Fire Control Radar Fault Prediction with Real-Flight Data
Abstract
1. Introduction
2. Related Works
2.1. Data Driven CBM+
2.2. CBM+ in Aircraft
3. Flight Data
3.1. About Flight Data
3.2. Avionics Communication Data (M1553B)
3.2.1. MIL-STD-1553B
3.2.2. Collected Data
3.2.3. Used Parameters
3.2.4. Preprocessing
- Nearest Interpolation
- 2.
- Noise Smoothing
- 3.
- Scaling
- 4.
- Padding
3.3. Maintenance Fault List
3.3.1. Target Subsystem
3.3.2. Mapping with MUX
4. Feature Extraction
4.1. Model Architecture
4.1.1. Encoder–Decoder Architecture
4.1.2. CNN
4.1.3. LSTM
4.2. Experiment
4.2.1. Data Integration
4.2.2. Hyperparameters
4.3. Result
5. Fault Prediction
5.1. Data Preparation
5.1.1. Window Strategy
5.1.2. Data Labeling
- Normal label (0): When no fault occurs during the corresponding section.
- Abnormal label (1): When a fault occurs during the last 10 s of the corresponding section.
5.1.3. Data Imbalance
5.2. Experiment
5.2.1. Prediction Model
5.2.2. Individual Aircraft Training
5.2.3. Evaluation Metric
5.2.4. Undersampling Validation
5.3. Result
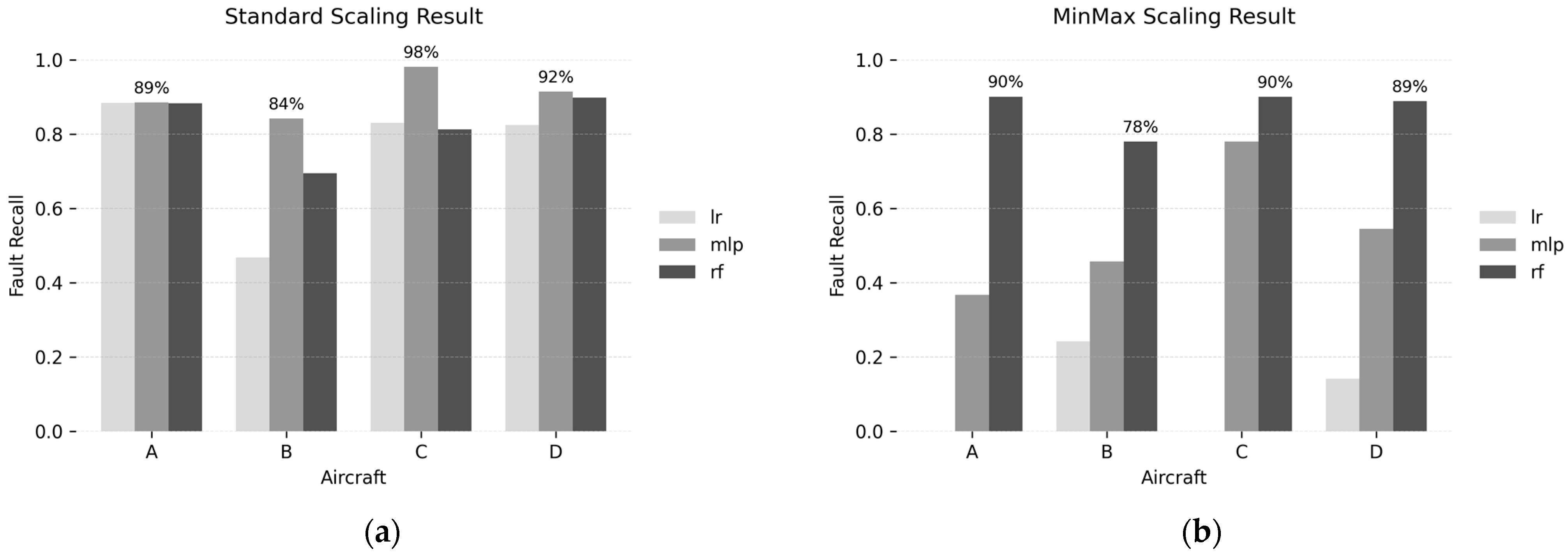
5.3.1. Scaling and Model Comparison Result
5.3.2. Window Size Effect Result
5.3.3. Overfitting Validation Result
5.3.4. Undersampling Validation Result
5.3.5. Summary and Discussion
6. Conclusions
Author Contributions
Funding
Data Availability Statement
Conflicts of Interest
Abbreviations
| AA | Aircraft Availability |
| ALIS | Autonomic Logistics Information System |
| BC | Bus Controller |
| CBM+ | Condition Maintenance Management Plus |
| CI | Condition Indicators |
| CNN | Convolutional Neural Network |
| DoD | Department of Defense |
| FCR | Fire Control Radar |
| FDR | Flight Data Recorder |
| FN | False Negative |
| FP | False Positive |
| HUMS | Health and Usage Monitoring Systems |
| KDE | Kernel Density Estimation |
| LR | Logistic Regression |
| LRU | Line Replaceable Unit |
| LSTM | Long-Short Term Memory |
| MFL | Maintenance Fault List |
| MLP | Multi-Layer Perceptron |
| MSE | Mean-Squared Error |
| NMCM | Non-Mission Capable Maintenance |
| NMCMU | Non-Mission Capable Maintenance Unscheduled |
| ODIN | Operational Data Integrated Network |
| PHM | Prognostic Health Management |
| RF | Random Forest |
| RT | Remote Terminal |
| RUL | Remaining Useful Life |
| SI | System Integration |
| TR | True Positive |
Appendix A


References
- Ritschel, J.; Ritschel, T.; York, N. Providing a Piece of the Puzzle: Insights into the Aircraft Availability Conundrum. J. Def. Anal. Logist. 2019, 3, 29–40. [Google Scholar] [CrossRef]
- U.S. Army. Aeronautical Design Standard: Handbook for Condition Based Maintenance Systems for US Army Aircraft Systems (ADS-79D-HDBK); U.S. Army: Washington, DC, USA, 2013. [Google Scholar]
- U.S. Department of Defense. DoD Directive 4151.18: Maintenance of Military Materiel; U.S. Department of Defense: Washington, DC, USA, 2004. [Google Scholar]
- U.S. Department of Defense. DoD Instruction 4151.22: Condition-Based Maintenance Plus for Materiel Maintenance; U.S. Department of Defense: Washington, DC, USA, 2018. [Google Scholar]
- U.S. Department of Defense. DoD Condition-Based Maintenance Plus (CBM+) Guidebook; Defense Acquisition University: Washington, DC, USA, 2024. [Google Scholar]
- U.S. Air Force. CBM Redefines Aircraft Maintenance. Available online: https://www.af.mil/News/Article-Display/Article/2438612/cbm-redefines-aircraft-maintenance (accessed on 15 December 2024).
- Army Aviation Magazine. Why Do We Need CBM? Available online: https://armyaviationmagazine.com/why-do-we-need-cbm/ (accessed on 15 December 2024).
- F-35 Official Site. Sustainment. Available online: https://www.f35.com/f35/about/sustainment.html (accessed on 10 April 2025).
- Li, Y.; Peng, S.; Li, Y.; Jiang, W. A Review of Condition-Based Maintenance: Its Prognostic and Operational Aspects. Front. Eng. Manag. 2020, 7, 323–334. [Google Scholar] [CrossRef]
- Wang, H.; Zhong, D.; Zhao, T. Avionics System Failure Analysis and Verification Based on Model Checking. Eng. Fail. Anal. 2019, 105, 373–385. [Google Scholar] [CrossRef]
- Fioriti, M.; Vercella, V.; Viola, N. Cost-Estimating Model for Aircraft Maintenance. J. Aircr. 2018, 55, 1564–1575. [Google Scholar] [CrossRef]
- Susinni, G.; Rizzo, S.A.; Iannuzzo, F. Two Decades of Condition Monitoring Methods for Power Devices. Electronics 2021, 10, 683. [Google Scholar] [CrossRef]
- Yang, S.; Xiang, D.; Bryant, A.; Mawby, P.; Ran, L.; Tavner, P. Condition Monitoring for Device Reliability in Power Electronic Converters: A Review. IEEE Trans. Power Electron. 2010, 25, 2734–2752. [Google Scholar] [CrossRef]
- Barakat, E.; Sinno, N.; Keyrouz, C. A Remote Monitoring System for Voltage, Current, Power and Temperature Measurements. Phys. Procedia 2014, 55, 421–428. [Google Scholar] [CrossRef][Green Version]
- El Mir, H.; King, S.; Skote, M.; Perinanayagam, S. Machine Learning Requirements for the Airworthiness of Structural Health Monitoring Systems in Aircraft. In Proceedings of the 38th Conference and 31st Symposium of the International Committee on Aeronautical Fatigue and Structural Integrity (ICAF 2023), Delft, The Netherlands, 26–29 June 2023. [Google Scholar][Green Version]
- Lee, I.; Jeong, S.; Shim, B. Analysis of Maintenance Records by System and Equipment for CBM+ Implementation. In Proceedings of the KSAS 2025 Spring Conference, Jeju, Republic of Korea, 2–4 April 2025. [Google Scholar][Green Version]
- Lei, Y.; Li, N.; Guo, L.; Li, N.; Yan, T.; Lin, J. Machinery Health Prognostics: A Systematic Review from Data Acquisition to RUL Prediction. Mech. Syst. Signal Process. 2018, 104, 799–834. [Google Scholar] [CrossRef]
- Zhang, W.; Yang, D.; Wang, H. Data-Driven Methods for Predictive Maintenance of Industrial Equipment: A Survey. IEEE Syst. J. 2019, 13, 2213–2227. [Google Scholar] [CrossRef]
- Parashare, G.R. Data-Driven Process Optimization Using AI and Statistical Methods in High-Tech Manufacturing. Int. J. Sci. Res. Manag. 2024, 12, 1854–1874. [Google Scholar] [CrossRef]
- Stanton, I.; Munir, K.; Ikram, A.; El-Bakry, M. Predictive Maintenance Analytics and Implementation for Aircraft: Challenges and Opportunities. Syst. Eng. 2023, 26, 216–237. [Google Scholar] [CrossRef]
- Chen, C.; Shi, J.; Lu, N.; Zhu, G.; Jiang, B. Data-Driven Predictive Maintenance Strategy Considering the Uncertainty in Remaining Useful Life Prediction. Neurocomputing 2022, 494, 618–631. [Google Scholar] [CrossRef]
- Fitrayudha, A.; Sastra, K. Predictive Maintenance for Aircraft Engine Using Machine Learning: Trends and Challenges. AVIA Int. J. Aviat. Sci. Eng. 2021, 3, 37–44. [Google Scholar] [CrossRef]
- Kosova, F.; Altay, O.; Ünver, H.O. Structural Health Monitoring in Aviation: A Comprehensive Review and Future Directions for Machine Learning. Nondestruct. Test. Eval. 2024, 40, 1–60. [Google Scholar] [CrossRef]
- Fu, S.; Avdelidis, N.P. Prognostic and Health Management of Critical Aircraft Systems and Components: An Overview. Sensors 2023, 23, 8124. [Google Scholar] [CrossRef] [PubMed]
- Skaf, Z.A. A Rare Failure Detection Model for Aircraft Predictive Maintenance Using a Deep Hybrid Learning Approach. Neural Comput. Appl. 2022, 34, 12415–12428. [Google Scholar] [CrossRef]
- Bharadwaj, R.; Kim, K.; Kulkarni, C.; Biswas, G. Model-Based Avionics System Fault Simulation and Detection. In Proceedings of the AIAA Infotech@Aerospace Conference, Atlanta, GA, USA, 20–22 April 2010. [Google Scholar]
- Chen, S.; Ge, H.; Li, J.; Pecht, M. Progressive Improved Convolutional Neural Network for Avionics Fault Diagnosis. IEEE Access 2019, 7, 177362–177375. [Google Scholar] [CrossRef]
- Tirpak, J.A. F-35 Program Dumps ALIS for ODIN. Air & Space Forces. 2020. Available online: https://www.airandspaceforces.com/f-35-program-dumps-alis-for-odin/ (accessed on 15 September 2025).
- U.S. Government Accountability Office (GAO). F-35 Joint Strike Fighter: DOD Needs to Address ALIS Design and Performance Challenges; GAO-20-316; U.S. Government Accountability Office (GAO): Washington, DC, USA, 2020. [Google Scholar]
- Tucker, J.; Rajamani, R. Health Monitoring Survey of Bell 412EP Transmissions; NASA Technical Memorandum NASA/TM–2016–219202; NASA: Washington, DC, USA, 2016. [Google Scholar]
- Savitzky, A.; Golay, M.J.E. Smoothing and Differentiation of Data by Simplified Least Squares Procedures. Anal. Chem. 1964, 36, 1627–1639. [Google Scholar] [CrossRef]
- Lakshmaiah, A.; Ray, K.P.; Prasad, N.N.S.S.R.K. Analysis of Nosecone Radome Effects of Active Electronically Scanned Array (AESA) Radar Performance of Fighter Aircrafts. In Proceedings of the 2019 IEEE Indian Conference on Antennas and Propagation (InCAP), Visakhapatnam, India, 19–22 December 2019; pp. 1–3. [Google Scholar] [CrossRef]
- Voß, A.; Klimmek, T. Parametric Aeroelastic Modeling, Maneuver Loads Analysis Using CFD Methods and Structural Design of a Fighter Aircraft. Aerosp. Sci. Technol. 2023, 136, 108231. [Google Scholar] [CrossRef]
- Fidan, Ş.S.; Ünal, R. A Survey on Ceramic Radome Failure Types and the Importance of Defect Determination. Eng. Fail. Anal. 2023, 149, 107234. [Google Scholar] [CrossRef]
- Garg, S.; Krishnamurthi, R. A CNN Encoder Decoder LSTM Model for Sustainable Wind Power Predictive Analytics. Sustain. Comput. Inform. Syst. 2023, 38, 100869. [Google Scholar] [CrossRef]
- Liu, Y.; Young, R.; Jafarpour, B. Long–Short-Term Memory Encoder–Decoder with Regularized Hidden Dynamics for Fault Detection in Industrial Processes. J. Process Control 2023, 124, 166–178. [Google Scholar] [CrossRef]
- Jadon, A.; Patil, A.; Jadon, S. A Comprehensive Survey of Regression-Based Loss Functions for Time Series Forecasting. In Data Management, Analytics and Innovation; Sharma, N., Goje, A.C., Chakrabarti, A., Bruckstein, A.M., Eds.; Springer: Singapore, 2024; Volume 998, pp. 1–15. [Google Scholar]
- Ge, R.; Kakade, S.M.; Kidambi, R.; Netrapalli, P. The Step Decay Schedule: A Near Optimal, Geometrically Decaying Learning Rate Procedure for Least Squares. arXiv 2019, arXiv:1909.09821. [Google Scholar] [CrossRef]
- Luo, Y.; Zhao, X.; Liu, B.; He, S. Condition-Based Maintenance Policy for Systems under Dynamic Environment. Reliab. Eng. Syst. Saf. 2024, 246, 110072. [Google Scholar] [CrossRef]
- Crespo del Castillo, A.; Parlikad, A.K. Dynamic Fleet Management: Integrating Predictive and Preventive Maintenance with Operation Workload Balance to Minimise Cost. Reliab. Eng. Syst. Saf. 2024, 249, 110243. [Google Scholar] [CrossRef]








| Used Parameters | |
|---|---|
| Weight on Wheels | Yaw Rate |
| Pressure Altitude | Rudder Ram Position |
| Mach Number | Right Horizontal Tail Ram Position |
| Calibrated Airspped | Left Horizontal Tail Ram Position |
| Longitudinal Acceleration | Right Flaperon Ram Position |
| Lateral Acceleration | Left Flaperon Ram Position |
| Normal Acceleration | Platform Azimuth |
| Angle of Attack | Core Speed |
| Angle of Sideslip | Freestream Air Temperature |
| Roll Rate | Pitch Rate |
| Hyperparameters | Value | |
|---|---|---|
| batch | 256 | |
| Learning Rate Scheduler | Init | 0.001 |
| Step | 3 | |
| Gamma | 0.9 | |
| Early Stopping | Threshold | 0.001 |
| Patience | 10 | |
| Aircraft | Flight | Abnormal Case |
|---|---|---|
| A | 15 | 60 |
| B | 82 | 90 |
| C | 12 | 59 |
| D | 62 | 125 |
| Scaling | Craft | Predictor | Fault Recall | Accuracy | Precision | F1 Score | Recall | Normal Recall |
|---|---|---|---|---|---|---|---|---|
| Standard | A | lr | 0.885 | 0.964 | 0.897 | 0.912 | 0.929 | 0.974 |
| mlp | 0.886 | 0.975 | 0.936 | 0.935 | 0.936 | 0.986 | ||
| rf | 0.884 | 0.984 | 0.976 | 0.957 | 0.94 | 0.996 | ||
| B | lr | 0.468 | 0.875 | 0.748 | 0.72 | 0.707 | 0.946 | |
| mlp | 0.842 | 0.9 | 0.801 | 0.827 | 0.877 | 0.912 | ||
| rf | 0.695 | 0.927 | 0.874 | 0.843 | 0.832 | 0.97 | ||
| C | lr | 0.831 | 0.979 | 0.973 | 0.94 | 0.913 | 0.996 | |
| mlp | 0.981 | 0.984 | 0.945 | 0.961 | 0.983 | 0.984 | ||
| rf | 0.813 | 0.979 | 0.979 | 0.938 | 0.906 | 0.998 | ||
| D | lr | 0.825 | 0.923 | 0.877 | 0.881 | 0.886 | 0.948 | |
| mlp | 0.915 | 0.938 | 0.892 | 0.907 | 0.93 | 0.944 | ||
| rf | 0.899 | 0.96 | 0.939 | 0.937 | 0.937 | 0.976 | ||
| MinMax | A | lr | 0.000 | 0.891 | 0.446 | 0.471 | 0.499 | 0.998 |
| mlp | 0.367 | 0.900 | 0.623 | 0.631 | 0.665 | 0.962 | ||
| rf | 0.902 | 0.989 | 0.994 | 0.971 | 0.951 | 1.000 | ||
| B | lr | 0.242 | 0.859 | 0.795 | 0.615 | 0.606 | 0.970 | |
| mlp | 0.458 | 0.886 | 0.784 | 0.734 | 0.710 | 0.962 | ||
| rf | 0.780 | 0.946 | 0.912 | 0.889 | 0.878 | 0.976 | ||
| C | lr | 0.000 | 0.894 | 0.447 | 0.472 | 0.500 | 1.000 | |
| mlp | 0.781 | 0.966 | 0.929 | 0.905 | 0.884 | 0.988 | ||
| rf | 0.901 | 0.987 | 0.985 | 0.966 | 0.949 | 0.998 | ||
| D | lr | 0.142 | 0.827 | 0.898 | 0.569 | 0.570 | 0.998 | |
| mlp | 0.545 | 0.864 | 0.705 | 0.713 | 0.743 | 0.941 | ||
| rf | 0.889 | 0.963 | 0.950 | 0.942 | 0.935 | 0.982 |
Disclaimer/Publisher’s Note: The statements, opinions and data contained in all publications are solely those of the individual author(s) and contributor(s) and not of MDPI and/or the editor(s). MDPI and/or the editor(s) disclaim responsibility for any injury to people or property resulting from any ideas, methods, instructions or products referred to in the content. |
© 2025 by the authors. Licensee MDPI, Basel, Switzerland. This article is an open access article distributed under the terms and conditions of the Creative Commons Attribution (CC BY) license (https://creativecommons.org/licenses/by/4.0/).
Share and Cite
Kim, M.; Lee, I.; Jeong, S.-H.; An, D.; Shim, B. Fire Control Radar Fault Prediction with Real-Flight Data. Aerospace 2025, 12, 945. https://doi.org/10.3390/aerospace12100945
Kim M, Lee I, Jeong S-H, An D, Shim B. Fire Control Radar Fault Prediction with Real-Flight Data. Aerospace. 2025; 12(10):945. https://doi.org/10.3390/aerospace12100945
Chicago/Turabian StyleKim, Minyoung, Ikgyu Lee, Seon-Ho Jeong, Dawn An, and Byoungserb Shim. 2025. "Fire Control Radar Fault Prediction with Real-Flight Data" Aerospace 12, no. 10: 945. https://doi.org/10.3390/aerospace12100945
APA StyleKim, M., Lee, I., Jeong, S.-H., An, D., & Shim, B. (2025). Fire Control Radar Fault Prediction with Real-Flight Data. Aerospace, 12(10), 945. https://doi.org/10.3390/aerospace12100945

