You are currently viewing a new version of our website. To view the old version click .
Aerospace
  • Article
  • Open Access

21 July 2025

Experimental Acoustic Investigation of Rotor Noise Directivity and Decay in Multiple Configurations

,
,
and
1
Italian Aerospace Research Center (CIRA), 81043 Capua, Italy
2
Department of Industrial Engineering, University of Naples “Federico II”, 80134 Naples, Italy
*
Author to whom correspondence should be addressed.
These authors contributed equally to this work.
This article belongs to the Special Issue New Developments in Aeroacoustics Research: From Fundamentals to Applications

Abstract

In the framework of the MATIM project, an acoustic test campaign was conducted on a platform derived from a commercial-class quadcopter within the CIRA semi-anechoic chamber. A dedicated rotor rig allowed systematic measurements of thrust, torque, and shaft speed together with near- and far-field noise using ten calibrated 1/2-inch precision microphones. Three configurations were examined: an isolated rotor, the same rotor mounted on an aluminium quadcopter plate, and the full four-rotor assembly. The resulting data set, acquired over 3000–8000 rpm, documents the azimuthal directivity and radial decay of tonal and broadband noise while separating motor, propeller, and installation contributions. Analysis shows that a nearby rigid plate scatters part of the sound field towards frontal and oblique observers and produces a shielding effect in the rotor plane. The combined operation of four rotors further redistributes energy and broadens blade-passing frequency harmonics. The database is intended as a benchmark for aeroacoustics codes and for the development of reduced-order models.

1. Introduction

The rapid proliferation of propeller-driven unmanned aerial vehicles (UAVs) for civil and urban air mobility missions has raised significant concerns about their acoustic impact, particularly in noise-sensitive environments. A UAV’s acoustic signature is governed by intrinsic rotor mechanisms, such as steady and unsteady aerodynamic loading, blade-vortex interaction, and tip-vortex turbulence [1] (illustrated in Figure 1), and by installation effects, which arise when the propeller operates within the disturbed flow generated by nearby structures, neighbouring rotors, or other non-uniform inflow features [2]. Even modest proximity between a rotor and an airframe element can transform a spectrum dominated by rotor self-noise into one in which interaction tones prevail, with amplitudes and directivity strongly dependent on blade count, rotor-structure separation, and tip Mach number [3,4,5,6].
Figure 1. Theoretical noise patterns for a two-blade propeller [1].
Extensive laboratory investigations have clarified the acoustic consequences of propeller installation. Anechoic chamber tests in which simple airframe elements were introduced into the slipstream of a hovering rotor revealed strongly directional blade pass frequency (BPF) tones that decay rapidly with rotor–airframe spacing. The directivity depends on the element’s cross-section and phasing, while the broadband content remains essentially unchanged [7]. Aeroacoustic wind tunnel experiments with a propeller translating above a semi-infinite flat plate showed that trailing-edge shielding and scattering can reshape the acoustic field, specifically, BPF tones are markedly attenuated in the shadow zone yet amplified in the reflection region, underscoring rotor placement as a key design lever [8]. A broader series of rotor–airframe campaigns confirmed that modest changes in airframe geometry, rotor separation, or tip Mach number can shift dominance from rotor-alone radiation to interaction-driven tones or shielding-induced attenuation [9]. Large scale studies support these laboratory observations. Within the Bürgernahes Flugzeug project, a propeller positioned upstream of a Coanda high-lift wing generated sub-BPF tones, flap-edge broadband noise, and pronounced slipstream/Coanda-flap interactions that varied with rpm, blade pitch, and angle of attack [10]. Full scale turboprop and open rotor measurements on the C-130 and in the German–Dutch Wind Tunnel (DNW) likewise recorded increases in front rotor BPF when wing up-wash or pylon proximity disturbed the inflow [11,12]. At UAV scales, even minor geometric changes in rotor design can appreciably alter tonal levels and overall sound pressure levels [13]. More complex layouts have also been examined. Tandem propellers exhibit interference effects that significantly modify directivity and spectra [14], whereas hover tests on twin rotor rigs reveal strong mutual interaction tones and asymmetric patterns driven by aerodynamic coupling [15]. Medium fidelity wind tunnel tests of distributed propulsion demonstrators corroborate the importance of installation effects and rotor–rotor interactions [16]. Investigations of small contra-rotating coaxial rotors uncover intricate interference patterns and distinctive spectral features tied to BPF harmonics [17,18]. Finally, experiments placing propellers near supporting struts demonstrate that proximity to structural elements further alters the noise signature [19].
Parallel numerical investigations have provided complementary understanding and predictive capability. Hybrid simulations that couple computational fluid dynamics (CFD) with a Ffowcs Williams–Hawkings (FW–H) solver reproduce the measured rotor–airframe interaction spectra with good fidelity [7]. Lattice-Boltzmann (LBM) calculations combined with FW–H acoustic analogy further demonstrate that rotor–airframe coupling is highly sensitive to geometric details and spacing. A conical fairing, for example, amplifies in-plane BPF harmonics and accelerates wake dissipation compared with a cylindrical fairing, whereas increasing tip clearance reduces post second BPF sound pressure levels by roughly 50% while simultaneously easing airframe loading [20]. Higher fidelity overset mesh simulations executed in OpenFOAM extend these findings to multirotor configurations, showing that complex rotor–rotor and rotor–fuselage interactions alter the unsteady vortical structures and airloads, generate pronounced thrust fluctuations, and excite higher order harmonics that may drive structural fatigue concerns [21]. Momentum source methods applied to rotor–body interference in forward flight offer a computationally efficient alternative, accurately capturing the interacting flow physics without explicit wake modelling [22]. Finally, full aircraft simulations with the HMB3 solver reveal significant acoustic differences between co- and counter-rotating propeller installations, providing further evidence that synchrophasing strategies can reduce cabin sound levels [23].
Although the literature emphasises the dominant role of installation effects, systematic side-by-side measurements that isolate their influence on small scale UAV propellers remain scarce. The present study addresses this gap through a controlled acoustic campaign in which an isolated propeller is benchmarked against the same propeller mounted on representative drone struts under identical steady operating conditions and a quadcopter configuration. A high precision microphone array system is deployed to quantify installation-induced effects in both tonal and broadband noise, map the corresponding spatial redistribution of acoustic energy, and assemble a rigorously documented data set for validating high-fidelity numerical models.

2. Experimental Setup and Data Reduction

The experimental campaign presented in this study was conceived to characterise the acoustic signatures of three propeller configurations across rotor speeds of 3000–8000 rpm, assemble a high fidelity noise database for validating numerical models, and analyse the coupled aerodynamic–acoustic interactions between the propellers and the supporting quadrotor plate. For all tests, the stock motors and propellers of the Intel Aero Ready-to-Fly Drone [24] were installed on purpose-built rotor rigs tailored to each configuration and operated in the Italian Aerospace Research Centre’s semi-anechoic chamber [15]. The chamber, with a 90 Hz cut-off frequency, measures 5.65 m × 4.45 m × 4.00 m. The resulting experimental arrangement is shown in Figure 2.
Figure 2. Illustration of an experimental setup in the CIRA semi-anechoic chamber.

2.1. Rotor Rigs

To isolate and quantify the role of installation on rotor noise, three configurations were tested:
  • Isolated propeller, with a single rotor mounted on a thrust–torque stand (Figure 3a);
    Figure 3. Test case configurations used to assess isolated, semi-installed, and fully installed rotor acoustics. (a) Isolated propeller. (b) Single rotor mounted on quadcopter plate. (c) Full four-rotor quadcopter.
  • Plate-mounted propeller, in which the same rotor is fixed to one corner of an aluminium quadcopter plate (Figure 3b);
  • Full quadcopter, with all four rotors installed on the plate in their nominal flight geometry (Figure 3c).
For the isolated propeller configuration, additional measurements were performed to assess the effects of blade manufacturing variability and rotation direction. Two nominally identical blade pairs were examined in both clockwise (CW) and counter-clockwise (CCW) rotation, thus encompassing the complete set of four blades provided with the Intel Aero Ready-to-Fly Drone. Throughout the paper, the blades that co-rotate (fore and aft of the same rotational sense) are labelled Type-1 and Type-2. These labels are retained when the rotation sense is reversed. A Type-1 and Type-2 comparison therefore isolates geometric variability introduced by automated manufacture and provides a repeatability check, whereas comparisons at fixed blade type provide a focus on the effect of rotation sense. Finally, motor measurements were carried out for both the isolated propeller and quadcopter configurations by operating the electric motor(s) in the absence of propeller(s).
All rigs employed the brushless DC motors and two-blade propellers originally fitted on the Intel Aero Ready-to-Fly Drone, whose airframe and propeller geometries were captured by laser scanning and subsequently digitized. The resulting component models guided the assembling and fabrication of two custom rigs:
  • Isolated rotor stand: a TYTO ROBOTICS 1585 Thrust Stand, which features dedicated control system and data logger. Two sets of load cells integrated within the stand allow for both thrust and torque measurements. The manufacturer’s data sheet rates the load cells for thrust values of up to ≃ ± 49 N with a precision of 0.5 % and for torque values of up to 2 Nm with a precision of 0.5 % , both with a sampling rate of up to 80 Hz. The thrust/torque stand is also fitted with a dedicated circuit board and software able to acquire the motor’s angular velocity as well as the aerodynamic loads from the load cells;
  • Plate-mounted rig: a 6 mm alluminum plate has been shaped to host the four motors, a six-component load cell, and four optical sensors to independently measure each motor’s angular velocity. The chosen six-component load cell is the ATI Mini40, placed underneath the aluminium plate. The manufacturer’s data sheet rates the load cells for the following full-scale force values: F z = ± 120 N, F x = F y = ± 40 N, M x = M y = M z = ± 2 Nm, with a 1 % full-scale error and a sampling rate of 1 kHz. The chosen optical sensors are the KY-033 from AZDelivery and are deployed by means of an oscilloscope, which is remotely controlled and enables direct acquisition on a personal computer. In order to independently set each motor’s angular velocity, an in-house control software was developed to override the integrated drone flight controller. The control software has been developed for an Arduino Uno R3 control board, which is directly connected to four electronic speed controllers, used to operate the motors.
Figure 4 details the extracted propeller geometry, showing the blade twist and chord distributions, alongside the airfoil profiles at different radial stations.
Figure 4. A summary of the geometrical characteristics of the Yuneec rotor fitted on the target device. (a) Chord c and twist θ distributions. (b) Airfoils fitted on the rotor.

2.2. Acoustic Equipment

Acoustic measurements were conducted using a comprehensive system that integrates data acquisition hardware, precision microphones, signal conditioning components, and calibration tools. The setup comprised a personal computer interfaced with two IMC C-SERIES analyzers: the PL3 provided six channels, while the PL2 contributed an additional four channels, with both devices sampling synchronously at 50 kHz per channel. Acoustic signal acquisition was achieved using a set of precision pre-polarized condenser microphones coupled with dedicated preamplifiers. Specifically, eight PCB model 377B11 microphones, which feature a pressure-field response, and two PCB model 377B02 microphones, designed for free-field operation, were deployed. To ensure free-field measurement conditions, the PCB 377B11 microphones were oriented at 90° to the direction of the sound source, while the PCB 377B02 units were directly aimed at the noise source. Each microphone has a nominal 1/2-inch diameter and a typical sensitivity of 50 mV/Pa, with the 377B11 units covering a frequency range of 3.15 to 10,000 Hz (±2 dB) and a dynamic range of 146 dB re 20 µPa, and the 377B02 units spanning 3.15 to 20,000 Hz (±2 dB) with a dynamic range of 147 dB re 20 µPa. Both models operate reliably over a wide temperature range (from –40 °C up to +120 °C). Prior to measurements, each microphone was calibrated using a PCB model CAL250 acoustic calibrator that provides a 250 Hz output at 114 dB re 20 µPa (±0.2 dB) with distortion below 2%. Windscreens were employed on each microphone to mitigate wind-induced noise from high-speed airflow.
To preserve signal integrity over long cable runs and extend the measurable frequency range, 10 microphone preamplifiers (PCB model 426A30) equipped with 7 pin LEMO connectors were used. These preamplifiers, which produce an output voltage of 28 V and function over a temperature range of –40 to +85 °C, were supplied by 10 preamplifier power supplies (Larson Davis model 2221). These supplies offer selectable polarization settings (0 and 200 V) and weighting options (A, C, or Z), with a frequency response (Z-weighted) from 10 Hz to 100 kHz (±0.2 dB) and 1 Hz to 150 kHz at –3 dB. They also provide selectable gain in 10 dB steps (ranging from 0 to 40 dB), ensuring robust performance in diverse measurement scenarios. Complementing the core acoustic equipment, the experimental setup included 10 microphone stands, 10 units of 3-meter 7 Pin LEMO to 7 Pin LEMO cables, 3 LAN cables and 10 units of 3-meter coaxial BNC to BNC cables to secure connectivity. Figure 5 is a sketch of the experimental apparatus schematic diagram.
Figure 5. Schematic diagram of the acoustic experimental apparatus.

2.3. Acoustic Measurements and Data Processing

Two measurement configurations were employed during the acoustic test campaign to fully characterize propeller noise under varied operating conditions. In the first configuration, noise directivity was assessed in a plane parallel to the rotor’s axis of rotation. An array of ten 1/2-inch microphones was arranged along a circular arc at a fixed elevation of 1300 mm, aligned with the propeller hub for the isolated rotor tests and with the quadrotor plate centre for the remaining test cases. The array radius was set to eight propeller diameters (1840 mm) from the hub or plate centre. To resolve spatial variations in noise emission, two azimuthal angles were used: microphones in the wake region (aft of the propeller plane) were spaced at 30° intervals, while those ahead of the propeller plane were spaced at 45° intervals. A schematic of this setup is shown in Figure 6.
Figure 6. Experimental setup aimed to investigate noise directivity (setup #1).
The second configuration was employed to quantify the radial decay of noise intensity. The same array of ten 1/2-inch microphones was re-arranged within the rotor plane, maintaining a fixed elevation of 1300 mm as in the first setup. Eight microphones were evenly spaced along a radial line at 200 mm intervals, starting 200 mm from the propeller hub and extending to 1600 mm. To characterize the noise field at greater distances, the remaining two microphones were located at 2000 mm and 2400 mm from the hub, respectively. A schematic of this microphone layout is presented in Figure 7.
Figure 7. Experimental setup aimed to investigate the radial decay of noise (setup #2).
Acoustic data were recorded at a 50 kHz sampling rate over 30 seconds. Spectral analysis employed Welch’s method [25] with a Hanning window. Specifically, the pressure time histories were subdivided into 90 segments with 50% overlap. The resulting segment power spectral densities (PSDs) were averaged to produce a frequency resolution of Δ f = 3 Hz. This spectral resolution was chosen because the four motors in the quadrotor configuration operate at slightly different shaft speeds, causing the BPF tone to split into several closely spaced lines. At 3 Hz these lines coalesce into a single, unambiguous peak, enabling consistent peak identification across both single- and multi-propeller measurements. Radiated noise levels are expressed as sound pressure level (SPL) and overall SPL (OASPL). The SPL is calculated according to Equation (1), while the OASPL is obtained by integrating the PSD across frequency, as given in Equation (2).
S P L = 10 log 10 P S D Δ f p ref 2
O A S P L = 10 log 10 f 1 f 2 P S D d f p ref 2
In this context, p r e f denotes the reference pressure (20 µPa), and the integration bounds f 1 and f 2 are chosen as 90 Hz (cut-off frequency of the chamber) and 20 kHz, respectively, thus confining the analysis to the audible range and excluding room-reflected energy below 90 Hz.

3. Results

3.1. Aerodynamic Results

To provide input for aeroacoustic simulations and facilitate comparative analyses, Figure 8 presents the measured thrust and power curve of the Yuneec propeller mounted on the Intel Aero Ready to Fly Drone electric motors. Thrust and power are plotted against angular velocity for the isolated rotor. The plots feature the experimental data points (displayed with round hollow markers) as well as second- and fourth-order interpolating curves for thrust and power data, respectively. In addition, every plot features an additional subplot positioned in the top left corner displaying the interpolation error for the plotted angular velocity range: for both plots, the interpolation error is negligible, proving that the characterisation curves follow the expected theoretical behaviour for a rotary wing, which prescribes a second- and fourth-order polynomial for the thrust and power distributions plotted against angular velocity.
Figure 8. Aerodynamic characterization of the isolated Yuneec propeller. Thrust T (a) and power P (b) are plotted against angular velocity ω .

3.2. Aeroacoustic Results

This subsection presents and discusses the acoustic measurements obtained for the three propeller configurations and the two experimental setups introduced earlier (with setup #2 applied exclusively to the isolated rotor test case).

3.2.1. Isolated Propeller

Figure 9 presents the noise spectra obtained from ten microphones deployed at various azimuth angles around a full 360° circle (refer to Figure 6). The data represent the acoustic emissions from an isolated propeller operating at 8000 rpm, rotating counter-clockwise (CCW) with a two-blade configuration (Type-1). The sound pressure level (SPL) spectra are provided without any weighting functions to accurately represent the raw acoustic energy distribution across frequencies and to explain the underlying noise generation mechanisms.
Figure 9. Noise spectra from ten microphones positioned around an isolated rotor equipped with a Type-1 propeller, rotating CCW at 8000 rpm.
A feature of the spectra is the distinct tonal peaks at integer multiples of the fundamental blade passing frequency (BPF). For a two-bladed rotor at 8000 rpm (approximately 133 rps), the BPF is calculated as 2 × 133 ≈ 266 Hz. The amplitude of the BPF and its harmonics varies among the microphones, which can be attributed to the directional characteristics of rotor noise. As discussed in the introduction, rotor noise typically exhibits pronounced directivity lobes at specific azimuth angles and elevations, depending by factors such as thickness and loading noise. The dominant tonal component corresponds to the fundamental BPF, with its harmonics reaching levels up to 30–50 dB above the broadband noise. In particular, the observed almost 20 dB difference between the first and second harmonics underscores the significant contribution of the fundamental BPF to the overall sound pressure level (OASPL). In addition to the tonal components, a broadband noise contribution is evident beneath and between the tonal peaks. This broadband noise, which spans the entire frequency range, is associated with turbulence-related mechanisms. It is also noteworthy that microphone 9 was positioned directly within the rotor’s downwash, exposing it to intense, large-scale turbulent structures that amplified the low-frequency broadband noise. Furthermore, additional tones appear in the spectra that cannot be directly attributed to rotor noise (for example, the tone at 133 Hz and the peak at 200 Hz), necessitating a deeper investigation. This analysis involved recording noise with the rotor decoupled and comparing the results to those obtained under loaded conditions at a fixed rpm. Specifically, Figure 10 presents a comparative analysis of the narrowband noise spectra for the isolated rotor and the isolated electric motor operating at the maximum tested speed of 8000 rpm, as measured by microphone 1 (refer to setup #1 in Figure 6).
Figure 10. Comparison between propeller (Type-1 and CCW) noise and electric motor noise at 8000 rpm.
Further analysis reveals that the electric motor itself emits tonal noise [26], a phenomenon that becomes more pronounced when the motor is coupled with the rotor. This increase in noise levels is attributed to an enhanced stator magnetic flux density resulting from higher current draw under loads. As illustrated in Figure 11, the motor’s noise spectrum exhibits a distinct peak corresponding to its rotational speed, calculated as f m o t = ω m o t / 2 π . At 8000 rpm, this fundamental frequency is approximately 133 Hz. Moreover, spectral analysis revealed prominent peaks at integer multiples of the supply current’s fundamental line frequency, expressed as f l = f m o t N , where N represents the number of pole pairs. These peaks arise from the combined effects of the rotor and stator magnetic fields. For the tested 7-pole motor operating at 133 Hz, one of the resulting electromagnetic frequencies was observed at approx. 1870 Hz [26]. In addition, the data indicate the presence of dynamic rotor eccentricity, as evidenced by frequency side lobes at offsets of ± q f m o t (q is an integer) from the electromagnetic frequency. In this test case, a side lobe at 1737 Hz (i.e., 1870 Hz–133 Hz) was detected. Finally, tests conducted at 7000 rpm revealed that while some spectral peaks shift in frequency with motor speed, others remain nearly fixed, suggesting that the invariant peaks are likely associated with structural resonances f s within the motor and its mounting system.
Figure 11. Comparison of electric motor noise spectra at 7000 and 8000 rpm.
Figure 12 and Figure 13 present the resulting overall sound pressure levels (OASPL). The rotor axis is aligned along the 180°–0° direction, with the wake pointing towards 0°. Two experimental constraints must be considered when interpreting these data. First, the ground was treated as an acoustically rigid surface, so local reflections could either reinforce or attenuate the radiated sound, thereby altering the apparent directivity. Second, there is a small but significant mounting asymmetry: although the rotor hub is centred, the pylon supporting the isolated propeller is offset to the left side of the array (the 0°–180° hemisphere), roughly in line with the 30° microphone. That lateral offset produces additional shading behind the propeller and contributes to the left-right level differences observed in the OASPL profiles. As discussed in the preceding section, the OASPL was obtained by integrating the acoustic spectrum from 90 Hz to 20 kHz. Because microphone 9 lies within the propeller wake, it registers substantial low-frequency energy (Figure 9), making its OASPL highly sensitive to the lower integration bound. Its data were therefore omitted from the OASPL plots, although the measurement is retained in the tonal directivity figures since BPF and its harmonics rise distinctly above the broadband noise. Moreover, although electric motor noise is not the focus of this study, at every rotational speed and microphone position, the fundamental motor tone remains at least 20 dB below the BPF (Figure 10). Therefore, even though this component was retained in the OASPL calculation, it does weakly raise the overall level by no more than 0.004 dB.
Figure 12. OASPL pattern in the side plane for a single rotor equipped with two different types of propellers, rotating CCW at various speeds.
Figure 13. OASPL pattern in the side plane for a single rotor equipped with a two different types of propeller, rotating CW at various speeds.
A comparative evaluation of the azimuthal OASPL distributions obtained with the Type-1 and Type-2 propellers indicates negligible spatial variability over the full rotational speed range considered. Across 3000–8000 rpm, the mean absolute level difference recorded by the ten-microphone array remained below 0.6 dB, with a standard deviation (SD) under 0.5 dB, except at 5000 rpm, where the mean difference reached roughly 2 dB and the SD 0.8 dB. Such minor discrepancies almost certainly fall within the combined experimental uncertainty rather than reflecting systematic geometric differences between the blade sets. However, the close agreement between data acquired in separate, independent test sessions can be regarded as a confirmation of the repeatability and overall fidelity of the measurements. Further experiments performed with opposite senses of rotation (CW versus CCW) reveal far larger azimuthal variations than those observed when only the blade was changed. Over the low-moderate speed range (3000–5000 rpm), the mean absolute OASPL difference among the ten microphones already reaches 1 dB. At higher rotational rates, the disparity increases sharply: about 3 dB at 6000 rpm and 3–4 dB in the 7000–8000 rpm range. The associated standard deviation grows from roughly 1 dB at the lowest speed to nearly 4 dB at 7000 rpm, highlighting the substantial microphone-to-microphone scatter induced by the change in rotation sense. The directivity patterns clarify the origin of this behaviour. The support pylon lies directly on the acoustic line of sight of microphone 10, producing shielding and a corresponding level reduction relative to its mirrored counterpart, namely microphone 8. Comparable shielding has been reported in the literature, where a short barrier positioned near an open rotor produced up to 8.5 dB of attenuation at certain directivity angles [9]. In the present tests, this effect is most pronounced for clockwise rotation, whereas, when the rotor spins counter-clockwise, the attenuation at the same azimuth is markedly smaller, presumably because the ground reflection path is altered differently for the two senses of rotation. Overall, these findings demonstrate that rotation sense can dominate the apparent non-uniformity of the acoustic field whenever structural or environmental asymmetries are present. The observed deviations, which reach up to 4 dB, exceed the experimental uncertainty by a wide margin, confirming that the effect is physical rather than a measurement artefact.
An additional analysis was carried out on the SPL evaluated exactly at the BPF harmonic for the same isolated rotor, equipped with either the Type-1 or the Type-2 propeller and operated in both CCW and CW directions. For each measurement, the peak value was extracted automatically by searching for the maximum within a ±5 Hz window centred on the theoretical harmonic frequency computed from the measured rotational speed. The fundamental BPF harmonics are then plotted as functions of azimuth, and the resulting polar diagrams for the full range of tested speeds are presented in Figure 14 and Figure 15.
Figure 14. First BPF harmonic pattern in the side plane for a single rotor equipped with two different types of propellers, rotating CCW at various speeds.
Figure 15. First BPF harmonic pattern in the side plane for a single rotor equipped with two different types of propellers, rotating CW at various speeds.
Across the entire operating envelope, the SPL of the first BPF harmonic increases monotonically with rotational speed, rising from approximately 30 dB at 3000 rpm to 70 dB at 8000 rpm. Since the blade tip Mach number never exceeds 0.3, this growth can be attributed almost exclusively to the loading noise component [27]. The measured directivity patterns, however, depart markedly from the ideal distribution predicted by classical isolated propeller theory. Although a local minimum persists aft of the disc, sound levels remain elevated over much of the circumference, and the dips are far less pronounced than theory anticipates. Ongoing numerical simulations of the same configuration indicate that reflections from the chamber floor redirect tonal energy into directions that should otherwise be relatively quiet, most notably at 0° and 180°. Further distortion is plausibly introduced by aerodynamic and acoustic interactions with the test rig, interference lobe formation, and other secondary effects. The absolute maxima occur near 60° and 300° and become increasingly pronounced with rising rotational speed, behaviour consistent with the growing contribution of loading noise. When the sense of rotation is fixed, the two blade sets yield almost identical polar contours, confirming measurement repeatability and implying that installation asymmetries govern the first BPF harmonic pattern. The attenuation observed at 90° at 7000 rpm is likewise attributed to combined aerodynamic and acoustic installation effects, particularly the support pylon and reflective floor. A comprehensive numerical investigation is planned to isolate these mechanisms and quantify their relative importance.
Equivalent analyses for the second BPF harmonic are provided in Figure 16 and Figure 17.
Figure 16. Second BPF harmonic pattern in the side plane for a single rotor equipped with two different types of propellers, rotating CCW at various speeds.
Figure 17. Second BPF harmonic pattern in the side plane for a single rotor equipped with two different types of propellers, rotating CW at various speeds.
The trends broadly echo those found at the fundamental tone but with systematically lower absolute levels and a different angular signature. Between 3000 and 8000 rpm, the SPL rises from approx. 25 dB to a maximum of 50 dB. The roughly 20 dB offset relative to the first harmonic reflects the rapid roll-off with harmonic order that is predicted by theory.
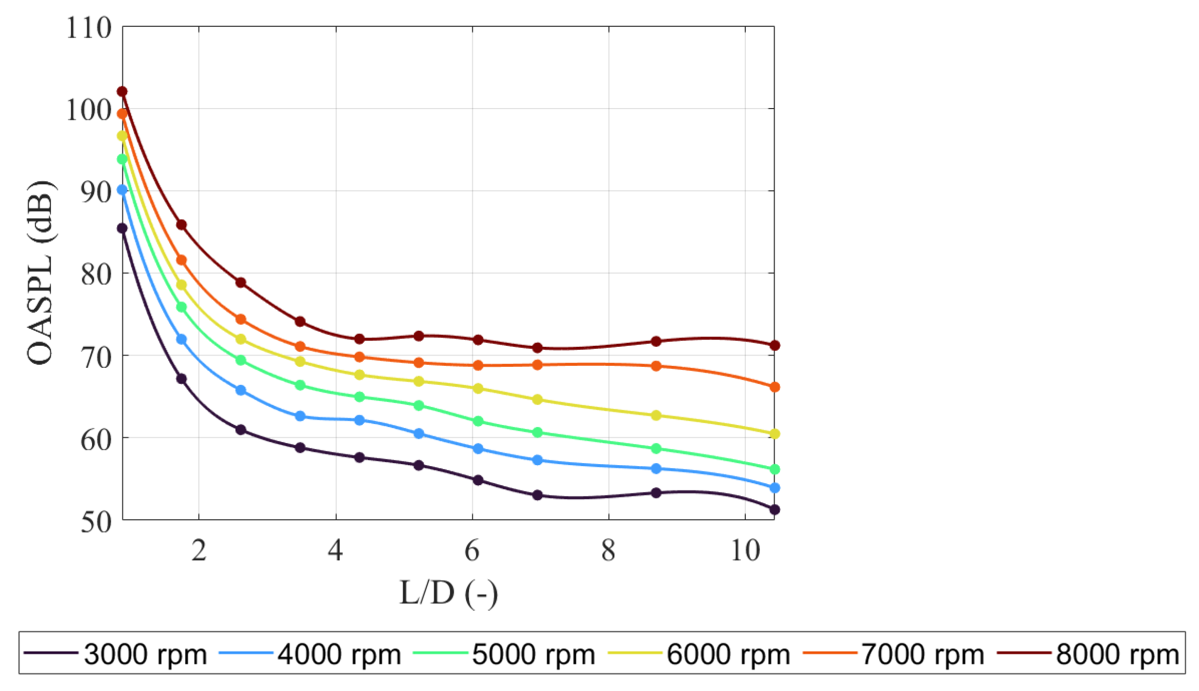
A supplementary measurement campaign was performed to determine how the acoustic signature of the isolated rotor decays with distance at various rotational speeds. In the second arrangement (Figure 7), ten microphones were aligned in the plane of rotation, at hub height, covering the line from 90° to 270° with respect to the original array (Figure 6). The line of sensors started in the immediate vicinity of the blade tip (<0.1 m from the tip) and ended 2.40 m from the hub, i.e., from L/D approx. 0.9 to L/D approx. 10.4. This layout captured both the near field and the far field simultaneously. At the maximum fundamental BPF (approx. 270 Hz, corresponding to 8000 rpm), the microphones, windscreens, and support stands are acoustically compact relative to the wavelength and therefore introduce negligible shadowing. The array may thus be regarded as transparent at this tone, so the measured levels accurately represent the propeller’s radiated sound. Aerodynamic interference is likewise improbable since all sensors are located in the rotor plane, and the closest element is 0.5 D from the blade tip. Although the equipment may begin to scatter energy at frequencies of several kilohertz and above, the resulting sound pressure levels are orders of magnitude lower than those at the first BPF; thus, these interferences can be confidently neglected in the OASPL analysis. The data are presented in terms of OASPL. Specifically, Figure 18 illustrates the variation of OASPL as a function of the L / D ratio, where L denotes the distance from the rotor hub to the microphone and D represents the rotor diameter (230 mm). Complementary results for the tonal components are provided in Figure 19, which plots the peak SPL of the first two BPF harmonics as functions of the same L / D ratio.
Figure 18. OASPL decay law for a single rotor equipped with a Type-2 propeller, rotating CW at various speeds.
Figure 19. BPF harmonics SPL decay law for a single rotor equipped with a Type-2 propeller, rotating CW at various speeds.
In proximity to the rotor tip, the OASPL ranges from approximately 85 dB at 3000 rpm to 102 dB at 8000 rpm. At a distance of L / D = 10 , the OASPL falls to between 51 dB and 71 dB, corresponding to a net attenuation exceeding 30 dB. Throughout the measurement domain, the vertical separation between OASPL curves for consecutive rotor speeds remains consistently in the range of 3-4 dB per 1000 rpm (mean across all locations). The decay behaviour changes with distance. For L < 2 D , the level falls by about 17 dB per distance doubling, indicating that the field is still dominated by the reactive component. Beyond L = 3 D , however, the measurements adhere closely to the far-field decay law, exhibiting a reduction on the order of 6 dB per distance doubling. Specifically, the observed mean attenuation across all tested rotational speeds is marginally less than 6 dB, consistent with the influence of ground reflections. Superimposed on this trend, pronounced oscillations appear, most evident at 7000 and 8000 rpm. These fluctuations originate from constructive and destructive interference between the direct acoustic wave and its ground-reflected counterpart, yielding frequency- and range-dependent local sound pressure minima and maxima [28]. The quasi-constant OASPL observed at certain distances and frequencies is not yet understood and warrants further investigation.
For the first BPF harmonic, the SPL measured immediately adjacent to the rotor tip increases from approximately 83 dB at 3000 rpm to nearly 100 dB at 8000 rpm. Moving downstream, the level falls off sharply: at approx. L / D = 10 , it reaches about 34 dB at 3000 rpm and 69 dB at 8000 rpm, corresponding to overall attenuations of roughly 49 dB and 31 dB, respectively. At any fixed L / D , a 1000 rpm increase in speed raises the first BPF level between 3 and 8 dB. In the near field ( L < 2 D ), the decay rate is steep, approximately 17 dB per doubling of distance. Beyond roughly L = 3 D , however, the decay relaxes to nearly the far-field value of 6 dB per doubling, although slightly elevated (between 6 and 8 dB). Superimposed on this smooth roll-off are ripples and occasional plateaus, mirroring those seen in the OASPL. The second harmonic exhibits the same overall trends, with lower absolute levels. Near the propeller, the second BPF SPL ranges from about 74 dB at 3000 rpm up to 90 dB at 8000 rpm. At L / D = 10 , it has dropped to approximately 24 dB and 51 dB. Each 1000 rpm produces between a 4 and 6 dB increase in the level. The levels decay from roughly 28 dB per doubling in the near field to about 6 dB per doubling in the far field, and the same interferences appear, especially at higher speeds.

3.2.2. Comparison of Isolated, Plate-Mounted, and Quadcopter Rotor Configurations

To investigate the influence of the mounting structure on rotor acoustics and to examine how acoustic waves interact with a supporting plate, a single rotor was first mounted on an aluminium plate that replicates the mounting surface of the Intel Aero Ready-to-Fly Drone. The arrangement is shown in Figure 20, which provides a photograph of the full quadcopter. Only the plate and the operative rotor (highlighted by the red circle) were used in the present tests. In this setup, the rotor is positioned at the bottom-right corner of the plate, whereas the microphones are aligned with the plate’s geometric centre, thereby establishing a symmetric test rig in contrast with the asymmetric isolated rotor configuration described earlier. All tests were conducted at the same rotational speeds as before. For comparison, a second configuration employed the quadcopter, with all four rotors mounted on the same aluminium plate (Figure 20) and driven at the same shaft speeds for each of the rpm settings investigated, except at the top setting, where the drive system imposed a ceiling limit of 7900 rpm instead of the targeted 8000 rpm. In practice, however, the four propellers were not phase-locked, and their instantaneous rotational speeds differed slightly. Over the 30 s acquisition window, the relative phase relationships therefore swept through many values, so the measured spectrum represents a time average over all phase alignments.
Figure 20. Quadcopter setup, with the red circle indicating the propeller used in the “quadcopter with single propeller” configuration.
Figure 21 presents the unweighted SPL spectra measured by ten-microphones distributed over the full 360° azimuth for the three analysed configurations at 7000 rpm. The first configuration features an isolated two-blade rotor, represented by the orange curve. The second configuration involves the same rotor mounted on an aluminium plate in a quadcopter geometry, depicted in blue. Finally, the entire quadcopter assembly, comprising all four rotors and their supporting structure, is shown in yellow.
Figure 21. Noise spectra measured by the ten microphone array (setup #1) with rotor(s) operating at 7000 rpm.
In all cases, BPF harmonics appear at their expected theoretical positions; however, their sharpness and the surrounding broadband level vary with the extent of aerodynamic and acoustic interaction. In the quadcopter configuration, the elevated low-frequency levels recorded by microphone 9, similar to those observed in the isolated rotor tests, can be attributed to wake-induced turbulence. The BPF harmonics do not manifest as the sharp spectral lines characteristic of a single propeller; instead, they coalesce into broadened clusters. This broadening occurs since the four rotors operate at slightly different speeds, and the subsequent Welch method averaging causes the individual peaks to merge. These harmonics remain observable into the mid-frequency band, although with diminished amplitude, while above a few kilohertz the spectrum exhibits a gradual roll-off accompanied by elevated broadband energy, reflecting additional noise generated by rotor–rotor wake interactions and airframe-induced turbulence. When the rotor is tested in complete isolation, each BPF harmonic is sharply resolved beyond 10 kHz, and the broadband component remains low, confirming the absence of reflective or interacting surfaces. Mounting the same rotor on the support plate yields an intermediate response; specifically, the BPF harmonics generally intensify relative to the isolated case, and the broadband level increases from about 2 kHz upward, effects that can be ascribed to interaction with the plate. While microphones near the rotor plane consistently exhibit a reduction in broadband energy up to roughly 1–2 kHz.
For completeness, Figure 22 presents the narrowband SPL spectra measured for both the propeller-equipped rotors and the unloaded motors, each running at approximately 7000 rpm with all four rotors in operation. In the unloaded motors configuration, the acoustic signature is characterised by a modest broadband hump across the mid-frequency band, punctuated by discrete tonal components. Notably, at frequencies such as 117 Hz, the motors alone constitute the dominant source of SPL. Upon installation of the propellers, a pronounced series of tonal peaks emerges, the first of which corresponds to the BPF of roughly 234 Hz (two-blade propeller at 7000 rpm). These sharp harmonics are superimposed upon a substantially elevated broadband background, resulting in an overall increase of about 20–40 dB relative to the motor alone.
Figure 22. Noise spectra comparison of four propellers and four electric motors, each operating at 7000 rpm.
Previous investigations have shown that, in enclosed facilities, re-ingestion of the propeller wake can increase both tonal and broadband noise radiation [29,30,31]. To assess whether this mechanism could bias the present measurements, Figure 23 reports spectrograms recorded with microphone 2 for the isolated propeller and quadcopter configurations operating at their respective maximum rotational speeds (8000 rpm and 7900 rpm). In both cases, the BPF harmonics remain sharp and strictly horizontal for the entire 30 s record, and no progressive rise in broadband energy is detected. These observations rule out significant wake recirculation, a conclusion that is consistent with the test setup. The rotor plane is situated approximately 6 D above the floor and directs its flow parallel to it, while the nearest wall along the wake axis lies more than 12 D downstream. Under such clearances, the wake cannot close a recirculation loop before dispersing, and any associated acoustic contribution is therefore deemed negligible.
Figure 23. Spectrograms acquired with microphone 2 for the isolated propeller (8000 rpm) and the quadcopter (7900 rpm).
A more in-depth comparison is provided in Figure 24, which displays the OASPL measured over the full 360° azimuth for the configuration defined as setup #1 in Figure 6. Figure 25 and Figure 26 show the corresponding directivity patterns at the first and second BPF harmonics, respectively. The isolated rotor is plotted in dark purple, the same rotor mounted on the aluminium plate in green, and the quadcopter in brown. In each case, the downwash axis is defined at 0°. Measurements taken within the 0°–90° sector will not be analysed in order to avoid any potential misunderstandings that may arise from additional interference from the pylon, as observed during the isolated rotor test.
Figure 24. OASPL patterns in the side plane for the three tested configurations.
Figure 25. First BPF harmonic patterns in the side plane for the three tested configurations with rotor(s).
Figure 26. Second BPF harmonic patterns in the side plane for the three tested configurations with rotor(s).
Analysis of the polar directivity patterns for the single rotor mounted on the aluminium plate reveals a pronounced left (0°–180°) versus right (180°–360°) asymmetry in both the OASPL and the first two BPF harmonics, with the effect most marked at the fundamental tone. Although the microphone array is symmetrically arranged relative to the test rig, the rotor’s off-centre placement in the lower-right quadrant of the plate induces a directional bias. The largest deviation between mirrored microphones occurs consistently between the 60° and 330° positions, observed in both the OASPL and first BPF harmonic, a consequence of partial acoustic shielding by the plate edge and the misalignment of the rotor axis relative to the array centre. In particular, microphones at 210°–330° lie closer to the rotor than those at 30°–150°, amplifying the observed imbalance. The first harmonic of the BPF contour displays the strongest anisotropy, with a mean level difference of roughly 6.5 dB between mirrored left- and right-side microphones. At first glance, one might attribute this trough to simple geometric shadowing and/or the unequal distances between the off-centre rotor axis and the microphones. However, the 266.7 Hz tone observed at 8000 rpm corresponds to an acoustic wavelength of roughly 1.3 m, over three times the 0.36 m plate span, rendering classical blockage effects insufficient to account for the measured anisotropy. Likewise, under a far-field decay assumption, the minor path length difference would contribute only about 1.6 dB. Instead, the pronounced asymmetry may arise from near-field interactions, in which the rotor’s pressure field couples with the plate edge and ground surface, producing direction-dependent interference among direct, reflected, and scattered acoustic components and thus yielding the observed directivity pattern. By contrast, at the second BPF harmonic, the behaviour reverses. Only minor left-right asymmetries are observed, likely owing to slight differences in the radial distances of mirrored microphones from the rotor axis. Nonetheless, a large local discrepancy, approximately 10 dB between mirrored microphones, was observed within the rotor plane. When the entire spectrum is integrated to yield the OASPL, the fundamental’s left-right disparity is partially compensated by mid- to high-frequency scattered energy, reducing the mean level difference between mirrored microphones to approximately 2.3 dB.
The quadcopter OASPL patterns exhibit instead a dipole-like distribution at all speeds, gradually evolving into a slightly oblate shape as rpm increases, with elevated levels towards the wake (±30°) and minima along the rotor plane (90°and 270°). The OASPL rises steadily from approximately 60 dB at 3000 rpm to over 85 dB at 7900 rpm. At low rotational speeds, the first BPF harmonic also exhibits a dipole-like directivity, but as the rotor speed increases, its minimum shifts forward of the rotor plane, producing an oblate monopole pattern with enhanced radiation into the wake. Across the full 360° azimuth, its SPL variation remains below 9 dB. This behaviour, similar to that observed for the isolated propeller, likely arises from ground reflections that become more energetic as rotor loading grows, thereby smoothing the angular distribution at high rpm. By contrast, the second BPF harmonic maintains a pronounced dipole directivity, although at lower absolute levels, and progressively evolves towards a more omnidirectional pattern as rotor speed increases.
Compared with the isolated rotor case, the acoustic directivity of the single propeller changes markedly when it is mounted on the aluminium plate. In particular, OASPL measured at the frontal azimuth (approximately 180°) increases by 1.0–3.5 dB (mean +2.5 dB) relative to the isolated rotor baseline. A more pronounced enhancement of 1.5–6.5 dB (mean +3.5 dB) occurs near 135°, consistent with sound wave reflections from the plate, given the rotor’s offset position. Additional increases of approximately 2 dB are observed around 330° (and at 30°, although the latter cannot be unambiguously ascribed to the plate). Conversely, mounting the rotor on the plate produces acoustic shadows in the propeller plane, yielding a mean reduction of about 1 dB at 270°. In summary, installation on the aluminium plate amplifies axial emission lobes while introducing lateral acoustic shadowing. At the fundamental BPF, the directivity pattern exhibits two prominent maxima, specifically, a mean enhancement of roughly 4 dB centred at an azimuth of 225° and an average increase of about 8 dB within the wake sector. At the second harmonic, the acoustic field generated by a single rotor mounted on the plate assumes a dipole-like directivity that mirrors the quadrotor pattern, indicating that the mounting plate principally governs the second BPF radiation. Absolute levels are substantially higher than those of the isolated rotor and approach those measured for the quadcopter. This, introducing the remaining three rotors, only modestly amplifies this dipole, with the largest deviations confined to the rotor plane.
Finally, to quantify the perceptually relevant acoustic changes induced by this plate interaction, Figure 27 presents the A-weighted OASPL polar patterns for the same three configurations across rotor speeds from 3000 rpm to 8000 rpm. By applying the A-weighting filter, which reduces the contributions of very low and very high frequencies in a manner roughly corresponding to the human ear’s sensitivity, these plots reveal how spectral reshaping influences the apparent loudness and directivity of the rotor noise.
Figure 27. A-OASPL patterns in the side plane for the three tested configurations with rotor(s).
On average across all tested rotational speeds, the A-weighted directivity of the plate-mounted propeller exceeds that of the isolated propeller configuration, with the sole exception of the rotor plane direction. In this orientation, the addition of the plate induces a slight reduction in A-weighted levels. Therefore, for equivalent acoustic source power, the presence of the plate generally elevates the perceived annoyance of the noise, except within the rotor plane, where the plate-mounted configuration resulted inm marginally quieter noise.

4. Conclusions

In the framework of the MATIM project, several tests were conducted in the CIRA semi-anechoic chamber with the specific aim of building a rigorously documented acoustic and aerodynamic database that can serve both as a reference for high-fidelity model validation and as a means of clarifying how a nearby mounting plate modifies rotor noise. Three configurations were investigated: an isolated two-blade rotor, the same rotor installed in one corner of an aluminium quadcopter plate, and the complete four-rotor assembly representative of a commercial small drone. For each case, we synchronously acquired thrust, torque, and shaft speed together with microphone data that resolved both overall sound pressure level and tonal components’ directivity up to the second blade passing frequency harmonic, while complementary measurements along the rotor plane quantified the spatial decay of the acoustic field from L / D 0.9 to 10.4 .
The isolated rotor tests established a repeatable baseline: changes in blade manufacturing tolerance altered azimuthal OASPL by less than 0.6 dB across 3000–8000 rpm, confirming the internal consistency of the setup. The radiated field at the first blade pass frequency retains a dipole-like signature, with maxima at 60° and 300° that strengthened with speed and a near-field decay of approximately 17 dB per distance doubling that relaxed to the classical 6 dB law beyond three diameters. Reversing the sense of rotation revealed that even modest geometric asymmetries, here the support pylon, can shift directivity by up to 4 dB.
Placing the same rotor on the quadcopter plate altered both level and pattern. Reflections from the rigid surface redirected energy towards frontal and oblique observers, raising OASPL by 1–6.5 dB between 135° and 330° and slightly attenuating the rotor–plane direction. At the fundamental BPF, the directivity pattern exhibits two prominent maxima: a mean enhancement of roughly 4 dB centred at an azimuth of 225°, and an average increase of about 8 dB within the wake sector. After A-weighting, the plate-mounted rotor remained perceptibly louder at nearly every angle, indicating that the interaction mainly amplifies mid-frequency content. When all four rotors were run simultaneously, the spectrum retained clear BPF signatures, but each line broadened. The OASPL climbed monotonically from 60 dB at 3000 rpm to more than 85 dB at 7900 rpm, and the side-plane pattern evolved towards an oblate dipole whose maximum lay about 30° and 330° downstream. Finally, at the second harmonic, a single rotor mounted on the plate produced a pattern that closely mirrors the quadrotor field, implying that the mounting plate plays a dominant role in second BPF radiation.
Taken together, these results demonstrate that the presence of a reflective structural element as simple as the quadcopter plate can raise perceived loudness by several decibels and reshape directivity lobes in ways that isolated-rotor data cannot predict. The comprehensive, repeatable data set produced here, therefore, provides an essential benchmark for validating codes and for developing reduced-order acoustic models.

Author Contributions

Conceptualization, F.D.G.; methodology, F.D.G., G.F. and G.L.; software, G.F. and G.L.; validation, G.F., G.L. and M.B.; formal analysis, G.F., M.B. and G.L.; investigation, G.F. and G.L.; resources, F.D.G. and M.B.; writing—original draft preparation, G.F. and G.L.; writing—review and editing, M.B.; supervision, F.D.G. and M.B.; project administration, F.D.G. All authors have read and agreed to the published version of the manuscript.

Funding

This research was funded by the national project MATIM (Maturazione Tecnologie Innovative Mini e Micro Droni), with grant PRORA (Programma Nazionale di Ricerche Aerospaziali) DM662.

Data Availability Statement

The raw data supporting the conclusions of this article will be made available by the authors on request.

Acknowledgments

This research was conducted within the framework of the MATIM project at the Italian Aerospace Research Centre (CIRA). The authors gratefully acknowledge the contributions of all personnel involved in the experimental campaign and in the preparation of the test rigs. This work was made possible thanks to the facilities and technical resources provided by CIRA.

Conflicts of Interest

The authors declare no conflicts of interest.

Abbreviations

The following abbreviations are used in this manuscript:
A-OASPLA-weighted Overall Sound Pressure Level
BPFBlade Passing Frequency
CCWCounter Clockwise
CFDComputational Fluid Dynamics
CIRAItalian Aerospace Research Centre
CWClockwise
DCDirect Current
DNWGerman–Dutch Wind Tunnel
dBDecibel
dBAA-weighted Decibel
FW–HFfowcs Williams–Hawkings
HzHertz
LBMLattice-Boltzmann Method
MATIMMaturation of Innovative Technologies for Mini-Micro Drones
OASPLOverall Sound Pressure Level
PSDPower Spectral Density
rpmRevolutions Per Minute
rpsRevolutions Per Second
SPLSound Pressure Level
SDStandard Deviation
UAVUnmanned Aerial Vehicle

References

  1. Marte, J.E.; Kurtz, D.W. A Review of Aerodynamic Noise from Propellers, Rotors, and Lift Fans; NASA Tech. Rep. No. 32–1462; Jet Propulsion Laboratory, California Institute of Technology: Pasadena, CA, USA, 1970.
  2. de Gruijl, W. The Impact of Installation Effects on Propeller Design Optimization for Aerodynamic and Aeroacoustic Performance. Doctoral Dissertation, Delft University of Technology, Delft, The Netherlands, 2022. [Google Scholar]
  3. Griffith, E.D.; Revell, J.D. Low Noise Propeller Technology; Technical Report AFAPL-TR-73-115; Air Force Aero Propulsion Laboratory: Wright-Patterson Air Force Base: Dayton, OH, USA, 1973. [Google Scholar]
  4. Sinnige, T. Aerodynamic and Aeroacoustic Interaction Effects for Tip-Mounted Propellers: An Experimental Study. Ph.D. Thesis, Delft University of Technology, Delft, The Netherlands, 2018. [Google Scholar]
  5. Zawodny, N.S.; Boyd, D.D.; Nark, D.M. Aerodynamic and acoustic interactions associated with inboard propeller–wing configurations. In Proceedings of the AIAA SciTech 2021 Forum, Nashville, TN, USA, 11–15 January 2021; p. 0714. [Google Scholar]
  6. Akiwate, D.C.; Parry, A.; Joseph, P.; Paruchuri, C.C. Analytical investigation of propeller–wing interaction noise. In Proceedings of the 28th AIAA/CEAS Aeroacoustics Conference, Southampton, UK, 14–17 June 2022; p. 2877. [Google Scholar]
  7. Zawodny, N.S.; Boyd, D.D. Investigation of rotor–airframe interaction noise associated with small-scale rotary-wing unmanned aircraft systems. J. Am. Helicopter Soc. 2020, 65, 1–17. [Google Scholar] [CrossRef]
  8. Hanson, L.; Baskaran, K.; Zang, B.; Azarpeyvand, M. Acoustic shielding and scattering effects of a propeller mounted above a flat plate. In INTER-NOISE and NOISE-CON Congress and Conference Proceedings; Institute of Noise Control Engineering (INCE-USA): Reston, VA, USA, 2023; pp. 5013–5024. [Google Scholar]
  9. Stephens, D.; Envia, E. Acoustic shielding for a model scale counter-rotation open rotor. In Proceedings of the 17th AIAA/CEAS Aeroacoustics Conference, Portland, OR, USA, 6–8 June 2011; p. 2940. [Google Scholar]
  10. Akkermans, R.A.; Pott-Pollenske, M.; Buchholz, H.; Delfs, J.; Almoneit, D. Installation effects of a propeller mounted on a high-lift wing with a Coanda flap. Part I: Aeroacoustic experiments. In Proceedings of the 20th AIAA/CEAS Aeroacoustics Conference, Atlanta, GA, USA, 16–20 June 2014; p. 3191. [Google Scholar]
  11. Tanna, H.K.; Burrin, R.H.; Plumblee, H.E., Jr. Installation Effects on Propeller Noise. J. Aircr. 1981, 18, 303–309. [Google Scholar] [CrossRef]
  12. Ricouard, J.; Julliard, E.; Omais, M.; Regnier, V.; Parry, A.; Baralon, S. Installation Effects on Contra-Rotating Open Rotor Noise. In Proceedings of the 16th AIAA/CEAS Aeroacoustics Conference, Stockholm, Sweden, 7–9 June 2010; p. 3795. [Google Scholar]
  13. Yin, J.; De Gregorio, F.; Rossignol, K.S.; Rottmann, L.; Ceglia, G.; Reboul, G. Acoustic and Aerodynamic Evaluation of DLR Small-Scale Rotor Configurations within GARTEUR AG26. CEAS Aeronaut. J. 2024, 1–22. [Google Scholar] [CrossRef]
  14. Zanotti, A.; Granata, D.; Savino, F.; Caccia, L.; Abergo, L.; Guardone, A.; Yin, J. Acoustic and Aerodynamic Evaluation of POLIMI Tandem Propellers Configurations within GARTEUR AG26. In Proceedings of the 50th European Rotorcraft Forum, Marseille, France, 10–12 September 2024. Manuscript submitted for publication. [Google Scholar]
  15. Visingardi, A.; Barbarino, M.; De Gregorio, F.; Greco, L.; Testa, C.; Zaghi, S.; Yin, J. Analysis of the Aeroacoustic Performance of Twin Propellers in Hover by Using the CIRA-CUSANO Test-Rig. In Proceedings of the 50th European Rotorcraft Forum, Marseille, France, 10–12 September 2024. [Google Scholar]
  16. Barbarino, M.; Visingardi, A. A Medium-Fidelity Aeroacoustic Assessment of the Distributed Electric Propulsion Wind Tunnel Model of the VENUS Project. In Proceedings of the 30th AIAA/CEAS Aeroacoustics Conference, Rome, Italy, 4–7 June 2024; p. 3319. [Google Scholar]
  17. De Gregorio, F.; Rossignol, K.S.; Ceglia, G.; Yin, J. Aerodynamic and acoustic interactional effects for small commercial propellers in co-axial counter-rotating arrangements. Aerosp. Sci. Technol. 2025, 159, 110001. [Google Scholar] [CrossRef]
  18. Rossignol, K.S.; Yin, J.; De Gregorio, F.; Visingardi, A.; Ceglia, G.; Barbarino, M. Aeroacoustics of Small Contra-Rotating Co-Axial Rotors in Hover and Forward Flight. In Proceedings of the 30th AIAA/CEAS Aeroacoustics Conference, Rome, Italy, 4–7 June 2024; p. 3336. [Google Scholar]
  19. Kostek, A.A.; Lößle, F.; Wickersheim, R.; Keßler, M.; Boisard, R.; Reboul, G. Experimental Investigation of UAV Rotor Aeroacoustics and Aerodynamics with Computational Cross-Validation. CEAS Aeronaut. J. 2023, 15, 643–658. [Google Scholar] [CrossRef]
  20. Kim, S.J.; Hwang, Y.H.; Myong, R.S.; Lee, H. Interactional aerodynamics and acoustics of a rotor with an airframe in hover. Phys. Fluids 2024, 36, 017121. [Google Scholar] [CrossRef]
  21. Park, Y.M.; Jee, S. Numerical study on interactional aerodynamics of a quadcopter in hover with overset mesh in OpenFOAM. Phys. Fluids 2023, 35, 085138. [Google Scholar] [CrossRef]
  22. Zori, L.A.; Rajagopalan, R.G. Navier—Stokes calculations of rotor—Airframe interaction in forward flight. J. Am. Helicopter Soc. 1995, 40, 57–67. [Google Scholar] [CrossRef]
  23. Chirico, G.; Barakos, G.N.; Bown, N. Propeller Installation Effects on Turboprop Aircraft Acoustics. J. Sound Vib. 2018, 424, 238–262. [Google Scholar] [CrossRef]
  24. Intel Corporation. Aero Ready-to-Fly Brief. Intel Corp. Brochure. 2017. Available online: https://www.intel.com/content/dam/www/public/us/en/documents/brochures/aero-ready-to-fly-brief.pdf (accessed on 26 May 2025).
  25. Hayes, M.H. Statistical Digital Signal Processing and Modeling; John Wiley & Sons, Inc.: New York, NY, USA, 1996. [Google Scholar]
  26. Henderson, B.S.; Huff, D. Electric motor noise for small quadcopters: Part II—source characteristics and predictions. In Proceedings of the 2018 AIAA/CEAS Aeroacoustics Conference, Atlanta, GA, USA, 25–29 June 2018; p. 2953. [Google Scholar]
  27. Glegg, S.; Devenport, W. Aeroacoustics of Low Mach Number Flows: Fundamentals, Analysis, and Measurement; Academic Press: Oxford, UK, 2017. [Google Scholar]
  28. Ostashev, V.E.; Breton, D.J.; Wilson, D.K. Interference of the direct and ground-reflected waves in the atmosphere with volumetric scattering. J. Acoust. Soc. Am. 2024, 156, 107–118. [Google Scholar] [CrossRef] [PubMed]
  29. Weitsman, D.; Stephenson, J.H.; Zawodny, N.S. Effects of flow recirculation on acoustic and dynamic measurements of rotary-wing systems operating in closed anechoic chambers. J. Acoust. Soc. Am. 2020, 148, 1325–1336. [Google Scholar] [CrossRef] [PubMed]
  30. Bu, H.; Wu, H.; Bertin, C.; Fang, Y.; Zhong, S. Aerodynamic and acoustic measurements of dual small-scale propellers. J. Sound Vib. 2021, 511, 116330. [Google Scholar] [CrossRef]
  31. Ma, Z.; Zhou, P.; Zhang, X.; Zhong, S. Experimental Assessment of the Flow Recirculation Effect on the Noise Measurement of a Free-Flying Multi-rotor UAS in a Closed Anechoic Chamber. Acoust. Aust. 2024, 52, 313–322. [Google Scholar] [CrossRef]
Disclaimer/Publisher’s Note: The statements, opinions and data contained in all publications are solely those of the individual author(s) and contributor(s) and not of MDPI and/or the editor(s). MDPI and/or the editor(s) disclaim responsibility for any injury to people or property resulting from any ideas, methods, instructions or products referred to in the content.

Article Metrics

Citations

Article Access Statistics

Multiple requests from the same IP address are counted as one view.