Abstract
Accurate state estimation for quadrotors under wind-induced disturbances remains a critical challenge in dynamic outdoor environments. Existing model-based and data-driven approaches often struggle with real-time adaptation and catastrophic forgetting when faced with continuous wind disturbances. This paper proposes an online continual physics-informed learning framework that integrates physics-informed neural networks with continual backpropagation to address these limitations. The physics-informed neural networks architecture embeds quadrotor dynamics into the neural network training process, ensuring physical consistency, while continual backpropagation enables continual learning from real-time streaming data without compromising previously acquired knowledge. Experimental validation on a simulation platform demonstrates the accuracy and robustness of the framework in ideal and wind-disturbed scenarios.
1. Introduction
The quadrotor, a representative configuration of unmanned aerial vehicles (UAVs), has found wide application in military reconnaissance, emergency communications, and agricultural operations [1,2,3], owing to its simple mechanical structure, vertical take-off and landing capabilities, and stable flight performance. Given that quadrotors operate predominantly in outdoor environments, achieving accurate state estimation under external disturbances remains a critical research challenge for precise motion control [4].
To achieve precise online state estimation for a quadrotor, existing algorithms can be broadly categorized into three methodological frameworks, as follows: physics-based estimation strategies, data-driven strategies, and hybrid strategies combining physical models with data-driven techniques. Physics-based estimation strategies typically employ dynamic models derived from quadrotor kinematics and dynamics, often integrated with Kalman filtering frameworks to enhance modeling accuracy during actual operations [5,6]. For example, Rego et al. developed a comprehensive dynamic model for slung-load transportation tasks and proposed a zonotopic estimation approach for simultaneous payload position and attitude estimation [7]. Lyu et al. demonstrated a flight-data-driven parameter identification method for quadrotor dynamics through Kalman-filter-based estimation of thrust, drag, torque, and moment coefficients, validated via experimental flight tests [8]. Nasri et al. addressed gyroscope failure scenarios by integrating dual extended Kalman filters with fault detection algorithms, maintaining reliable attitude estimation under sensor malfunction conditions [9]. However, despite their practical effectiveness, conventional Kalman filtering architectures exhibit inherent limitations in real-time model updating through online operational data memorization, constrained by their recursive estimation mechanisms.
On the other hand, data-driven strategies leverage neural networks to establish measurement-based state estimation frameworks. Yu et al. developed a visual odometry system that employs depth-separable convolution to compute DFConv offsets and build backbone networks, thus improving the efficiency of feature extraction for quadrotor pose estimation [10]. Al-Sharman et al. proposed a deep learning framework that improves state estimator performance through noise model identification via deep neural network training, incorporating dropout techniques to prevent overfitting, which demonstrated enhanced state detection during quadrotor hovering operations [11]. Luo et al. created a deep neural network-based vision system for target localization and 6D pose estimation using RGB-D sensor data, processing both 2D images and 3D point clouds [12].
Nevertheless, current data-driven models exhibit inherent limitations in achieving state detection capability without prior data samples, particularly with the challenge of initial state estimation in environments lacking operational prior knowledge. Hybrid physics-data integrated models have gained significant research momentum due to their synergistic advantages [13,14]. Physics-informed neural networks (PINNs), as a representative architecture combining physical principles with data-driven learning, utilize automatic differentiation to incorporate physical constraints into neural network optimization. This methodology has found broad applications across fluid dynamics [15,16], robotics [17,18,19], and optimal control [20,21]. Gu et al. enhanced model interpretability through PINNs-based physical-law embedding and visualization techniques for behavioral analysis [22]. Bianchi et al. demonstrated PINNs’ superiority over extended Kalman filters in both solution validity and computational efficiency for quadrotor dynamic model estimation [23]. Sanyal et al. proposed a robust adaptive MPC framework employing physics-informed loss functions to learn ideal dynamics models, thereby improving robustness against parametric uncertainties [24].
However, existing quadrotor dynamic models primarily address state estimation under ideal conditions, lacking online estimation capability and model adaptation mechanisms for wind-induced disturbances during operation. Considering that wind-induced disturbances are one of the primary factors affecting the motion characteristics of a quadrotor, addressing the state estimation of a quadrotor under wind disturbances is crucial [25,26]. Jeon et al. derived the dynamic equations of a quadrotor in wind fields by applying the blade element momentum theory combined with classical quadrotor dynamics [27]. Angelis et al. integrated the motion equations of coupled payload systems with an extended Kalman filter structure, utilizing onboard inertial measurement unit acceleration data to estimate payload angles and rates. By considering wind-induced disturbance forces, they further improved estimation accuracy [28]. Zhang et al. proposed a noise-reduced extended disturbance observer to estimate wind-induced disturbances during quadrotor landing on moving platforms, employing a rule for adjusting observer gains to further enhance estimation accuracy [29]. Obahari et al. investigated four distinct wind models and analyzed the observability of the state, wind components, and wind parameters using the theory of nonlinear system observability [30]. Nonetheless, the dynamics of quadrotors that have been constructed so far are primarily focused on the state estimation problem in ideal scenarios, and the online estimation under wind-induced disturbances and the online learning ability of the model have not been considered.
To achieve quadrotor state estimation under wind-induced disturbances and to integrate physical and data-driven models, this paper proposes an online continual physics-informed learning state estimation method based on physics-informed neural networks combined with continual backpropagation (CBP) [31] for online state estimation of a quadrotor in wind-induced disturbance environments. By incorporating quadrotor dynamics, we establish an offline state estimation model for a quadrotor using the PINNs architecture. Furthermore, to enable the model to learn and update wind disturbances operational data during online state estimation, the CBP algorithm is employed to enhance the model’s plasticity and continual learning capability. CBP enables the network to maintain nearly no inactive units during online learning and prevents the continuous growth of network weights, keeping them within an appropriate range. This method facilitates the integration of online, small-batch data into the model without causing catastrophic forgetting of the offline model. Through online state estimation experiments with various quadrotor states, the experimental results demonstrate that the system can utilize real-time data pairs to learn quadrotor states in wind-induced disturbance environments, thereby improving quadrotor system robustness. Our main contributions are as follows:
- We propose a PINNs-based state estimation algorithm that incorporates quadrotor dynamic equations in wind-induced environments, facilitating the integration of physical constraints and simulation data.
- We integrate the CBP algorithm into the PINNs-based state estimation model for a quadrotor, enabling the quadrotor system to learn disturbance-related operational data online in real time, thereby enhancing the network’s online learning capability.
- We validate the proposed algorithm on a quadrotor simulation platform. Experimental results demonstrate that the proposed algorithm achieves satisfactory online state estimation performance for quadrotor-simulated wind disturbance scenarios, indicating its excellent learning capability.
The remaining structure of this paper is as follows: Section 2 introduces the dynamics model and disturbance model of the quadrotor. Section 3 elaborates on the framework of the online continual physics-informed learning model proposed in this paper. Section 4 presents the experimental results obtained in this paper. Finally, the conclusion is provided in Section 5.
2. Preparation
2.1. Notations
To help with the understanding of the system framework, the nomenclature is defined in Table 1.
Table 1.
Nomenclature.
2.2. Quadrotor Nominal Dynamics
This paper considers a quadrotor with six degrees of freedom, governed by the following nonlinear differential equation system:
Over the time interval , the state variables and control inputs are defined for quadrotor dynamics. Given the initial condition , we solve the initial-value problem over T. Following [32], the existence and uniqueness of solutions are guaranteed when f is Lipschitz continuous in x for each . Thus, (1) can be reformulated as follows:
where denotes either model-based formulations, data-driven approximations, or other parameterized mappings.
As depicted in Figure 1, the quadrotor configuration features mass m and diagonal inertia tensor . Define the state variables as . The position of the quadrotor in the world coordinate system is defined as . Quaternions are selected to represent the attitude of the quadrotor. The linear velocity of the quadrotor in the world coordinate system, , and the angular velocity around the X-, Y-, and Z-axes in the body coordinate system, , are defined. The thrust is taken as the input of the nonlinear system dynamics equation.
Figure 1.
Diagram of the quadrotor configuration.
The complete dynamics are formulated as follows:
represents the collective thrust, while denotes the body torque. The drag constant is given by , and L signifies the arm length of the quadrotor in an × configuration. The body torque vector after attitude rotation, which is represented by the rotated body torque vector, is obtained through the original body torque vector and the conjugate quaternion according to the specific operation rule .
2.3. Disturbance Modeling
The nominal dynamics in (6) are augmented with wind-induced disturbances:
Here, represents disturbance effects modeled as . These disturbances primarily originate from simulated wind fields and aerodynamic drag forces in the experimental environment.
3. Continual Physics-Informed Learning State Estimation
This section presents an online continual learning methodology that integrates physics-informed neural networks with continual backpropagation. The comprehensive workflow of our online continual learning framework is systematically illustrated in Figure 2, with detailed technical descriptions to follow.
Figure 2.
The online continual physics-informed learning framework.
3.1. Offline Model
PINNs effectively address the limitations of conventional numerical methods, such as high computational costs and mesh generation challenges, through physics-constrained neural network training. Based on the governing (1), we define the physical loss function for neural networks as follows:
where MSE denotes the mean squared error. By employing a neural network with parameters to predict system states , we formulate the physical loss function as follows:
Following unconventional notation, we define and . The network parameters are updated through backpropagation using automatic differentiation [33] to compute , with denoting collocation points from the physics-informed dataset . The physical loss (12) ensures consistency with the system dynamics .
Figure 3 illustrates the PINNs’ update mechanism. We employ a fully connected neural network (FNN) as the baseline architecture for PINNs training, with instantaneous state variables and control inputs serving as network inputs. The PINNs output integrates both the system dynamics f and physical loss to predict subsequent states. To enhance robustness against environmental disturbances, we incorporate observational data through the data-driven loss:
where dataset contains state–input pairs with corresponding ground truth states collected under environmental disturbances. The composite loss function drives network parameter updates during backpropagation.
Figure 3.
The proposed continual physics-informed learning state estimation.
Our PINNs-based quadrotor model establishes an offline disturbance model through the mapping:
where represents the neural mapping function with parameters , T denotes the prediction horizon, and the network processes 17-dimensional input variables to predict 13-dimensional subsequent states. The composite loss function for offline training is formulated as follows:
Here, denotes the number of collocation points, with representing nominal dynamics and modeling disturbance effects following . The offline model learns disturbance characteristics purely through synthetic data from the disturbance model, independent of real-world measurements. As shown in Figure 2, the PINNs architecture effectively captures nonlinear quadrotor dynamics under wind-induced disturbances through its input space corresponding to (6). Random training data generation accounts for external disturbances, while physical constraints in (6) ensure network output compliance.
3.2. Online Model
To enhance the continual learning capability of the model, we establish an online continual learning framework within the physics-informed neural networks architecture through the integration of continual backpropagation. This approach enables online model fine-tuning using mini-batch data streams. The workflow of our methodology is illustrated in Figure 2.
The continual backpropagation algorithm [31], a refined variant of conventional backpropagation, is specifically designed for continuous-time systems and sequential data processing. It addresses limitations in classical discrete-time backpropagation when handling temporally evolving dynamics governed by differential equations. Algorithm 1 details the CBP implementation for feedforward neural networks.
| Algorithm 1 Continual backpropagation for a neural network with L layers |
|
The main advantage of CBP lies in its unit utility evaluation and selective reinitialization mechanism. The utility metric for hidden unit i in layer l quantifies its contribution to downstream layers through the exponentially weighted moving average:
where denotes the decay rate balancing historical and current contributions, represents the activation of the i-th unit in layer l, and indicates the weight connecting unit in layer to the -th unit in layer .
As shown in Figure 4, when a hidden unit is reset, CBP initializes all of its outgoing weights to zero so that it cannot perturb the function already learned by the network. However, zeroing its outputs also makes the new unit appear immediately useless and, thus, liable to be reset again. To prevent this premature replacement, each freshly initialized unit is exempt from further resets for the first m updates. Only after a unit’s age exceeds this maturity threshold m is it considered mature, and on each subsequent step, a fraction of these mature units is reinitialized in every layer. In practice, is chosen to be extremely small, so that on average only one unit is replaced per several hundred updates.
Figure 4.
Diagram of the continual backpropagation algorithm.
The proposed CBP-based online continual learning algorithm enhances model plasticity through the following loss function:
where denotes the continual learning loss, represents the online dataset, comprises model parameters updated through CBP, and contains quadrotor state variables and input data acquired from the simulation environment. The online learning process continuously updates using streaming data.
The integration of (20) into (21) forms the complete online continual learning objective. As depicted in Figure 2, our architecture employs the offline model as a pretrained component combined with 17-dimensional input variables for online training. The offline model, not directly trained on real-world data, incorporates data-driven knowledge through reference measurements via the data loss term. This framework achieves real-time model adaptation while preserving physical constraints and historical operational patterns through strategically sampled loss components, effectively mitigating catastrophic forgetting.
Figure 2 illustrates the architecture of our online continual physics-informed learning framework, specifically designed for wind-induced disturbance environments with limited offline data availability and diverse operational modalities. The system dynamically integrates streaming sensor data with physics-based constraints to maintain model fidelity under evolving operational conditions.
4. Experiment and Results
In this section, we will elaborate on the data acquisition process and the procedure of online continual learning. Experiments are conducted to evaluate the performance of the proposed models and training strategies.
4.1. Data Acquisition and Model Training
To collect external disturbance data of the quadrotor and verify the effectiveness of the proposed method, this paper employs the multi-rotor quadrotor environment based on the PyBullet physics engine from [34]. The quadrotor selected is the Crazyflie 2.0, with parameters shown in Table 2. We choose a PyBullet simulation frequency of 240 Hz and a quadrotor simulation frequency of 48 Hz. Data of the quadrotor straight-line, circular, square, and lemniscate trajectories are collected as experimental data, as shown in Figure 5, and the dark blue line represents the flight trajectory of the quadrotor, while the light blue line indicates the projection of the quadrotor’s trajectory onto the XOY plane. A total of 2300 data points were collected for the online model dataset.
Table 2.
Parameters of Crazyflie 2.0.
Figure 5.
Trajectories of the quadrotor used for data collection, including (a) straight-line, (b) circular, (c) square, and (d) lemniscate paths.
We construct the state estimation model using PyTorch 2.0.0, following the method proposed in [24]. A fully connected neural network with 5 layers and 64 hidden neurons in each hidden layer is used as our PINNs architecture, with ReLU chosen as the activation function. The Adam optimizer is used in each training round. In the continual backpropagation algorithm, the decay rate is set to 0.99, the maturity threshold m is 100, and the replacement rate is . For the uncertain factors in the environment, we use a zero-mean normal distribution with unit standard deviation , where is a constant unit diagonal covariance matrix. All training processes utilize early stopping on a laptop (Lenovo, CPU: AMD Ryzen 7 6800HS, Memory: 16 GB, GPU: NVIDIA RTX 3050). To evaluate the performance of the proposed models and training strategies, the evolution of the mean squared error (MSE) of all test data at each time step k is analyzed to assess the performance of each model, according to the following:
where and are the true and predicted subsets of the system state of test sample set j, respectively, and is the number of test points.
4.2. Offline State Estimation Results
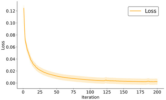
The training data for the offline model is based on the quadrotor state data collected from the simulation environment. The state variables of the quadrotor at the next moment, , are calculated through (9). We randomly select 500 sample points from the dataset, , and set the learning rate to for the offline model training. After 100,000 iterations, the model is able to achieve a loss level of , as shown in Figure 6. It can be observed from Figure 6 that even after convergence, there is still a sudden change in the model loss. This is because the use of the CBP method endows the model with greater plasticity.
Figure 6.
Training loss curve for the offline model, showing convergence after 100,000 iterations.
The position of the quadrotor, being a critical component of its state, is compared between the data collected in the simulation environment and the predictions made by the offline model in Figure 7. To compare the deviation between the neural network trained without data and the real data points, we contrast the offline model’s predicted data with the collected data. The velocity output of the offline model in three-dimensional space is shown in Figure 8. The maximum error of the offline model in the three velocity components is 0.03 m. From Figure 8b,d,f, the offline model demonstrates high predictive capability. It can be observed that the offline model, trained based on model loss, shows a deviation from the nonlinear differential equations of the quadrotor.
Figure 7.
Comparison of the quadrotor’s position data between the reference and the predictions made by the offline PINNs model.
Figure 8.
Prediction results of the offline model. (a) Offline prediction result in the x-axis; (b) Offline prediction error in the x-axis; (c) Offline prediction result in the y-axis; (d) Offline prediction error in the y-axis; (e) Offline prediction result in the z-axis; (f) Offline prediction error in the z-axis.
4.3. Online State Estimation Results
Following the training of the offline model, the online continual learning model is trained using the procedure depicted in Figure 2. During the online learning phase, a continual learning framework is adopted, with data streams generated in real-time through simulation. Each batch dynamically collects 100 data points from the simulation environment, . The data distribution simulates wind that varies over time during actual flight (wind force follows a normal distribution ). The learning rate is set to , , for 200 iterations to update the neural network model online. During online training, the model immediately updates its parameters upon receiving each batch of data, simulating the real-time learning capability in practical scenarios. To verify the adaptability of the online model, the offline and online models are configured with the same number of network layers and neurons. To demonstrate accuracy and memory retention, we record the prediction results during the learning process. Each step incurs a computational duration of 3 milliseconds for online inference, while the online training process takes 0.6 s. These temporal metrics fully satisfy the stringent temporal constraints imposed by real-time control scenarios.
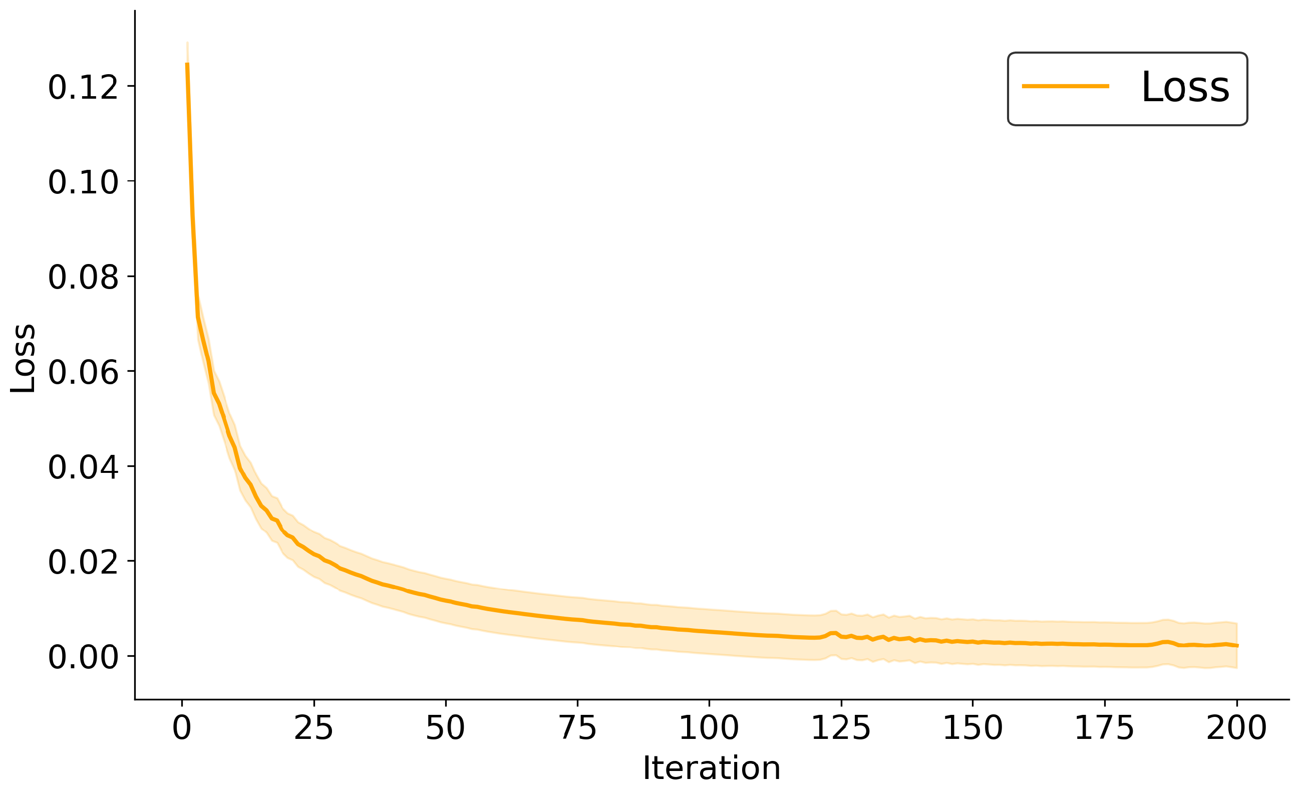
Figure 9 illustrates the variation of the loss function with the number of iterations during the online continual learning process. As the number of iterations increases, the loss function gradually converges. After 200 iterations, the model was able to achieve a loss level of . This indicates that during the online continual learning process, the model’s loss decreases with increasing iterations, and the model’s performance is continuously optimized and improved. It can be seen from Figure 9 that as the number of iterations increases, the value of the loss function gradually decreases and stabilizes. As the iterations proceed, the model gradually adapts to the new data distribution, and the loss function value significantly decreases, indicating that the model’s prediction of the quadrotor state becomes increasingly accurate. Through the CBP algorithm, the model can update its parameters in real-time, adapt to complex wind resistance disturbances, and thus improve the accuracy and robustness of the quadrotor state estimation.
Figure 9.
Variation of the loss function with 200 iterations during the online model.
Figure 10 presents the prediction results of the online learning model over a continuous period of 10 s. To better demonstrate the model’s adaptability to different flight states, a square trajectory is chosen as an example, as it includes both straight-line and curved trajectories during turns. Figure 10b,d,f demonstrate the superior performance of the online model results in a wind-disturbed environment by comparing the errors between the offline model and the online model. Specifically, the maximum error of the online model in the velocity variable is 0.04 m. It can be seen from Figure 10 that the online learning model using the CBP algorithm can more accurately track the quadrotor’s true state. With CBP, the model prediction results match the real data well, especially at the trajectory’s turning points and acceleration segments, where the model can quickly adapt to state changes, and the predicted curve almost coincides with the real curve. Through the CBP algorithm, the model not only retains the memory of historical data but also quickly adapts to new data distributions, thereby achieving accurate estimation of the quadrotor’s state in complex environments. This is of significant importance for enhancing the flight safety and mission execution capabilities of quadrotors.
Figure 10.
Prediction results of the learning model using the CBP algorithm, demonstrating accurate tracking of the quadrotor’s true state during a square trajectory. (a) Online prediction result in the x-axis; (b) Online prediction error in the x-axis; (c) Online prediction result in the y-axis; (d) Online prediction error in the y-axis; (e) Online prediction result in the z-axis; (f) Online prediction error in the z-axis.
5. Conclusions
This work presents a novel online continual learning framework for quadrotor state estimation under wind-induced disturbances. By synergizing PINNs with CBP, the framework effectively balances physical model fidelity and data-driven adaptability. The PINNs component ensures adherence to quadrotor dynamics, while the CBP algorithm mitigates catastrophic forgetting and enhances plasticity through selective unit reinitialization. Simulations validate the superiority of the method in wind-induced disturbance scenarios, with quantitative results demonstrating centimeter-level tracking accuracy in state estimation, a maximum velocity error of 0.03 m/s for the offline model across three components, and a maximum velocity error of 0.04 m/s for the online model after 200 iterations. In particular, the low computational overhead of the system underscores its suitability for real-time applications. Future work will focus on hardware-in-the-loop validation, integration with model predictive control (MPC) architectures, and extension to multi-UAV collaborative scenarios.
Author Contributions
Conceptualization, Y.L.; Methodology, Y.L. and S.W.; Validation, J.S.; Resources, L.H.; Writing—original draft, Y.L. All authors have read and agreed to the published version of the manuscript.
Funding
This work was supported by the National Natural Science Foundation of China under grant number 62461160260.
Data Availability Statement
The original contributions presented in the study are included in the article; further inquiries can be directed to the corresponding author.
Conflicts of Interest
The authors declare no conflicts of interest.
References
- Telli, K.; Kraa, O.; Himeur, Y.; Ouamane, A.; Boumehraz, M.; Atalla, S.; Mansoor, W. A comprehensive review of recent research trends on unmanned aerial vehicles (uavs). Systems 2023, 11, 400. [Google Scholar] [CrossRef]
- Derrouaoui, S.H.; Bouzid, Y.; Belmouhoub, A.; Guiatni, M.; Siguerdidjane, H. Recent developments and trends in unconventional uavs control: A review. J. Intell. Robot. Syst. 2023, 109, 68. [Google Scholar] [CrossRef]
- Idrissi, M.; Salami, M.; Annaz, F. A review of quadrotor unmanned aerial vehicles: Applications, architectural design and control algorithms. J. Intell. Robot. Syst. 2022, 104, 22. [Google Scholar] [CrossRef]
- Ning, Z.; Yang, Y.; Wang, X.; Guo, L.; Gao, X.; Guo, S.; Wang, G. Dynamic computation offloading and server deployment for UAV-enabled multi-access edge computing. IEEE Trans. Mob. Comput. 2021, 22, 2628–2644. [Google Scholar] [CrossRef]
- Ningjun, L.; Zhihao, C.; Jiang, Z.; Yingxun, W. Predictor-based model reference adaptive roll and yaw control of a quad-tiltrotor UAV. Chin. J. Aeronaut. 2020, 33, 282–295. [Google Scholar]
- Svacha, J.; Paulos, J.; Loianno, G.; Kumar, V. Imu-based inertia estimation for a quadrotor using newton-euler dynamics. IEEE Robot. Autom. Lett. 2020, 5, 3861–3867. [Google Scholar] [CrossRef]
- Rego, B.S.; Raffo, G.V. Suspended load path tracking control using a tilt-rotor UAV based on zonotopic state estimation. J. Frankl. Inst. 2019, 356, 1695–1729. [Google Scholar] [CrossRef]
- Lyu, P.; Bao, S.; Lai, J.; Liu, S.; Chen, Z. A dynamic model parameter identification method for quadrotors using flight data. Proc. Inst. Mech. Eng. Part G J. Aerosp. Eng. 2019, 233, 1990–2002. [Google Scholar] [CrossRef]
- Boualem, N.; Abderrezak, G.; Akram, A.; Lotfi, M. Fault Tolerant Attitude Estimation Strategy for a Quadrotor UAV under Total Sensor Failure. J. Control Eng. Appl. Inform. 2023, 25, 79–89. [Google Scholar]
- Yu, L.; Yang, E.; Yang, B.; Fei, Z.; Niu, C. A robust learned feature-based visual odometry system for UAV pose estimation in challenging indoor environments. IEEE Trans. Instrum. Meas. 2023, 72, 1–11. [Google Scholar] [CrossRef]
- Al-Sharman, M.K.; Zweiri, Y.; Jaradat, M.A.K.; Al-Husari, R.; Gan, D.; Seneviratne, L.D. Deep-learning-based neural network training for state estimation enhancement: Application to attitude estimation. IEEE Trans. Instrum. Meas. 2019, 69, 24–34. [Google Scholar] [CrossRef]
- Luo, S.; Liang, Y.; Luo, Z.; Liang, G.; Wang, C.; Wu, X. Vision-guided object recognition and 6D pose estimation system based on deep neural network for unmanned aerial vehicles towards intelligent logistics. Appl. Sci. 2022, 13, 115. [Google Scholar] [CrossRef]
- Raissi, M.; Perdikaris, P.; Karniadakis, G.E. Physics-informed neural networks: A deep learning framework for solving forward and inverse problems involving nonlinear partial differential equations. J. Comput. Phys. 2019, 378, 686–707. [Google Scholar] [CrossRef]
- Karniadakis, G.E.; Kevrekidis, I.G.; Lu, L.; Perdikaris, P.; Wang, S.; Yang, L. Physics-informed machine learning. Nat. Rev. Phys. 2021, 3, 422–440. [Google Scholar] [CrossRef]
- Raissi, M.; Yazdani, A.; Karniadakis, G.E. Hidden fluid mechanics: Learning velocity and pressure fields from flow visualizations. Science 2020, 367, 1026–1030. [Google Scholar] [CrossRef] [PubMed]
- Cai, S.; Mao, Z.; Wang, Z.; Yin, M.; Karniadakis, G.E. Physics-informed neural networks (PINNs) for fluid mechanics: A review. Acta Mech. Sin. 2021, 37, 1727–1738. [Google Scholar] [CrossRef]
- Sun, W.; Akashi, N.; Kuniyoshi, Y.; Nakajima, K. Physics-informed recurrent neural networks for soft pneumatic actuators. IEEE Robot. Autom. Lett. 2022, 7, 6862–6869. [Google Scholar] [CrossRef]
- Ding, L.; Xu, P.; Li, Z.; Zhou, R.; Gao, H.; Deng, Z.; Liu, G. Pressing and rubbing: Physics-informed features facilitate haptic terrain classification for legged robots. IEEE Robot. Autom. Lett. 2022, 7, 5990–5997. [Google Scholar] [CrossRef]
- Wang, S.; Wang, R.; Yang, J.; Hao, L. Online Incremental Dynamic Modeling using Physics-informed Long Short-term Memory Networks for the Pneumatic Artificial Muscle. IEEE Robot. Autom. Lett. 2024, 9, 8435–8442. [Google Scholar] [CrossRef]
- Huang, B.; Wang, J. Applications of physics-informed neural networks in power systems—A review. IEEE Trans. Power Syst. 2022, 38, 572–588. [Google Scholar] [CrossRef]
- Mo, Z.; Shi, R.; Di, X. A physics-informed deep learning paradigm for car-following models. Transp. Res. Part C Emerg. Technol. 2021, 130, 103240. [Google Scholar] [CrossRef]
- Gu, W.; Primatesta, S.; Rizzo, A. Physics-informed Neural Network for Quadrotor Dynamical Modeling. Robot. Auton. Syst. 2024, 171, 104569. [Google Scholar] [CrossRef]
- Bianchi, D.; Epicoco, N.; Di Ferdinando, M.; Di Gennaro, S.; Pepe, P. Physics-Informed Neural Networks for Unmanned Aerial Vehicle System Estimation. Drones 2024, 8, 716. [Google Scholar] [CrossRef]
- Sanyal, S.; Roy, K. Ramp-net: A robust adaptive mpc for quadrotors via physics-informed neural network. In Proceedings of the 2023 IEEE International Conference on Robotics and Automation (ICRA), London, UK, 29 May–2 June 2023; pp. 1019–1025. [Google Scholar]
- Li, F.; Song, W.P.; Song, B.F.; Zhang, H. Dynamic modeling, simulation, and parameter study of electric quadrotor system of Quad-Plane UAV in wind disturbance environment. Int. J. Micro Air Veh. 2021, 13, 17568293211022211. [Google Scholar] [CrossRef]
- Yang, Y.; Liu, X.; Liu, X.; Guo, Y.; Zhang, W. Model-free integrated navigation of small fixed-wing UAVs full state estimation in wind disturbance. IEEE Sens. J. 2022, 22, 2771–2781. [Google Scholar] [CrossRef]
- Jeon, H.; Song, J.; Lee, H.; Eun, Y. Modeling quadrotor dynamics in a wind field. IEEE/ASME Trans. Mechatron. 2020, 26, 1401–1411. [Google Scholar] [CrossRef]
- de Angelis, E.L.; Giulietti, F. An Improved Method for Swing State Estimation in Multirotor Slung Load Applications. Drones 2023, 7, 654. [Google Scholar] [CrossRef]
- Zhang, Y.; Wu, Z.; Wei, T. Aerodynamic Disturbance Estimation in Quadrotor Landing on Moving Platform via Noise Reduction Extended Disturbance Observer. IEEE Sens. J. 2024, 24, 37566–37574. [Google Scholar] [CrossRef]
- Nobahari, H.; Sharifi, A. Multiple model extended continuous ant colony filter applied to real-time wind estimation in a fixed-wing UAV. Eng. Appl. Artif. Intell. 2020, 92, 103629. [Google Scholar] [CrossRef]
- Dohare, S.; Hernandez-Garcia, J.F.; Lan, Q.; Rahman, P.; Mahmood, A.R.; Sutton, R.S. Loss of plasticity in deep continual learning. Nature 2024, 632, 768–774. [Google Scholar] [CrossRef]
- Dayawansa, W.P. Mathematical control theory: Deterministic finite dimensional systems [Book Review]. IEEE Trans. Autom. Control 2001, 46, 673–675. [Google Scholar] [CrossRef]
- Baydin, A.G.; Pearlmutter, B.A.; Radul, A.A.; Siskind, J.M. Automatic differentiation in machine learning: A survey. J. Mach. Learn. Res. 2018, 18, 1–43. [Google Scholar]
- Panerati, J.; Zheng, H.; Zhou, S.; Xu, J.; Prorok, A.; Schoellig, A.P. Learning to fly—A gym environment with pybullet physics for reinforcement learning of multi-agent quadcopter control. In Proceedings of the 2021 IEEE/RSJ International Conference on Intelligent Robots and Systems (IROS), Prague, Czech Republic, 27 September–1 October 2021; pp. 7512–7519. [Google Scholar]
Disclaimer/Publisher’s Note: The statements, opinions and data contained in all publications are solely those of the individual author(s) and contributor(s) and not of MDPI and/or the editor(s). MDPI and/or the editor(s) disclaim responsibility for any injury to people or property resulting from any ideas, methods, instructions or products referred to in the content. |
© 2025 by the authors. Licensee MDPI, Basel, Switzerland. This article is an open access article distributed under the terms and conditions of the Creative Commons Attribution (CC BY) license (https://creativecommons.org/licenses/by/4.0/).









