Next Article in Journal
Online Estimation Method and Verification of Sampling Mass for Lunar Drilling in the Chang’E-6 Mission
Next Article in Special Issue
Satellite Navigation of a Lunar Rover with Sensor Fusion for High-Accuracy Navigation
Previous Article in Journal
Experimental Investigation on Temperature Effects of Cryogenic Pressure-Sensitive Paint
Previous Article in Special Issue
Design of an Orbital Infrastructure to Guarantee Continuous Communication to the Lunar South Pole Region
 
 
Font Type:
Arial Georgia Verdana
Font Size:
Aa Aa Aa
Line Spacing:
Column Width:
Background:
Article

Simplified Particle Models and Properties Analysis Designed for DEM Lunar Soil Simulants

College of Environment and Civil Engineering, Chengdu University of Technology, Chengdu 610059, China
*
Author to whom correspondence should be addressed.
Aerospace 2025, 12(4), 330; https://doi.org/10.3390/aerospace12040330
Submission received: 26 December 2024 / Revised: 2 April 2025 / Accepted: 7 April 2025 / Published: 11 April 2025
(This article belongs to the Special Issue Advances in Lunar Exploration)

Abstract

The discrete element method (DEM) is one of the most popular methods for simulating lunar soil simulants due to the lack of real lunar soil. To reduce the computational consumption and difficulty because of complex particle models, simplified particle models, in which a single particle consists of two, four, or six elements, are discussed in this paper. Three steps, including random generation, particle replacement, and sedimentation, can generate the proposed simulant. The relationship between the mechanical properties of the simulant and microscopic parameters defined in DEM was analyzed by the orthogonal array testing (OATS) technique. Then, the prediction functions, which can calculate mechanical properties from inputting the microscopic parameters without carrying out the DEM, are also established by a back-propagation artificial neural network (BP-ANN). The widely used physical simulants JSC-1 from the USA and FJS-1 from Japan are simulated in DEM from the prediction function with high accuracy.

1. Introduction

When designing exploration missions for extraterrestrial planets, the mechanical properties of samples from the planets are among the most important information. First, the mechanical properties of the samples are indispensable when designing sampling devices, including those used for excavation, transport, and storage. In addition, the mechanical properties of the samples are quite important for other parts of the mission. For example, the selection of the mission site, the bearing capacity, and the traction on slopes should be considered to avoid damaging the spacecraft and other hardware during launch and landing. Knowing the suitable mechanical properties of the mission site can also increase the mobility of the exploration rover [1].
To obtain accurate mechanical properties, there is a high demand for samples in large quantities. However, the real sample is quite rare, because less than 400 kg of real lunar soil has been acquired since the beginning of the lunar exploration mission [2,3], and this amount is insufficient for a large number of experiments by researchers around the world. As a result, researching and manufacturing simulants that have similar properties as the real sample are alternative methods to solve the shortage problem.
Taking the example of lunar soil, there are two different types of simulants: physical and digital. Physical simulants can be defined as “any material manufactured from natural or synthetic terrestrial or meteoritic components to simulate one or more physical and/or chemical properties of a lunar rock or soil” [4]. According to incomplete statistics, the physical lunar soil simulants that have been developed and are widely used at present include MLS-1, JSC-1, JSC-1A (from America), FJS-1 (from Japan), OB-1 (from Canada), SSC-1 and SSC-2 (from the UK), and CAS-1, NAO-1, TJ-1, and CUG-1 (from China) [5,6,7]. When using physical lunar soil simulants, some researchers have indicated that the simulants they developed should be used for very specific purposes; if the simulants are used for the wrong purpose or condition, the accuracy of the results cannot be guaranteed [6].
The other simulants are digital simulants that are generated from a computer simulation. Because lunar soil is a typically granular material, the discrete element method (DEM) is the most popular method for establishing a digital lunar soil simulant. Traditionally, the particle of the DEM model is a sphere, but research has indicated that spherical particles cannot produce mechanical properties similar to those of lunar soil [8]. Hence, researchers began using nonspherical particles to simulate lunar soil particles. There are several kinds of nonspherical particles, as shown in Figure 1 [9].
All nonspherical particles are designed to better match the particle shapes of real lunar soil, but nonspherical particles will significantly increase the complexity and difficulty of detecting both contacts and contact forces, which increases both the required CPU resources and the computing time. When using the DEM to simulate lunar soil, researchers must find a balance point between computational accuracy and efficiency. Compared with other particle shapes, the rigid sphere cluster has the easiest way to detect contacts, consumes the least CPU resources, and can be applied in almost all kinds of DEM software [10]; thus, the rigid sphere cluster is currently the most commonly applied method. Considering the accuracy of a rigid sphere cluster, for instance, a researcher used spherical elements to simulate ellipsoids, and the simulation results indicated that when more elements are used, the results are closer to those obtained from the simulation with a continuous, exact representation of an ellipsoid [11]. Traditionally, the shape of a cluster used in a simulation is obtained from microscopic images of the real shapes of lunar soil or physical lunar soil simulant in either three- or two-dimensional DEM software, and usually, more than ten spherical elements are used for one particle [8,12,13,14].
Despite the rigid sphere cluster showing better performance in terms of computational resources than other nonspherical particle shapes, the balance between accuracy and resource consumption should also be considered seriously. When seeking a more similar particle shape, the number of elements used for one particle increases, and the required computational resources increase significantly. Some researchers have carried out experiments to determine the relationship between the number of elements and the mechanical properties. The results showed that the angle of repose of nonspherical particles can reach over 40°, while the value for spherical particles is less than 30°. However, the difference among nonspherical particles is not as obvious: the magnitude of the angle for two elements is 40°, whereas that for ten elements is approximately 42° [8]. From the perspective of mechanical properties, there is a potential to use fewer elements to improve computational efficacy without reducing the simulation accuracy. Some researchers have studied the relative properties of rigid sphere clusters that consist of two, three, and four elements, but their research was not focused on lunar soil simulants; the particles that they used, along with their properties, cannot represent lunar soil [15]. Typically, for lunar soil, two-element particles have been used to simulate the physical lunar soil simulant JSC-1A, and the simulation result of the reaction between stress and strain matches the results from physical experiments [16]. Unfortunately, this research did not include other mechanical properties.
DEM is very time-consuming, especially to obtain an accurate simulation. Most of the simulations of hundreds of thousands of particles in the early simulation process of our team take several days. Especially, the contact of non-spherical particles will greatly increase the simulation time, so we hope to simplify the contact with spherical particles to save simulation time. The physical properties of lunar soil cannot be obtained before the completion of the simulation, can only be measured after the simulation is completed by adjusting the microscopic indicators, and can only be obtained by repeated simulation by continuously adjusting the microscopic indicators under the condition that the specified mechanical properties need to be obtained. So, we hope to explore the relationship between the microscopic indicators and the physical and mechanical properties and establish the relationship between the prediction of mechanical properties based on the microscopic parameters.

2. Generation of Lunar Soil Simulants

The contact algorithm and contact discovery difficulty of non-spherical particles are much greater than those of spherical particles, so this paper takes spherical particles as the main body for modeling [9]. Normally, the generation of soil simulants, first, is to confirm the size, number, shape, and interaction of particles. Then, appropriate boundary conditions for the research objectives and the way of loading are set. Lastly, the validation of the generated particle model is verified. This paper uses a random way to generate the lunar soil particle and let it naturally sediment to meet the actual situation of how the real lunar soil was generated.

2.1. Definition of Microscopic Parameters

The classical contact model is selected to increase the simulation efficiency. As shown in Figure 2 left, the stiffness of the particles is defined in the DEM by the stiffness of contact springs normal and tangential to the contact plane. The damping nature is described by the dashpot coupled with the springs, and the friction force between the particles is defined by the particle friction angle (Equation (1)). Therefore, to control the contact behavior, five microscopic parameters are introduced: normal spring stiffness ( K N ), tangential spring stiffness ( K T ), normal damping ( η N ), tangential damping ( η T ) and particle friction angle ( θ F ).
F F = F N tan ( θ F )
where F F is the friction contact force, F N is the normal contact force, and θ F is the particle friction angle.
In addition to the contact model, the particle size, shape, and position may also affect the mechanical properties of the DEM lunar soil simulant. Hence, combined with the generation process, several microscopic parameters for particles are also introduced, as shown in Figure 2 right. In the proposed particle model, L S is defined to control the maximum particle size. N E is defined to show the number of elements made up of each particle, which is used to represent the particle shape. θ X and θ Z are defined as the angle for particle rotation around the X axis and the Z axis, respectively, and they represent the particle position.

2.2. Random Generation

The first step in generating lunar soil simulants is random generation, in which spheres are used to fill a fixed domain, and the diameter of these spheres is uniformly distributed within a specified range, in which the maximum diameter is five times the minimum diameter. When the difference in particle size is massive, the gap between large particles will be filled by small particles, resulting in the number of small particles greatly exceeding the large particles, and the simulation efficiency is significantly declined. In this simulation, four different particle size distributions are utilized: from 0.1 to 0.5 cm, from 0.2 to 1.0 cm, from 0.3 to 1.5 cm, and from 0.4 to 2 cm.

2.3. Particle Replacement

The second step is to replace the spherical particles generated from the random generation with the nonspherical particles. Considering the computational efficacy, the particles discussed in this paper belong to rigid sphere clusters, and to avoid the potential problems of particle mass and density, there is no overlap among each spherical element. Because the main target of this study is to generate a lunar soil simulant that contains fewer elements in each particle, the particle shapes cannot be defined exactly from the real particle shape. Instead, the particle shape here is defined from the main features of real lunar soil particles, specifically by using an ellipsoidal approximation method in which the long, intermediate, and short axes of a fitted ellipsoid are defined as a , b , and c , respectively [14,17]. Based on the measurements of real lunar soil particles from Apollo 16, the ratios of the three axes can be obtained and are listed in Table 1 [14]. According to the fixed ratio, three different types of particles, including two, four, and six elements, are designed as shown in Figure 3. For two-element particles, each particle can only represent two of the three axes, so three kinds of two-element particles are used in this simulation. The three kinds of two-element particles have different ratios between L1 and L2; the ratio is a/b, a/c, or b/c. In the simulants, the three kinds of two-element particles are scattered evenly.
The most important process in this step is to calculate the radius and center coordinates for each sphere element. Then, it is be easy to calculate the contact forces between the particles and the regional stresses. As shown in Figure 3, the spherical particle is used to control the position and size of the nonspherical particles. Assuming the radius of the initial spherical particle r and its central coordinate is ( x , y , z ) , from the fixed aspect ratio, the radius and center coordinates of each element can be calculated as in Table 1. Because the initial position of this EDM program is randomly generated, all particles of the same type are placed in the same orientation; they need to be rotated randomly to be more realistic. To increase the randomness, the particles will rotate at a random angle around the Z-axis after replacement. Different particles will lead to different mechanical properties. To study the differences and find a suitable particle for simulating lunar soil, four different lunar soils are generated in this study: two-elements (the mixture of three different two-element particles), four-elements, six-elements and 2+4+6-elements (a mixture of two-, four-, and six-element particles). Through this finding, a particle that simplifies the model, furthermore, helps in studying the connection between microscopic parameters and physical properties.

2.4. Sedimentation

As shown in Figure 4, after replacement, there will be obvious voids among the particles; hence, the final step to establish the lunar soil simulant is to sediment these particles in the lunar gravity environment ( g = 163 cm/s2).
During sedimentation, the contact forces among the particles will gradually reach equilibrium status and generate the initial earth pressure. To ensure accuracy, the following simulation or calculation must be carried out after reaching the equilibrium status to prevent the external forces acting on every particle from changing. Hence, observing whether the forces acting on a random particle are stable is an effective way to check whether the sedimentation is completed. A random particle is selected from a total of 1000 particles, as shown in Figure 4. At the beginning of sedimentation, there is a large void around this particle, and the external forces are small. After a period of downward motion, the particle starts to contact other particles, and the forces start to change dramatically. As the simulation continues, the forces become steady to complete the sedimentation and reach the equilibrium status. Because gravity is the only external force after sedimentation, the vertical force F z is the only force that exists when the sedimentation is completed.

3. Properties Analysis for Lunar Soil Simulants

3.1. Relationship Between Microscopic Parameters and Mechanical Properties

3.1.1. Methodology

The research here not only aims to find a specific DEM lunar soil simulant but also aims to establish the relationship between microscopic parameters and mechanical properties to make the proposed simplified particle models more flexible. As mentioned previously, the proposed research should be performed based on the eight microscopic parameters listed in Table 2. If four different values are assigned for each of them, to test all the possible combinations of these parameters, the test number should be 4 8 = 65,536 . Instead, the method of orthogonal array testing (short as OATS) was introduced: experiments are conducted by the orthogonal table, then the influence of every factor on the results is evaluated. The orthogonal table combines the factors and levels to ensure that each level of each factor is evenly distributed with each level of other factors. The amounts of levels do not affect the law between the factors and the results; they just affect the smooth curve of the law between factors and results. Considering the duration of the experiments, choose four levels here to study the law between factors and results. This only needs 32 tests of these combinations and significantly reduces the testing cycle time. The selected tests with specific microscopic parameter values are also listed in Table 2.
The detailed explanation for each microscopic parameter is as follows:
  • θ F , particle friction angle, °;
  • K N , normal spring stiffness, N/m;
  • η N , normal damping, N s / m ;
  • K T , tangential spring stiffness, N/m
  • η T , tangential damping, N s / m ;
  • L S , maximum particle size, cm, used to represent different particle size distributions: 0.5 for 0.1~0.5 cm, 1 for 0.2~1 cm, 1.5 for 0.3~1.5 cm, and 2 for 0.4~2 cm.
  • NE, number of elements: two for two-element particles, four for four-element particles, six for six-element particles, and twelve for a mixture of two-, four- and six-element particles.
PRA, particle rotation angle: unlike other parameters that can be set as a fixed value, considering a large number of particles, the particle rotation angle can only be set to no rotation (Non), random rotation around only the X axis (X), random rotation around only the Z axis (Z), and random rotation around both the X and Z axes (XZ).
After carrying out all the test results, for each factor A , assuming there are m levels, the range factor R A can be calculated by Equation (2). And the various influences among different factors can be obtained from the result of the range factor R A , where the larger R A indicates that the factor A has a more important impact on results. Hence, the ranking of the range factors R A is the same order in which the related factor affects the results. Accordingly, the range factor R A can also be used to select the impact factors. Based on previous research experiences, the useful impact factors should usually be selected when their range factor values are equal to or greater than two times that of other factors.
R A = max S A , 1 n , S A , 2 n , , S A , 3 n , S A , m n min S A , 1 n , S A , 2 n , , S A , 3 n , S A , m n
where S A , i is the sum of the test results for each level, n is the number of repetitions for each level.

3.1.2. Contacts

Among the different particles, the contacts that will affect the mechanical properties of the lunar soil simulant in the DEM are important. In addition to the average number of contacts for each particle, the situation of contact is shown in Figure 5.
Based on the microscopic parameters, the simulated results of all 32 tests can be acquired, and the range analysis can also be completed. As shown in Table 3 and Table 4, the particle friction angle and particle shape (number of elements) are the only two parameters that have a significant effect on the number of contacts, where the particle friction angle plays a more important role. According to the effect curve of Figure 6, the average number of contacts for each particle decreases with an increasing particle friction angle, and the downward trend also slows down when the angle exceeds 40°. In terms of the particle shape, increasing the number of elements will also cause an increase in the number of contacts, and for the mixture of particle shapes, the number of contacts is nearly the average value of the three types of single-particle shapes.
From the results in Table 3 and Table 4, the change in any microscopic parameters will only cause small fluctuations in the results. The maximum effect comes from the particle shape (number of elements), and with its change, the horizontal and vertical contact angles will only fluctuate by 4.50° and 3.25°, respectively. Compared with the overall range of the contact angle, this fluctuation is less than 15%. Therefore, both the horizontal and the vertical contact angles will remain stable, regardless of any microscopic parameter changes.

3.1.3. Density and Void Ratio

The bulk density ρ and void ratio e are basic mechanical properties for lunar soil simulants, with a fixed particle density, and they are easily calculated for nonoverlapping sphere clusters, as shown in Equation (3).
V P = 4 3 x = 1 s y = 1 t π r x y 3 ρ = ρ P V P L W H e = 1 V P L W H
where V P is the total volume for all particles; s is the number of particles; t is the number of elements; r x y is the radius of element x in particle y ; ρ P is the particle density, which is 2.84~3.03 g/cm3 for real lunar soil [18], and it has been fixed as 2.93 g/cm3 in this research; L is the length of the simulation container; W is the width of the simulation container; and H is the height of the simulation container.
According to the simulated results listed in Table 5 and the range analysis of Table 6, it is obvious that the particle friction angle and the particle shape (number of elements) are the only two factors that affect the density and void ratio, and the effect of particle shape is slightly larger. As shown in Figure 7, with an increasing particle friction angle or number of elements, the density (void ratio) will decrease (rise) noticeably. Similarly, the bulk density of the mixture particle is nearly the average value of the lunar soil consisting of three types of single particles.
Through the range analysis, it should be noted that the maximum particle size ( L S ) will not affect the magnitude of density and void ratio, which means that changing only the value of the particle size without changing the particle friction angle or particle shape cannot reach the target of adjusting density and void ratio. Similarly, the minimal effect of the particle rotation angle (PRA) indicates that the random rotation for each particle before sedimentation is unnecessary.

3.1.4. Angle of Repose

In the lunar environment without water, lunar soil is typically a granular material, for which, from soil mechanics, the angle of repose is equal to the internal friction angle. To obtain the angle of repose, as shown in Figure 8, a fixed bottom is first generated. Then, after removing the right border, the unfixed particles start to collapse under the effect of gravity. The angle of repose can then be measured when the collapse is complete.
The results of the simulation and range analysis are listed in Table 7 and Table 8, from which four microscopic parameters (including particle friction angle, normal spring stiffness, tangential damping, and number of elements) reflect a clear impact on the angle of repose. Among them, the particle friction angle still plays the most important role, and the change trend can be divided into two stages by a feature value (approximately 20°). As show in Figure 9, in the first stage, when the particle friction angle is smaller than the feature value, the angle of repose increases significantly with an increasing particle friction angle. In the second stage, when the particle friction angle is larger than the feature value, the increasing trend of the angle of repose stops, and its magnitude remains at the maximum value (approximately 43°).
For normal spring stiffness, the effective curve shows that when its value increases, the angle of repose presents a downward trend, and the magnitude of the change is not as large as the particle friction angle. Theoretically, the change in damping, regardless of normal and tangential, will not affect the value of the angle of repose; however, a significant trough occurs when the tangential damping is approximately 0.75 N s / m . In terms of particle shape, if the lunar soil consists of a single type of particle, the increasing number of elements represents a more complex external shape, which results in a slightly increasing angle of repose. If the lunar soil consists of multiple types of particles, it will obtain an average value.

3.1.5. Stress

As shown in Figure 10 left, after completing the sedimentation of all 32 tests, the confining pressure σ 3 is applied to the boundaries by moving them toward the specimen center. The gravity is removed before starting the test, to eliminate the potential effect because of gravity. The confining pressure σ 3 is computed by taking the average of the stress acting on each set of opposing boundary walls, where the stresses on each wall are computed by dividing the total force acting on the wall by its area. Then, the loading (compression) is applied by moving the top-end plate downward and fixing the bottom-end plate. The velocity is ramped up from zero to a specified velocity (i.e., displacement rate) in a controlled fashion. After that, the compression is continued at a constant displacement rate until the specimen reaches the critical state, when the compression pressure σ 1 can be calculated. An example of the test results is shown in Figure 10 right, with the relationships between the principal stress σ 1 and the nominal axial strain ε 1 for four confining pressure σ 3 levels. All the results and range analysis are listed in Table 9 and Table 10.
Through the range analysis from Table 10, each microscopic parameter will affect the calculation result of the stress. Among all the parameters, the particle friction angle and maximum particle size ( L S ) are the two most influential factors. As shown in Figure 11 left, the effect caused by the particle friction angle can be divided into three stages. In the first stage (lower than 20°) and the third stage (higher than 40°), a similar trend was observed, in which the principal stress increased with increasing particle friction angle, and the rate of increase was approximately the same for both stages. In the second stage, where the particle friction angle is between 20° and 40°, the trend of change is relatively flat, even though the principal stress will slightly decrease with an increasing particle friction angle under low confining pressure ( σ 3 2.5 kPa).
The parameter of particle size (Figure 11 right), which does not affect any of the previous mechanical properties, has nearly the same impact on the principal stress as that of the particle friction angle. The particle size distribution at 0.2~1 cm is a demarcation point that leads to the lowest principal stress. When the particle size distribution is less than 0.2~1 cm, the enlargement of the particle size causes a decrease in the principal stress, and the decreasing trend is nearly the same regardless of the change in the confining pressure. In contrast, a significant increase in the principal stress will occur because of the increase in the particle size when it is larger than 0.2~1 cm, and the rate of increase also increases with increasing confining pressure.
Figure 12 shows the impact caused by four crucial parameters that control the contact force. A peak value of principal stress appears at the normal spring stiffness equal to 5 × 104 N/m, and the lowest value of principal stress occurs when normal damping reaches 0.75 N s / m . In terms of tangential parameters, the influence trend is more chaotic. When the confining pressure is lower than 5 kPa, the value of the principal stress will fluctuate within a small range (approximately 10 kPa) with the change in stiffness and damping. When the confining pressure reaches 10 kPa, the impact from tangential stiffness is similar to that from normal stiffness, which has a peak value at K T = 5 × 10 4 N/m; smaller tangential damping (lower than 0.5 N s / m ) will result in higher principal stress.
The particle shape will also affect the principal stress. For lunar soil made up of a single particle shape, a more complex particle shape will result in higher principal stress, as shown in Figure 13 left, and the four-element particles and six-element particles have higher stress values than the two-element particles. The difference increases with increasing confining pressure. However, the mixture particle shape shows a much lower stress value. In addition, for the particle rotation angle, although it will cause slight fluctuations (approximately 12 kPa) in the calculation of principal stress (Figure 13 right), it is still an insignificant parameter.

3.2. Prediction of Mechanical Properties

3.2.1. Prediction Method

Despite the relationship between microscopic parameters and mechanical properties, obtaining a lunar soil simulant with given mechanical properties is still difficult work that may consume a great deal of time. Therefore, an easy and accurate method that can predict the mechanical properties from given values of microscopic parameters without performing DEM simulations is indispensable.
The target here is to establish a prediction function through the simulated results proposed previously. Usually, the traditional regression method cannot acquire satisfactory prediction results when working with multiple input parameters of the prediction function. To avoid this problem, the classical back-propagation artificial neural network (BP-ANN), which originated in the field of machine learning and exhibits high computational accuracy in the approximation of functions, is selected to train the prediction function.
According to previous research, the parameter of particle rotation angle is insignificant for any of the mechanical properties; hence, it is removed from the prediction function. The other microscopic parameters have different impacts on different mechanical properties. To avoid possible interference caused by unrelated parameters, as shown in Figure 14, three prediction functions were generated as follows:
  • Prediction function 1: use the particle friction angle and the number of elements to predict the number of contacts, density, and void ratio;
  • Prediction function 2: use the particle friction angle, the number of elements, the normal spring stiffness, and the tangential damping to predict the angle of repose;
  • Prediction function 3: use all of the microscopic parameters combined with the confining pressure to predict the principal stress.

3.2.2. Prediction Function Generation

As shown in Figure 15, data processing, data grouping, and function training are the three major steps to generate the prediction function.
Data processing is the indispensable step, because the prediction accuracy may be affected significantly due to the difference in magnitude and unit among various input and output parameters (Table 2, Table 3, Table 5, Table 7 and Table 9). Therefore, data processing is divided into preprocessing and post-processing to solve this problem. Preprocessing aims to convert all the data into the same range of [0,1] and eliminate the impact of units while preserving the internal difference for the data. The purpose of the post-process is to restore the original magnitude and units for the output parameters. Combined with the range of values for each parameter, the normalization scheme is used here (Equation (4)).
D = D / a ,   preprocessing D = D a ,     postprocessing
where D is the normalized data, D is the initial data, and a is the normalized constants; for different parameters, the values of the normalized constants are shown in Table 11.
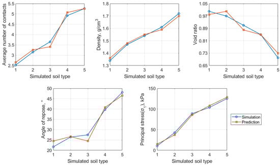
After data preprocessing, all the data will be divided randomly into three groups (including 70% training data, 15% validation data, and 15% test data) to start to establish the prediction function with BP-ANN. The training will not stop until the accuracy in both the validation and the test meets the requirements. The correlation coefficient R was selected to represent the training accuracy, where R much closer to 1 indicates that the prediction result is closer to the true value. As listed in Table 12, with the increasing number of input parameters, the prediction accuracy will decrease slightly. However, the lowest correlation coefficient, R = 0.874 (from BP-ANN-3), shows that the biggest prediction error for all the prediction functions is less than 15%. The last step of data postprocessing is carried out to complete the entire generation process. Five simulated lunar soils are made to test the performance of the prediction function. The comparison of the prediction results and the simulation results is shown in Figure 16, which shows the high accuracy of the prediction from BP-ANN.

4. Application of the Lunar Soil Simulant

The value of microscopic parameters is input into BP-ANN, then the characteristics of the physical simulant are obtained. These parameters are the remaining parameters excluded from the orthogonal experiment that have little effect on the physical properties.

4.1. Simulation of JSC-1 from the USA

The JSC-1 lunar soil simulant, which was developed by the NASA Johnson Space Center, is one of the best-known simulants ever produced. It is a general-use, low-titanium simulant made from volcanic ash in the San Francisco volcano field near Flagstaff, AZ. It contains a high glass fraction and is chemically similar to Apollo sample 14163. The ash was mined from a commercial cinder quarry and used to make the original JSC-1 [19].
By using the mechanical properties prediction function to adjust the microscopic parameters, the simplified particle models can generate the DEM lunar soil with similar mechanical properties as JSC-1 on both static validation (Table 13) and dynamic validation (Figure 17). The value of microscopic parameters is shown in Table 14.

4.2. Simulation of FJS-1 from Japan

Another actual lunar soil simulant, FJS-1, which was produced by the Shimizu Corporation of Japan to simulate lunar mare soils, was selected here to validate whether the simplified model proposed here can obtain similar mechanical properties. FJS-1 uses a base of basalt from near Mt. Fuji and was produced by progressively crushing the raw materials until a particle size distribution was obtained that fell within the range of the Apollo soils. From the viewpoint of chemical composition, FJS-1 is relatively close to the lunar samples brought back by Apollo 14.
By adjusting the microscopic parameters (Table 15), the DEM lunar soil simulant with similar mechanical properties as FJS-1 was also found. The first step was static mechanical property validation (Table 16). Then, a series of experiments based on FJS-1 to validate the dynamic mechanical behavior were carried out. As shown in Figure 18, by using three flat plates, the size of the cross-section was 30 × 3 mm, 30 × 5 mm, and 30 × 10 mm, and the diameter of the container was 100 mm (Figure 18a). The 8000 particles were placed into the domain with a size of 80 × 80 × 200 mm, as shown in Figure 18b. The boundary size was slightly smaller to ensure that there would be enough penetration depth (because the number of particles was limited by the calculation capacity of the workstation). The validation result (Figure 18c) indicates that this DEM simulant can obtain similar dynamic mechanical behavior to FJS-1. The selected values of the microscopic parameters for simulating FJS-1 are listed in Table 15.

5. Conclusions

A simplified particle model that aims to obtain similar mechanical properties and reduce computational resources is discussed in this paper, and the conclusions are as follows.
(1) The simplified model discussed in this paper belongs to a rigid nonoverlapping sphere cluster, and three types of particle shapes are selected (two, four, and six elements) to generate four different lunar soil simulants (three types of single particles and one mixture of particles). Additionally, the generating process can be divided into three major steps: random generation with spherical particles in a fixed particle size distribution, replacement with nonspherical particles, and sedimentation in a lunar gravity environment.
(2) Multiple tests were carried out by using the OATS technique, from which the relationship between the microscopic parameters and mechanical properties was found. The particle friction angle and particle shape (number of elements) play the most important role in the average number of contacts per particle, density, and void ratio. For the angle of repose, in addition to the particle friction angle and particle shape, the normal spring stiffness and tangential damping also affect its magnitude. In terms of stress, every microscopic parameter has an impact, among which the particle friction angle and particle size make the largest contribution.
(3) Three prediction functions were established using BP-ANN, and accurate mechanical properties can be calculated by inputting the value of the microscopic parameter without performing DEM simulations. According to the evaluation, the accuracy for the three prediction functions is higher than 87%. Through these prediction functions, the efficiency of finding suitable microscopic parameters about lunar soil simulants with specific physical properties would be improved.
(4) The validation for both static and dynamic properties was carried out. According to the comparison with actual lunar soil simulants JSC-1 and FJS-1, the DEM simulant can obtain similar mechanical properties, which demonstrates that the simplified model proposed in this paper will not reduce the accuracy of the simulation.

Author Contributions

Data curation, X.X.; Writing—original draft, J.L.; Writing—review & editing, Q.L.; Visualization, L.X. All authors have read and agreed to the published version of the manuscript.

Funding

This project is financially supported by the National Natural Science Foundation of China (No. 42072344, No. 42302356, and No. 11502034) and the Natural Science Foundation of Sichuan, China (No. 2022NSFSC0991).

Data Availability Statement

All data, models, and code generated or used during the study appear in the submitted article.

Acknowledgments

The writers gratefully acknowledge Prof. Takashi Matsushima (homepage: https://www.kz.tsukuba.ac.jp/~tmatsu/newpage/index.html (accessed on 6 April 2025)) of the University of Tsukuba for the DEM software, equipment, and theoretical guidance during the research. The Chengdu University of Technology is also acknowledged for its theoretical support.

Conflicts of Interest

The authors declare that they have no conflicts of interest.

References

  1. Metzger, P.T. Challenges in Predicting Planetary Granular Mechanics; NASA: Washington, DC, USA, 2005. [Google Scholar]
  2. Luna Programme [EB/OL]. 11 September 2017. Available online: https://en.wikipedia.org/wiki/Luna_programme (accessed on 11 September 2017).
  3. Lunar Rocks and Soils from Apollo Missions [EB/OL]. 11 September 2017. Available online: https://curator.jsc.nasa.gov/lunar/ (accessed on 11 September 2017).
  4. Sibille, L.; Carpenter, P.; Schlagheck, R.; French, R.A. Lunar Regolith Simulant Materials: Recommendations for Standardization, Production, and Usage; NASA/TP-2006-214605; NASA: Washington, DC, USA, 2006. [Google Scholar]
  5. Oravec, H.A. Understand Mechanical Behavior of Lunar Soils for the Study of Vehicle Mobility. Ph.D. Thesis, Case Wester Reserve University, Cleveland, OH, USA, 2009. [Google Scholar]
  6. Taylor, L.A.; Liu, Y. Important considerations for lunar soil simulants. In Earth and Space 2010: Engineering, Science, Construction, and Operations in Challenging Environments; ASCE: Reston, VA, USA, 2010. [Google Scholar]
  7. Jia, Y.; Shen, Z.R.; Dang, Z.L.; Zhuo, T. Lunar soil simulant and its engineering application in lunar exploration program. Spacecr. Environ. Eng. 2014, 3, 241–247. (In Chinese) [Google Scholar]
  8. Matsushima, T.; Katagiri, J.; Uesugi, K.; Tsuchiyama, A.; Nakano, T. 3D shape characterization and image-based DEM simulation of the lunar soil simulant FJS-1. J. Aerosp. Eng. 2009, 22, 15–23. [Google Scholar] [CrossRef]
  9. Lane, J.E.; Metzger, P.T.; Wilkinson, R.A. A Review of Discrete Element Method (DEM) Particle Shapes and Size Distributions for Lunar Soil; NASA/TM-2010-216257; NASA: Washington, DC, USA, 2010. [Google Scholar]
  10. Lu, G.; Third, J.R.; Müller, C.R. Discrete element models for non-spherical particle systems: From theoretical developments to applications. Chem. Eng. Sci. 2015, 127, 425–465. [Google Scholar] [CrossRef]
  11. Markauskas, D.; Kačianauskas, R.; Džiugys, A.; Navakas, R. Investigation of adequacy of multi-sphere approximation of elliptical particles for DEM simulations. Granul. Matter 2010, 12, 107–123. [Google Scholar] [CrossRef]
  12. Matsushima, T.; Katagiri, J.; Saiki, K.; Tsuchiyama, A.; Ohtake, M.; Nakano, T.; Uesugi, K. 3D particle characteristics of highland lunar soil (No. 60501) obtained by micro X-ray CT. In Earth & Space 2008: Engineering, Science, Construction, and Operations in Challenging Environments; ASCE: Reston, VA, USA, 2008. [Google Scholar]
  13. Garza-Cruz, T.V.; Nakagawa, M. Modeling of agglutinates and its mechanical properties. In Earth & Space 2008: Engineering, Science, Construction, and Operations in Challenging Environments; ASCE: Reston, VA, USA, 2008. [Google Scholar]
  14. Katagiri, J.; Matsushima, T.; Yamada, Y.; Tsuchiyama, A.; Nakano, T.; Uesugi, K.; Ohtake, M.; Saiki, K. Investigation of 3D grain shape characteristics of lunar soil retrieved in Apollo 16 using image-based discrete-element modeling. J. Aerosp. Eng. 2015, 28, 040140924. [Google Scholar] [CrossRef]
  15. Zhao, T.; Dai, F.; Xu, N.W.; Liu, Y.; Xu, Y. A composite particle model for non-spherical particles in DEM simulations. Granul. Matter 2015, 17, 763–774. [Google Scholar] [CrossRef]
  16. Hasan, A.; Alshibli, K.A. Discrete element modeling of strength properties of Johnson Space Center (JSC-1A) lunar regolith simulant. J. Aerosp. Eng. 2010, 23, 157–165. [Google Scholar] [CrossRef]
  17. Ikeda, S.; Nakano, T.; Nakashima, Y. Three-dimensional study on the interconnection and shape of crystals in a graphic granite by X-ray CT and image analysis. Mineral. Mag. 2000, 64, 945–959. [Google Scholar] [CrossRef]
  18. Zheng, Y.; Ouyang, Z.; Wang, S.; Zou, Y. Physical and mechanical properties of lunar regolith. J. Miner. Pet. 2004, 4, 14–19. (In Chinese) [Google Scholar]
  19. Arslan, H.; Batiste, S.; Sture, S. Properties of lunar soil simulant JSC-1A. J. Aerosp. Eng. 2010, 23, 7–83. [Google Scholar] [CrossRef]
  20. Kanamori, H.; Udagawa, S.; Yoshida, T.; Matsumoto, S.; Takagi, K. Properties of lunar soil simulant manufactured in Japan. In Space 98; ASCE: Reston, VA, USA, 2012; pp. 462–468. [Google Scholar]
Figure 1. Different kinds of nonspherical particles [9]. (a) Clusters of nonoverlapping spheres; (b) clusters of overlapping spheres; (c) ellipsoid; (d) superquadric; (e) asymmetric superquadric; (f), eight-quadrant superquadric; (g) poly-ellipsoid; (h) five-faced polyhedron (pyramid); and (i) eight-faced polyhedron (octahedron).
Figure 1. Different kinds of nonspherical particles [9]. (a) Clusters of nonoverlapping spheres; (b) clusters of overlapping spheres; (c) ellipsoid; (d) superquadric; (e) asymmetric superquadric; (f), eight-quadrant superquadric; (g) poly-ellipsoid; (h) five-faced polyhedron (pyramid); and (i) eight-faced polyhedron (octahedron).
Aerospace 12 00330 g001
Figure 2. Contact model (left) and single particle model (right) in proposed DEM simulation.
Figure 2. Contact model (left) and single particle model (right) in proposed DEM simulation.
Aerospace 12 00330 g002
Figure 3. Three types of particle shapes (2-element, 4-element, and 6-element).
Figure 3. Three types of particle shapes (2-element, 4-element, and 6-element).
Aerospace 12 00330 g003
Figure 4. Replacement and sedimentation for lunar soil simulant (6-element particle).
Figure 4. Replacement and sedimentation for lunar soil simulant (6-element particle).
Aerospace 12 00330 g004
Figure 5. The contact of elements.
Figure 5. The contact of elements.
Aerospace 12 00330 g005
Figure 6. Effect curve for number of contacts.
Figure 6. Effect curve for number of contacts.
Aerospace 12 00330 g006
Figure 7. Effect curve for density and void ratio.
Figure 7. Effect curve for density and void ratio.
Aerospace 12 00330 g007
Figure 8. Measuring the angle of repose in the DEM.
Figure 8. Measuring the angle of repose in the DEM.
Aerospace 12 00330 g008
Figure 9. Effect curve for the angle of repose.
Figure 9. Effect curve for the angle of repose.
Aerospace 12 00330 g009
Figure 10. Stress tests and examples of results. The (left) is the schematic of stress test, the right is the Line plot of axial strain versus stress. The (right) is the result of the test from the (left).
Figure 10. Stress tests and examples of results. The (left) is the schematic of stress test, the right is the Line plot of axial strain versus stress. The (right) is the result of the test from the (left).
Aerospace 12 00330 g010
Figure 11. Effect curve for stress (related to particle friction angle and particle size). The (left) shows the effect of particle friction angle on principal stress under different confining pressures, the (right) shows the effect of particle size on principal stress under different confining pressures.
Figure 11. Effect curve for stress (related to particle friction angle and particle size). The (left) shows the effect of particle friction angle on principal stress under different confining pressures, the (right) shows the effect of particle size on principal stress under different confining pressures.
Aerospace 12 00330 g011
Figure 12. Effect curve for stress (related to both normal and tangential stiffness and damping).
Figure 12. Effect curve for stress (related to both normal and tangential stiffness and damping).
Aerospace 12 00330 g012
Figure 13. Effect curve for stress (related to particle shape and particle rotation). The (left) shows the effect of different number of elements on principal stress under different confining pressures, the (right) shows the effect of particle rotation on principal stress under different confining pressures.
Figure 13. Effect curve for stress (related to particle shape and particle rotation). The (left) shows the effect of different number of elements on principal stress under different confining pressures, the (right) shows the effect of particle rotation on principal stress under different confining pressures.
Aerospace 12 00330 g013
Figure 14. Prediction functions diagram.
Figure 14. Prediction functions diagram.
Aerospace 12 00330 g014
Figure 15. Generation process of the prediction function.
Figure 15. Generation process of the prediction function.
Aerospace 12 00330 g015
Figure 16. Comparison of the DEM simulation and the prediction.
Figure 16. Comparison of the DEM simulation and the prediction.
Aerospace 12 00330 g016
Figure 17. Dynamic mechanical properties validation of JSC-1 (the data of JSC-1 are from reference [16]).
Figure 17. Dynamic mechanical properties validation of JSC-1 (the data of JSC-1 are from reference [16]).
Aerospace 12 00330 g017
Figure 18. Penetration experiment (FJS-1) for DEM lunar soil simulant. (a) Experimental device; (b) DEM simulation; (c) comparison.
Figure 18. Penetration experiment (FJS-1) for DEM lunar soil simulant. (a) Experimental device; (b) DEM simulation; (c) comparison.
Aerospace 12 00330 g018
Table 1. Calculation of radius and center coordinates for each element.
Table 1. Calculation of radius and center coordinates for each element.
ShapeControl AxisRadiusCenter Coordinates
2-element a = 2 r c = a R ( 0.566 , 0.611 ) * r 1 = c / 2 r 2 = r r 1 ( x 1 , y 1 , z 1 ) = ( x , y + r r 1 , z ) ( x 2 , y 2 , z 2 ) = ( x , y r + r 2 , z )
a = 2 r b = a R ( 0.751 , 0.805 ) r 1 = b / 2 r 2 = r r 1
b = 2 r c = b R ( 0.750 , 0.798 ) r 1 = c / 2 r 2 = r r 1
4-element a = 2 r b = a R ( 0.751 , 0.805 ) c = a R ( 0.566 , 0.611 ) r 1 = r / 2 r 2 = r / 2 r 3 = ( r 1 2 + b 2 ) / 2 b r 1 r 4 = ( r 1 2 + c 2 ) / 2 c r 1 ( x 1 , y 1 , z 1 ) = ( x + r 1 , y , z ) ( x 2 , y 2 , z 2 ) = ( x r 1 , y , z ) ( x 3 , y 3 , z 3 ) = ( x , y + ( r 1 + r 3 ) 2 r 1 2 , z ) ( x 4 , y 4 , z 4 ) = ( x , y , z + ( r 1 + r 4 ) 2 r 1 2 )
6-element a = 2 r b = a R ( 0.751 , 0.805 ) c = a R ( 0.566 , 0.611 ) r 1 = b / 4 r 2 = b / 4 r 3 = r 2 / ( 2 r + 2 r 1 ) r 4 = r 2 / ( 2 r + 2 r 1 ) r 5 = c 2 / 4 / ( 2 r 1 + c ) r 6 = c 2 / 4 / ( 2 r 1 + c ) ( x 1 , y 1 , z 1 ) = ( x , y + r 1 , z ) ( x 2 , y 2 , z 2 ) = ( x , y r 1 , z ) ( x 3 , y 3 , z 3 ) = ( x + ( r 1 + r 3 ) 2 r 1 2 , y , z ) ( x 4 , y 4 , z 4 ) = ( x ( r 1 + r 4 ) 2 r 1 2 , y , z ) ( x 5 , y 5 , z 5 ) = ( x , y , z + ( r 1 + r 5 ) 2 r 1 2 ) ( x 6 , y 6 , z 6 ) = ( x , y , z ( r 1 + r 6 ) 2 r 1 2 )
* R ( a , b ) indicates that the random value is between a and b ; the data are from reference [14].
Table 2. Test designed by OATS.
Table 2. Test designed by OATS.
No. θ F K N η N K T η T L S NEPRANo. θ F K N η N K T η T L S NEPRA
10.15 × 1040.751 × 1050.2516XZ170.15 × 1040.501 × 1051.001.52Non
20.17.5 × 1041.002.5 × 1040.501.512Non180.17.5 × 1040.252.5 × 1040.7514XZ
30.11 × 1050.255 × 1040.7522X190.11 × 1051.005 × 1040.500.56Z
40.12.5 × 1040.507.5 × 1041.000.54Z200.12.5 × 1040.757.5 × 1040.25212X
5205 × 1050.752.5 × 1040.5022Z21205 × 1040.502.5 × 1040.750.56X
6207.5 × 1041.001 × 1050.250.54X22207.5 × 1040.251 × 1051.00212Z
7201 × 1050.257.5 × 1041.0016Non23201 × 1051.007.5 × 1040.251.52XZ
8202.5 × 1040.505 × 1040.751.512XZ24202.5 × 1040.755 × 1040.5014Non
9405 × 1041.005 × 1041.00112X25405 × 1040.255 × 1040.251.54Z
10407.5 × 1040.757.5 × 1040.751.56Z26407.5 × 1040.507.5 × 1040.5012X
11401 × 1050.501 × 1050.5024XZ27401 × 1050.751 × 1050.750.512Non
12402.5 × 1040.252.5 × 1040.250.52Non28402.5 × 1041.002.5 × 1041.0026XZ
13605 × 1041.007.5 × 1040.7524Non29605 × 1040.257.5 × 1040.500.512XZ
14607.5 × 1040.755 × 1041.000.52XZ30607.5 × 1040.505 × 1040.2526Non
15601 × 1050.502.5 × 1040.25112Z31601 × 1050.752.5 × 1041.001.54X
16602.5 × 1040.251 × 1050.501.56X32602.5 × 1041.001 × 1050.7512Z
Table 3. Simulated results of the number of contacts and contact angle.
Table 3. Simulated results of the number of contacts and contact angle.
No.ContactsNo.ContactsNo.ContactsNo.Contacts
15.3092.79173.89253.17
24.92103.06185.23262.41
33.88113.23195.08272.50
45.10122.38205.03283.40
52.86132.95213.65292.56
63.37142.13223.51303.20
73.83152.79232.72312.81
83.51163.67243.67322.31
Table 4. Range factors for contacts.
Table 4. Range factors for contacts.
θ F K N η N K T η T L S NEPRA
Contacts2.000.280.110.080.160.201.080.09
Table 5. Simulated results of density and void ratio.
Table 5. Simulated results of density and void ratio.
No. ρ (g/cm3) e No. ρ (g/cm3) e No. ρ (g/cm3) e No. ρ (g/cm3) e
11.580.8691.520.92171.830.61251.471.00
21.750.67101.361.16181.730.69261.680.79
31.820.61111.510.94191.560.87271.610.82
41.720.70121.640.79201.770.65281.391.11
51.730.69131.480.98211.401.09291.500.95
61.540.90141.630.80221.610.82301.371.14
71.391.12151.530.91231.680.75311.470.99
81.590.85161.341.18241.580.86321.610.82
Table 6. Ranges factor for density and void ratio.
Table 6. Ranges factor for density and void ratio.
θ F K N η N K T η T L S NEPRA
ρ 0.230.020.030.010.010.020.280.02
e 0.260.020.040.020.020.040.330.03
Table 7. Simulated results of the angle of repose.
Table 7. Simulated results of the angle of repose.
No. θ R (°)No. θ R (°)No. θ R (°)No. θ R (°)No. θ R (°)No. θ R (°)No. θ R (°)No. θ R (°)
133.25541.44942.421342.761726.462147.242543.062945.02
227.39642.661041.321441.231821.852244.592639.713043.34
35.32742.881143.591544.601925.362341.442718.163144.12
425.75845.461244.921651.062019.922447.812845.153244.81
Table 8. Range factors for angle of repose.
Table 8. Range factors for angle of repose.
θ F K N η N K T η T L S NEPRA
θ R 22.128.093.613.507.474.946.203.73
Table 9. Simulated results of principal stress.
Table 9. Simulated results of principal stress.
No. σ 1 (kPa)No. σ 1 (kPa)
1.252.55101.252.5510
110.712.517.124.8178.113.722.945.9
27.412.121.540.3188.28.19.112.9
314.024.530.756.11935.345.746.853.6
421.121.922.331.3204.48.215.830.9
519.728.563.4116.62171.472.172.379.8
687.092.3101.7111.12215.229.357.5113.9
733.141.443.345.22311.118.932.167.3
810.514.322.037.42420.120.621.623.6
917.931.942.447.42527.342.059.4110.4
1015.717.353.467.72617.021.526.836.5
1121.342.389.7176.62731.545.263.471.8
1252.955.558.571.42827.532.453.567.3
1346.671.5124.8211.02976.693.495.2100.3
1487.287.7103.4114.53031.654.799.8191.3
1544.647.860.770.93133.139.749.6100.4
1661.163.2114.8222.43215.223.125.851.0
Table 10. Range factors for principal stress.
Table 10. Range factors for principal stress.
θ F K N η N K T η T L S NEPRA
σ 1 (1.25)35.858.198.254.907.0637.039.7913.98
σ 1 (2.5)41.8015.8012.213.436.9638.368.2312.22
σ 1 (5)60.9920.4010.1013.0410.6139.617.188.31
σ 1 (10)95.7525.1122.7932.2325.5081.4233.0512.43
Table 11. Normalization constants of different parameters.
Table 11. Normalization constants of different parameters.
ParametersNormalized ConstantsParametersNormalized Constants
Particle friction angle, θ F 60Number of contacts10
Number of elements, NE12 ρ 2
Normal spring stiffness, K N 100 e 1.5
Normal damping, η N 100Angle of repose, θ R 50
Tangential spring stiffness, K T 100Principal stress, σ 1 250
Tangential damping, η T 100Confining pressure, σ 3 10
Particle size, L S *2
* The minimum particle size and maximum particle size use the same normalization constants.
Table 12. Training evaluation for three prediction functions.
Table 12. Training evaluation for three prediction functions.
TrainingValidationTestAll
BP-ANN-10.9370.9760.9180.935
BP-ANN-20.8910.9530.9170.884
BP-ANN-30.8870.8000.8780.874
Table 13. Static mechanical properties validation of JSC-1.
Table 13. Static mechanical properties validation of JSC-1.
Real Lunar Soil (Averaged)JSC-1 [16]DEM Simulant
Bulk density ρ , g/cm30.86~1.931.631.64
Particle density ρ P , g/cm32.3~3.22.902.93
Cohesion c , kPa0.1~11.000 *
Internal friction angle θ R **, °30~5045.0044.92
* As the cohesion of lunar soil is small, it was considered to be 0 to improve the calculation efficacy; ** Lunar soil is a typically granular material in the environment without water, and the angle of repose equals the internal friction angle.
Table 14. Microscopic parameters selected for simulating JSC-1.
Table 14. Microscopic parameters selected for simulating JSC-1.
ParametersValueParametersValue
Time increments, s1 × 10−5 Normal   spring   stiffness   K N , N/m;7.5 × 104
Gravity g, cm/s2−980 Normal   damping   η N ,   N s / m 0.25
Particle   density   ρ P , g/cm32.93 Tan gential   spring   stiffness   K T , N/m7.5 × 104
Particle size (cm)0.2~1 Tan gential   damping   η T ,   N s / m 0.25
Number of elements, NE2 Particle   friction   angle   θ F , °40
Table 15. Microscopic parameters selected for simulating FJS-1.
Table 15. Microscopic parameters selected for simulating FJS-1.
ParametersValueParametersValue
Time increments, s2 × 10−5 Normal   spring   stiffness   K N , N/m;3.5 × 103
Gravity g, cm/s2−980 Normal   damping   η N ,   N s / m 0.20
Particle   density   ρ P , g/cm32.93 Tan gential   spring   stiffness   K T , N/m3.5 × 103
Particle size (cm)2.5~5 Tan gential   damping   η T ,   N s / m 0.20
Number of elements, NE6 Particle   friction   angle   θ F , °10
Table 16. Static mechanical properties validation of FJS-1.
Table 16. Static mechanical properties validation of FJS-1.
Real Lunar Soil (Averaged)FJS-1 [20]DEM Simulant
Bulk density ρ , g/cm30.86~1.931.461.43
Particle   density   ρ P , g/cm32.3~3.22.942.93
Cohesion c , kPa0.1~18.000
Internal   friction   angle   θ R , °30~5037.2038.20
Disclaimer/Publisher’s Note: The statements, opinions and data contained in all publications are solely those of the individual author(s) and contributor(s) and not of MDPI and/or the editor(s). MDPI and/or the editor(s) disclaim responsibility for any injury to people or property resulting from any ideas, methods, instructions or products referred to in the content.

Share and Cite

MDPI and ACS Style

Liu, J.; Li, Q.; Xiong, X.; Xie, L. Simplified Particle Models and Properties Analysis Designed for DEM Lunar Soil Simulants. Aerospace 2025, 12, 330. https://doi.org/10.3390/aerospace12040330

AMA Style

Liu J, Li Q, Xiong X, Xie L. Simplified Particle Models and Properties Analysis Designed for DEM Lunar Soil Simulants. Aerospace. 2025; 12(4):330. https://doi.org/10.3390/aerospace12040330

Chicago/Turabian Style

Liu, Junhao, Qian Li, Xiuli Xiong, and Lanlan Xie. 2025. "Simplified Particle Models and Properties Analysis Designed for DEM Lunar Soil Simulants" Aerospace 12, no. 4: 330. https://doi.org/10.3390/aerospace12040330

APA Style

Liu, J., Li, Q., Xiong, X., & Xie, L. (2025). Simplified Particle Models and Properties Analysis Designed for DEM Lunar Soil Simulants. Aerospace, 12(4), 330. https://doi.org/10.3390/aerospace12040330

Note that from the first issue of 2016, this journal uses article numbers instead of page numbers. See further details here.

Article Metrics

Back to TopTop