Theoretical Research on the Combustion Characteristics of Ammonium Dinitramide-Based Non-Toxic Aerospace Propellant
Abstract
1. Introduction
2. Theoretical Methods
3. Results and Discussion
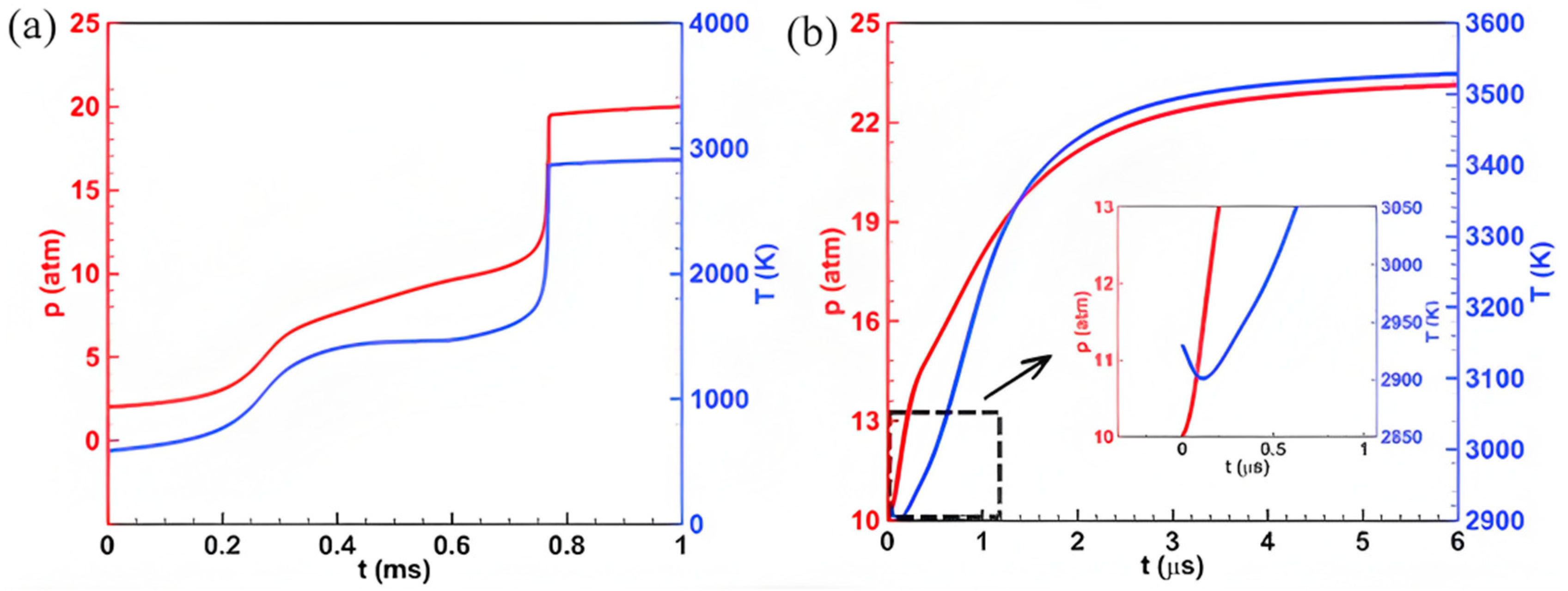
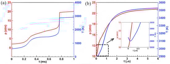
3.1. Time-Evolution Temperature and Pressure Analysis of ADN-Based Propellant
3.2. Combustion Products Analysis of ADN-Based Propellant
3.3. Equilibrium Pressure and Adiabatic Temperature Analysis of ADN-Based Propellant
3.4. Ignition Delay Time Analysis of ADN-Based Propellant
4. Conclusions
- ADN-based propellants exhibit distinct two-stage combustion characteristics under low-temperature and low-pressure conditions. However, under high-temperature and high-pressure conditions, these two combustion stages occur concurrently and cannot be clearly distinguished.
- An increase in temperature effectively shortened the ignition delay time and accelerated the combustion reactions. When the initial temperature rises from 400 K to 2800 K, the ignition delay time decreases from 3.5 ms to 0.6 μs at a pressure of P0 = 10 atm.
- Compared to changes in initial temperature, an increase in initial pressure has a relatively minor effect on the ignition delay time. These results indicate that temperature has a more significant impact on the combustion characteristics of ADN-based propellants than pressure.
Supplementary Materials
Author Contributions
Funding
Data Availability Statement
Conflicts of Interest
References
- Nagamachi, M.-Y.; Oliveira, J.-I.; Kawamoto, A.M.; Dutra, R.-C. ADN-The new oxidizer around the corner for an environmentally friendly smokeless propellant. J. Aerosp. Technol. Manag. 2009, 1, 153–160. [Google Scholar]
- Lee, D.; Kim, J.; Kwon, S. High performance microthruster with ammonium-dinitramide-based monopropellant. Sens. Actuators A Phys. 2018, 283, 211–219. [Google Scholar]
- Cheng, J.; Cao, J.; Li, F.; Zhang, Z.; Xu, J.; Ouyang, K.; Rossi, C.; Ye, Y.; Shen, R. Microwave controlled ignition and combustion characteristics of ADN-based ionic liquid propellant with fast response and environmental friendliness. Chem. Eng. J. 2023, 471, 144412. [Google Scholar] [CrossRef]
- Han, J.-H.; Jiang, L.-Y.; Ye, J.-F.; Song, J.-L.; Cui, H.-C.; Du, B.-S.; Feng, G.-P. Effects of nozzle type on combustion characteristics of Ammonium dinitramide-based energetic propellant. Aerospace 2024, 11, 935. [Google Scholar] [CrossRef]
- Jiang, L.-Y.; Mao, C.-T.; Han, J.-H.; Cui, H.-C.; Du, B.-S.; Zheng, Y.-Z.; Ye, J.-F.; Hong, Y.-J. Effects of Different initial conditions on combustion process of Ammonium dinitramide-based energetic propellant in Straight nozzle. Aerospace 2024, 11, 437. [Google Scholar] [CrossRef]
- Bottaro, J.C.; Penwell, P.E.; Schmitt, R.J. 1,1,3,3-Tetraoxo-1,2,3-triazapropene Anion, a New Oxy Anion of Nitrogen: The Dinitramide Anion and Its Salts. J. Am. Chem. Soc. 1997, 119, 9405–9410. [Google Scholar] [CrossRef]
- Christe, K.O.; Wilson, W.W.; Petrie, M.A.; Michels, H.H.; Bottaro, J.C.; Gilardi, R. The Dinitramide Anion, N(NO2)2−. Inorg. Chem. 1996, 35, 5068–5071. [Google Scholar] [CrossRef] [PubMed]
- Östmark, H.; Bemm, U.; Langlet, A.; Sandén, R.; Wingborg, N. The Properties of Ammonium Dinitramide (ADN): Part 1, Basic Properties and Spectroscopic Data. J. Energ. Mater. 2000, 18, 123–138. [Google Scholar] [CrossRef]
- Golden, D.M.; McMillen, D.F.; Rossi, M.J. Low Pressure Thermal Decomposition Studies Selected Nitramine and Dinitramine Energetic Materials; ADA247972; SRI International: Menlo Park, CA, USA, 1992. [Google Scholar]
- VA, T.; OA, L.Y. Synthesis of Dinitramide Salts. In Proceedings of the 25th International Annual Conference of ICT, Karlsruhe, Germany, 28 June–1 July 1994; p. 13. [Google Scholar]
- Li, H.-M.; Li, G.-X.; Li, L.; Yao, Z.-P. Experimental study on thermal ignition and combustion of droplet of ammonium dinitramide based liquid propellant in different oxidizing gas atmospheres. Acta Astronaut. 2020, 169, 40–49. [Google Scholar]
- Ide, Y.; Takahashi, T.; Iwai, K.; Nozoe, K.; Habu, H.; Tokudome, S. Potential of ADN-based Ionic Liquid Propellant for Spacecraft Propulsion. Procedia Eng. 2015, 99, 332–337. [Google Scholar]
- Matsunaga, H.; Habu, H.; Miyake, A. Preparation and thermal decomposition behavior of ammonium dinitramide-based energetic ionic liquid propellant. Sci. Technol. Energ. Mater. 2017, 78, 65–70. [Google Scholar]
- Matsunaga, H.; Katoh, K.; Habu, H.; Noda, M.; Miyake, A. Thermal behavior of ammonium dinitramide and amine nitrate mixtures. J. Therm. Anal. Calorim. 2018, 135, 2677–2685. [Google Scholar] [CrossRef]
- Yao, Z.; Zhang, W.; Wang, M.; Chen, J.; Shen, Y.; Wei, Y.; Yu, X.; Li, F.; Zeng, H. Tunable diode laser absorption spectroscopy measurements of high-pressure ammonium dinitramide combustion. Aerosp. Sci. Technol. 2015, 45, 140–149. [Google Scholar] [CrossRef]
- Zeng, H.; Li, F.; Yu, X.-L.; Chen, L.-Z.; Yao, Z.-P.; Zhang, W. Mid-infrared absorption combustion diagnostics for an ADN based thruster. J. Exp. Fluid Mech. 2017, 31, 47–53. [Google Scholar]
- Wang, F.-Y.; Zhang, S.-H.; Yu, X.-L. Spectroscopic Study of Plasma Generate by Laser-Induced Breakdown of ADN-based Propellant. Phys. Gases 2020, 5, 38–46. [Google Scholar]
- Shen, J.-N.; Yu, Y.-S.; Liu, X.-H.; Cao, J. Experimental research on microwave ignition and combustion characteristics of ADN-based liquid propellant. Micromachines 2022, 13, 510. [Google Scholar] [CrossRef] [PubMed]
- Yu, Y.-S.; Li, G.-X.; Zhang, T.; Chen, J.; Wang, M. Effects of Catalyst-Bed’s Structure Parameters on Decomposition and Combustion Characteristics of an Ammonium Dinitramide (ADN)-Based Thruster. Energy Conv. Manag. 2015, 106, 566–575. [Google Scholar] [CrossRef]
- Hou, Y.-Y.; Yu, Y.-S.; Li, Y.-L. Experimental study on microwave-induced puffing, micro-explosion, and combustion characteristics of ammonium dinitramide-based liquid propellant droplets. Phys. Fluids 2023, 35, 117122. [Google Scholar]
- Jiang, L.-Y.; Chen, Y.-T.; Mao, C.-T.; Han, J.-H.; Chen, A.-M.; Ye, J.-F. Research on the performance of ammonium dinitramide-based liquid propellant in pulse laser ablation micro propulsion system based on LIBS. Plasma Sci. Technol. 2024, 27, 015503. [Google Scholar] [CrossRef]
- Du, B.; Zheng, Y.; Mao, C.; Cui, H.; Han, J.; Jiang, L.; Ye, J.; Hong, Y. Transmissive Mode Laser Micro-Ablation Performance of Ammonium Dinitramide-Based Liquid Propellant for Laser Micro-Thruster. Micromachines 2023, 14, 1219. [Google Scholar] [CrossRef]
- Velardez, G.F.; Alavi, S.; Thompson, D.L. Molecular Dynamics Studies of Melting and Liquid Properties of Ammonium Dinitramide. J. Chem. Phys. 2003, 119, 6698–6708. [Google Scholar] [CrossRef]
- Zhang, W.; Xie, W.-X.; Fan, X.-Z. Energetic characteristics and comprehensive properties of propellants containing ADN. Chin. J. Explos. Prop. 2015, 38, 81–85. [Google Scholar]
- Jing, L.; You, X.; Huo, J.; Zhu, M.; Yao, Z. Experimental and Numerical Studies of Ammonium Dinitramide Based Liquid Propellant Combustion in Space Thruster. Aerosp. Sci. Technol. 2017, 69, 161–170. [Google Scholar] [CrossRef]
- Jing, L.; Huo, J.; Wang, H.; You, X.; Zhu, M.; Yang, Y.; Yao, Z. Experimental Investigation on the Evaporation and Combustion Processes of Ammonium-Dinitramide-Based Liquid Propellant. J. Propuls. Power 2017, 33, 343–349. [Google Scholar] [CrossRef]
- Liu, X.; Su, G.; Yao, Z.; Yan, Z.; Yu, Y. Numerical Study of Flow Boiling of ADN-Based Liquid Propellant in a Capillary. Materials 2023, 16, 1858. [Google Scholar] [CrossRef] [PubMed]
- Huang, Z.; Zhao, M.; Xu, Y.; Li, G.; Zhang, H. Eulerian-Lagrangian Modelling of Detonative Combustion in Two-phase Gas-droplet Mixtures with OpenFOAM: Validations and Verifications. Fuel 2021, 286, 119402. [Google Scholar] [CrossRef]
- Gutiérrez Marcantoni, L.F.; Tamagno, J.; Elaskar, S. Rhocentralrffoam: An Openfoam Solver for High Speed Chemically Active Flows—Simulation of Planar Detonations–. Comput. Phys. Commun. 2017, 219, 209–222. [Google Scholar] [CrossRef]
- Dasgupta, A.; Gonzalez-Juez, E.; Haworth, D.C. Flame Simulations with an Open-source Code. Comput. Phys. Commun. 2019, 237, 219–229. [Google Scholar] [CrossRef]
- Poinsot, T.; Veynante, D. Theoretical and Numerical Combustion, 3rd ed.; R.T. Edwards, Inc.: Philadelphia, PA, USA, 2012. [Google Scholar]
- Issa, R.I. Solution of the Implicitly Discretised Fluid Flow Equations by Operator-Splitting. J. Comput. Phys. 1986, 62, 40–65. [Google Scholar] [CrossRef]






| Conditions | Pressure (atm) | Temperature (K) | Conditions | Pressure (atm) | Temperature (K) |
|---|---|---|---|---|---|
| 1 | 1 | 400 | 13 | 7 | 2000 |
| 2 | 1 | 1200 | 14 | 7 | 2800 |
| 3 | 1 | 2000 | 15 | 10 | 400 |
| 4 | 1 | 2800 | 16 | 10 | 1200 |
| 5 | 4 | 400 | 17 | 10 | 2000 |
| 6 | 4 | 1200 | 18 | 10 | 2800 |
| 7 | 4 | 2000 | 17 | 15 | 400 |
| 8 | 4 | 2800 | 18 | 15 | 1200 |
| 9 | 7 | 400 | 19 | 15 | 2000 |
| 10 | 7 | 1200 | 20 | 15 | 2800 |
Disclaimer/Publisher’s Note: The statements, opinions and data contained in all publications are solely those of the individual author(s) and contributor(s) and not of MDPI and/or the editor(s). MDPI and/or the editor(s) disclaim responsibility for any injury to people or property resulting from any ideas, methods, instructions or products referred to in the content. |
© 2025 by the authors. Licensee MDPI, Basel, Switzerland. This article is an open access article distributed under the terms and conditions of the Creative Commons Attribution (CC BY) license (https://creativecommons.org/licenses/by/4.0/).
Share and Cite
Han, J.; Wen, M.; Hong, Y.; Du, B.; Jiang, L.; Cui, H.; Feng, G.; Song, J. Theoretical Research on the Combustion Characteristics of Ammonium Dinitramide-Based Non-Toxic Aerospace Propellant. Aerospace 2025, 12, 295. https://doi.org/10.3390/aerospace12040295
Han J, Wen M, Hong Y, Du B, Jiang L, Cui H, Feng G, Song J. Theoretical Research on the Combustion Characteristics of Ammonium Dinitramide-Based Non-Toxic Aerospace Propellant. Aerospace. 2025; 12(4):295. https://doi.org/10.3390/aerospace12040295
Chicago/Turabian StyleHan, Jianhui, Ming Wen, Yanji Hong, Baosheng Du, Luyun Jiang, Haichao Cui, Gaoping Feng, and Junling Song. 2025. "Theoretical Research on the Combustion Characteristics of Ammonium Dinitramide-Based Non-Toxic Aerospace Propellant" Aerospace 12, no. 4: 295. https://doi.org/10.3390/aerospace12040295
APA StyleHan, J., Wen, M., Hong, Y., Du, B., Jiang, L., Cui, H., Feng, G., & Song, J. (2025). Theoretical Research on the Combustion Characteristics of Ammonium Dinitramide-Based Non-Toxic Aerospace Propellant. Aerospace, 12(4), 295. https://doi.org/10.3390/aerospace12040295

