Joint Estimation of Attitude and Optical Properties of Uncontrolled Space Objects from Light Curves Considering Atmospheric Effects
Abstract
1. Introduction
1.1. Literature Review
1.2. Research Objectives
2. Materials and Methods
2.1. Attitude Model
- Over extended periods, energy dissipation causes space objects that have remained free from collisions or explosions to settle into a flat spin, rotating solely around their principal axis of maximum inertia. This phenomenon is caused by dissipative torques like those generated by eddy currents and atmospheric drag. Indeed, even in the absence of external torques, objects gradually lose energy through internal damping because they are not perfectly rigid [39].
- Even if space objects undergo precession, in which the spin axis traces a conical path around a fixed reference axis, the precession period is generally much longer than the spin period—typically on the order of tens of seconds for spinning, compared to hundreds or even thousands of seconds for precession [40]. Considering that typical visibility intervals for Low Earth Orbit (LEO) objects are around five minutes, the precession period usually extends beyond the observation window. Consequently, sensors primarily capture the photometric signature induced by the spinning motion.
- The orientation of the body-fixed frame B with respect to the inertial frame I, represented by Euler angles (yaw, pitch and roll) following the ZYX convention.
- The orientation of the spin axis relative to frame B, expressed in terms of azimuth and elevation angles.
- The inertial spin period, which should not be confused with the apparent rotation period observed from the sensor’s location.
2.2. Observation Model
2.3. AISwarm-LS Light Curve Inversion Method
2.3.1. Light Curves Pre-Processing
2.3.2. Global Estimation Method
- (a)
- Adaptive Particle Allocation
- (b)
- Systematic Resampling
- (c)
- Particle Swarm Optimisation
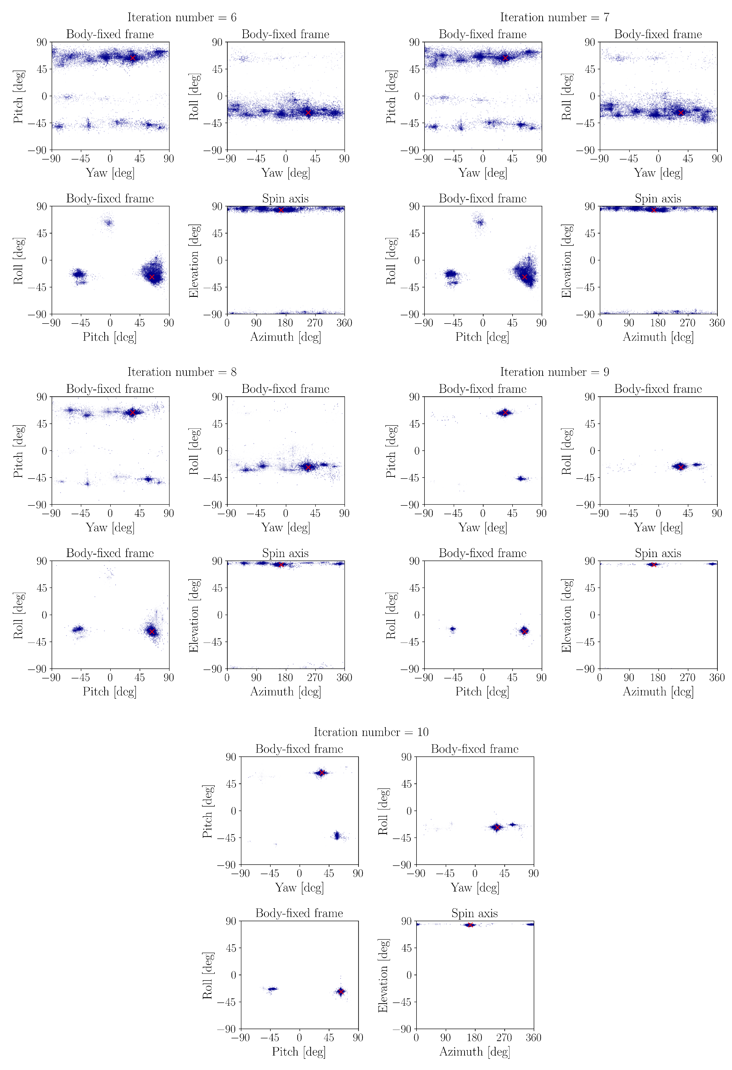
- Selected particles must have a WRMSE within the first tertile of the current iteration’s WRMSE distribution. Replicated particles resulting from the resampling step, if any, are considered only once. Global best states from the previous iteration that meet this WRMSE threshold are also retained.
- Only the particle with the lowest WRMSE within a defined neighbourhood is selected. Neighbourhoods are defined under the assumption that distinct attitude solutions cannot exist within an angular separation of 30 deg. Two particles are considered to belong to the same neighbourhood if the angular distance between their respective attitude states is lower than this threshold.
- (d)
- Cluster Analysis
- The neighbourhood radius, which defines the maximum distance within which a point is considered a neighbour of another point.
- The minimum number of points required to form a cluster.
- Global criterion: at least 80% of the particles must be assigned to a cluster.
- Local criterion: the WRMSE associated with the state estimate of each cluster must be below 1.1, and the relative change in WRMSE between consecutive iterations must be less than 5%.
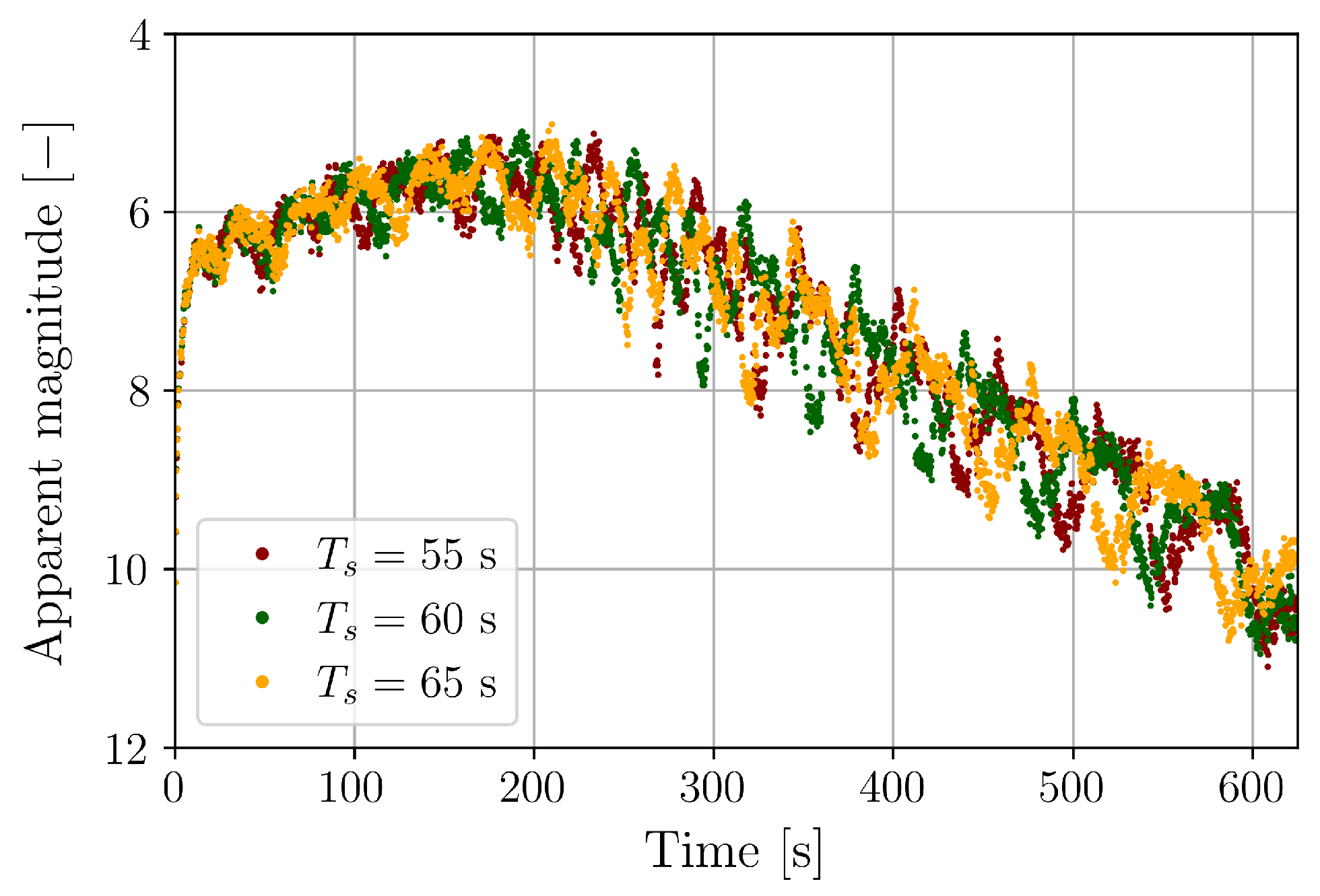
2.3.3. Inertial Spin Period Estimation
2.3.4. Optical Properties and AOD Estimation
3. Results and Discussion
4. Conclusions
Author Contributions
Funding
Data Availability Statement
Acknowledgments
Conflicts of Interest
Abbreviations
| AHMC | Adaptive Hamiltonian Markov Chain Monte Carlo |
| AIS | Adaptive Importance Sampling |
| ADR | Active Debris Removal |
| AGMUKF | Adaptive Gaussian Mixtures Unscented Kalman Filter |
| AO | Adaptive Optics |
| AOD | Aerosol Optical Depth |
| BOBYQA | Bound Optimisation BY Quadratic Approximation |
| BRDF | Bidirectional Reflectance Distribution Function |
| CPU | Central Processing Unit |
| DBSCAN | Density-Based Spatial Clustering of Applications with Noise |
| GCRF | Geocentric Celestial Reference Frame |
| GPR | Gaussian Process Regression |
| GPU | Graphics Processing Unit |
| IOD | Initial Orbit Determination |
| IOS | In-Orbit Servicing |
| ISAR | Inverse Synthetic Aperture Radar |
| LEO | Low Earth Orbit |
| LM | Levenberg–Marquardt |
| LSM | Least Squares Method |
| MMAE | Multiple-Model Adaptive Estimation |
| MPSO | Multiplicative Particle Swarm Optimisation |
| MLI | Multi-Layer Insulation |
| OLS | Ordinary Least Squares |
| PSO | Particle Swarm Optimisation |
| PHD | Probability Hypothesis Density |
| RCS | Radar Cross-Section |
| RBPF | Rao-Blackwellised Particle Filter |
| SIR | Sample Importance Resampling |
| SST | Space Surveillance and Tracking |
| UKF | Unscented Kalman Filter |
| UPF | Unscented Particle Filter |
| WRMSE | Weighted Root Mean Square Error |
References
- European Space Agency. Space Debris by the Numbers. 2025. Available online: https://www.esa.int/Space_Safety/Space_Debris/Space_debris_by_the_numbers (accessed on 15 October 2025).
- Kaasalainen, M.; Lamberg, L.; Lumme, K. Inversion methods for interpretation of asteroid lightcurves. In Proceedings of the Asteroids, Comets, Meteors, Flagstaff, AZ, USA, 24–28 June 1991; Lunar and Planetary Institute: Houston, TX, USA, 1992. [Google Scholar]
- Kaasalainen, M.; Torppa, J. Optimization Methods for Asteroid Lightcurve Inversion: I. Shape Determination. Icarus 2001, 153, 24–36. [Google Scholar] [CrossRef]
- Kaasalainen, M.; Torppa, J.; Muinonen, K. Optimization Methods for Asteroid Lightcurve Inversion: II. The Complete Inverse Problem. Icarus 2001, 153, 37–51. [Google Scholar] [CrossRef]
- Hall, D.; Calef, B.; Knox, K.; Bolden, M.; Kervin, P. Separating Attitude and Shape Effects for Non-resolved Objects. In Proceedings of the 2007 AMOS Technical Conference Proceedings, Kihei, Maui, HI, USA, 12–15 September 2007; pp. 464–475. [Google Scholar]
- Wetterer, C.J.; Jah, M. Attitude Determination from Light Curves. J. Guid. Control Dyn. 2009, 32, 1648–1651. [Google Scholar] [CrossRef]
- Rush, K.; Yost, M.; Smith, L.; Zizzi, A. An Application of the Unscented Kalman Filter for Spacecraft Attitude Estimation on Real and Simulated Light Curve Data. In Proceedings of the Advanced Maui Optical and Space Surveillance Technologies Conference (AMOS), Maui, HI, USA, 15–18 September 2020. [Google Scholar]
- Linares, R.; Crassidis, J.; Jah, M.; Kim, H. Astrometric and Photometric Data Fusion for Resident Space Object Orbit, Attitude, and Shape Determination Via Multiple-Model Adaptive Estimation. In Proceedings of the AIAA Guidance, Navigation, and Control Conference, Toronto, ON, Canada, 2–5 August 2010. [Google Scholar] [CrossRef]
- Linares, R.; Crassidis, J.; Jah, M. Particle filtering light curve based attitude estimation for non-resolved space objects. Adv. Astronaut. Sci. 2014, 152, 119–130. [Google Scholar]
- Bernard, A. Attitude and Reflection Parameter Estimation of Resident Space Objects Using Ground-Based Photometry. Ph.D. Thesis, Utah State University, Logan, UT, USA, 2021. All Graduate Theses and Dissertations, Spring 1920 to Summer 2023. [Google Scholar] [CrossRef]
- Coder, R.; Linares, R.; Holzinger, M. Improved Models for Radiometric Attitude Estimation of Agile Space Objects. In Proceedings of the AAS/AIAA Space Flight Mechanics Meeting, AAS 15-231, Williamsburg, VA, USA, 11–15 January 2015. [Google Scholar]
- Coder, R.; Holzinger, M.; Linares, R. Three-Degree-of-Freedom Estimation of Agile Space Objects Using Marginalized Particle Filters. J. Guid. Control Dyn. 2018, 41, 388–400. [Google Scholar] [CrossRef]
- Coder, R.; Wetterer, C.; Hamada, K.; Holzinger, M.; Jah, M. Inferring Active Control Mode of the Hubble Space Telescope Using Unresolved Imagery. J. Guid. Control Dyn. 2018, 41, 164–170. [Google Scholar] [CrossRef]
- Du, X.; Wang, Y.; Hu, H.; Gou, R.; Liu, H. The attitude inversion method of geostationary satellites based on unscented particle filter. Adv. Space Res. 2018, 61, 1984–1996. [Google Scholar] [CrossRef]
- Wang, Y.; Du, X.; Gou, R.; Liu, Z.; Chen, H. A Secondary Particle Filter Photometric Data Inversion Method of Space Object Characteristics. Electronics 2023, 12, 2044. [Google Scholar] [CrossRef]
- Burton, A.; Frueh, C. Two methods for light curve inversion for space object attitude determination. In Proceedings of the 8th European Conference on Space Debris, Darmstadt, Germany, 20–23 April 2021. [Google Scholar]
- Cabrera, D.V.; Utzmann, J.; Förstner, R. The adaptive Gaussian mixtures unscented Kalman filter for attitude determination using light curves. Adv. Space Res. 2023, 71, 2609–2628. [Google Scholar] [CrossRef]
- Clark, R.; Dave, S.; Wawrow, J.; Lee, R. Performance of Parameterization Algorithms for Resident Space Object (RSO) Attitude Estimates. In Proceedings of the Advanced Maui Optical and Space Surveillance Technologies, Maui, HI, USA, 14–18 September 2020; pp. 15–18. [Google Scholar]
- Burton, A.; Robinson, L.; Frueh, C. Light curve attitude estimation using particle swarm optimizers. Adv. Space Res. 2024, 74, 5619–5638. [Google Scholar] [CrossRef]
- Bencivenga, P.; Isoletta, G.; Opromolla, R.; Fasano, G. Integrating PSO and UKF for attitude estimation of Resident Space Objects via Light Curves. In Proceedings of the 9th European Conference on Space Debris, Bonn, Germany, 1–4 April 2025. [Google Scholar]
- Gagnon, S.; Crassidis, J.L. Particle Swarm Optimization on the Space of Quaternions with Applications to Attitude Estimation from Light Curves. J. Astronaut. Sci. 2025, 72, 8. [Google Scholar] [CrossRef]
- Piergentili, F.; Santoni, F.; Seitzer, P. Attitude Determination of Orbiting Objects from Lightcurve Measurements. IEEE Trans. Aerosp. Electron. Syst. 2017, 53, 81–90. [Google Scholar] [CrossRef]
- Gallucci, M. Light Curve Inversion for Attitude Reconstruction of Tumbling Space Debris. Ph.D. Thesis, Politecnico di Milano, Milan, Italy, 2020. [Google Scholar]
- Holzinger, M.; Alfriend, K.; Wetterer, C.; Luu, K.; Sabol, C.; Hamada, K.; Harms, A. Attitude Estimation for Unresolved Agile Space Objects with Shape Model Uncertainty; Technical Report; Air Force Research Laboratory: Dayton, OH, USA, 2012. [Google Scholar]
- Holzinger, M.; Alfriend, K.; Wetterer, C.; Luu, K.; Sabol, C.; Hamada, K. Photometric Attitude Estimation for Agile Space Objects with Shape Uncertainty. J. Guid. Control Dyn. 2014, 37, 921–932. [Google Scholar] [CrossRef]
- Yun, S.; Zanetti, R. Nonlinear filtering of light-curve data. Adv. Space Res. 2020, 66, 1672–1688. [Google Scholar] [CrossRef]
- Linares, R.; Crassidis, J. Space-object shape inversion via adaptive Hamiltonian Markov Chain Monte Carlo. J. Guid. Control Dyn. 2018, 41, 47–58. [Google Scholar] [CrossRef]
- Clark, R.; Fu, Y.; Dave, S.; Lee, R. Resident space object (RSO) attitude and optical property estimation from space-based light curves. Adv. Space Res. 2022, 70, 3271–3280. [Google Scholar] [CrossRef]
- Hara, R.; Yoshimura, Y.; Hanada, T. Attitude estimation from photometric data using Gaussian process regression. J. Space Saf. Eng. 2025, 12, 227–238. [Google Scholar] [CrossRef]
- Zhong, W.; Liu, H.; Gong, Y.; Geng, Y.; Yang, Z.; Zhao, C. Space objects attitude discrimination via light-curve measurements and deep convolutional neural networks. In Proceedings of the MIPPR 2019: Pattern Recognition and Computer Vision, Wuhan, China, 2–3 November 2019; Sang, N., Udupa, J.K., Wang, Y., Liu, Z., Eds.; International Society for Optics and Photonics, SPIE: Bellingham, WA, USA, 2020; Volume 11430, p. 114300F. [Google Scholar] [CrossRef]
- Badura, G.P.; Valenta, C.R.; Gunter, B. Convolutional Neural Networks for Inference of Space Object Attitude Status. J. Astronaut. Sci. 2022, 69, 593–626. [Google Scholar] [CrossRef]
- Isoletta, G.; Opromolla, R.; Fasano, G. Attitude motion classification of resident space objects using light curve spectral analysis. Adv. Space Res. 2025, 75, 1077–1095. [Google Scholar] [CrossRef]
- Rubio, J.; de Andrés, A.; Paulete, C.; Gallego, Á.; Escobar, D. Attitude Estimation of Uncontrolled Space Objects: A Bayesian-Informed Swarm Intelligence Approach. Adv. Space Res. 2025, in press.
- Lowe, D.G. Distinctive image features from scale-invariant keypoints. Int. J. Comput. Vis. 2004, 60, 91–110. [Google Scholar] [CrossRef]
- Sarlin, P.E.; DeTone, D.; Malisiewicz, T.; Rabinovich, A. Superglue: Learning feature matching with graph neural networks. In Proceedings of the IEEE/CVF Conference on Computer Vision and Pattern Recognition, Seattle, WA, USA, 14–19 June 2020; pp. 4938–4947. [Google Scholar]
- Hartley, R.I. Euclidean reconstruction from uncalibrated views. In Proceedings of the Joint European-US Workshop on Applications of Invariance in Computer Vision, Azores, Portugal, 9–14 October 1993; Springer: Berlin/Heidelberg, Germany, 1994; pp. 235–256. [Google Scholar]
- Suwa, K.; Wakayama, T.; Iwamoto, M. Three-Dimensional Target Geometry and Target Motion Estimation Method Using Multistatic ISAR Movies and Its Performance. IEEE Trans. Geosci. Remote Sens. 2011, 49, 2361–2373. [Google Scholar] [CrossRef]
- Zhou, Z.; Liu, L.; Du, R.; Zhou, F. Three-Dimensional Geometry Reconstruction Method for Slowly Rotating Space Targets Utilizing ISAR Image Sequence. Remote Sens. 2022, 14, 1144. [Google Scholar] [CrossRef]
- Schaub, H.; Junkins, J.L. Analytical Mechanics of Space Systems, 2nd ed.; AIAA Education Series: Reston, VA, USA, 2009. [Google Scholar] [CrossRef]
- Fu, X.J.; Wang, M.; Wang, C.; Gao, M.G. Attitude Stability Determination Based on RCS Series Information Extraction for Space Objects. In Proceedings of the Information Technology for Manufacturing Systems. Appl. Mech. Mater. 2010, 20, 936–941. [Google Scholar] [CrossRef]
- Kaplan, G.H. The IAU Resolutions on Astronomical Reference Systems, Time Scales, and Earth Rotation Models: Explanation and Implementation; US Naval Observatory: Washington, DC, USA, 2005; Circular No. 179. [Google Scholar] [CrossRef]
- Wertz, J.R. Attitude Prediction. In Spacecraft Attitude Determination and Control; Wertz, J.R., Ed.; Springer: Dordrecht, The Netherlands, 1978; pp. 558–587. [Google Scholar] [CrossRef]
- McNally, K.; de Andrés, A.; Paulete, C.; Torras, M.; Tirado, D.I.; Gallego, Á.; Antón, A.M. Object Characterization and Attitude Determination using Data Fusion. In Proceedings of the 4th International Conference on Space Situational Awareness (ICSSA), Daytona Beach, FL, USA, 8–10 May 2024. [Google Scholar]
- Karttunen, H.; Kröger, P.; Oja, H.; Poutanen, M.; Donner, K.J. Fundamental Astronomy; Springer: Berlin/Heidelberg, Germany, 2007. [Google Scholar]
- Nicodemus, F.E. Directional Reflectance and Emissivity of an Opaque Surface. Appl. Opt. 1965, 4, 767–775. [Google Scholar] [CrossRef]
- Cook, R.L.; Torrance, K.E. A Reflectance Model for Computer Graphics. ACM Trans. Graph. 1982, 1, 7–24. [Google Scholar] [CrossRef]
- Walter, B.; Marschner, S.R.; Li, H.; Torrance, K.E. Microfacet models for refraction through rough surfaces. In Proceedings of the 18th Eurographics Conference on Rendering Techniques, Goslar, Germany, 25–27 June 2007; pp. 195–206. [Google Scholar]
- Schlick, C.M. An Inexpensive BRDF Model for Physically-based Rendering. Comput. Graph. Forum 1994, 13, 233–246. [Google Scholar] [CrossRef]
- Fairbairn, M.B. Planetary Photometry: The Lommel-Seeliger Law. J. R. Astron. Soc. Can. 2005, 99, 92–93. [Google Scholar]
- Buil, C. Le Calcul de la Transmission Spectrale Atmosphérique: Application à la Surveillance de l’Activité Be d’étoiles Faibles. 2009. Available online: http://www.astrosurf.com/aras/extinction/calcul.htm (accessed on 19 December 2024).
- Rozenberg, G.V. Twilight: A Study in Atmospheric Optics; Plenum Press: New York, NY, USA, 1966. [Google Scholar]
- Scargle, J.D. Studies in astronomical time series analysis. II-Statistical aspects of spectral analysis of unevenly spaced data. Astrophys. J. Part 1 1982, 263, 835–853. [Google Scholar] [CrossRef]
- Escobal, P. Methods of Orbit Determination; John Wiley & Sons: New York, NY, USA, 1965. [Google Scholar]
- Bugallo, M.F.; Elvira, V.; Martino, L.; Luengo, D.; Míguez, J.; Djuric, P.M. Adaptive Importance Sampling: The past, the present, and the future. IEEE Signal Process. Mag. 2017, 34, 60–79. [Google Scholar] [CrossRef]
- DiStefano, C.; Liu, J.; Jiang, N.; Shi, D. Examination of the weighted root mean square residual: Evidence for trustworthiness? Struct. Equ. Model. A Multidiscip. J. 2018, 25, 453–466. [Google Scholar] [CrossRef]
- Gao, B.; Pavel, L. On the Properties of the Softmax Function with Application in Game Theory and Reinforcement Learning. arXiv 2017, arXiv:1704.00805. [Google Scholar]
- Kirkpatrick, S.; Gelatt, C.D.; Vecchi, M.P. Optimization by Simulated Annealing. Science 1983, 220, 671–680. [Google Scholar] [CrossRef]
- Deutscher, J.; Blake, A.; Reid, I. Articulated Body Motion Capture by Annealed Particle Filtering. In Proceedings of the Proceedings IEEE Conference on Computer Vision and Pattern Recognition. CVPR 2000 (Cat. No.PR00662), Hilton Head Island, SC, USA, 13–15 June 2000; Volume 2, pp. 126–133. [Google Scholar] [CrossRef]
- Daum, F.; Huang, J. Particle degeneracy: Root cause and solution. Proc. SPIE—Int. Soc. Opt. Eng. 2011, 8050, 80500W. [Google Scholar] [CrossRef]
- Arulampalam, M.S.; Maskell, S.; Gordon, N.; Clapp, T. A tutorial on particle filters for online nonlinear/non-Gaussian Bayesian tracking. IEEE Trans. Signal Process. 2002, 50, 174–188. [Google Scholar] [CrossRef]
- Kitagawa, G. Monte Carlo Filter and Smoother for Non-Gaussian Nonlinear State Space Models. J. Comput. Graph. Stat. 1996, 5, 1–25. [Google Scholar] [CrossRef]
- Elfring, J.; Torta, E.; Van De Molengraft, R. Particle filters: A hands-on tutorial. Sensors 2021, 21, 438. [Google Scholar] [CrossRef]
- Kennedy, J.; Eberhart, R. Particle swarm optimization. In Proceedings of the ICNN’95—International Conference on Neural Networks, Perth, WA, Australia, 27 November–1 December 1995; Volume 4, pp. 1942–1948. [Google Scholar] [CrossRef]
- Gad, A.G. Particle Swarm Optimization Algorithm and Its Applications: A Systematic Review. Arch. Comput. Methods Eng. 2022, 29, 2531–2561. [Google Scholar] [CrossRef]
- Shi, Y.; Eberhart, R. A modified particle swarm optimizer. In Proceedings of the 1998 IEEE International Conference on Evolutionary Computation Proceedings. IEEE World Congress on Computational Intelligence (Cat. No. 98TH8360), Anchorage, AK, USA, 4–9 May 1998; pp. 69–73. [Google Scholar] [CrossRef]
- Ratnaweera, A.; Halgamuge, S.K.; Watson, H.C. Self-Organizing Hierarchical Particle Swarm Optimizer With Time-Varying Acceleration Coefficients. IEEE Trans. Evol. Comput. 2004, 8, 240–255. [Google Scholar] [CrossRef]
- Han, J.; Pei, J.; Tong, H. Data Mining: Concepts and Techniques, 3rd ed.; Morgan Kaufmann: Burlington, MA, USA, 2022. [Google Scholar]
- Ester, M.; Kriegel, H.P.; Sander, J.; Xu, X. A density-based algorithm for discovering clusters in large spatial databases with noise. In Proceedings of the Second International Conference on Knowledge Discovery and Data Mining, Portland, OR, USA, 2–4 August 1996; AAAI Press: Washington, DC, USA, 1996; pp. 226–231. [Google Scholar]
- Hipparchus. Cluster Algorithms. 2024. Available online: https://www.hipparchus.org/hipparchus-clustering/ (accessed on 17 December 2024).
- Bohm, G.; Zech, G. Introduction to Statistics and Data Analysis for Physicists, 4th ed.; World Scientific: Singapore, 2025. [Google Scholar] [CrossRef]
- Powell, M.J.D. The BOBYQA Algorithm for Bound Constrained Optimization Without Derivatives; Technical Report; Cambridge NA Report NA2009/06; University of Cambridge: Cambridge, UK, 2009. [Google Scholar]
- Hipparchus. Class BOBYQAOptimizer. 2025. Available online: https://www.hipparchus.org/apidocs/org/hipparchus/optim/nonlinear/scalar/noderiv/BOBYQAOptimizer.html (accessed on 10 June 2025).
- Mulrooney, M.; Matney, M.; Hejduk, M.; Barker, E. An Investigation of Global Albedo Values. In Proceedings of the Advanced Maui Optical and Space Surveillance Technologies, Maui, HI, USA, 16–19 September 2008; p. E65. [Google Scholar]
- Mulrooney, M.; Matney, M.; Barker, E. A New Bond Albedo for Performing Orbital Debris Brightness to Size Transformations. In Proceedings of the 2008 International Astronautical Congress (IAC), Glasgow, Scotland, 29 September–3 October 2008. [Google Scholar]
- Qiao, Q.; Ping, Y.; Chen, J.; Lu, Y.; Zhang, C. Investigation of factors affecting the reflectance spectra of GEO Satellites. Adv. Space Res. 2024, 74, 3028–3044. [Google Scholar] [CrossRef]
- Rodriguez, H.; Abercromby, K.; Mulrooney, M.; Barker, E. Optical Properties of Multi-Layered Insulation. In Proceedings of the 2007 AMOS Conference, Maui, HI, USA, 12–15 September 2007. [Google Scholar]
- Hall, D. Surface Material Characterization from Multi-Band Optical Observations. In Proceedings of the Advanced Maui Optical and Space Surveillance Technologies, Maui, HI, USA, 14–17 September 2010. [Google Scholar]
- Han, Y.; Sun, H.; Feng, J.; Li, L. Analysis of the optical scattering characteristics of different types of space targets. Meas. Sci. Technol. 2014, 25, 075203. [Google Scholar] [CrossRef]
- Bédard, D.; Lévesque, M. Analysis of the CanX-1 Engineering Model Spectral Reflectance Measurements. J. Spacecr. Rocket. 2014, 51, 1492–1504. [Google Scholar] [CrossRef]
- Cowardin, H.M.; Hostetler, J.M.; Murray, J.; Reyes, J.A.; Cruz, C. Optical Characterization of DebriSat Fragments in Support of Orbital Debris Environmental Models. J. Astronaut. Sci. 2021, 68, 1186–1205. [Google Scholar] [CrossRef]
- Cao, Y.; Wu, Z.; Bai, L.; Zhang, H. Measurement of optical characteristics of solar panels used on satellite. In Proceedings of the 9th International Symposium on Antennas, Propagation and EM Theory, Guangzhou, China, 29 November–2 December 2010; pp. 746–748. [Google Scholar] [CrossRef]
- Rubio, J.; de Andrés, A.; Paulete, C.; Gallego, Á.; Escobar, D. An Accurate and Efficient Particle Filtering Method for Attitude Estimation Using Photometric Measurements. In Proceedings of the 9th European Conference on Space Debris, Bonn, Germany, 1–4 April 2025. [Google Scholar]
- Levenberg, K. A method for the solution of certain non-linear problems in least squares. Q. Appl. Math. 1944, 2, 164–168. [Google Scholar] [CrossRef]
- Marquardt, D.W. An Algorithm for Least-Squares Estimation of Nonlinear Parameters. J. Soc. Ind. Appl. Math. 1963, 11, 431–441. [Google Scholar] [CrossRef]
- Hipparchus. Class LevenbergMarquardtOptimizer. 2025. Available online: https://www.hipparchus.org/apidocs/org/hipparchus/optim/nonlinear/vector/leastsquares/LevenbergMarquardtOptimizer.html (accessed on 10 June 2025).
- Agresti, A.; Finlay, B.; Porcu, M. Statistica per le Scienze Sociali; Pearson/Prentice Hall: Milano, Italy, 2009. [Google Scholar]
- Baddeley, M.C.; Barrowclough, D.V. Running Regressions: A Practical Guide to Quantitative Research in Economics, Finance and Development Studies; Cambridge University Press: Cambridge, UK, 2009. [Google Scholar]










| Attitude parameters | Yaw [deg] | 34 |
| Pitch [deg] | 63.5 | |
| Roll [deg] | –28 | |
| Spin axis azimuth [deg] | 165 | |
| Spin axis elevation [deg] | 83.5 | |
| Spin period [s] | 60 | |
| Optical and atmospheric parameters | [–] | 0.5 |
| [–] | 0.15 | |
| [–] | 0.85 | |
| AOD [–] | 0.2 |
| Reference | Weighted Cluster Estimate | Final Estimate (LM + BOBYQA) | ||
|---|---|---|---|---|
| Attitude parameters | Yaw [deg] | 34 | 32.906 ± 2.026 | 32.406 |
| Pitch [deg] | 63.5 | 62.670 ± 1.196 | 62.919 | |
| Roll [deg] | –28 | –26.393 ± 1.247 | –27.959 | |
| Azimuth [deg] | 165 | 159.903 ± 2.869 | 162.204 | |
| Elevation [deg] | 83.5 | 84.047 ± 0.450 | 83.552 | |
| Spin period [s] | 60 | 60.043 ± 0.037 | 60.046 | |
| Optical and atmospheric parameters | [–] | 0.5 | 0.455 ± 0.019 | 0.481 |
| [–] | 0.15 | 0.161 ± 0.007 | 0.149 | |
| [–] | 0.85 | 0.819 ± 0.045 | 0.829 | |
| AOD [–] | 0.2 | 0.178 ± 0.023 | 0.186 | |
| WRMSE [–] | − | 1.173 | 1.008 | |
| Average Time | |
|---|---|
| Light curve pre-processing | 1.16 s |
| Measurements simulation | 497.2 s |
| LSM for and AOD estimation | 0.55 s |
| Inertial spin period estimation | 0.41 s |
| WRMSE and weight computation | 1.53 s |
| Adaptive Particle Allocation | 47.3 s |
| Systematic Resampling | 0.052 s |
| Particle Swarm Optimisation | 0.58 s |
| Clustering | 245.3 s |
| Cluster refinement | 74.8 s |
| Total time | 85.3 min |
Disclaimer/Publisher’s Note: The statements, opinions and data contained in all publications are solely those of the individual author(s) and contributor(s) and not of MDPI and/or the editor(s). MDPI and/or the editor(s) disclaim responsibility for any injury to people or property resulting from any ideas, methods, instructions or products referred to in the content. |
© 2025 by the authors. Licensee MDPI, Basel, Switzerland. This article is an open access article distributed under the terms and conditions of the Creative Commons Attribution (CC BY) license (https://creativecommons.org/licenses/by/4.0/).
Share and Cite
Rubio, J.; de Andrés, A.; Paulete, C.; Gallego, Á.; Escobar, D. Joint Estimation of Attitude and Optical Properties of Uncontrolled Space Objects from Light Curves Considering Atmospheric Effects. Aerospace 2025, 12, 942. https://doi.org/10.3390/aerospace12100942
Rubio J, de Andrés A, Paulete C, Gallego Á, Escobar D. Joint Estimation of Attitude and Optical Properties of Uncontrolled Space Objects from Light Curves Considering Atmospheric Effects. Aerospace. 2025; 12(10):942. https://doi.org/10.3390/aerospace12100942
Chicago/Turabian StyleRubio, Jorge, Adrián de Andrés, Carlos Paulete, Ángel Gallego, and Diego Escobar. 2025. "Joint Estimation of Attitude and Optical Properties of Uncontrolled Space Objects from Light Curves Considering Atmospheric Effects" Aerospace 12, no. 10: 942. https://doi.org/10.3390/aerospace12100942
APA StyleRubio, J., de Andrés, A., Paulete, C., Gallego, Á., & Escobar, D. (2025). Joint Estimation of Attitude and Optical Properties of Uncontrolled Space Objects from Light Curves Considering Atmospheric Effects. Aerospace, 12(10), 942. https://doi.org/10.3390/aerospace12100942

