Multi-Objective Optimization of the Pre-Swirl System in a Twin-Web Turbine Disc Cavity
Abstract
1. Introduction
2. Methodology
2.1. CFD Calculation
2.1.1. Calculation Model
2.1.2. Boundary Conditions and Grids
2.1.3. Numerical Methods
2.2. Optimization Calculation
2.2.1. Identification of Significant Variables
2.2.2. Optimization Objective
2.2.3. Optimal Scheme Design
2.2.4. Surrogate Model
2.2.5. Multi-Objective Genetic Algorithm
- (1)
- The congestion distance calculated in NSGA-II exceeds the threshold;
- (2)
- Individuals are at the Pareto frontier;
- (3)
- In each generation of the updated model, the number of individuals added is less than 10% of the first non-dominant frontier population.
3. Results
3.1. Optimization Results
3.2. Flow and Heat Transfer
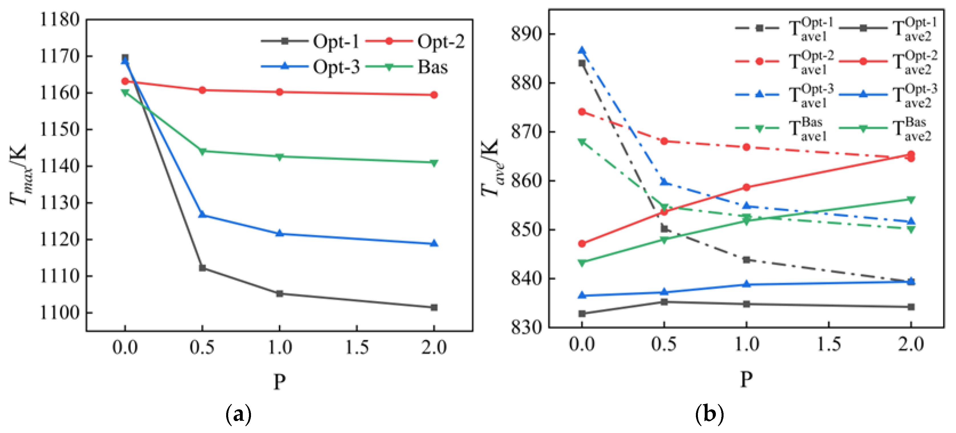
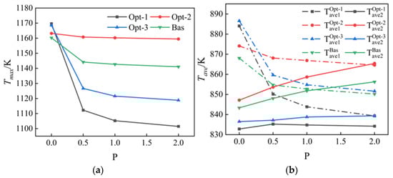
3.3. Influence of Flow Ratio
4. Conclusions
- (1)
- An optimization approach integrating Kriging and NSGA is developed and implemented in the optimization procedure to acquire a Pareto frontier with a prediction error of less than 5%. The optimal design configuration can be derived from the Pareto frontier in accordance with the requirements;
- (2)
- The Opt-3 structure acquired through the Pareto optimal solution derived by the TOPSIS method exhibits superior comprehensive performance and is capable of enhancing the cooling effect while maintaining low-pressure loss. Compared with Opt-1, the maximum temperature rose by 16.1 K, and the pressure loss dropped by 201.2 kPa. In contrast, compared with Opt-2 and the base model, the maximum temperature of TWD decreased by 38.7 K and 21.1 K, respectively, while the pressure loss remained largely unchanged;
- (3)
- The radial positioning of the nozzle and the receiving hole plays a crucial role in influencing both flow dynamics and heat transfer characteristics. In the optimal configuration proposed in this study, a significant enhancement in the convective heat transfer coefficient within the stator cavity of the two rotors is observed. The jet emerging from the outlet of the receiving hole disrupts the formation of the Ekman layer within the inner cavity, thereby augmenting the Nusselt number in this region and concurrently reducing pressure losses;
- (4)
- As the flow ratio increases, all four structural configurations demonstrate analogous characteristics. The trend of change exhibits a consistent decline, with the maximum temperature of the TWD gradually decreasing and pressure losses progressively increasing. Furthermore, the average temperature of the front web rises, while the average temperature of the back web experiences a gradual decline attributable to the alterations in flow conditions.
Author Contributions
Funding
Data Availability Statement
Conflicts of Interest
References
- Kim, Y.I.; Song, S.J. Unsteady measurement of core penetration flow caused by rotating geometric non-axisymmetry in a turbine rotor-stator disc cavity. Exp. Therm. Fluid Sci. 2019, 107, 118–129. [Google Scholar]
- Zhang, M.; Yao, Q.; Sun, S.; Li, L.; Hou, X. An efficient strategy for reliability-based multidisciplinary design optimization of twin-web disk with non-probabilistic model. Appl. Math. Model. 2020, 82, 546–572. [Google Scholar]
- Shen, W.; Wang, S.; Liang, X. Effect of Impellers on the Cooling Performance of a Radial Pre-Swirl System in Gas Turbine Engines. Aerospace 2024, 11, 187. [Google Scholar] [CrossRef]
- Xia, Z.L.; Wang, S.F.; Zhang, J.C. A Novel Design of Cooling Air Supply System with Dual Row Pre-Swirl Nozzles. J. Appl. Fluid Mech. 2020, 13, 1299–1309. [Google Scholar]
- Lee, J.; Lee, H.; Park, H.; Cho, G.; Kim, D.; Cho, J. Design optimization of a vane type pre-swirl nozzle. Eng. Appl. Comput. Fluid Mech. 2021, 15, 164–179. [Google Scholar]
- Shen, W.; Wang, S.; Wang, M.; Dong, W.; Zhang, K. Transient response and volume model of steam cooling in a rotor–stator disk cavity of gas turbines. Therm. Sci. Eng. Prog. 2024, 53, 102701. [Google Scholar]
- Zhang, M.; Gou, W.; Yao, Q.; Li, L.; Yue, Z. Investigation on heat transfer characteristic and optimization of the cooling air inlet for the twin-web turbine disk. J. Phys. Conf. Ser. 2017, 885, 012011. [Google Scholar]
- Zhao, X.; Xu, G.; Luo, X.; Deng, H. Cooling structure on double-web turbine disk with equal mass scheme. J. Beijing Univ. Aeronaut. Astronaut. 2019, 35, 527–531. [Google Scholar]
- Zhang, M.; Gou, W.; Li, L.; Wang, X.; Yue, Z. Multidisciplinary design and optimization of the twin-web turbine disk. Struct. Multidiscip. Optim. 2016, 53, 1129–1141. [Google Scholar]
- Zhang, M.; Gou, W.; Li, L.; Yang, F.; Yue, Z. Multidisciplinary design and multi-objective optimization on guide fins of twin-web disk using Kriging surrogate model. Struct. Multidiscip. Optim. 2017, 55, 361–373. [Google Scholar]
- Li, L.; Tang, Z.; Li, H.; Gao, W.; Yue, Z.; Xie, G. Convective heat transfer characteristics of twin-web turbine disk with pin fins in the inner cavity. Int. J. Therm. Sci. 2020, 152, 106303. [Google Scholar]
- Li, L.; Tang, Z.; Li, H.; Tong, F.; Gao, W. Multidisciplinary design optimization of twin-web turbine disk with pin fins in inner cavity. Appl. Therm. Eng. 2019, 161, 114104. [Google Scholar]
- Ma, A.; Wu, Q.; Zhou, T.; Hu, R. Effect of Inlet Flow Ratio on Heat Transfer Characteristics of a Novel Twin-Web Turbine Disk with Receiving Holes. Case Stud. Therm. Eng. 2022, 34, 101990. [Google Scholar]
- Ma, A.; Liu, F.; Zhou, T.; Hu, R. Numerical investigation on heat transfer characteristics of twin-web turbine disk-cavity system. Appl. Therm. Eng. 2020, 184, 116268. [Google Scholar]
- Cai, S.; Mao, Z.; Wang, Z.; Yin, M.; Karniadakis, G.E. Physics-informed neural networks (PINNs) for fluid mechanics: A review. Acta Mech. Sin. 2021, 37, 1727–1738. [Google Scholar]
- Zuhal, L.R.; Palar, P.S.; Shimoyama, K. A comparative study of multi-objective expected improvement for aerodynamic design. Aerosp. Sci. Technol. 2019, 91, 548–560. [Google Scholar]
- Jilin, L.; Shunwen, X.; Yi, L.; Xiwen, D.; Ao, T.; Lin, D. Multi-objective optimisation of heat transfer and structural strength of aero-piston air-cooled engine cylinder based on orthogonal test. Therm. Sci. Eng. Prog. 2024, 50, 102500. [Google Scholar]
- Zhang, M.; Liu, D.; Liu, Y. Recent progress in precision measurement and assembly optimization methods of the aero-engine multistage rotor: A comprehensive review. Measurement 2024, 235, 114990. [Google Scholar]
- Jia, X.; Zhou, D.; Hao, J.; Ma, Y.; Peng, Z. Dynamic simulation based on feature transfer learning with source domain adaptive optimization: Application of data-driven model for aero-engines. Measurement 2023, 223, 113786. [Google Scholar]
- Cheng, S.; Zhan, H.; Shu, Z.; Fan, H.; Wang, B. Effective optimization on Bump inlet using meta-model multi-objective particle swarm assisted by expected hyper-volume improvement. Aerosp. Sci. Technol. 2019, 87, 431–447. [Google Scholar]
- Ghafariasl, P.; Mahmoudan, A.; Mohammadi, M.; Nazarparvar, A.; Hoseinzadeh, S.; Fathali, M.; Chang, S.; Zeinalnezhad, M.; Garcia, D.A. Neural network-based surrogate modeling and optimization of a multigeneration system. Appl. Energy 2024, 364, 123130. [Google Scholar]
- Ye, Y.; Wang, Z.; Zhang, X. Cascade ensemble-RBF-based optimization algorithm for aero-engine transient control schedule design optimization. Aerosp. Sci. Technol. 2021, 115, 106779. [Google Scholar]
- Wang, L.; Deng, L.; Ji, C.; Liang, E.; Wang, C.; Che, D. Multi-objective optimization of geometrical parameters of corrugated-undulated heat transfer surfaces. Appl. Energy 2016, 174, 25–36. [Google Scholar]
- Gao, H.; Zio, E.; Wang, A.; Bai, G.; Fei, C. Probabilistic-based combined high and low cycle fatigue assessment for turbine blades using a substructure-based kriging surrogate model. Aerosp. Sci. Technol. 2020, 104, 105957. [Google Scholar]
- Yu, J.; Wang, Z.; Chen, F.; Yu, J.; Wang, C. Kriging surrogate model applied in the mechanism study of tip leakage flow control in turbine cascade by multiple DBD plasma actuators. Aerosp. Sci. Technol. 2019, 85, 216–228. [Google Scholar]
- Kaya, H.; Tiftikçi, H.; Kutluay, M.; Sakarya, E. Generation of surrogate-based aerodynamic model of an UCAV configuration using an adaptive co-Kriging method. Aerosp. Sci. Technol. 2019, 95, 105511. [Google Scholar]
- Raul, V.; Leifsson, L. Surrogate-based aerodynamic shape optimization for delaying airfoil dynamic stall using Kriging regression and infill criteria. Aerosp. Sci. Technol. 2021, 111, 106555. [Google Scholar]
- Huang, X.; Wang, P.; Xin, F.; Li, L. Line sampling based fuzzy simulation coupled with adaptive Kriging for estimating failure possibility of simplified turbine disk. Aerosp. Sci. Technol. 2023, 142, 108613. [Google Scholar]
- Zhao, W.; Chen, J.; Liu, Y.; Xiang, H.; Li, B. Prescreening surrogate-model-assisted multi-objective aerodynamic optimization design of highly loaded axial compressor in heavy-duty gas turbine. Appl. Therm. Eng. 2024, 254, 123813. [Google Scholar]
- Shahri, M.H.; Habibzadeh, S.; Madadi, A. Three-dimensional optimization of squealer-tip for a transonic axial-flow compressor rotor blade. Heliyon 2024, 10, e23665. [Google Scholar]
- Deb, K.; Pratap, A.; Agarwal, S.; Meyarivan, T. A fast and elitist multi-objective genetic algorithm: NSGA-II. IEEE Trans. Evol. Comput. 2002, 6, 182–197. [Google Scholar]
- Huang, J.; Yao, W.-X. Multi-objective design optimization of blunt body with spike and aerodisk in hypersonic flow. Aerosp. Sci. Technol. 2019, 93, 105122. [Google Scholar]
- Lim, H.; Kim, H. Multi-objective airfoil shape optimization using an adaptive hybrid evolutionary algorithm. Aerosp. Sci. Technol. 2019, 87, 141–153. [Google Scholar]
- Liu, Z.; Wang, P.; Zhao, Y.; Xie, Y.; Zhang, D. Nonlinear dynamic prediction and design optimization of bladed-disk based on hybrid deep neural network. Int. J. Non-Linear Mech. 2024, 162, 104721. [Google Scholar]
- Zhang, X.; Fu, X.; Fu, B.; Du, H.; Tong, H. Multi-objective optimization of aeroengine rotor assembly based on tensor coordinate transformation and NSGA-II. CIRP J. Manuf. Sci. Technol. 2024, 51, 190–200. [Google Scholar]
- Shen, W.; Wang, S. Large eddy simulation of turbulent flow and heat transfer in a turbine disc cavity with impellers. Int. Commun. Heat Mass Transf. 2022, 139, 106463. [Google Scholar]
- Ma, J.; Liu, G.; Yao, G.; Li, J.; Gong, W.; Lin, A. Investigations of a turbine pre-swirl system with high temperature drop efficiency through the design of a novel vane-shaped receiver hole. Energy 2024, 301, 131632. [Google Scholar]
- Anibal, J.L.; Martins, J.R. Adjoint-based shape optimization of a plate-fin heat exchanger using CFD. Appl. Therm. Eng. 2024, 252, 123570. [Google Scholar]
- Xu, G.-Q.; Zhang, S.; Lu, X.; Ding, S.-T.; Tao, Z.; Lei, B. Experimental investigation on heat transfer in shrouded rotating disk with high-positioned air inflow. J. Aerosp. Power 2006, 21, 820–823. (In Chinese) [Google Scholar]
- Kong, X.; Lu, B.; Liu, Y.; Chen, H. Experimental Study on the Outlet Flow Field and Cooling Performance of Vane-Shaped Pre-Swirl Nozzles in Gas Turbine Engines. SSRN Electron. J. 2023, 44, 102878. [Google Scholar]
- Kong, X.; Huang, T.; Liu, Y.; Chen, H.; Lu, H. Effects of pre-swirl radius on cooling performance of a rotor-stator pre-swirl system in gas turbine engines. Case Stud. Therm. Eng. 2022, 37, 102250. [Google Scholar]
- Bandaru, S.N.S.A. Machine Learning-Based Bridge Load Posting Prediction; Louisiana State University and Agricultural & Mechanical College: Baton Rouge, LA, USA, 2022. [Google Scholar]
- McKay, M.D.; Beckman, R.J.; Conover, W.J. A Comparison of Three Methods for Selecting Values of Input Variables in the Analysis of Output from a Computer Code. Technometrics 2000, 42, 55–61. [Google Scholar]
- Tian, K.; Gao, T.; Huang, L.; Xia, Q. Data-driven non-intrusive shape-topology optimization framework for curved shells. Aerosp. Sci. Technol. 2023, 139, 108405. [Google Scholar]
- Zheng, N.; Liu, P.; Wang, X.; Shan, F.; Liu, Z.; Liu, W. Numerical simulation and optimization of heat transfer enhancement in a heat exchanger tube fitted with vortex rod inserts. Appl. Therm. Eng. 2017, 123, 471–484. [Google Scholar]
- Sui, Z.; Sui, Y.; Wu, W. Multi-objective optimization of a microchannel membrane-based absorber with inclined grooves based on CFD and machine learning. Energy 2021, 240, 122809. [Google Scholar]
- Sayyaadi, H.; Mehrabipour, R. Efficiency enhancement of a gas turbine cycle using an optimized tubular recuperative heat exchanger. Energy 2012, 38, 362–375. [Google Scholar] [CrossRef]















| Geometric Parameter | Symbol | Unit | Design Value |
|---|---|---|---|
| Height of disc hub | H0 | mm | 31 |
| Height of disc rim | H1 | mm | 20 |
| Inner radius of disc | R0 | mm | 53.5 |
| Outer radius of disc | R1 | mm | 281 |
| Radius of inlet arc (inside) | R2 | mm | 50 |
| Radius of inlet arc (outside) | R3 | mm | 25 |
| Width of inlet-mid | S0 | mm | 10 |
| Width of disc bottom | S1 | mm | 58.8 |
| Width of single disc edge | S2 | mm | 40 |
| Parameters | Units | Value Range (mm) |
|---|---|---|
| RPN1 | mm | 140–236 |
| RPN2 | mm | 140–236 |
| RRH | mm | 135–250 |
| APN1 | ° | 24–72 |
| APN2 | ° | 24–72 |
| ARH | ° | 0–30 |
| Parameters | Value Range (mm) |
|---|---|
| RPN1 | 140–236 |
| RPN2 | 140–236 |
| RRH | 135–250 |
| Test Set | y1 | y2 | ||||
|---|---|---|---|---|---|---|
| CFD | Kriging | Error/% | CFD | Kriging | Error/% | |
| 1 | 0.51881 | 0.49046 | 5.46 | 0.35158 | 0.3258 | 7.33 |
| 2 | 0.70452 | 0.72506 | 2.92 | 0.87355 | 0.91685 | 4.96 |
| 3 | 0.28426 | 0.25959 | 8.68 | 0.13611 | 0.1417 | 4.11 |
| 4 | 0.50276 | 0.51761 | 2.95 | 0.67971 | 0.68621 | 0.96 |
| 5 | 0.51881 | 0.49046 | 5.46 | 0.35158 | 0.33191 | 5.60 |
| 6 | 0.66452 | 0.69506 | 4.60 | 0.88355 | 0.91685 | 3.77 |
| 7 | 0.30426 | 0.27959 | 8.11 | 0.13611 | 0.1417 | 4.11 |
| 8 | 0.50276 | 0.51761 | 2.95 | 0.67971 | 0.68621 | 0.96 |
| Optimized Solution | Name | RPN1 | RRH | RPN2 |
|---|---|---|---|---|
| Point1 | Opt-1 | 235.61 | 141.17 | 170.07 |
| Point2 | Opt-2 | 222.25 | 244.96 | 209.38 |
| Point3 | Opt-3 | 235.61 | 209.16 | 158.86 |
| - | Bas | 236.00 | 250.00 | 236.00 |
| Name | F1 | F2 | ||||
|---|---|---|---|---|---|---|
| CFD | Kriging | Error/% | CFD | Kriging | Error/% | |
| Opt-1 | −0.078 | −0.081 | 3.7 | 0.809 | 0.799 | 1.25 |
| Opt-2 | 0.649 | 0.646 | 0.46 | 0.015 | 0.021 | 2.85 |
| Opt-3 | 0.088 | 0.092 | 4.3 | 0.182 | 0.185 | 1.62 |
| Bas | 0.392 | - | - | 0.045 | - | - |
| Serial Number | P | ||
|---|---|---|---|
| 1 | 0 | 0.0166 | 0 |
| 2 | 0.0056 | 0.011 | 0.5 |
| 3 | 0.0083 | 0.0083 | 1 |
| 4 | 0.011 | 0.0056 | 2 |
Disclaimer/Publisher’s Note: The statements, opinions and data contained in all publications are solely those of the individual author(s) and contributor(s) and not of MDPI and/or the editor(s). MDPI and/or the editor(s) disclaim responsibility for any injury to people or property resulting from any ideas, methods, instructions or products referred to in the content. |
© 2024 by the authors. Licensee MDPI, Basel, Switzerland. This article is an open access article distributed under the terms and conditions of the Creative Commons Attribution (CC BY) license (https://creativecommons.org/licenses/by/4.0/).
Share and Cite
Guo, Y.; Wang, S.; Shen, W. Multi-Objective Optimization of the Pre-Swirl System in a Twin-Web Turbine Disc Cavity. Aerospace 2024, 11, 761. https://doi.org/10.3390/aerospace11090761
Guo Y, Wang S, Shen W. Multi-Objective Optimization of the Pre-Swirl System in a Twin-Web Turbine Disc Cavity. Aerospace. 2024; 11(9):761. https://doi.org/10.3390/aerospace11090761
Chicago/Turabian StyleGuo, Yueteng, Suofang Wang, and Wenjie Shen. 2024. "Multi-Objective Optimization of the Pre-Swirl System in a Twin-Web Turbine Disc Cavity" Aerospace 11, no. 9: 761. https://doi.org/10.3390/aerospace11090761
APA StyleGuo, Y., Wang, S., & Shen, W. (2024). Multi-Objective Optimization of the Pre-Swirl System in a Twin-Web Turbine Disc Cavity. Aerospace, 11(9), 761. https://doi.org/10.3390/aerospace11090761

