Numerical Investigation of the Coupling Effects of Pulsed H2 Jets and Nanosecond-Pulsed Actuation in Supersonic Crossflow
Abstract
1. Introduction
2. Model and Methods
2.1. Geometry and Boundary Conditions
2.2. Governing Equations
2.3. Validation of Numerical Methods
2.3.1. Steady Jet in Crossflow
2.3.2. NS-SDBD Actuation Response Flow
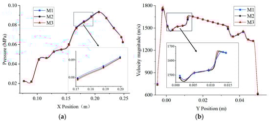
2.3.3. Grid Independence Verification
3. Results and Discussion
3.1. Jets in Crossflow Without Actuation
3.2. Analysis of Combustion Enhancement Mechanisms
3.3. Impact of the Actuation Cases on Combustion Enhancement
4. Conclusions
- Combustion enhancement mechanism: Compression waves induced by the rapid heating effect of NS-SDBD drove high-temperature air into the low-temperature hydrogen interior, accompanied by temperature transport. This pathway is closely related to the flow structures induced by pulsed jets.
- Combustion enhancement effects: With a 10 kHz pulsed jet combined with 20 kHz NS-SDBD actuation, the fuel utilization rate increased by 61.2%, the total pressure recovery increased by 5.34%, and the outlet total temperature slightly increased by 0.14 K, even with a 50% reduction in fuel flow rate. The amplitude of temperature fluctuations was controlled within 4.8% of the average value.
- Impact of actuation timing: Actuation is more effective when applied during weaker flow disturbances. Uniform actuation distribution within the jet cycle enhances combustion more efficiently. Doubling the actuation frequency does not significantly improve the combustion enhancement effect.
Author Contributions
Funding
Data Availability Statement
Conflicts of Interest
References
- Hou, X. Research Progress in Combined Cycle Engines. Acta Aeronaut. Astronaut. Sin. 2023, 44, 529824. (In Chinese) [Google Scholar] [CrossRef]
- Gutmark, E.J.; Ibrahim, I.M.; Murugappan, S. Dynamics of Single and Twin Circular Jets in Cross Flow. Exp. Fluids 2011, 50, 653–663. [Google Scholar] [CrossRef]
- Chai, X.; Iyer, P.S.; Mahesh, K. Numerical Study of High-Speed Jets in Crossflow. J. Fluid Mech. 2015, 785, 152–188. [Google Scholar] [CrossRef]
- Wang, Y.-H.; Wang, J.-F.; Zhao, F.-M. Numerical study of supersonic combustion flow with transverse pulse jet. J. Propuls. Technol. 2019, 40, 1807–1816. [Google Scholar]
- Williams, N.J.; Moeller, T.M.; Thompson, R.J. Numerical Simulations of High-Frequency Transverse Pulsed Jet Injection into a Supersonic Crossflow. Aerosp. Sci. Technol. 2020, 103, 105908. [Google Scholar] [CrossRef]
- Shi, H.; Wang, G.; Luo, X.; Yang, J.; Lu, X.-Y. Large-Eddy Simulation of a Pulsed Jet into a Supersonic Crossflow. Comput. Fluids 2016, 140, 320–333. [Google Scholar] [CrossRef]
- Zhao, M.; Li, Q.; Ye, T. Investigation of an Optimal Pulsed Jet Mixing and Combustion in Supersonic Crossflow. Combust. Flame 2021, 227, 186–201. [Google Scholar] [CrossRef]
- Kouchi, T.; Sasaya, K.; Watanabe, J.; Shibayama, H.; Masuya, G. Penetration Characteristics of Pulsed Injection into Supersonic Crossflow. In Proceedings of the 46th AIAA/ASME/SAE/ASEE Joint Propulsion Conference & Exhibit, Nashville, TN, USA, 25–28 July 2010; p. 6645. [Google Scholar]
- Cutler, A.D.; Harding, G.C. High frequency pulsed injection into a supersonic duct flow. AIAA J. 2013, 51, 809–818. [Google Scholar] [CrossRef]
- Du, Z. Investigation on Fuel Injection Strategy on Forebody/Inlet and Its Mixing Enhancement Mechanism in Hypersonic Flows. Ph.D. Thesis, National University of Defense Technology, Changsha, China, 2019. [Google Scholar]
- Huang, W.; Li, Y.; Yan, L.; Moradi, R. Mixing enhancement mechanism induced by the cascaded fuel injectors in supersonic flows: A numerical study. Acta Astronaut. 2018, 152, 18–26. [Google Scholar] [CrossRef]
- Lee, S.H. Characteristics of dual transverse injection in scramjet combustor, Part 1: Mixing. J. Propuls. Power 2006, 22, 1012–1019. [Google Scholar] [CrossRef]
- Ali, M.Y.; Alvi, F. Jet arrays in supersonic crossflow—An experimental study. Phys. Fluids 2015, 27, 126102. [Google Scholar] [CrossRef]
- Luo, Z.B.; Xie, W.; Xie, X.Z.; Zhou, Y.; Liu, Q. Research Progress of Active Flow Control of Shock Wave and Its Interaction. Acta Aeronaut. Astronaut. Sin. 2023, 44, 529002. (In Chinese) [Google Scholar] [CrossRef]
- Li, Y.H.; Wu, Y. Research Progress and Outlook of Flow Control and Combustion Control Using Plasma Actuation. Sci. Sin. Technol. 2020, 50, 1252–1273. (In Chinese) [Google Scholar] [CrossRef]
- Chen, Z.H.; Hao, J.A.; Wen, C.Y. Control of Supersonic Compression Corner Flow Using a Plasma Actuator. Phys. Fluids 2022, 34, 073605. [Google Scholar] [CrossRef]
- Wang, D. Research on the Hypersonic Flowfield/Magnetic Field Coupling Mechanism and the Magnetic Controlled Airframe/Inlet Integrated Design Method. Ph.D. Thesis, Nanjing University of Aeronautics and Astronautics, Nanjing, China, 2022. [Google Scholar]
- Akimoto, M.; Nakagawa, H.; Kimura, M. Control of a Circular Jet with a Disk-Type Bluff Body Using a Dielectric Barrier Discharge Plasma Actuator. Aerospace 2024, 11, 783. [Google Scholar] [CrossRef]
- Feng, R.; Wang, Z.G.; Sun, M.B.; Wang, H.B.; Huang, Y.H.; Yang, Y.X.; Liu, X.; Wang, C.; Tian, Y.F.; Luo, T.G.; et al. Multi-Channel Gliding Arc Plasma-Assisted Ignition in a Kerosene-Fueled Model Scramjet Engine. Aerosp. Sci. Technol. 2022, 126, 107606. [Google Scholar] [CrossRef]
- Yan, Y.; Wang, J.; Lan, J.; Li, K. A Numerical Investigation of Supersonic Combustion Flow Control by Nanosecond-Pulsed Actuations. Energies 2024, 17, 201. [Google Scholar] [CrossRef]
- Li, Y.H.; Wu, Y.; Liang, H.; Zhu, Y.F.; Zhang, H.D.; Guo, S.G. Exploration and Outlook of Plasma-Actuated Gas Dynamics. Adv. Mech. 2022, 52, 1–32. [Google Scholar] [CrossRef]
- Li, Y.W.; Wang, Y.T.; Pang, L.; Xiao, L.H.; Ding, Z.W.; Duan, P.Z. Research Progress of Plasma/MHD Flow Control in Inlet. Chin. J. Theor. Appl. Mech. 2019, 51, 311–321. [Google Scholar] [CrossRef]
- Roupassov, D.V.; Nikipelov, A.A.; Nudnova, M.M.; Starikovskii, A.Y. Flow separation control by plasma actuator with nanosecond pulsed-periodic discharge. AIAA J. 2009, 47, 168–185. [Google Scholar] [CrossRef]
- Bayoda, K.D.; Benard, N.; Moreau, E. Elongating the area of plasma/fluid interaction of surface nanosecond pulsed discharges. J. Electrost. 2015, 74, 79–84. [Google Scholar] [CrossRef]
- Hu, H.; Li, H.; Meng, X.; Wang, J.; Liu, F.; Luo, S. Phase-locked schlieren of periodic nanosecond-pulsed DBD actuation in quiescent air. In Proceedings of the 54th AIAA Aerospace Sciences Meeting, San Diego, CA, USA, 4–8 January 2016; p. 1696. [Google Scholar]
- Shang, J.S.; Huang, P.G. Surface Plasma Actuators Modeling for Flow Control. Prog. Aerosp. Sci. 2014, 67, 29–50. [Google Scholar] [CrossRef]
- Nudnova, M.; Kindusheva, S.; Aleksahdrov, N.; Starikovskiy, A. Rate of plasma thermalization of pulsed nanosecond surface dielectric barrier discharge. In Proceedings of the 48th AIAA Aerospace Sciences Meeting Including the New Horizons Forum and Aerospace Exposition, Orlando, FL, USA, 4–7 January 2010. [Google Scholar]
- Li, L.F. Numerical Modeling and Study on Nanosecond Dielectric Barrier Discharges and Aerodynamic Responses for Multi-Species Flow Fields. Ph.D. Thesis, Nanjing University of Aeronautics and Astronautics, Nanjing, China, 2022. [Google Scholar]
- Che, X.; Shao, T.; Nie, W.; Yan, P. Numerical simulation on a nanosecond-pulse surface dielectric barrier discharge actuator in near space. J. Phys. D Appl. Phys. 2012, 45, 145201. [Google Scholar] [CrossRef]
- Zhao, G.Y.; Li, Y.H.; Liang, H.; Hua, W.Z.; Han, M.H. Phenomenological Modeling of Nanosecond Pulsed Surface Dielectric Barrier Discharge Plasma Actuation for Flow Control. Acta Phys. Sin. 2015, 64, 015101. [Google Scholar] [CrossRef]
- Roe, P.L. Approximate Riemann Solvers, Parameter Vectors, and Difference Schemes. J. Comput. Phys. 1997, 135, 250–258. [Google Scholar] [CrossRef]
- Menter, F.; Rumsey, C. Assessment of Two-Equation Turbulence Models for Transonic Flows. In Fluid Dynamics Conference; AIAA: Indianapolis, IN, USA, 1994; p. 2343. [Google Scholar]
- Yan, Y.; Wang, J. Numerical Research on the NS-SDBD Control of a Hypersonic Inlet in Off-Design Mode. Aerospace 2022, 9, 773. [Google Scholar] [CrossRef]
- Shang, H.; Chen, Y.; Liaw, P.; Chen, C.; Wang, T. Investigation of Chemical Kinetics Integration Algorithms for Reacting Flows. In Proceedings of the 33rd Aerospace Sciences Meeting and Exhibit, Reno, NV, USA, 9–12 January 1995. [Google Scholar]
- Williams, N.J.; Moeller, T.M. Preliminary Numerical Investigations of Pulsed Fuel Injection into Supersonic Crossflow. In Proceedings of the 22nd AIAA Computational Fluid Dynamics Conference, Dallas, TX, USA, 22–26 June 2015. [Google Scholar] [CrossRef]
- Chang, J.; Shao, X.; Li, J. Flow characteristics of two-dimensional classical and pulsating jet in crossflow at low Reynolds number. Case Stud. Therm. Eng. 2018, 12, 655–665. [Google Scholar] [CrossRef]
- Aso, S.; Okuyama, S.; Kawai, M.; Ando, Y. Experimental Study on Mixing Phenomena in Supersonic Flows with Slot Injection; AIAA Paper: Reston, VA, USA, 1991; p. 1991-16. [Google Scholar] [CrossRef]
- Liu, H. On the Three-Dimensional Effects for the Large Eddy Simulation of Supersonic Turbulent Combustion Flows. Aeronaut. Sci. Technol. 2022, 33, 57–65. [Google Scholar] [CrossRef]
- Ukai, T.; Russell, A.; Zare-Behtash, H.; Kontis, K. Temporal Variation of the Spatial Density Distribution above a Nanosecond Pulsed Dielectric Barrier Discharge Plasma Actuator in Quiescent Air. Phys. Fluids 2018, 30, 116106. [Google Scholar] [CrossRef]
- Celik, I.B.; Ghia, U.; Roache, P.J.; Freitas, C.J.; Coleman, H.W.; Raad, P.E. Procedure for Estimation and Reporting of Uncertainty Due to Discretization in CFD Applications. J. Fluids Eng. 2008, 130, 078001. [Google Scholar]
- Wang, Y.H. Numerical Study on Supersonic Combustion Flow with Unsteady Jet. Master’s Thesis, Nanjing University of Aeronautics and Astronautics, Nanjing, China, 2019. [Google Scholar] [CrossRef]
- Flack, R.D. Fundamentals of Jet Propulsion with Applications; Cambridge University Press: Cambridge, UK, 2005; pp. 218–220. [Google Scholar]


















| p/kPa | Ma | T/K | |
|---|---|---|---|
| Air Inlet | 50.66 | 2.5 | 1000 |
| Fuel Injector | 15 | 1 | 300 |
| Reaction | |||
|---|---|---|---|
| 0 | |||
| 0 | |||
| 1.8 | |||
| 0 | |||
| 0 | |||
| −2.0 | 0 | ||
| −1.0 | 0 |
| Grid | Node Distribution (x × y) | Cell Numbers | y+ | First Layer Grid Height (mm) | Refinement Factor | Average Relative Error (%) | Average Convergence Indicator (%) |
|---|---|---|---|---|---|---|---|
| M1 (coarse) | 420 × 200 | 80,000 | 0.4 | 1.2 × 10−3 | |||
| M2 (medium) | 580 × 270 | 150,000 | 0.3 | 1.0 × 10−3 | 1.37 | 0.67 | 1.78 |
| M3 (fine) | 790 × 390 | 300,000 | 0.3 | 1.0 × 10−3 | 1.41 | 0.60 | 1.62 |
| Case No. | Frequency (kHz) | Energy per Pulse (mJ/cm) | Duty Cycle |
|---|---|---|---|
| Case 1 | 20 | 1 | 1 |
| Case 2 | 40 | 1 | 0.5 |
| Case 3 | 40 | 1 | 1 |
| Flow Conditions | H2 Mass Flow Rate (kg/s) | Outlet Total Temperature (K) | Fuel Utilization Rate % | Total Pressure Recovery |
|---|---|---|---|---|
| Steady Jet | 0.39418 | 2099.76 | 8.02% | 0.8152 |
| Pulsed Jet | 0.19709 (↓50%) | 2098.65 (↓1.11 K) | 10.33% (↑28.8%) | 0.8574 (↑5.18%) |
| Case 1 | 0.19709 (↓50%) | 2099.90 (↑0.14 K) | 12.99% (↑61.2%) | 0.8587 (↑5.34%) |
| Case 2 | 0.19709 (↓50%) | 2099.68 (↓0.08 K) | 10.77% (↑34.3%) | 0.8577 (↑5.21%) |
| Case 3 | 0.19709 (↓50%) | 2100.26 (↑0.50 K) | 13.04% (↑62.6%) | 0.8589 (↑5.36%) |
Disclaimer/Publisher’s Note: The statements, opinions and data contained in all publications are solely those of the individual author(s) and contributor(s) and not of MDPI and/or the editor(s). MDPI and/or the editor(s) disclaim responsibility for any injury to people or property resulting from any ideas, methods, instructions or products referred to in the content. |
© 2025 by the authors. Licensee MDPI, Basel, Switzerland. This article is an open access article distributed under the terms and conditions of the Creative Commons Attribution (CC BY) license (https://creativecommons.org/licenses/by/4.0/).
Share and Cite
Li, K.; Wang, J. Numerical Investigation of the Coupling Effects of Pulsed H2 Jets and Nanosecond-Pulsed Actuation in Supersonic Crossflow. Aerospace 2025, 12, 44. https://doi.org/10.3390/aerospace12010044
Li K, Wang J. Numerical Investigation of the Coupling Effects of Pulsed H2 Jets and Nanosecond-Pulsed Actuation in Supersonic Crossflow. Aerospace. 2025; 12(1):44. https://doi.org/10.3390/aerospace12010044
Chicago/Turabian StyleLi, Keyu, and Jiangfeng Wang. 2025. "Numerical Investigation of the Coupling Effects of Pulsed H2 Jets and Nanosecond-Pulsed Actuation in Supersonic Crossflow" Aerospace 12, no. 1: 44. https://doi.org/10.3390/aerospace12010044
APA StyleLi, K., & Wang, J. (2025). Numerical Investigation of the Coupling Effects of Pulsed H2 Jets and Nanosecond-Pulsed Actuation in Supersonic Crossflow. Aerospace, 12(1), 44. https://doi.org/10.3390/aerospace12010044

