed in Tx.
When the excitation direction is Tz or Rz, the absence of significant coupling effects leads to minimal vibrational coupling in other directions and relatively simple transmissibility curves. Due to space constraints, these curves are not enumerated in detail here.

4.5. Analysis of Redundancy Performance Characteristics

Considering the failure and fracture of a support leg, where the fractured leg no longer participates in vibration isolation, the effective number of support legs becomes seven. While this configuration still satisfies the 6-DOF vibration isolation requirements, it will degrade the system’s damping performance. When a support leg fails and fractures, the symmetry of the Jacobian matrix is disrupted. For the matrix A = J T J , under intact conditions with rational spatial arrangement, the symmetry of trigonometric functions ensures that the summation of off-diagonal elements equals zero. However, when the number of active legs decreases, the off-diagonal elements generally become non-zero, failing to satisfy the criteria for a diagonal matrix. This results in coupling effects between vibrations in different directions of the isolation system.
Through calculation, it is evident that if a fracture failure occurs in any individual support leg, the natural frequencies of the system in various directions would vary depending on which support leg is fractured. However, the resulting patterns remain relatively consistent across different cases. Taking one such scenario as an example, the analysis yields the sixth-order natural frequencies of the system as shown in the Table 4 below.
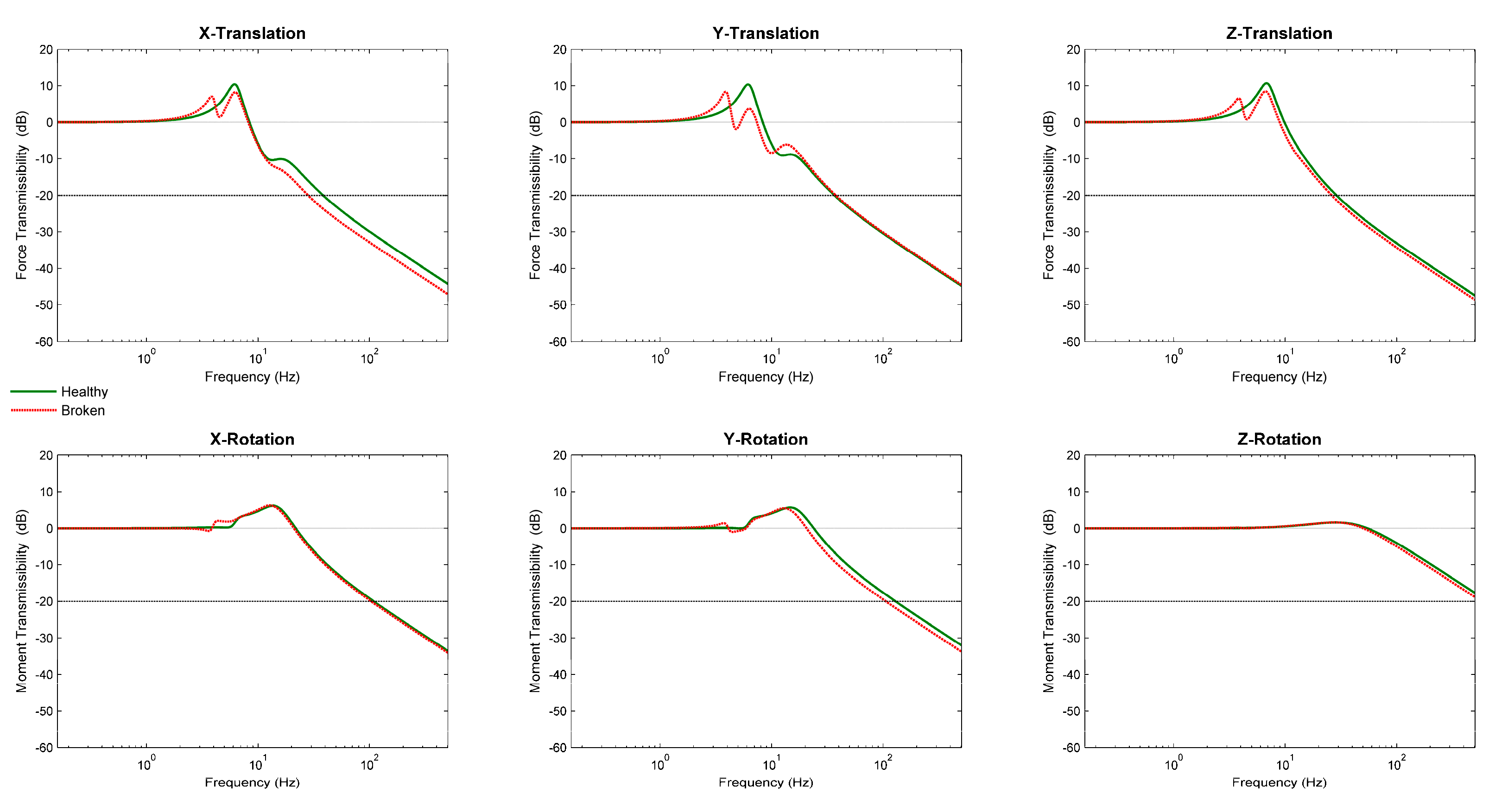
A comparative analysis of transmissibility under identical input conditions was conducted before and after the leg fracture in the system. As shown in Figure 11, the analysis reveals a distinct shift of the post-failure transmissibility curves toward lower frequencies across all directions. This phenomenon primarily arises from the increased load on the remaining individual legs after the fracture of one leg, leading to a reduction in the system’s natural frequency. Furthermore, the number of resonance peaks in all directions increases, resulting in more complex transmissibility curves. Particularly in the translational direction, the additional resonance peaks become markedly pronounced.
The simulation results, with Rx as the excitation direction, are shown in Figure 12 to demonstrate the vibration coupling phenomena in various directions after the strut fracture. It can be clearly observed that significantly enhanced coupled vibrations emerge in all other directions post-fracture compared to pre-fracture conditions. The intensity of these coupled vibrations exhibits notable amplification, particularly in Tz. The peak transmissibility of the transfer function curve in this direction remarkably increased from almost no coupling prior to fracture to values exceeding 0 dB after the strut failure.
The results for other directions as excitation inputs are similar; however, they are not enumerated individually here due to space constraints.

4.6. Deviation Sensitivity Analysis

Deviation sensitivity analysis holds significant importance in economic production processes. In this study, we consider a scenario where one of the eight support legs exhibits a 1° deviation from its theoretical installation position at the base platform mounting point. This positional discrepancy induces an offset in the leg vector configuration. The original vibration isolation platform, which inherently possesses a minor rotation matrix, fails to achieve a diagonalization of the stiffness matrix and damping matrix, consequently leading to enhanced vibrational coupling intensity.
To investigate this phenomenon, subsequent modeling and simulation analyses were conducted. The numerical results demonstrate negligible variations in natural frequencies across six degrees of freedom, with specific quantitative data detailed in Table 5.
The influence of vibrational coupling was investigated through transmissibility analysis under the excitation in Tx, with comparative studies conducted for both properly installed and positionally misaligned conditions (Figure 13). When compared with the transmissibility curves of correctly installed systems shown in Figure 9, the positional misalignment induces increased vibration coupling in Ty, Tz, Rx, Ry, and Rz. However, the overall coupling intensity remains relatively low, particularly when considering actual vibration attenuation ratios. The practical differences in vibration suppression performance are observed to be negligible despite these coupling variations.
It should be noted that while the overall system demonstrates relatively low sensitivity to individual errors, the cumulative effect of significant manufacturing and installation deviations in multiple support legs may become substantial. Such error accumulation could potentially amplify impacts on both the natural frequency characteristics of the vibration isolation system and the induced vibration coupling effects. Therefore, under the prerequisite of maintaining economic feasibility, it remains imperative to enforce stringent controls over machining and assembly tolerances. Furthermore, enhanced final quality verification procedures should be implemented to ensure strict compliance with the prescribed design specifications.

5. Effect of Vibration Isolation Systems on Optical Imaging

5.1. Optical Parameters

The optical system of this model’s aviation optoelectronic turret employs a coaxial catadioptric configuration, with its optical design scheme illustrated in Figure 14. Utilizing common-aperture design architecture, both the visible spectrum and mid-wave infrared (MWIR) channels share an integrated set of primary and secondary mirrors. This innovative configuration significantly optimizes spatial utilization efficiency while maintaining multi-spectral operational capabilities.
The related parameters of the optical system are as shown in Table 6.
The angular resolution corresponding to each pixel in the visible spectrum is denoted as θ v .
θ v = p f = 5.63 μ rad
The diffraction limit of the optical system in the visible spectrum (λ = 700 nm):
θ d i f f = 1.22   ×   λ D   =   3.42 μ rad
Since θ v   >   θ d i f f , the actual angular resolution per pixel of the optical system in the visible light spectrum is 5.63 μrad. Similarly, the calculated angular resolution per pixel for the MWIR band is 39.04 μrad.

5.2. Aviation Optoelectronic Turret Tracking Performance Analysis

The target tracking function, as a critical capability of an aviation optoelectronic turret, significantly determines its overall performance. To achieve tracking functionality, image trackers typically establish a tracking template whose size is determined based on actual application conditions. To ensure target retention during tracking operations, it is imperative that the maximum vibration amplitude of the optoelectronic turret remains below the maximum tracking tolerance range throughout the tracking process [25,26,27,28,29,30].
This model of aviation optoelectronic turret is designed such that the central region of the tracking template comprises 64 × 64 pixels. Based on practical requirements, the maximum tracking tolerance range is set to three times the size of the central area, i.e., 192 × 192 pixels, as illustrated in Figure 15. To ensure stable tracking performance, the turret must maintain the central area of the tracking template within the specified maximum error range, even under extreme shaking conditions. Consequently, the maximum permissible shaking displacement in any direction shall not exceed 64 pixels.
For visible light, a rotation angle of 360.32 μrad corresponds to 64 pixels, while for MWIR, the same 64 pixels correspond to a rotation angle of 2498.56 μrad. This indicates that visible light demonstrates higher sensitivity and greater susceptibility to rotational effects in this configuration. Therefore, the subsequent analysis will focus on visible light as the representative case for investigation.
The power spectral density plots of a certain UAV are shown in Table 7. The vibration input is applied along three translational directions, with identical power spectral density profiles for each direction. The total root mean square (RMS) value of the vibration is specified as 5.2 g for all three directions.
During the simulation analysis, taking the most severe input conditions as an example—where all three translational directions were simultaneously subjected to vibration inputs with a total RMS value of 5.2 g as specified in the table—the maximum rotation angle induced in the rotational direction under these vibration conditions was analyzed.
When the vibration isolation system is in good condition, the vibration response curve of the aviation optoelectronic turret is shown in Figure 16 below. From the graph, it can be observed that the maximum rotational angles in Rx and Ry are both approximately 70 μrad, while the maximum rotational angle in Rz is smaller, measuring 0.8 μrad. Under these conditions, the maximum rotational angles induced by external random vibrations in all three rotational directions are less than the rotational angles corresponding to 64 pixels of visible light. Therefore, the optoelectronic turret can achieve stable tracking functionality.
When a leg of the vibration isolation system fractures, the vibration response curve appears as shown in Figure 17. At this point, the maximum rotation angles in both Rx and Ry remain around 280 μrad. Due to the significant vibrational coupling induced in Rz by the leg fracture, the maximum rotation angle in Rz increases substantially to approximately 100 μrad. Nevertheless, all three rotational directions maintain maximum angles below the rotational angle corresponding to 64 pixels in the visible light system. While the optoelectronic turret can still meet the requirements for stable tracking, noticeable image jitter occurs during operation.

5.3. Effects of Wind Force

Assuming the wind direction is exclusively opposite to the flight direction of the UAV, the wind resistance acting on the aviation optoelectronic turret comprises both flight airspeed and gust components. The flight airspeed is specified as 55.6 m/s, while the gust conditions correspond to Beaufort scale 4–5 winds with an amplitude of 5 m/s oscillating at a frequency of 1 Hz. Detailed design parameters and simulation specifications are systematically presented in the accompanying Table 8 below.
The simulation analysis of force transmissibility reveals that the relatively low airspeed results in minimal overall displacement of the vibration isolation system. Numerical results demonstrate a maximum displacement of 1.47 mm in Tx and 0.017° rotational displacement in Ry. Given these negligible displacements, the force transmissibility curves across all directions exhibit essential consistency with those presented in Figure 8, and thus are not reiterated here.
As illustrated in Figure 18, the displacement transmissibility curves require particular interpretation. Since the simulation applies instantaneous wind loading at initialization, substantial transient disturbances occur before the system stabilizes. To eliminate interference from initial oscillations in steady-state curve analysis, post-3s equilibrium state data were selectively extracted. The simulation confirms sustained wind forces acting continuously in Tx and persistent torque effects in Ry during operational conditions, generating corresponding directional displacements. Notably, gust-induced periodic variations manifest as characteristic oscillations in the curves. While gust frequencies typically ranging 1–10 Hz induce cyclic angular variations in Ry that potentially degrade imaging quality in the aviation optoelectronic turret, the low-frequency nature of these disturbances enables effective compensation through servo control systems. This mitigation capability fundamentally stems from the inherent bandwidth advantages of modern servo mechanisms over the specified gust frequency spectrum.

6. Conclusions

Based on practical engineering experience, this paper proposes a novel eight-leg 6-DOF passive vibration isolation system for an aviation optoelectronic turret. The general conditions for diagonalizing the stiffness matrix and damping matrix of the isolation system are derived. Core vibration isolation parameters, such as natural frequencies and force transmissibility, are analyzed. Additionally, the impact of a single leg failure on the system’s vibration isolation performance is investigated.
Building on this analysis, the vibration isolation effectiveness of the system when integrated with an aviation optoelectronic turret is simulated. Under actual random vibration input conditions, the maximum vibration response angle during turret tracking is evaluated. The results demonstrate the stable tracking capability of the turret under the most severe external vibration conditions, while also verifying the effectiveness of the redundant leg design in the isolation system.
This system provides a new design approach for 6-DOF passive vibration isolation platforms and is expected to be applicable in aerospace and other engineering fields requiring 6-DOF vibration mitigation.

Author Contributions

Conceptualization, W.S.; methodology, W.S., B.Z. and D.W.; software, W.S. and Y.W.; validation, W.S. and L.L.; formal analysis, W.S.; investigation, W.S. and B.Z.; resources, W.S.; data curation, X.L.; writing—original draft preparation, W.S.; writing—review and editing, C.S. and H.F.; visualization, W.S.; supervision, B.Z. and D.W.; project administration, B.Z.; funding acquisition, D.W. All authors have read and agreed to the published version of the manuscript.

Funding

This research was funded by National Natural Science Foundation of China, grant number 62205337. The APC was funded by the State Key Laboratory of Dynamic Optical Imaging and Measurement, Changchun Institute of Optics Fine Mechanics and Physics, Chinese Academy of Sciences.

Data Availability Statement

The data presented in this study are available on request from the corresponding author.

Acknowledgments

We would like to express our sincere thanks to the State Key Laboratory of Dynamic Optical Imaging and Measurement, Changchun Institute of Optics Fine Mechanics and Physics, Chinese Academy of Sciences.

Conflicts of Interest

The authors declare no conflicts of interest.

Abbreviations

The following abbreviations are used in this manuscript:
6-DOFsix-degree-of-freedom
HPSOIhigh-precision space optical instrument
UAVunmanned aerial vehicle
FEAfinite element analysis
TxX-direction translational motion
TyY-direction translational motion
TzZ-direction translational motion
RxX-direction rotational motion
RyY-direction rotational motion
RzZ-direction rotational motion
MWIRmid-wave infrared
RMSroot mean square

References

  1. Yang, J.; Xu, Z.; Wu, Q.; Zhu, M.; He, S.; Qin, C. Dynamic modeling and control of a 6-DOF micro-vibration simulator. Mech. Mach. Theory 2016, 104, 350–369. [Google Scholar] [CrossRef]
  2. Sun, X.; Yang, B.; Zhao, L.; Sun, X. Optimal design and experimental analyses of a new micro-vibration control payload-platform. J. Sound Vib. 2016, 374, 43–60. [Google Scholar] [CrossRef]
  3. Lam, B.; Guo, C. Complete characterization of ultrashort optical pulses with a phase-shifting wedged reversal shearing interferometer. Light Sci. Appl. 2018, 7, 30. [Google Scholar] [CrossRef]
  4. Wu, Y.; Yu, K.; Jiao, J.; Zhao, R. Dynamic modeling and robust nonlinear control of a six-DOF active micro-vibration isolation manipulator with parameter uncertainties. Mech. Mach. Theory 2015, 92, 407–435. [Google Scholar] [CrossRef]
  5. Miller, J.L.; Way, S.P.; Ellison, B.; Archer, C.L. Design challenges regarding high-definition electro-optic/infrared stabilized imaging systems. Opt. Eng. 2013, 52, 61310. [Google Scholar] [CrossRef]
  6. Kamesh, D.; Pandiyan, R.; Ghosal, A. Modeling, design and analysis of low frequency platform for attenuating micro-vibration in spacecraft. J. Sound Vib. 2010, 329, 3431–3450. [Google Scholar] [CrossRef]
  7. Bronowicki, A.J.; Innis, J.W. A family of full spacecraft-to-payload isolators. Tech. Rev. 2005, 13, 21–41. [Google Scholar]
  8. Ma, T.; Yang, S.; Xu, Y.; Liu, D.; Hou, J.; Liu, Y. Analysis and Correction of Measurement Error of Spherical Capacitive Sensor Caused by Assembly Error of the Inner Frame in the Aeronautical Optoelectronic Pod. Sensors 2022, 22, 9543. [Google Scholar] [CrossRef] [PubMed]
  9. Li, L.; Wang, L.; Yuan, L.; Zheng, R.; Wu, Y.; Sui, J.; Zhong, J. Micro-vibration suppression methods and key technologies for high-precision space optical instruments. Acta Astronaut. 2021, 180, 417–428. [Google Scholar] [CrossRef]
  10. Li, J.; Li, W.; Zhang, X.; Huang, H. Design optimization of a hexapod vibration isolation system for electro-optical payload. Chin. J. Aeronaut. 2024, 37, 330–342. [Google Scholar] [CrossRef]
  11. O’Toole, J. Passive vibration isolation for long range aerial reconnaissance systems. SPIE Optomech. Syst. Des. 1980, 250, 77–86. [Google Scholar]
  12. Qi, K.; Dai, L.; Wang, S.; Yang, Y.; Ding, Y.; Fang, C.; Lin, C. Design Methodology of a Passive Vibration Isolation System for an Optical System With Sensitive Line-of-Sight. Photonics Sens. 2021, 11, 435–447. [Google Scholar] [CrossRef]
  13. Kang, C.H.; Park, H.S.; Seo, S.W.; Kwag, D.G. Design and Experiment of a Passive Vibration Isolator for Small Unmanned Aerial Vehicles. Appl. Sci. 2024, 14, 4113. [Google Scholar] [CrossRef]
  14. Nawratil, G. A remarkable set of Schönflies-singular planar Stewart Gough platforms. Comput. Aided Geom. Des. 2010, 27, 503–513. [Google Scholar] [CrossRef]
  15. Dasgupta, B.; Mruthyunjaya, T.S. A Newton–Euler formulation for the inverse dynamics of the Stewart platform manipulator. Mech. Mach. Theory 1988, 33, 1135–1152. [Google Scholar] [CrossRef]
  16. Zhou, W.; Chen, W.; Liu, H.; Li, X. A new forward kinematic algorithm for a general Stewart platform. Mech. Mach. Theory 2015, 87, 177–190. [Google Scholar] [CrossRef]
  17. Chen, G.L.; Rui, X.T.; Abbas, L.K.; Wang, G.P.; Yang, F.F.; Zhu, W. A novel method for the dynamic modeling of Stewart parallel mechanism. Mech. Mach. Theory 2018, 126, 397–412. [Google Scholar] [CrossRef]
  18. Liu, M.; Gu, Q.; Yang, B.; Yin, Z.; Liu, S.; Yin, L.; Zheng, W. Kinematics model optimization algorithm for six degrees of freedom parallel platform. Appl. Sci. 2023, 13, 3082. [Google Scholar] [CrossRef]
  19. Chi, W.C.; Ma, H.; Wang, C.H.; Zhao, T.Y. Research on Control of Stewart Platform Integrating Small Attitude Maneuver and Vibration Isolation for High-Precision Payloads on Spacecraft. Aerospace 2021, 8, 333. [Google Scholar] [CrossRef]
  20. Legnani, G.; Fassi, I.; Giberti, H.; Cinquemani, S.; Tosi, D. A new isotropic and decoupled 6-DoF parallel manipulator. Mech. Mach. Theory 2012, 58, 64–81. [Google Scholar] [CrossRef]
  21. Chong, Z.; Xie, F.; Liu, X.J.; Wang, J. Evaluation of dynamic isotropy and coupling acceleration capacity for a parallel manipulator with mixed DoFs. Mech. Mach. Theory 2021, 163, 104382. [Google Scholar] [CrossRef]
  22. Yogesh, P.S.; Nazeer, A.; Ashitava, G. Dynamically isotropic Gough–Stewart platform for micro-vibration isolation in spacecrafts. Mech. Mach. Theory 2024, 201, 105735. [Google Scholar] [CrossRef]
  23. Yang, X.L.; Wu, H.T.; Li, Y.; Kang, S.Z.; Chen, B.; Lu, H.M.; Lee, C.K.M.; Ji, P. Dynamics and isotropic control of parallel mechanisms for vibration isolation. IEEE/ASME Trans. Mechatron. 2020, 25, 4. [Google Scholar] [CrossRef]
  24. McInroy, J.E.; O’Brien, J.F.; Allais, A.A. Designing dynamics and control of isotropic Gough-Stewart micromanipulators. In Proceedings of the 2013 IEEE International Conference on Robotics and Automation, Karlsruhe, Germany, 6–10 May 2013. [Google Scholar] [CrossRef]
  25. Zhan, G.; Niu, S.; Zhang, W.; Zhou, X.; Pang, J.; Li, Y.; Zhan, J. A Docking Mechanism Based on a Stewart Platform and Its Tracking Control Based on Information Fusion Algorithm. Sensors 2022, 22, 770. [Google Scholar] [CrossRef]
  26. Zhu, R.; Fu, Q.; Wen, G.; Wang, X.; Liu, N.; Wang, L.; Li, Y.; Jiang, H. An Improved Multi-Target Tracking Method for Space-Based Optoelectronic Systems. Remote Sens. 2024, 16, 2847. [Google Scholar] [CrossRef]
  27. Chen, T.; Andrea, P.; Li, Z.; Zhang, Y.; Hichem, S. A Hierarchical Association Framework for Multi-Object Tracking in Airborne Videos. Remote Sens. 2018, 10, 1347. [Google Scholar] [CrossRef]
  28. Wang, Z.; Li, X.; Chen, P.; Luo, D.; Zheng, G.; Chen, X. A Monocular Ranging Method for Ship Targets Based on Unmanned Surface Vessels in a Shaking Environment. Remote Sens. 2024, 16, 4220. [Google Scholar] [CrossRef]
  29. Gonzalo, R.; Rodr’ıguez, C.; Stephen, T.; Jaime, C.; Antonio, B.; Bruce, M.D. A Real-Time Method to Detect and Track Moving Objects (DATMO) from Unmanned Aerial Vehicles (UAVs) Using a Single Camera. Remote Sens. 2012, 4, 1090–1111. [Google Scholar] [CrossRef]
  30. Shi, K.; Yang, H.; Peng, J.; Ma, Y.; Zhang, H. High-Speed Target Location Based on Photoelectric Imaging and Laser Ranging with Fast Steering Mirror Deflection. Photonics 2025, 12, 108. [Google Scholar] [CrossRef]
Figure 1. Conventional six-leg passive vibration isolation platforms.
Figure 1. Conventional six-leg passive vibration isolation platforms.
Aerospace 12 00778 g001
Figure 2. Comparison of structural layouts: (a) six-leg layout; (b) eight-leg layout; and (c) the two layouts shown together.
Figure 2. Comparison of structural layouts: (a) six-leg layout; (b) eight-leg layout; and (c) the two layouts shown together.
Aerospace 12 00778 g002
Figure 3. Three-dimensional schematic diagram of the vibration isolation system for the mounted aviation optoelectronic turret.
Figure 3. Three-dimensional schematic diagram of the vibration isolation system for the mounted aviation optoelectronic turret.
Aerospace 12 00778 g003
Figure 4. The simplified schematic diagram of the system.
Figure 4. The simplified schematic diagram of the system.
Aerospace 12 00778 g004
Figure 5. Schematic of spring-damper system and spherical joint: (a) spring-damper system; (b) spherical joint.
Figure 5. Schematic of spring-damper system and spherical joint: (a) spring-damper system; (b) spherical joint.
Aerospace 12 00778 g005
Figure 6. Experiments on the vibration platform.
Figure 6. Experiments on the vibration platform.
Aerospace 12 00778 g006
Figure 7. Experiments on the tri-axial rotational stage.
Figure 7. Experiments on the tri-axial rotational stage.
Aerospace 12 00778 g007
Figure 8. Transmissibility in all directions (The dots in the figure represent the position of the formant and the square represents where the formant position crosses the −20 dB line.).
Figure 8. Transmissibility in all directions (The dots in the figure represent the position of the formant and the square represents where the formant position crosses the −20 dB line.).
Aerospace 12 00778 g008
Figure 9. Under excitation in Tx, the response curves in various directions (The dots in the figure represent the position of the formant and the square represents where the formant position crosses the −20 dB line.).
Figure 9. Under excitation in Tx, the response curves in various directions (The dots in the figure represent the position of the formant and the square represents where the formant position crosses the −20 dB line.).
Aerospace 12 00778 g009
Figure 10. Under excitation in Rx, the response curves in various directions (The dots in the figure represent the position of the formant and the square represents where the formant position crosses the −20 dB line.).
Figure 10. Under excitation in Rx, the response curves in various directions (The dots in the figure represent the position of the formant and the square represents where the formant position crosses the −20 dB line.).
Aerospace 12 00778 g010
Figure 11. Comparison of transmissibility before and after a structural leg is broken.
Figure 11. Comparison of transmissibility before and after a structural leg is broken.
Aerospace 12 00778 g011
Figure 12. Comparison of transmissibility before and after a structural leg is broken, under excitation in Rx.
Figure 12. Comparison of transmissibility before and after a structural leg is broken, under excitation in Rx.
Aerospace 12 00778 g012
Figure 13. The response curves in various directions with 1° error (under excitation in Tx. The dots in the figure represent the position of the formant and the square represents where the formant position crosses the −20 dB line.).
Figure 13. The response curves in various directions with 1° error (under excitation in Tx. The dots in the figure represent the position of the formant and the square represents where the formant position crosses the −20 dB line.).
Aerospace 12 00778 g013
Figure 14. Optical design scheme illustrated.
Figure 14. Optical design scheme illustrated.
Aerospace 12 00778 g014
Figure 15. Schematic diagram of tracking template scope.
Figure 15. Schematic diagram of tracking template scope.
Aerospace 12 00778 g015
Figure 16. Displacement response diagram of optoelectronic turret under random vibration.
Figure 16. Displacement response diagram of optoelectronic turret under random vibration.
Aerospace 12 00778 g016
Figure 17. Displacement response diagram of optoelectronic turret under random vibration with the structural leg broken.
Figure 17. Displacement response diagram of optoelectronic turret under random vibration with the structural leg broken.
Aerospace 12 00778 g017
Figure 18. Dynamic response diagram under wind action.
Figure 18. Dynamic response diagram under wind action.
Aerospace 12 00778 g018
Table 1. Specific design parameters of the vibration isolation system.
Table 1. Specific design parameters of the vibration isolation system.
Input Parameter r B (m) r P (m) h (m) e (m) ω P 1 (°) ω B 1 (°)
Value0.50.4409930.10.13520
Table 2. Natural frequency and damping ratio of the sixth mode of the system.
Table 2. Natural frequency and damping ratio of the sixth mode of the system.
123456
Natural Frequency   (Hz)6.236.246.8714.0415.1320.07
Damping Ratio0.140.140.150.330.360.85
DirectionTxTyTzRxRyRz
Table 3. Comparison of natural frequencies obtained by the two methods.
Table 3. Comparison of natural frequencies obtained by the two methods.
123456
DirectionTxTyTzRxRyRz
Calculated Value (Hz)6.236.246.8714.0415.1320.07
Experimental Result (Hz)6.496.446.6613.6814.7220.82
Relative Error (%)4.23.23.12.62.73.7
Table 4. Natural frequencies of the system with one broken leg.
Table 4. Natural frequencies of the system with one broken leg.
123456
DirectionTxTyTzRxRyRz
Calculated Value (Hz)3.976.236.6812.8514.4921.56
Experimental Result (Hz)4.116.396.5112.4814.0522.35
Relative Error (%)3.52.62.52.93.03.7
Table 5. Comparison of theoretical position and position with 1° error.
Table 5. Comparison of theoretical position and position with 1° error.
123456
DirectionTxTyTzRxRyRz
Theoretical   Position (Hz)6.236.246.8714.0415.1320.07
Position   With 1°   Error (Hz)6.196.236.9014.1215.1620.20
Relative Error (%)0.60.20.40.60.20.6
Table 6. Parameters of the optical system.
Table 6. Parameters of the optical system.
Target Surface SizePixel Size
p
Focal Length
f
Clear
Aperture D
Wavelength Range λ
Visible   Spectrum1920 × 10804.5 μm800 mm150 mm400–700 nm
MWIR1280 × 102412 μm600 mm150 mm3.7–4.8 μm
Table 7. The power spectral density of a certain UAV.
Table 7. The power spectral density of a certain UAV.
DirectionFrequency
(Hz)
Power Spectral Density (g2/Hz)Total RMS Value
(g)
Tx
Ty
Tz
100.035.2
800.03
3900.015
10000.015
20000.003
Table 8. Parameters for wind impact analysis.
Table 8. Parameters for wind impact analysis.
UAV Flight ParametersGust ParametersAviation Optoelectronic
Turret Parameters
Simulation Parameters
Altitude (m)Air
Density
(kg/m3)
Airspeed (m/s)Gust
Amplitude (m/s)
Gust
Frequency (Hz)
Drag CoefficientFrontal Area (m2)Simulation Time
(s)
Time Step
(s)
50000.73655.556510.50.09680.001
Disclaimer/Publisher’s Note: The statements, opinions and data contained in all publications are solely those of the individual author(s) and contributor(s) and not of MDPI and/or the editor(s). MDPI and/or the editor(s) disclaim responsibility for any injury to people or property resulting from any ideas, methods, instructions or products referred to in the content.

Share and Cite

MDPI and ACS Style

Shi, W.; Li, L.; Fu, H.; Shui, C.; Wang, Y.; Wang, D.; Li, X.; Zhang, B. A Novel 6-DOF Passive Vibration Isolation System for Aviation Optoelectronic Turret and Its Impact Analysis on Optical Systems Imaging Performance. Aerospace 2025, 12, 778. https://doi.org/10.3390/aerospace12090778

AMA Style

Shi W, Li L, Fu H, Shui C, Wang Y, Wang D, Li X, Zhang B. A Novel 6-DOF Passive Vibration Isolation System for Aviation Optoelectronic Turret and Its Impact Analysis on Optical Systems Imaging Performance. Aerospace. 2025; 12(9):778. https://doi.org/10.3390/aerospace12090778

Chicago/Turabian Style

Shi, Wenxin, Lei Li, Haishuang Fu, Chen Shui, Yijian Wang, Dejiang Wang, Xiantao Li, and Bao Zhang. 2025. "A Novel 6-DOF Passive Vibration Isolation System for Aviation Optoelectronic Turret and Its Impact Analysis on Optical Systems Imaging Performance" Aerospace 12, no. 9: 778. https://doi.org/10.3390/aerospace12090778

APA Style

Shi, W., Li, L., Fu, H., Shui, C., Wang, Y., Wang, D., Li, X., & Zhang, B. (2025). A Novel 6-DOF Passive Vibration Isolation System for Aviation Optoelectronic Turret and Its Impact Analysis on Optical Systems Imaging Performance. Aerospace, 12(9), 778. https://doi.org/10.3390/aerospace12090778

Note that from the first issue of 2016, this journal uses article numbers instead of page numbers. See further details here.

Article Metrics

Back to TopTop