Flow Analysis of a 300 MW F-Class Heavy-Duty Gas Turbine 1.5 Stage Compressor
Abstract
1. Introduction
2. Physical Model and Numerical Approach
2.1. Physical Model
2.2. Numerical Approach
3. Aerodynamic Analysis of the 1.5-Stage Compressor
4. Physical Model and Numerical Approach
4.1. Flow Characteristics of Compressor Meridional Plane
4.2. Flow Characteristics at Different Blade Spanwise
4.3. Blade Load Characteristics of the Compressor
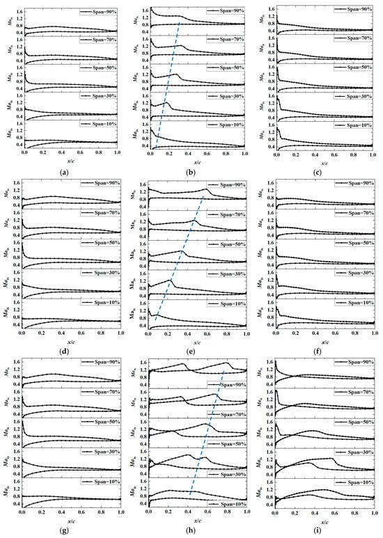
4.4. Inlet Mach Number Characteristics of the Compressor
5. Conclusions
- (1)
- At 100%, 90%, and 80% speeds of the heavy-duty gas turbine compressor, the adiabatic efficiency remains above 0.88, with a corresponding total pressure ratio exceeding 1.29. The aerodynamic efficiency of the compressor at the NS condition is maintained at 0.84, with a total pressure ratio above 1.32. However, as the flow reaches the choke point, the aerodynamic efficiency at the NC operating conditions drops to 0.27, and the corresponding total pressure ratio decreases to 1.04.
- (2)
- The intensity and morphological changes in the shock wave have a significant influence on the compressor’s aerodynamic performance. Taking the 100% speed as an example, the shock wave structure in the NS condition features a leading-edge oblique shock and a suction side passage shock at the 30% blade height. In the ME condition, the detached shock is captured near the blade tip. In NC conditions, various forms and intensities of shock waves are observed in both the rotor and stator. Detached shock waves, passage shock waves, and complex shock–shock interactions are presented.
- (3)
- At rotational speed n = 100%, the inlet Mach number of the compressor rotor blades is predominantly in the transonic range. When the speed decreases to n = 90%, regions with an inlet Mach number greater than 1 only exist at the blade tip under NC conditions. Meanwhile, under the speed n = 80%, for NS, ME, and NC conditions, only regions above the 70% blade height are in the transonic inflow range, and the relative Mach number at the rotor inlet remains below 1.
Author Contributions
Funding
Data Availability Statement
Conflicts of Interest
Nomenclature
| Nomenclature | |||
| IGV | inlet guide vane | PS | pressure surface |
| LE | blade leading edge | R | rotor |
| Ma | Mach number | S | stator |
| Mais | isentropic Mach number | SS | suction surface |
| ME | maximum efficiency case | TE | blade leading edge |
| n | rotating speed | ||
| NC | near choke case | Subscripts | |
| NS | near stall case | 1 | inlet boundary |
References
- Hergt, A.; Klinner, J.; Grund, S.; Willert, C.; Steinert, W.; Beversdorff, M. On the importance of transition control at transonic compressor blades. J. Turbomach. 2021, 143, 031007. [Google Scholar] [CrossRef]
- Kormanik, N.J., III; Matthews, D.R.; Key, N.L.; King, A.J. Lessons learned for developing an effective high-speed research compressor facility. Aerospace 2024, 11, 949. [Google Scholar] [CrossRef]
- Wadia, A.R.; Niedermeier, J.D.; Szucs, P.N.; Cormier, N.G.; Crall, D.W.; Rabe, D.C. Aerodynamic design and testing of an embedded forward swept rotor in a two-stage transonic fan. J. Turbomach. 2019, 141, 081012. [Google Scholar] [CrossRef]
- Asghari, M.; Mirzabozorg, M.S.; Adami, M. Aerodynamic optimization of the tangential stacking line of a transonic axial flow compressor rotor using genetic algorithm. J. Braz. Soc. Mech. Sci. Eng. 2019, 41, 37. [Google Scholar] [CrossRef]
- Li, K.H.; Meng, F.J.; Wang, K.B.; Guo, P.H.; Li, J.Y. Performance-driven multi-objective optimization method for DLR transonic tandem cascade shape design. J. Therm. Sci. 2023, 32, 297–309. [Google Scholar] [CrossRef]
- Yue, S.Y.; Wang, Y.G.; Wang, H.T. Design and optimization of tandem arranged cascade in a transonic compressor. J. Therm. Sci. 2018, 27, 349–358. [Google Scholar] [CrossRef]
- Rubechini, F.; Marconcini, M.; Giovannini, M.; Bellucci, J.; Arnone, A. Accounting for unsteady interaction in transonic stages. J. Eng. Gas Turbines Power 2015, 137, 052602. [Google Scholar] [CrossRef]
- Liu, H.R.; Wang, Y.G.; Xian, S.C.; Zhang, J. Numerical investigation on the shock-wave and flow structures in a transonic contra-rotating axial compressor. Adv. Mech. Eng. 2017, 9, 1–9. [Google Scholar] [CrossRef]
- Sun, D.K.; Li, J.; Dong, X.; Xu, R.Z.; Sun, X.F. Foam-metal casing treatment on an axial flow compressor: Stability improvement and noise reduction. J. Turbomach. 2022, 144, 011003. [Google Scholar] [CrossRef]
- Du, J.; Qiu, J.H.; Zhang, Q.F.; Ba, D.; Maroldt, N.; Seume, J.R. Unsteady interaction mechanisms of axial-slot casing treatment with tip region flow in a highly-loaded mixed-flow compressor. J. Eng. Gas Turbines Power 2022, 144, 091001. [Google Scholar] [CrossRef]
- Dinh, C.T.; Vuong, T.D.; Le, X.T.; Nguyen, T.M.; Nguyen, Q.H. Aeromechanic performance of a single-stage transonic axial compressor with recirculation-bleeding channels. Aust. J. Mech. Eng. 2020, 3, 154–167. [Google Scholar] [CrossRef]
- Li, K.H.; Tang, P.B.; Meng, F.J.; Guo, P.H.; Li, J.Y. Vortex structure topology analysis of the transonic rotor 37 based on large eddy simulation. Machines 2023, 11, 334. [Google Scholar] [CrossRef]
- Wu, L.; Kim, J.W.; Wilson, A.G.; Shahpar, S. Automatic design optimization of a transonic compressor rotor for improving aeroacoustic and aerodynamic performance. J. Turbomach. 2022, 144, 081016. [Google Scholar] [CrossRef]
- John, A.; Shahpar, S.; Qin, N. Novel compressor blade shaping through a free-form method. J. Turbomach. 2017, 139, 081002. [Google Scholar] [CrossRef]
- Lepicovsky, J.; Sidlof, P.; Simurda, D.; Stepan, M.; Luxa, M. New test facility for forced blade flutter research. AIP Conf. Proc. 2021, 2323, 030001. [Google Scholar] [CrossRef]
- Lejon, M.; Andersson, N.; Ellbrant, L.; Martensson, H. The impact of manufacturing variations on performance of a transonic axial compressor rotor. J. Turbomach. 2020, 142, 081009. [Google Scholar] [CrossRef]
- Kablitz, S.; Bergner, J.; Hennecke, D.K.; Beversdorff, M.; Schodl, R. Darmstadt rotor No. 2, III: Experimental analysis of an aft-swept axial transonic compressor stage. Int. J. Rotating Mach. 2003, 9, 393–402. [Google Scholar] [CrossRef]
- Degregori, E.; Kim, J.W. Mitigation of transonic shock buffet on a supercritical airfoil through wavy leading edges. Phys. Fluids 2021, 33, 026104. [Google Scholar] [CrossRef]
- Saito, T.; Hatanaka, K.; Yamashita, H.; Ogawa, T.; Obayashi, S.; Takayama, K. Shock stand-off distance of a solid sphere decelerating in transonic velocity range. Shock Waves 2011, 21, 483–489. [Google Scholar] [CrossRef]
- Feldhusen, H.A.; Statnikov, V.; Klaas, M.; Schroder, W. Investigation of shock-acoustic-wave interaction in transonic flow. Exp. Fluids 2018, 59, 15. [Google Scholar] [CrossRef]
- Banjac, M.; Savanovic, T.; Petkovic, D.; Petrovic, M.V. A comprehensive analytical shock loss model for axial compressor cascades. J. Turbomach. 2022, 144, 091003. [Google Scholar] [CrossRef]
- Lepicovsky, J.; Simurda, D.; Kielb, R.E.; Sidlof, P.; Stepan, M. Quasi-dynamic approximation of unsteady pressure distribution for transonic airfoils in flutter. J. Turbomach. 2023, 145, 081010. [Google Scholar] [CrossRef]
- Baty, H.; Keppens, R. Kelvin-helmholtz disruptions in extended magnetized jet flows. Astron. Astrophys. 2006, 447, 9–22. [Google Scholar] [CrossRef]
- Louda, P.; Prihoda, J. Study on the numerical model of transonic wind tunnel test section. J. Therm. Sci. 2021, 30, 231–241. [Google Scholar] [CrossRef]
- Degregori, E.; Kim, J.W. An investigation on a supercritical aerofoil with a wavy leading edge in a transonic flow. Phys. Fluids 2020, 32, 076105. [Google Scholar] [CrossRef]
- Phan, H.M.; He, L. Efficient steady and unsteady flow modeling for arbitrarily mis-staggered bladerow under influence of inlet distortion. J. Eng. Gas Turbines Power 2021, 143, 071009. [Google Scholar] [CrossRef]
- Qu, X.; Zhang, Y.F.; Lu, X.G.; Lei, Z.J.; Zhu, J.Q. The effect of endwall boundary layer and incoming wakes on secondary flow in a high-lift low-pressure turbine cascade at low Reynolds number. Proc. Inst. Mech. Eng. Part G J. Aerosp. Eng. 2019, 233, 5637–5649. [Google Scholar] [CrossRef]
- Nagata, T.; Noguchi, A.; Nonomura, T.; Ohtani, K.; Asai, K. Experimental investigation of transonic and supersonic flow over a sphere for Reynolds numbers of 103–105 by free-flight tests with schlieren visualization. Shock Waves 2020, 30, 139–151. [Google Scholar] [CrossRef]
- Wang, Y.F.; Wang, F.Z.; Song, Y.P.; Chen, F. Compressible large eddy simulation of the boundary layer evolution in a low-pressure turbine cascade at different Reynolds numbers. J. Braz. Soc. Mech. Sci. Eng. 2021, 43, 222. [Google Scholar] [CrossRef]












Disclaimer/Publisher’s Note: The statements, opinions and data contained in all publications are solely those of the individual author(s) and contributor(s) and not of MDPI and/or the editor(s). MDPI and/or the editor(s) disclaim responsibility for any injury to people or property resulting from any ideas, methods, instructions or products referred to in the content. |
© 2024 by the authors. Licensee MDPI, Basel, Switzerland. This article is an open access article distributed under the terms and conditions of the Creative Commons Attribution (CC BY) license (https://creativecommons.org/licenses/by/4.0/).
Share and Cite
Li, K.; Song, B.; Jiang, S.; Wang, J.; Fan, X.; Li, J. Flow Analysis of a 300 MW F-Class Heavy-Duty Gas Turbine 1.5 Stage Compressor. Aerospace 2025, 12, 25. https://doi.org/10.3390/aerospace12010025
Li K, Song B, Jiang S, Wang J, Fan X, Li J. Flow Analysis of a 300 MW F-Class Heavy-Duty Gas Turbine 1.5 Stage Compressor. Aerospace. 2025; 12(1):25. https://doi.org/10.3390/aerospace12010025
Chicago/Turabian StyleLi, Kunhang, Bo Song, Suyu Jiang, Jiao Wang, Xiaojun Fan, and Jingyin Li. 2025. "Flow Analysis of a 300 MW F-Class Heavy-Duty Gas Turbine 1.5 Stage Compressor" Aerospace 12, no. 1: 25. https://doi.org/10.3390/aerospace12010025
APA StyleLi, K., Song, B., Jiang, S., Wang, J., Fan, X., & Li, J. (2025). Flow Analysis of a 300 MW F-Class Heavy-Duty Gas Turbine 1.5 Stage Compressor. Aerospace, 12(1), 25. https://doi.org/10.3390/aerospace12010025

