Next Article in Journal
Penetrating Radar on Unmanned Aerial Vehicle for the Inspection of Civilian Infrastructure: System Design, Modeling, and Analysis
Previous Article in Journal
Technology Roadmap Methodology and Tool Upgrades to Support Strategic Decision in Space Exploration
 
 
Font Type:
Arial Georgia Verdana
Font Size:
Aa Aa Aa
Line Spacing:
Column Width:
Background:
Article

Low-Speed Airfoil Optimization for Improved Off-Design Performance

by
Guilherme F. S. Pangas
and
Pedro V. Gamboa
*
Centre for Mechanical and Aerospace Science and Technologies (C-MAST), Universidade da Beira Interior, 6201-001 Covilhã, Portugal
*
Author to whom correspondence should be addressed.
Aerospace 2025, 12(8), 685; https://doi.org/10.3390/aerospace12080685
Submission received: 17 June 2025 / Revised: 29 July 2025 / Accepted: 30 July 2025 / Published: 31 July 2025
(This article belongs to the Section Aeronautics)

Abstract

The advancement of computational capabilities has allowed for more efficient airfoil analysis and design. Consequently, it has become possible to expand the design space and explore new geometries and configurations. However, the current state of development does not yet support a fully automated optimization process. Instead, the newly introduced capabilities have effectively transferred the previously trial-and-error-based approach used in geometry design to the formulation of the optimization problem. The goal of this work is to study the formulation of an optimization problem and propose a new methodology that better portrays the aircraft’s requirements for airfoil performance. The new objective function, added to an existing tool, estimates the main performance parameters of an aircraft for the Air Cargo Challenge (ACC) 2022 competition using a method that extrapolates the characteristics of the airfoil into the aircraft’s performance. In addition, the traditional relative aerodynamic property improvements, in this work, are coupled with the performance results to smooth the polar curve of the resulting airfoil. The optimization algorithm is based on the free-gradient technique Particle Swarm Optimization (PSO), using the B-spline parametrization and a coupled viscous/inviscid interaction method as the flow solver.

1. Introduction

The aerodynamic properties of an aircraft, such as lift, drag, and pitching moment, are strongly influenced by the characteristics of the wing cross-section. Consequently, airfoil design plays a critical role in determining overall flight efficiency. This importance necessitates tailoring the airfoil to the specific requirements of each mission, keeping airfoil development a continuously relevant area of research.
Advancements in computational power have allowed engineers to replace traditional methodologies—which relied heavily on the designer’s experience and involved slower, more costly iterations—with numerical optimization techniques capable of analyzing and refining airfoil designs more efficiently.
Airfoil shape optimization leverages computational fluid dynamic (CFD) solvers—from rapid panel methods to high-fidelity RANS-based adjoint frameworks—to evaluate aerodynamic performance while parametrizing geometry using techniques like PARSEC, CST, Bézier, or B-splines to effectively reduce the design space [1,2]. Optimization methods range from gradient-based adjoint approaches, which efficiently compute sensitivities across many design variables, to gradient-free evolutionary algorithms (e.g., genetic algorithms, particle swarm), which offer superior exploration of multi-modal design spaces at the cost of more evaluations [3]. Applications span aerospace and wind-energy domains, where optimized airfoils yield measured lift-to-drag improvements, as seen in wind turbine blade studies achieving 2% drag reduction over hundreds of variables [4]. This balance of solver fidelity, intelligent parameterization, and robust optimization forms the foundation of modern aerodynamic design.
As mentioned in [5], the numerical optimization approaches are classified as gradient-based, which require the objective function’s gradient information, or gradient-free, which are based on a naturally occurring phenomenon. Gradient-based techniques are ideal for solving well-defined polynomials or finding locally optimal solutions. On the other hand, gradient-free do not need continuity or predictability across the design space, making them ideal for determining the global optimum in numerically noisy optimization applications, such as experimental or simulation findings [5].
There are many gradient-free optimization methods, each being better suited for a class of specific problems. Of these, evolutionary gradient-free methods encompass a family of heuristic algorithms generally applicable to global design space search. Even though these gradient-free methods are generally less efficient than gradient-based methods, especially in high dimensional optimization problems where they become very computationally expensive, their ability to better search the design space is often a good reason to use them [6]. Another limitation of these methods is their usual inability to incorporate constraints directly in the optimization problem formulation, even though these can be accounted for by adding penalty functions to the original optimization function [7]. One of the widely used evolutionary gradient-free methods is the PSO introduced by Eberhart and Kennedy [8,9,10,11] in the 1990s, which models the social behavior of animals. This method was then improved by Shi and Eberhart in [12], with the implementation of a new control parameter to better balance the global and local search. Another evolutionary algorithm is the Genetic Algorithm (GA), probably the most well-known and widely used type of evolutionary algorithm. GAs were among the earliest to have been developed with their concept first being introduced by Holland [13]. They mimic the natural selection to try to improve the fitness of a population made up of the design variables.
The XOPTFOIL V1.11.1 program, developed for airfoil aerodynamic shape optimization, uses PSO as optimizer [14]. The software incorporates the XFOIL solver which uses an analysis technique created by Drela [15] that combines high-order panel methods with a fully coupled viscous/inviscid interaction approach, to predict the aerodynamic characteristics of the airfoil. This approach is appropriate for this study, because it provides accurate estimates of airfoils’ aerodynamic properties at low Reynolds numbers (Re), even when compared with CFD solvers, as demonstrated in [16]. Many high-fidelity tools which can perform this task are available, but at a significantly higher cost. In these solvers, the problem set-up, including mesh development and adaptation, is more complex. Also, computation time, memory, and computing power requirements are far more demanding for many optimization problems.
To evaluate the fitness of every particle in the swarm, a new objective function for airfoil aerodynamic optimization has been added to XOPTFOIL. The goal of the new function is to better translate the aircraft’s mission performance metrics into the optimization process and allow for an overall improved design.
Missions with rapidly changing flight conditions, such as those caused by maneuvers and flight phase transitions, demand highly effective aircraft which perform well at different speeds, angles of attack, and lift coefficients. Such missions can be found in Air Cargo Challenge events, where heavy-weight, low-speed take-off, fast climb, and fast cruise and turns with limited installed power are required. Airfoil performance is key to achieving good aircraft effectiveness in this type of mission. This competition is primarily directed at aeronautical and aerospace engineering students, similarly to the US Design/Build/Fly competition. The main objective is to design and build a radio-controlled aircraft that can fly with the highest possible payload according to the rules established in the competition regulations, which vary every edition. According to the ACC 2022 handbook [17], the competition aimed to simulate a real medical emergency in a remote village cut off from outside contact by an avalanche or flood, where critical medical supplies—specifically blood bags—needed to be delivered. The flight mission consists of a take-off in a 60 m grass runway with the maximum possible payload; a climb to a height as close as possible to 100 m within 60 s; a high-speed cruise to cover the highest ground distance possible within 120 s; and lastly, a safe landing. Since these flight segments are in conflict, the aircraft’s overall score reflects a trade-off between the competing performance criteria.
For this reason, a multi-point objective function was implemented in XOPTFOIL to identify the optimal balance and achieve the highest overall performance. This approach also enhances off-design performance, increasing reliability under varying flight conditions that may arise from changes in atmospheric conditions or pilot skill.
This paper focuses on formulating an airfoil optimization problem that maximizes the overall score in the ACC while achieving a robust design capable of performing well across a wide range of flight scenarios, thereby improving upon the objective function developed by Palmeira [18].

2. Materials and Methods

2.1. Basic Problem Formulation

In the field of optimization, the formulation of the problem is the key to achieving an optimal solution. The basic problem formulation for a constrained optimization is mathematically presented by Skinner et al. [5] as follows:
Minimize the objective function f X with respect to design variables X ,
subject   to   g r ( X ) < 0   r = 1 ,   N I N   ;   inequality constraints h s X = 0 s = 1 ,   N E Q   ;   equality constraints x i l < x i < x i u i = 1 ,   N D V   ;   variable bounds
where X = x 1 , x 2 , , x N D V T .
Based on this mathematical formulation, the aerodynamic optimization process follows an iterative procedure in which the set of X design variables evolve from a baseline airfoil until the objective function f X reaches its minimum or the maximum number of iterations is reached. The design space is constrained by the imposed system’s restrictions, which may be implicit or explicit in X , ensuring the viability of the solution.
In the proposed aerodynamic optimization, the design variables are obtained through a B-spline parametrization of the baseline airfoil and a flap definition. These are iteratively updated using the PSO algorithm. In each iteration, the airfoil configuration is evaluated through an implicit objective function of X . Specifically, the XFOIL solver computes the aerodynamic performance of the airfoil under study, computing the lift and drag coefficients to determine the corresponding aircraft mission performance metrics leading to the objective function value. The overall optimization structure is summarized in Figure 1, which illustrates a schematic representation of the algorithm implemented in XOPTFOIL. Details of the several steps in the optimization procedure are presented in the following sub-sections.

2.2. Airfoil Shape Parametrization

B-splines designate a smooth curve technique that is obtained by the product of basis functions N j , k t and an array of spatially defined discrete control points P j [19]. Equation (1) establishes the B-spline curves for a planar curve, P j R 2 and C t R 2 , with n basis functions of order k < n and parametrized by the scalar t T k 1 , T N C P .
C t = j = 1 n 1 N j , k t P j
The B-splines method represents the airfoils using two B-splines, one for the upper surface and another for the lower surface. For each B-spline, P 0 is fixed at the leading edge 0,0 ; P n 1 is fixed at the trailing edge midpoint; and P 1 is aligned vertically with the leading edge. This applies to both upper and lower surfaces.
For the other control points, the x-coordinates follow a cosine distribution, with only the z-coordinates of the control points between 1 and n 2 being free coordinates. This results in n 2 design variables per surface. The B-spline control points’ coordinates definitions are given in Equation (2).
P 0 = 0,0 ,   P j = 1 2 1 c o s π j 1 n + 1 , a j , j = 1 , n 2 , P n 1 = 1 , z t e  
where a j denotes a design variable, and z t e is the z-coordinate at the trailing edge. Figure 2 represents an example of this type of parametrization for the S9000 airfoil with 12 design variables (16 control points).

2.3. Particle Swarm Optimization

In 1995, Eberhart and Kennedy introduced a new optimization algorithm that defies convention by simulating the social behavior of flocks of birds, called Particle Swarm Optimization (PSO) [8,9,10,11]. Within PSO, each particle is “evolved” through cooperation and competition among both the members of the swarm and itself, across generations.
Each particle, in the D-dimensional space, is denoted by three vectors: position, X i = x i , 1 , x i , 2 , , x i , d , , x i , D , velocity, V i = v i , 1 , v i , 2 , , v i , d , , v i , D , and the particle’s personal best position P i = p i , 1 , p i , 2 , , p i , d , , p i , D . The best overall position within the swarm is also stored and symbolized as g .
The particles, at each iteration k, move through the search space following Equations (3)–(5).
v i , d k + 1 = ω k v i , d k + c 1 r a n d 1 p i , d k x i , d k + c 2 r a n d 2 p g , d k x g , d k
x i , d k + 1 = x i , d k + v i , d k + 1 ,
ω k + 1 = ω k ω r a t e ω k ω e n d ,
where c 1 and c 2 are two positive constants; r a n d 1 and r a n d 2 are functions that generate a random number in the range 0,1 ; ω r a t e is the weight rate-of-change; and ω e n d is the optimization’s final weight value.
Iteratively, the particles “evolve” based on Equation (4), where their new position, x i , d k + 1 , is calculated by adding the new velocity, v i , d k + 1 , to their current position, x i , d k . The velocity, in each iteration, is derived from Equation (3), which is composed of three terms. The second term introduces a “cognition” component to the equation, reflecting the particle’s own thinking. The third term includes a “social” element encouraging collaboration within the particle swarm. And lastly, the first term, ω k v i , d k , introduces a “flying” or “inertia” component to the equation by passing on the previous particle’s velocity to the new one, thus maintaining the tendency to explore the search space, as explained in [7]. The first term enhances the algorithm’s global search ability, whereas the latter two emphasize local search refinement.
To improve the balance between global and local search, Shi and Eberhart [12] introduced a new inertia weight (ω). In this work, the inertia weight follows a natural exponential function, as studied by Chen et al. [20]. This function allows the particles to initially spread across the design space and then gradually converge toward the optimal solution, achieving an effective balance between exploration and exploitation. As the optimization progresses, the search transitions from global to local behavior, as described by Equation (5).

2.4. Aerodynamic Analysis

The aerodynamic analysis is performed in two steps. First, the aerodynamic coefficients of the airfoil are computed based on its geometry and operating conditions. Then, using these results, the aircraft’s aerodynamic properties are calculated considering its overall geometry.
XFOIL computes airfoil flow at low Re by combining high-order panel methods with a fully coupled viscous/inviscid interaction [15]. The viscous solution uses a two-equation lagged dissipation boundary layer model with an eN transition criterion from the ISES code [21]. This is iterated with incompressible potential flow via surface transpiration to capture separation. The panel method, with Kármán–Tsien compressibility correction, provides surface velocities, and the wake is included in the viscous equations, forming a nonlinear elliptic system solved with the full Newton method. Transition is predicted using the eN method with user-defined Ncrit. XFOIL 6.97 is integrated into XOPTFOIL as a set of external modules, containing the necessary subroutines directly retrieved from the source code in [15].
To perform XFOIL analysis, airfoil geometry coordinates—generated from the B-spline control points in this study—flap variables (chord ratio and deflection), Re, Mach number (M), Ncrit, angle-of-attack (α), or lift coefficient (Cl) must be loaded into the routines. Furthermore, the mode of operation must be specified, either a single operating point or a sequence of operating points. When α is provided to XFOIL, it returns the corresponding Cl, the drag coefficient (Cd), and the pitching moment coefficient (Cm). When Cl is provided, XFOIL returns the corresponding α, Cd, and Cm.
To build the objective function, three different situations arise that need computing the aerodynamic coefficients. The first situation deals with computing the maximum lift coefficient (Cl,max) at take-off conditions; in this case, a sequence of α is used, and the highest Cl found in that sequence is taken as Cl,max. The second is needed to calculate Cl at a specified α during the take-off run; in this case both Cl and Cd are retrieved. The third and last case specifies a single Cl to retrieve Cd during the climb, the cruise, or a turn.
Aircraft performance metrics are also important to directly influence airfoil design. Therefore, a simple methodology was adopted to compute the aircraft aerodynamic coefficients, the lift coefficient (CL), and the drag coefficient (CD) at the relevant flight conditions of the mission. This methodology is outlined by Raymer [22] and is briefly described below. The geometry of the aircraft is assumed fixed so that the outcome of the analysis depends only on changes to the airfoil shape.
The first step is to convert the airfoil’s lift coefficient into that of the aircraft. Given that the wing is the primary source of lift, contributions from other components—such as the tail and fuselage—are neglected. The wing CL is then computed from the airfoil Cl using the leading-edge suction method and the induced angle of attack (αi), as defined in Equation (6), which is solved iteratively.
C L = C l S e x p o s e d S c o s C L π A τ  
where S is the wing planform area; Sexposed is the wing area exposed to the airflow; A is the wing aspect ratio; and τ is a correction factor smaller than one to account for the non-elliptical lift distribution of the wing.
For high-aspect-ratio wings with moderate sweep and large airfoil leading-edge radius, the maximum wing lift coefficient (CL,max) is typically 90% of the airfoil’s maximum lift coefficient. Thus, Equation (7) is used to compute the maximum lift coefficient.
C L , m a x = 0.9 C l , m a x S e x p o s e d S  
The second step is to compute the aircraft’s drag coefficient using Equation (8), where the total drag coefficient is the sum of the contributions from each component of the aircraft plus a miscellaneous term, which accounts for extra drag sources.
C D = C D , w + C D , f u s + C D , t a i l + C D , m i s c  
The wing drag coefficient (CD,w) is divided into two components, parasite and induced drag. The parasite drag is assessed using the airfoil’s drag coefficient obtained from the XFOIL analysis, whereas the induced drag is determined utilizing the Oswald span efficiency method. The wing drag coefficient is thus represented by Equation (9).
C D , w = C d + C L 2 π A e ,
where e is the Oswald span efficiency factor.
Since the tail and fuselage are assumed not to produce lift, they contribute only to parasite drag. This parasite drag coefficient is computed by the component buildup method, where the flat-plate skin friction coefficient (Cf), which is a function of Re, and the component form factor (F), which accounts for pressure drag due to viscous separation, are calculated. The interference effects that arise when different components are joined together are considered with an interference factor (Q). Thus, the fuselage and tail parasite drag coefficients are estimated using Equation (10).
C D , f u s / t a i l = C f F Q S w e t , f u s / t a i l S ,  
where Swet,fus/tail represents the wetted area of the corresponding aircraft component.
Other contributions to the drag coefficient, coming from the landing gear, antennas, surface gaps, and other elements, are contained in CD,misc.

2.5. Mission and Aircraft Performance

According to the ACC 2022 handbook [17], the competition aimed to simulate a real medical emergency with the aircraft required to carry blood bags. Regarding the flight mission, the aircraft must take off from a 60 m grass runway with the maximum possible payload. Next, it must climb to a height as close as possible to 100 m within a 60 s window. Immediately after those 60 s, the distance task starts where the aircraft needs to perform a fast cruise to travel the highest distance possible within 120 s. Lastly, the aircraft must make a safe landing. Because some of these flight conditions are quite different from each other, the aircraft’s total score results from a balance between different features. Figure 3 illustrates the total flight of the aircraft in the competition, highlighting the differing flight conditions encountered in a very short-time mission.
The flight is divided into three scoring tasks, each receiving a maximum of 1000 points. These tasks include the take-off phase, scored by the payload mass carried in the aircraft (PSpay); the climb phase, scored by the height reached in 60 s (PShgt); and the cruise phase, scored by the distance traveled in 120 s (PSdis). The score is calculated using Equation (11), given in [17]. As this equation employs a relative scoring method, it is necessary to specify the best partial scores (PSmax) achieved during the competition, which are available in the ACC results [23].
S c o r e = 1 3 P S p a y P S p a y , m a x + P S h g t P S h g t , m a x + P S d i s P S d i s , m a x
To estimate the aircraft performance in the competition based on the airfoil aerodynamic characteristics, the method described in Section 2.4 is used. Performance equations for the various flight phases are obtained from Raymer [22]. Full throttle is used throughout the whole flight. The amount of energy available onboard to perform the mission is fixed. Additionally, the same electrical motor and propeller are always used.
For the payload scoring, take-off conditions are considered. Stall speed (VS) is estimated from Cl,max using Equation (7) and the speed–lift coefficient relationship. Constant acceleration is assumed, so aerodynamic, propulsion, and ground friction forces are calculated for a single point at an average speed of 1.4 V S 2 / 2 , where V S is the stall speed, and 1.2 V S is the lift-off speed. A constant α take-off ground run is also assumed, providing Cl and Cd for the airfoil, which are used to estimate CL and CD for the aircraft from Equations (6) and (8)–(10). Given the take-off distance limit of 60 m, the payload weight is calculated to match that distance.
For the climb scoring, the objective is to reach a height of 100 m. For the various defined C l values in the objective function, C d is computed from XFOIL. Then, C L and consequently C D are obtained using Equations (6) and (7). The rate of climb is computed for all these cases, and the one that provides the highest value is selected to estimate the climb time to 100 m.
The distance scoring is determined during cruise flight, which includes both straight and level flight as well as level turns. The procedure for obtaining the aircraft’s aerodynamic characteristics is the same as in the climb phase. However, a key difference arises in the turning phase: a bank angle is assumed, leading to increased CL and CD, which results in a reduced flight speed. The speeds in straight and turning flight are then used to calculate an average speed, weighted by the distances that can be flown in each mode within a given flying zone.

2.6. Objective Function, Constraints, and Design Variables

The ideal airfoil should have an aerodynamic performance that achieves the highest score while also having a robust off-design performance to accommodate the changing operating conditions which occur when transitioning from one flight phase to another when maneuvering and when unsteady wind conditions exist. This idea is converted into the objective function given by Equation (12), whose value is minimized throughout the optimization process.
f = a S c o r e + ω ¯ 0 C l , m a x , r e f C l , m a x + p = 1 N ω ¯ p C l / C d r e f , p C l / C d p α + q = 1 M ω ¯ q C d q C d r e f , q C l + δ
The first term of the equation reflects the flight score, from Equation (7), where a is an importance coefficient used to shift the optimization outcome either toward the flight score or toward the off-design airfoil characteristics. This term is added to allow the optimization to be partially driven by the specific performance requirements of the aircraft mission.
The second through fourth terms in Equation (12) represent the relative improvement in the airfoil’s aerodynamic characteristics. These terms optimize multiple operating points at and around the initial flight conditions to allow robust off-design performance. The second and third terms help to increase the payload capacity, with the second term accounting for the maximum lift coefficient and the third term addressing the lift-to-drag ratio for various angles of attack p = 1 , N in the take-off ground run. The fourth term focuses on minimizing the drag coefficient at different lift coefficients q = 1 , M during the climb and cruise phases.
To emphasize the operating points closer to the design conditions while still accounting for edge cases without overemphasizing them, the weight of each operating point ( ω ) is computed using a bell curve defined by Equation (13). For each phase, the initial design point is used as the mean value ( μ ) and the distance between the selected and the iterated angles of attack or lift coefficients as the standard deviation ( σ ).
ω x = 1 2 π σ 2 e x μ 2 2 σ 2
Each weight is then normalized so that the sum of the weights in each flight phase equals 1/3, making sure the total collective weight across all phases equals 1. If a flight phase includes two types of operating points, such as the take-off phase, where the maximum lift coefficient and the lift-to-drag ratio during the ground run are considered, and the cruise phase, which includes level flight and sustained turn segments, each part is assigned an equal weight. This is summarized in Equation (14).
ω ¯ 0 = p = 1 N ω ¯ p ω ¯ 0 + p = 1 N ω ¯ p = 1 3 q = 1 M ω ¯ q , c l i m b = 1 3 q = 1 M ω ¯ q , c r u i s e = q = 1 M ω ¯ q , t u r n q = 1 M ω ¯ q , c r u i s e + q = 1 M ω ¯ j , t u r n = 1 3
An equal weight is assigned to these terms of the equations based on the assumption that the first term is responsible for distinguishing their relative value.
Finally, to prevent the optimization from converging to impractical or nonviable designs, the last term δ in Equation (12) is included in the objective function to penalize unwanted solutions. This is a penalty factor encompassing the effect of unrealistic airfoil geometries and geometric constraints. When an airfoil geometry is generated from the new control points given by PSO, its validity is checked for three situations: surface smoothness (wavy surfaces are not desired); negative thickness; and negative trailing-edge angle. These checks are performed before XFOIL is executed. If the geometry fails to be valid, the airfoil is not evaluated and the objective function f becomes just δ which is assigned a value of 106. When the airfoil geometry is valid, XFOIL is executed. Sometimes, though rarely, the XFOIL solution converges to too low a drag coefficient or fails to converge entirely. In the former case, to avoid bias to the swarm evolution, the obtained C d is compared to a standard laminar boundary layer flat plate friction coefficient ( C f ). In the latter case, the solution is rerun at slightly different Re for a given fixed number of trials until it converges. Rejected solutions result again in f becoming just δ = 10 6 ; otherwise, f and the constraints are normally evaluated.
To guarantee the feasibility of the airfoil geometry regarding wing structural design and manufacturability, a few inequality constraints are added. These include lower and upper bounds for the airfoil’s maximum thickness-to-chord ratio ( t m a x ), the maximum camber-to-chord ratio ( z c , m a x ), and the trailing-edge thickness-to-chord ratio ( t t e ), as shown in Equation (15) in normalized form. These constraints are accounted for in a penalty function using the barrier method, whereby all constraints are added together if positive, ignored otherwise, and multiplied by a factor which changes linearly from 10−1 to 10−4 at the beginning and at the end of the iterations, respectively. The penalty function is thus the penalty factor δ .
1 t m a x t m a x l 0 t m a x t m a x u 1 0 1 z c , m a x z c , m a x l 0 z c , m a x z c , m a x u 1 0 1 t t e t t e l 0 t t e t t e u 1 0
The design variables are divided into two groups. The first group consists of the B-spline control points, which define the upper ( z u , i , i = 1 , N C P / 2 2 ) and lower ( z l , i , i = N C P / 2 1 , N C P 4 ) surfaces of the airfoil. The second has the parameters that define the trailing-edge flap: the hinge position ( x f l a p , i = N C P 3 ), and the flap deflection for take-off, climb, and cruise ( δ f l a p , T O , i = N C P 2 ; δ f l a p , C L , i = N C P 1 ; δ f l a p , C R , i = N C P ). Note that in this case N C P = N D V . This set of parameters gives the design variables vector described in Section 2.1 as follows:
X = z u , 1 , , z u , N C P / 2 2 , z l , N C P / 2 1 , , z l , N C P 4 , x f l a p   , δ f l a p , T O , δ f l a p , C L , δ f l a p , C R T

2.7. Convergence Criteria

Recently computed particles are assessed based on the objective function value, and the best personal and global positions are updated throughout the iterations, if applicable. The design iteration proceeds until the swarm converges or the maximum iteration limit ( k m a x ) is reached. The swarm is considered converged when the design radius r, as defined by Equation (16), meets the predefined threshold of ( r m i n ).
r = d = 1 N p o p X ¯ d X ¯ c N D V N p o p
where X ¯ d represents the position vector of the d t h particle and X ¯ c the centroid position vector. To ensure accurate computation of the design radius, each variable in the vector is scaled within the range 1,1 relative to the design range using Equation (17), not allowing the absolute values of each variable to affect the design radius.
x ¯ i , d = 1 + 2 x i , d x m i n . i x m a x , i x m i n . i ,   i 1 , N D V ,   d 1 , N p o p

2.8. Optimization Set-Up

The target of the optimization is the S9000 airfoil, with z-coordinates of 12 control points selected as design variables. As stated in Section 2.1, each of these control point variables has upper z m a x and lower z m i n limits, given by Equations (18) and (19).
z m a x , i = z s e e d , i + z s e e d , i ξ r e l + ξ a b s ,   i 1 , N C P 4
z m i n , i = z s e e d , i + z s e e d , i ξ r e l ξ a b s ,   i 1 , N C P 4
These limits are set through the application of both a relative perturbation ξ r e l = 0.5 and an absolute perturbation ξ a b s = 0.001 , with the resulting values given in Table 1. In addition, the hinge position of the flaps and their deflection angles across the diverse flight phases are included as additional design variables. The initial flap design variable values and corresponding lower and upper bounds are provided in Table 2. The geometric feature constraints penalize the objective function when set outside of the allowable limits provided in Table 3.
The PSO algorithm will generate a swarm of 50 particles, an efficient size according to [24], to find an optimal solution. The initial swarm is uniformly distributed within the range of design variables, except for a single particle, which assumes the initial airfoil shape to ensure a good initial design in the swarm. The algorithm parameters follow the exhaustive XOPTFOIL option with values c 1 = 1.4 , c 2 = 1.0 , ω i n i t = 1.8 , ω e n d = 0.8 , ω r a t e = 0.02 , which allow for better global search of the design space. The stopping criteria are k m a x = 1000 and r m i n = 10 4 .
The airfoil optimization is conducted according to the objective function outlined in Equation (12) and discussed in Section 2.6. The flight conditions selected to undergo optimization are centered around the initial operating points provided in Table 4, Table 5 and Table 6 to ensure efficient optimization and enable the score calculation. All initial parameters for these three flight conditions were computed using the methodology implemented with the data of UBI’s aircraft flown in ACC 2022 [25], which uses the S9000 airfoil. This aircraft has a 2.558 m wingspan, an aspect ratio of the wing of 13.96, a twin-boom tail arrangement, a laminar flow fuselage, and a pusher propeller layout. Propulsion data required to estimate mission performance was obtained from experimental wind tunnel tests in Zombori [26].
To investigate the influence of each component of the objective function, the competition score, and the aerodynamic relative improvements, parameter a in Equation (12) is used to scale the first term of the equation, thus changing the relative weight of each term. So, in addition to optimizing the airfoil with a = 1 , the optimization was repeated for a = 0.5 and a = 2 . Also, three α -specified p = 1 ,   3 operating points, with α = 7   8   9 , were selected for the take-off ground run and twelve C l   -specified ( q = 1,12 ) operating points, with C l = 0.20   0.25   0.30   0.35   0.45   0.50   0.55   0.60   0.65   0.75   0.85   1.05 , were selected for the climb/cruise.
All these considerations transform Equation (12) into Equation (20), which represents the actual objective function guiding the optimization process.
f = a S c o r e + 0.1667 C l , m a x , r e f C l , m a x + 0.0417 C l / C d r e f C l / C d α = 7 º + 0.0417 C l / C d r e f C l / C d α = 8 º + 0.0417 C l / C d r e f C l / C d α = 9 º + 0.0012 C d C d r e f C l = 1.05 + 0.0012 C d C d r e f C l = 0.85 + 0.0012 C d C d r e f C l = 0.75 + 0.0012 C d C d r e f C l = 0.65 + 0.0012 C d C d r e f C l = 0.60 + 0.0012 C d C d r e f C l = 0.55 + 0.0012 C d C d r e f C l = 0.50 + 0.0012 C d C d r e f C l = 0.45 + 0.0012 C d C d r e f C l = 0.35 + 0.0012 C d C d r e f C l = 0.30 + 0.0012 C d C d r e f C l = 0.25 + 0.0012 C d C d r e f C l = 0.20 + δ

3. Results

The optimization problems were run on a computer with an Intel® Core™ i7-10510U CPU@1.80 GHz–2.30 GHz. Full optimization for a 50-particle swarm and 1000 iterations, totaling 50,000 function evaluations, required on average 2 × 105 s to complete.
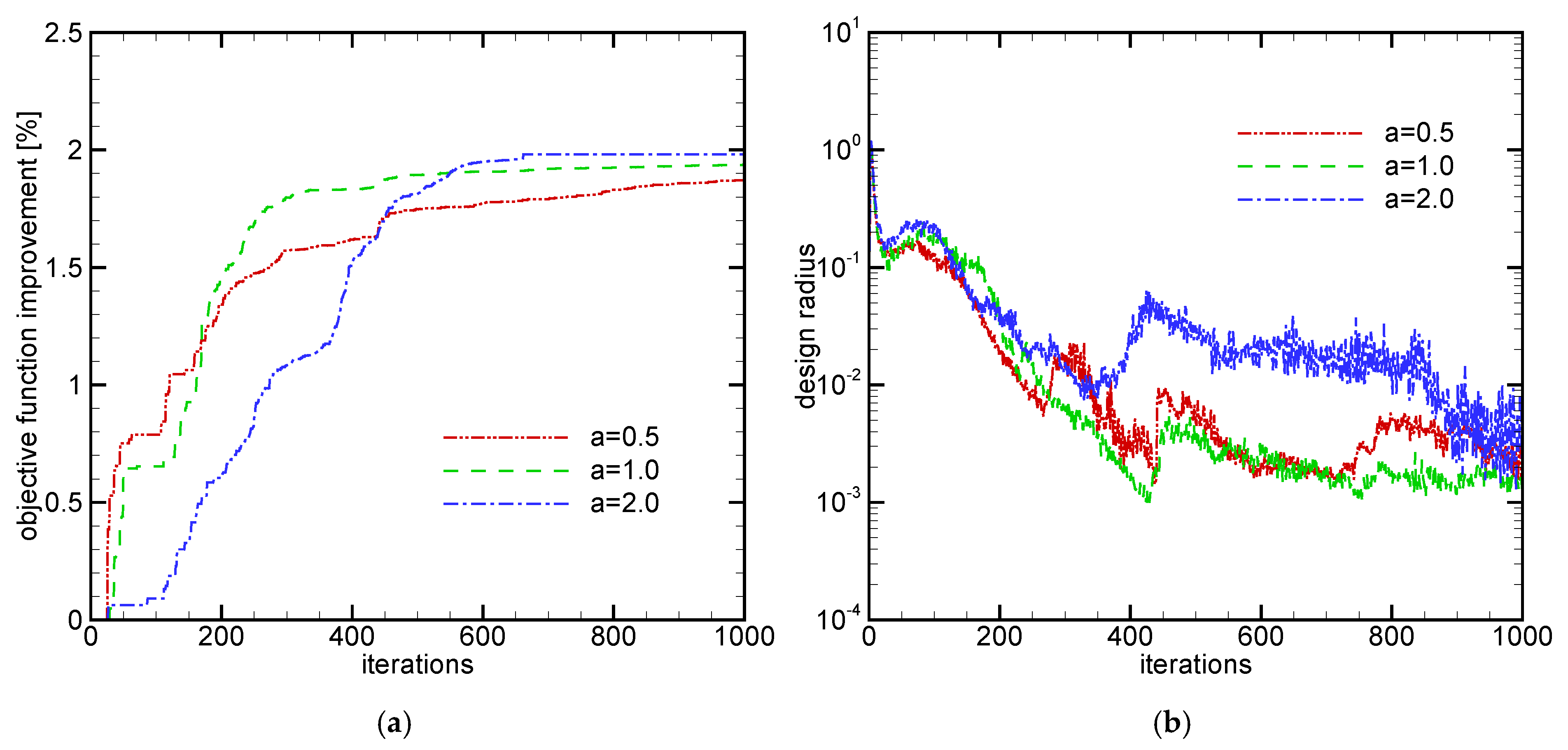
After 1000 iterations, all optimization procedures, with parameter a = 0.5 , a = 1.0 , and a = 2.0 , resulted in enhancements in the objective function of 1.871%, 1.939%, and 1.939%, respectively, as shown in Figure 4.
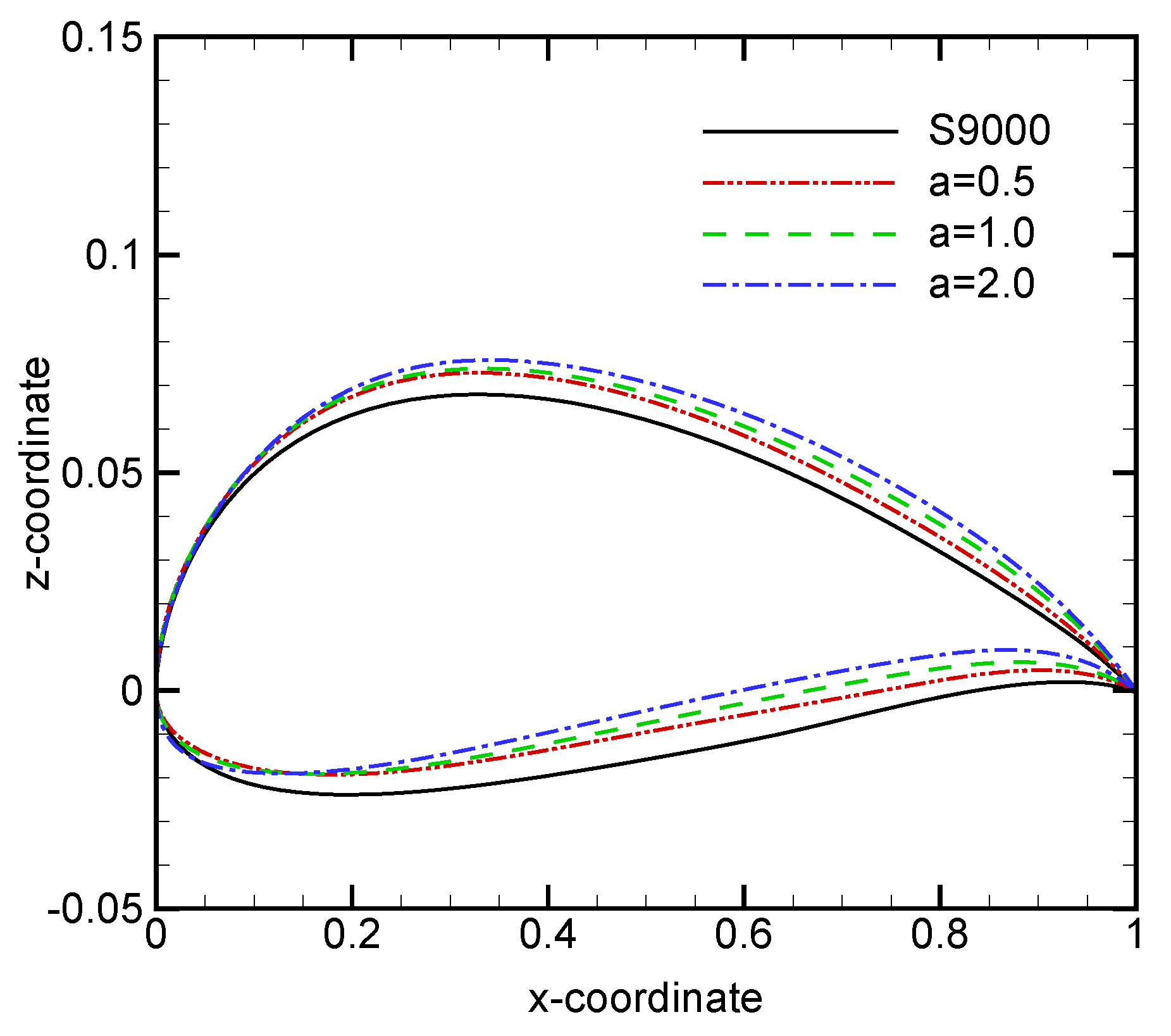
These performance gains were achieved by reducing the objective function value from 1.586 to 1.556, 2.171 to 2.128, and 3.343 to 3.277, corresponding to the increase in the competition score from 854.3 to 861.3 and from 865.2 to 868.1, respectively. Also, these improvements were achieved by transforming the initial airfoil shape into optimized airfoils that maintain the original 9% thickness-to-chord ratio but with an increased maximum camber going from 2.36% to 2.91% and from 3.06% to 3.32%, respectively. Figure 5 shows a geometric comparison of the optimized airfoils and the original design, while Table 7 and Table 8 compare the corresponding design variables.
In all cases, the improvement in the score competition was achieved by increasing the aircraft’s payload capacity, of 0.790 N, 1.203 N, and 1.500 N, respectively, mostly through a more efficient ground run. The gains resulted from a trade-off with the rate of climb, which still preserves the maximum score in the climb phase, and a decrease in sustained turn speed and cruise speed, which led to a reduction in the distance traveled to 3248.8 m, 3244.8 m, and 3241.8 m, respectively.
These findings are clearly shown in Table 9, Table 10 and Table 11, which present the estimated aircraft performance with the optimized airfoils incorporated. The results demonstrate a substantial improvement, with the payload score increasing by 25.11, 38.22, and 47.67 points, accompanied by a slight decrease of 1.80, 3.03, and 3.94 points in the distance score, respectively. The former increments represent increases in payload between 4.5% and 8.5%.
The observed pattern can be attributed to the increase in the airfoil’s maximum camber, as illustrated in Figure 5, which produces an increase in the airfoil’s maximum lift coefficient and a higher ground-run efficiency. Consequently, a negative flap deflection during cruise conditions is naturally adopted to offset the drag coefficient rise due to the increased camber, effectively increasing angle of attack for a given lift coefficient.
Additionally, Figure 6 corroborates these conclusions by showing improvements between 2% and 14% in the ground run operating points efficiency, and an increase in the maximum lift coefficient between 3% and 4%, further enhancing the payload score. Conversely, the lift coefficient intervals, associated with the climb, cruise, and turn operating points displayed in Table 10 and Table 11, exhibited reductions ranging from 0% to −3% in the drag coefficient.
However, in contrast to the observed climb condition deterioration, the first two operating points of the climb optimization had a significant improvement. This enhancement is attributed to the proximity of these points with the ground-run condition. In other words, the improvement in the ground run translates directly to an improvement in these two operating points.
Consequently, to avoid overlapping points, the lift coefficient range for the climb evaluation could be reduced, thereby decreasing the interval considered. This reduction is important, as a large step size in the C l interval complicates the determination of the real best rate of climb and the flap deflection with which it is obtained. Instead, the algorithm is optimizing the flap deflection to maximize the rate of climb at one of the preselected operating points. Similar considerations can also be made in determining the ideal flap deflection in other flight phases. However, the use of smaller steps would mitigate this issue.
Moreover, as illustrated in Figure 7, which portrays an aerodynamic comparison between the optimized and original airfoils under each flight condition, the improvement in the aerodynamic characteristics at the operating point corresponding to a lift coefficient of 0.65 during the climb phase are attributed to the smoothing of the polar curve.
While this curve smoothing can also be associated with the enhancements at 0.25 and 0.3 of C l during the cruise phase, the most plausible reason is the decrease in the drag coefficient needed to increase the cruise speed and improve the distance score.
In addition to validating all prior results, Figure 7 also demonstrates that the large ground run efficiency boost is also caused by a decline in airfoil performance between the ground run and maximum lift conditions. This can be explained by the absence of points under consideration in that location.

4. Discussion

The observed tendencies in the results reinforce the influence of the operating point selection on the optimization outcomes. The chosen points not only set the margin of error of the aircraft performance characteristics but also the polar curve smoothing range in each respective condition.
Compared to Palmeira’s [18] results, the current approach improves the optimized airfoil in multiple areas. A key advancement is the direct integration of the estimated flight score into the objective function, which effectively achieves the aerodynamic balance required to improve the overall score. This contrasts with Palmeira’s method, which incorporated a weight-based solution for the terms containing the operating points.
Additionally, the current optimization also considers operating conditions surrounding the design point, thus addressing a limitation in the previous study that led to point-specific improvements. The difference between the use of 17 operating points in this study, against the 7 points considered by Palmeira [18], led the algorithm to converge into a smoother drag polar. This is particularly evident in the range of lift coefficients between 0.2 and 1.1, as illustrated in Figure 7, highlighting the consistent aerodynamic behavior achieved across a range of operating conditions.
As a result, the current method ensures more robust performance across off-design conditions, thus enhancing the overall effectiveness of the optimized airfoil.
However, the weight-based solution is not completely eliminated in the newly introduced objective function, as each objective function term can have different weights. Therefore, optimization tests were conducted using different values for parameter a, changing the relative weight among the objective function terms and offering insights about the concerns of each term.
In these optimization cases, while the general trends remain consistent, the value of a has affected the magnitude of the change. When the optimization prioritizes the competition score by setting a larger a ( a = 2.0 ), there is an emphasis on exploring the design space to achieve an optimized airfoil that maximizes the total competition score, even at the expense of localized improvements. For a = 2.0 , the effects are evident from the substantial improvements observed at the ground run operating points, albeit at the cost of the surrounding points. Conversely, when the optimization prioritizes relative aerodynamic improvements by setting a smaller a ( a = 0.5 ), the generated airfoil exhibits a smoother polar curve with a lower competition performance. In such a case, the resulting airfoil seems to resemble more the baseline geometry.
A future study implementing a multi-objective optimization algorithm will eliminate the need to assign fixed weights to the objective function and will provide a range of possible optimal airfoils, offering freedom to the optimizer to explore the best scenario.

5. Conclusions

The multipoint constrained optimization strategy proposed in this paper efficiently addresses the challenges of optimizing an aircraft’s airfoil across various flight phases with different operating conditions. By integrating the competition score into the objective function, the method improved performance in the ACC 2022 mission. Additionally, including the relative aerodynamic coefficient terms for the selected flight points ensures robust operation across a wide range of conditions. The results confirm the effectiveness of this approach in enhancing competition performance while maintaining off-design capability.
The novelty of the presented approach lies in maintaining a typical multipoint optimization—used to minimize or maximize airfoil aerodynamic characteristics at various design points—while introducing a high-level optimization term that captures performance metrics derived from the aircraft’s mission profile and additional off-design operating points. This approach has the potential to promote better overall designs in broader applications, regardless of the specific aircraft mission.

Supplementary Materials

The following supporting information can be downloaded at: https://pgamboa.ubi.pt/pessoal/ACC2022GP_airfoils/ACC2022GP0.5.dat (accessed on 28 July 2025). File S1: ACC2022GP0.5 airfoil coordinates; https://pgamboa.ubi.pt/pessoal/ACC2022GP_airfoils/ACC2022GP1.0.dat (accessed on 28 July 2025). File S2: ACC2022GP1.0 airfoil coordinates; https://pgamboa.ubi.pt/pessoal/ACC2022GP_airfoils/ACC2022GP2.0.dat (accessed on 28 July 2025). File S3: ACC2022GP2.0 airfoil coordinates.

Author Contributions

Conceptualization, P.V.G. and G.F.S.P.; methodology, G.F.S.P. and P.V.G.; software, G.F.S.P.; validation, G.F.S.P. and P.V.G.; formal analysis, G.F.S.P. and P.V.G.; investigation, G.F.S.P. and P.V.G.; data curation, G.F.S.P. and P.V.G.; writing—original draft preparation, G.F.S.P.; writing—review and editing, P.V.G.; supervision, P.V.G. All authors have read and agreed to the published version of the manuscript.

Funding

This research received no external funding.

Data Availability Statement

The original contributions presented in this study are included in the article and the Supplementary Materials. Further inquiries can be directed to the corresponding author.

Acknowledgments

The authors acknowledge the ACC 2022 team for providing data of their aircraft model. During the preparation of this manuscript/study, the authors used ChatGPT GPT-4o for the purpose of summarizing some of the authors’ written paragraphs into shorter ones. The authors have reviewed and edited the output and take full responsibility for the content of this publication.

Conflicts of Interest

The authors declare no conflicts of interest.

Abbreviations

The following abbreviations are used in this manuscript:
ACCAir Cargo Challenge
CFDComputational Fluid Dynamics
GAGenetic Algorithm
PSOParticle Swarm Optimization
UBIUniversity of Beira Interior

References

  1. Akram, M.T.; Kim, M.-H. CFD Analysis and Shape Optimization of Airfoils Using Class Shape Transformation and Genetic Algorithm—Part I. Appl. Sci. 2021, 11, 3791. [Google Scholar] [CrossRef]
  2. Belda, M.; Hyhlík, T. Interactive Airfoil Optimization Using Parsec Parametrization and Adjoint Method. Appl. Sci. 2024, 14, 3495. [Google Scholar] [CrossRef]
  3. Martins, J.R.R.A. Aerodynamic design optimization: Challenges and perspectives. Comput. Fluids 2022, 239, 105391. [Google Scholar] [CrossRef]
  4. Madsen, M.H.A.; Zahle, F.; Sørensen, N.N.; Martins, J.R.R.A. Multipoint high-fidelity CFD-based aerodynamic shape optimization of a 10 MW wind turbine. Wind Energy Sci. 2019, 4, 163–192. [Google Scholar] [CrossRef]
  5. Skinner, S.N.; Zare-Behtash, H. State-of-the-art in aerodynamic shape optimisation methods. Appl. Soft Comput. 2018, 62, 933–962. [Google Scholar] [CrossRef]
  6. Conn, A.R.; Scheinberg, K.; Vicente, L.N. Introduction to Derivative Free Optimization; MPS-SIAM series on Optimization; SIAM: Philadelphia, PA, USA, 2009. [Google Scholar] [CrossRef]
  7. Di Pillo, G.; Lucidi, S.; Rinaldi, F. A Derivative-Free Algorithm for Constrained Global Optimization Based on Exact Penalty Functions. J. Optim. Theory Appl. 2015, 164, 862–882. [Google Scholar] [CrossRef]
  8. Eberhart, R.C.; Simpson, P.K.; Dobbins, W.R. Computational Intelligence PC Tools; AP Professional: Oxford, UK, 1996. [Google Scholar]
  9. Eberhart, R.; Kennedy, J. A new optimizer using particle swarm theory. In Proceedings of the MHS’95. Sixth International Symposium on Micro Machine and Human Science, Nagoya, Japan, 4–6 October 1995; Volume 4, pp. 39–43. [Google Scholar]
  10. Kennedy, J.; Eberhart, R. Particle swarm optimization. In Proceedings of the ICNN’95—International Conference on Neural Networks, Perth, WA, Australia, 27 November–1 December 1997; pp. 1942–1948. [Google Scholar]
  11. Kennedy, J. The particle swarm: Social adaptation of knowledge. In Proceedings of the 1997 IEEE International Conference on Evolutionary Computation (ICEC ’97), Indianapolis, IN, USA, 13–16 April 1997; pp. 303–308. [Google Scholar]
  12. Shi, Y.; Eberhart, R. A Modified particle swarm optimizer. In Proceedings of the 1998 IEEE International Conference on Evolutionary Computation, Anchorage, AK, USA, 4–9 May 1998; pp. 69–73. [Google Scholar]
  13. Holland, J.H. Adaptation in Natural and Artificial Systems: An Introductory Analysis with Applications to Biology, Control, and Artificial Intelligence; University of Michigan Press: Ann Arbor, MS, USA, 1975. [Google Scholar]
  14. XOPTFOIL. 2019. Available online: https://github.com/montagdude/Xoptfoil (accessed on 5 February 2024).
  15. XFOIL: Subsonic Airfoil Development System. 2013. Available online: https://web.mit.edu/drela/Public/web/xfoil/ (accessed on 5 February 2024).
  16. Morgado, J.; Vizinho, R.; Silvestre, M.A.R.; Páscoa, J.C. XFOIL vs. CFD performance predictions for high lift low Reynolds number airfoils. Aerosp. Sci. Technol. 2016, 52, 207–214. [Google Scholar] [CrossRef]
  17. Air Cargo Challenge 2022 Participation Handbook. 2021. Available online: https://akamodell-muenchen.de/wpcontent/uploads/2022/07/regulations_acc_2022_munich_v01_15.pdf (accessed on 5 February 2024).
  18. Palmeira, R.J.F. Low Speed Aerofoil Optimisation. Mater’s Thesis, Universidade da Beira Interior, Covilhã, Portugal, 2022. Available online: http://hdl.handle.net/10400.6/13036 (accessed on 20 March 2025).
  19. Masters, D.A.; Taylor, N.J.; Rendall, T.; Allen, B.A.; Poole, D.J. Review of aerofoil parameterisation methods for aerodynamic shape optimisation. In Proceedings of the 53rd AIAA Aerospace Sciences Meeting, Kissimmee, FL, USA, 5–9 January 2015. [Google Scholar]
  20. Chen, G.; Huang, X.; Jia, J.; Min, Z. Natural Exponential Inertia Weight Strategy in Particle Swarm Optimization. In Proceedings of the 2006 6th World Congress on Intelligent Control and Automation, Dalian, China, 21–23 June 2006; pp. 3672–3675. [Google Scholar]
  21. Drela, M.; Giles, M.B. ISES: A Two-Dimensional Viscous Aerodynamic Design and Analysis Code. In Proceedings of the 25th AIAA Aerospace Sciences Meeting, Reno, NV, USA, 24–26 March 1987; AIAA Paper 87-0424. American Institute of Aeronautics and Astronautics: Reno, NV, USA, 1987. [Google Scholar] [CrossRef]
  22. Raymer, D.P. Aircraft Design: A Conceptual Approach, 6th ed.; AIAA Education Series: Reston, VA, USA, 2018. [Google Scholar]
  23. Air Cargo Challenge 2022 Results. 2022. Available online: https://akamodell-muenchen.de/air-cargo-challenge-2022/results/ (accessed on 28 July 2025).
  24. Piotrowski, A.P.; Napiorkowski, J.J.; Piotrowska, A.E. Population size in Particle Swarm Optimization. Swarm Evol. Comput. 2020, 58, 100718. [Google Scholar] [CrossRef]
  25. Gouveia, P.; Pangas, G.; Sousa, H.; Silva, J.S.; Ferreira, L.; Belizário, P.; Vilaça, A.; Silvestre, M.A. Air Cargo Challenge 2022 Technical Report of Aero@UBI; Universidade da Beira Interior: Covilhã, Portugal, 2022. [Google Scholar]
  26. Zombori, V. Study of Electronic Speed Control Strategies for a Fixed Battery, Motor and Propeller Aircraft Propulsion Set. Mater’s Thesis, Universidade da Beira Interior, Covilhã, Portugal, 2021. Available online: http://hdl.handle.net/10400.6/11940 (accessed on 20 March 2025).
Figure 1. Optimization flowchart.
Figure 1. Optimization flowchart.
Aerospace 12 00685 g001
Figure 2. Cubic B-spline parameterization of the S9000 airfoil with 12 design variables. The airfoil shape is shown as a black line and the control points as squares. Unfilled squares represent control points with free z-coordinates, while filled squares represent fixed control points.
Figure 2. Cubic B-spline parameterization of the S9000 airfoil with 12 design variables. The airfoil shape is shown as a black line and the control points as squares. Unfilled squares represent control points with free z-coordinates, while filled squares represent fixed control points.
Aerospace 12 00685 g002
Figure 3. Flight task overview. (1) Take-off; (2) climb; (3) after 60 s → climb assessment over; start of 120 s fast cruise; (4) fly at will in cruise; (5) end of cruise → distance assessment over; (6) safe landing → payload assessment over.
Figure 3. Flight task overview. (1) Take-off; (2) climb; (3) after 60 s → climb assessment over; start of 120 s fast cruise; (4) fly at will in cruise; (5) end of cruise → distance assessment over; (6) safe landing → payload assessment over.
Aerospace 12 00685 g003
Figure 4. Optimization history: (a) objective function improvement; (b) design radius.
Figure 4. Optimization history: (a) objective function improvement; (b) design radius.
Aerospace 12 00685 g004
Figure 5. Geometrical comparison between original and optimized airfoils.
Figure 5. Geometrical comparison between original and optimized airfoils.
Aerospace 12 00685 g005
Figure 6. Aerodynamic improvement of the operating point under optimization.
Figure 6. Aerodynamic improvement of the operating point under optimization.
Aerospace 12 00685 g006
Figure 7. Comparison of aerodynamic performance between original and optimized airfoils: (a) drag polar in ground run condition; (b) drag polar in take-off condition R e = 1.51 × 10 5 ; (c) drag polar in climb condition R e C l = 1.66 × 10 5 ; (d) drag polar in cruise condition R e C l = 1.65 × 10 5 ; (e) drag polar in turn condition R e C l = 2.34 × 10 5 . R e = 1.07 × 10 5 .
Figure 7. Comparison of aerodynamic performance between original and optimized airfoils: (a) drag polar in ground run condition; (b) drag polar in take-off condition R e = 1.51 × 10 5 ; (c) drag polar in climb condition R e C l = 1.66 × 10 5 ; (d) drag polar in cruise condition R e C l = 1.65 × 10 5 ; (e) drag polar in turn condition R e C l = 2.34 × 10 5 . R e = 1.07 × 10 5 .
Aerospace 12 00685 g007aAerospace 12 00685 g007b
Table 1. Control points design variables: initial values and bounds.
Table 1. Control points design variables: initial values and bounds.
Control PointLower LimitInitial ValueUpper LimitControl PointLower LimitInitial ValueUpper Limit
Top 10.023220.014810.00640Bot 1−0.01248−0.00898−0.00549
Top 20.077430.050950.02447Bot 2−0.03501−0.02400−0.01300
Top 30.107380.070920.03446Bot 3−0.03569−0.02446−0.01323
Top 40.099110.065400.03170Bot 4−0.02360−0.01640−0.00920
Top 50.060080.039390.01869Bot 5−0.00468−0.00378−0.00289
Top 60.021520.013680.00584Bot 60.009330.005550.00177
Table 2. Flap design variables: initial values and bounds.
Table 2. Flap design variables: initial values and bounds.
ParameterLower LimitInitial ValueUpper Limit
Flap hinge position/chord ratio0.70.80.9
Take-off flap deflection, deg−15.025.025.0
Climb flap deflection, deg−15.04.025.0
Cruise flap deflection, deg o−15.00.025.0
Table 3. Geometric constraints.
Table 3. Geometric constraints.
PropertyLower LimitUpper Limit
Maximum thickness/chord ratio0.090.25
Camber/chord ratio−0.100.80
Trailing-edge thickness/chord ratio1.0 × 10−51.0 × 10−3
Table 4. Take-off initial conditions.
Table 4. Take-off initial conditions.
Ground Run Lift CoefficientGround Run Drag CoefficientMaximum Lift CoefficientGround Run SpeedLift-Off SpeedWeightPayloadPoints
[m/s][m/s][N][N]
1.03290.020221.71318.32711.77641.56117.641560.56
Table 5. Climb initial conditions.
Table 5. Climb initial conditions.
Climb Lift CoefficientClimb Drag CoefficientClimb SpeedBest Climb RatePoints
[m/s][m/s]
0.75000.0093515.3882.8231000.00
Table 6. Cruise initial conditions.
Table 6. Cruise initial conditions.
Cruise Lift CoefficientCruise Drag CoefficientCruise SpeedTurn Lift CoefficientTurn Drag CoefficientTurn SpeedDistancePoints
[m/s] [m/s][m]
0.23430.0066227.7020.50860.0070626.4983254.6999.88
Table 7. Control points design variables: initial and optimized values.
Table 7. Control points design variables: initial and optimized values.
Control PointOriginal a = 0.5 a = 1.0 a = 2.0 Control PointOriginal a = 0.5 a = 1.0 a = 2.0
Top 10.014810.017060.016440.01529Bot 1−0.00898−0.01022−0.00974−0.01243
Top 20.050950.051700.052190.05182Bot 2−0.02400−0.01920−0.01996−0.02100
Top 30.070920.076990.077720.07972Bot 3−0.02446−0.02262−0.01939−0.01757
Top 40.065400.069920.071400.07361Bot 4−0.01640−0.00939−0.00734−0.00422
Top 50.039390.043470.046570.05056Bot 5−0.003780.003060.004100.00723
Top 60.013680.016790.020010.02163Bot 60.005550.008870.009550.01263
Table 8. Flap design variables: initial and optimized values.
Table 8. Flap design variables: initial and optimized values.
ParameterOriginal a = 0.5 a = 1.0 a = 2.0
Flap hinge position/chord ratio0.800.7950.7720.794
Flap deflection in take-off, deg25.025.025.025.0
Flap deflection in climb, deg4.002.671.430.54
Flap deflection in cruise, deg0.00−0.81−1.81−2.77
Table 9. Optimized take-off performance.
Table 9. Optimized take-off performance.
CasesGround Run Lift CoefficientGround Run Drag CoefficientMaximum Lift CoefficientGround Run SpeedLift-Off SpeedWeightPayloadPoints
[m/s][m/s][N][N]
original1.03290.020221.71318.32711.77641.56117.641560.56
a = 0.5 1.10430.019601.78398.23711.64942.35118.431585.67
a = 1.0 1.14240.020021.79888.24311.65742.76418.844598.78
a = 2.0 1.19230.020041.79618.27811.70643.06119.141608.23
Table 10. Optimized climb performance.
Table 10. Optimized climb performance.
CasesClimb Lift CoefficientClimb Drag CoefficientClimb SpeedBest Climb RatePoints
[m/s][m/s]
original0.75000.0093515.3882.8231000.00
a = 0.5 0.75000.0093615.5712.7611000.00
a = 1.0 0.75000.0093615.6092.7271000.00
a = 2.0 0.75000.0093415.7012.7051000.00
Table 11. Optimized cruise performance.
Table 11. Optimized cruise performance.
CasesCruise Lift CoefficientCruise Drag CoefficientCruise SpeedTurn Lift CoefficientTurn Drag CoefficientTurn SpeedDistancePoints
[m/s] [m/s][m]
original0.23430.0066227.7020.50860.0070626.4983254.6999.88
a = 0.5 0.23830.0065727.7060.52290.0072226.3933248.8999.08
a = 1.0 0.23930.0065627.6980.53000.0073526.3213244.8996.85
a = 2.0 0.24280.0067227.6580.53460.0072926.3183241.8995.94
Disclaimer/Publisher’s Note: The statements, opinions and data contained in all publications are solely those of the individual author(s) and contributor(s) and not of MDPI and/or the editor(s). MDPI and/or the editor(s) disclaim responsibility for any injury to people or property resulting from any ideas, methods, instructions or products referred to in the content.

Share and Cite

MDPI and ACS Style

Pangas, G.F.S.; Gamboa, P.V. Low-Speed Airfoil Optimization for Improved Off-Design Performance. Aerospace 2025, 12, 685. https://doi.org/10.3390/aerospace12080685

AMA Style

Pangas GFS, Gamboa PV. Low-Speed Airfoil Optimization for Improved Off-Design Performance. Aerospace. 2025; 12(8):685. https://doi.org/10.3390/aerospace12080685

Chicago/Turabian Style

Pangas, Guilherme F. S., and Pedro V. Gamboa. 2025. "Low-Speed Airfoil Optimization for Improved Off-Design Performance" Aerospace 12, no. 8: 685. https://doi.org/10.3390/aerospace12080685

APA Style

Pangas, G. F. S., & Gamboa, P. V. (2025). Low-Speed Airfoil Optimization for Improved Off-Design Performance. Aerospace, 12(8), 685. https://doi.org/10.3390/aerospace12080685

Note that from the first issue of 2016, this journal uses article numbers instead of page numbers. See further details here.

Article Metrics

Back to TopTop