Experimental Study on Submerged Nozzle Damping Characteristics of Solid Rocket Motor
Abstract
1. Introduction
2. Experiment Equipment
3. Results and Discussion
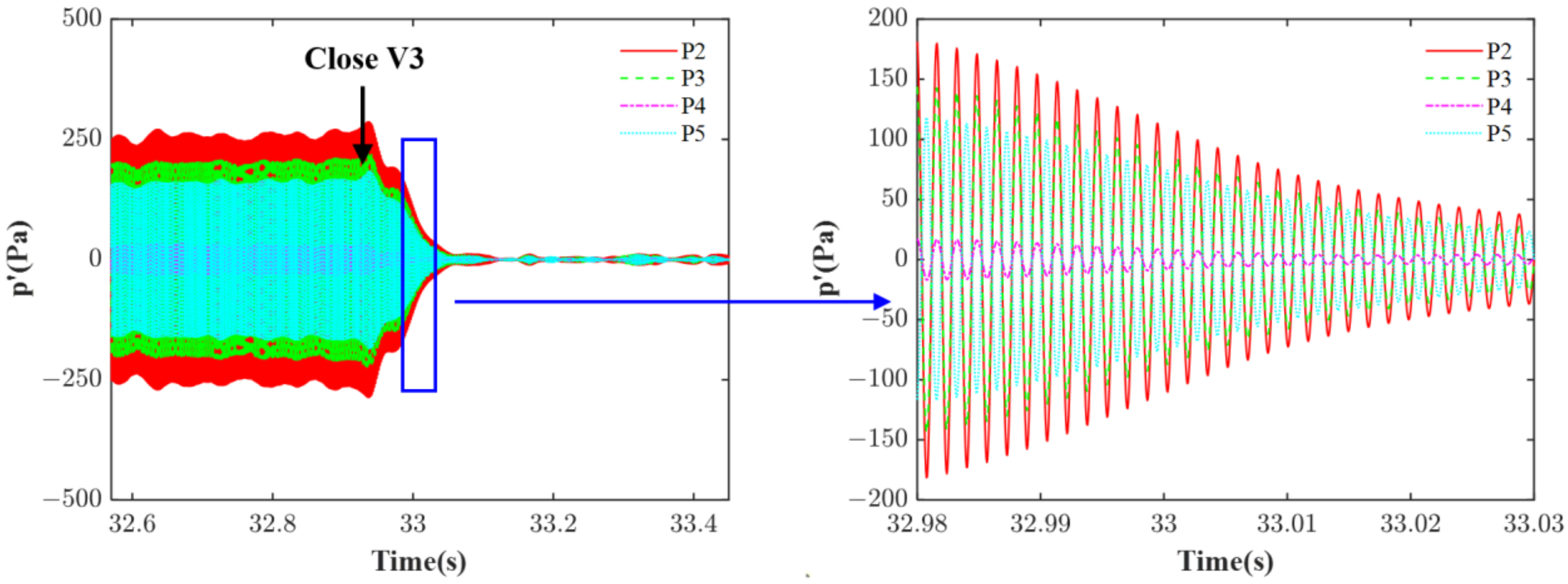
3.1. Data Analysis Method
3.2. The Effect of the Submerged Nozzle Structure on the Damping Performance
3.3. The Effect of Pressure on the Submerged Nozzle Damping
4. Conclusions
- The submerged cavity dimensions exhibited an inverse relationship with nozzle damping efficiency. Enlarging the submerged cavity diminished the nozzle damping capability. Furthermore, it was found that eliminating the submerged cavity (relative to case S0) enhanced the nozzle decay coefficient magnitude by 41.9%.
- The nozzle convergent angle demonstrated a positive correlation with the nozzle decay coefficient. Increasing the convergent angle amplified acoustic wave reflection and consequently reduced the nozzle damping performance.
- A linear inverse relationship was observed between the throat-to-port area ratio and the decay coefficient. Quantitatively, a 125% increase in the throat-to-port area ratio resulted in a 24.3% reduction in the nozzle decay coefficient.
- Mean pressure variations within the operational range exhibited a negligible influence on the acoustic damping characteristics, even in complex submerged nozzle configurations. This suggests that the acoustic damping behavior remained consistent across typical operating pressures.
Author Contributions
Funding
Data Availability Statement
Conflicts of Interest
References
- Casalis, G.; Boyer, G.; Radenac, E. Some recent advances in the instabilities occurring in long solid rocket motors. In Proceedings of the 47th AIAA/ASME/SAE/ASEE Joint Propulsion Conference Exhibit, San Diego, CA, USA, 3 August 2011. [Google Scholar]
- Hyun, W.; Kim, J.; Chae, H.; Lee, C. Passive Control of Low-Frequency Instability in Hybrid Rocket Combustion. Aerospace 2021, 8, 204. [Google Scholar] [CrossRef]
- Rayleigh, J.W.S.B. The Theory of Sound; MacMillan: London, UK, 1896. [Google Scholar]
- Culick, F.E.C. Combustion instabilities in solid propellant rocket motors. In Proceedings of the TO/VKI Special Course on “Internal Aerodynamics in Solid Rocket Propulsion”, Rhode-Saint-Genèse, Belgium, 27–31 May 2002. [Google Scholar]
- Price, E.W. Experimental solid rocket combustion instability. In Proceedings of the Symposium (International) on Combustion, Cambridge, UK, 17–21 August 1965; Volume 10, pp. 1067–1082. [Google Scholar]
- Hart, R.W.; McClure, F.T. Combustion instability: Acoustic interaction with a burning propellant surface. J. Chem. Phys. 1959, 30, 1501–1514. [Google Scholar] [CrossRef]
- Li, L.; Bao, F.; Wei, R.; Hou, K.; Shi, X. Research on oscillation response of Pressure-Combustion-Thrust System in Solid Rocket Motor. J. Aerosp. Eng. 2024, 37, 04024036. [Google Scholar] [CrossRef]
- O’Connor, J.; Acharya, V.; Lieuwen, T. Transverse combustion instabilities: Acoustic, fluid mechanic, and flame processes. Prog. Energy Combust. Sci. 2015, 49, 1–39. [Google Scholar] [CrossRef]
- Almayas, A.; Yaakob, M.S.; Aziz, F.A.; Yidris, N.; Ahmad, K.A. CFD application for solid propellant rocket simulation: A review. CFD Lett. 2021, 13, 84–95. [Google Scholar] [CrossRef]
- Wang, Z.; Liu, P.; Ao, W. A reduced-order model of thermoacoustic instability in solid rocket motors. Aerosp. Sci. Technol. 2020, 97, 105615. [Google Scholar] [CrossRef]
- Xu, G.; Wang, B.; Guan, Y.; Wang, Z.; Liu, P. Early detection of thermoacoustic instability in a solid rocket motor: A generative adversarial network approach with limited data. Appl. Energy 2024, 373, 123776. [Google Scholar]
- Liu, J.; Wang, N.F.; Wang, J.; Li, Z.Y. Optimizing combustion performance in a solid rocket scramjet engine. Aerosp. Sci. Technol. 2020, 99, 105560. [Google Scholar] [CrossRef]
- Emelyanov, V.N.; Teterina, I.V.; Volkov, K.N.; Garkushev, A.U. Pressure oscillations and instability of working processes in the combustion chambers of solid rocket motors. Acta Astronaut. 2017, 135, 161–171. [Google Scholar]
- Poinsot, T. Prediction and control of combustion instabilities in real engines. Proc. Combust. Inst. 2017, 36, 1–28. [Google Scholar] [CrossRef]
- Lou, Y.; Ji, X.; Liu, P.; Yin, S.; Cao, Q.L. Critical Parametric Studies of Combustion Instability in Solid Rocket Motors. In Proceedings of the 2023 14th International Conference on Mechanical and Aerospace Engineering (ICMAE), Porto, Portugal, 18–21 July 2023; pp. 272–277. [Google Scholar]
- Li, X.; Zhao, D. Feedback control of self-sustained nonlinear combustion oscillations. J. Eng. Gas Turbines Power 2016, 138, 061505. [Google Scholar] [CrossRef]
- Li, X.; Zhao, D.; Yang, X.; Wen, H.; Jin, X.; Li, S.; Zhao, H.; Xie, C.; Liu, H. Transient growth of acoustical energy associated with mitigating thermoacoustic oscillations. Appl. Energy 2016, 169, 481–490. [Google Scholar] [CrossRef]
- Li, X.; Zhao, D.; Yang, X.; Wang, S. Unity maximum transient energy growth of heat-driven acoustic oscillations. Energy Convers. Manag. 2016, 116, 1–10. [Google Scholar] [CrossRef]
- Ji, S.; Wang, B.; Zhao, D. Numerical analysis on combustion instabilities in end-burning-grain solid rocket motors utilizing pressure-coupled response functions. Aerosp. Sci. Technol. 2020, 98, 105701. [Google Scholar] [CrossRef]
- Han, L.; Li, J.; Zhao, D.; Gu, X.; Ma, B.; Wang, N. Effects of baffle designs on damping acoustic oscillations in a solid rocket motor. Aerosp. Sci. Technol. 2021, 115, 106827. [Google Scholar] [CrossRef]
- Silva, C.F. Intrinsic thermoacoustic instabilities. Prog. Energy Combust. Sci. 2023, 95, 101065. [Google Scholar] [CrossRef]
- Mariappan, S.; Sujith, R.I. Thermoacoustic instability in a solid rocket motor: Non-normality and nonlinear instabilities. J. Fluid Mech. 2010, 653, 1–33. [Google Scholar] [CrossRef]
- Wang, Z.; Liu, P.; Jin, B.; Ao, W. Nonlinear characteristics of the triggering combustion instabilities in solid rocket motors. Acta Astronaut. 2020, 176, 371–382. [Google Scholar] [CrossRef]
- Staschus, C.; Frederick, R.A. An Overview of Combustion Instabilities and Rocket Engine Injector Design. In Proceedings of the 52nd AIAA/SAE/ASEE Joint Propulsion Conference, Salt Lake City, UT, USA, 25–27 July 2016; p. 4724. [Google Scholar]
- Blomshield, F. Lessons learned in solid rocket combustion instability. In Proceedings of the 43rd AIAA/ASME/SAE/ASEE Joint Propulsion Conference Exhibit, Cincinnati, OH, USA, 8–11 July 2007; p. 5803. [Google Scholar]
- Zinn, B.T. Longitudinal mode acoustic losses in short nozzles. J. Sound Vib. 1972, 22, 93–105. [Google Scholar] [CrossRef]
- Kalyana Chakravarthy, V.; Iyer, A.S.; Chakraborty, D. Quasi-one-dimensional modeling of internal ballistics and axial acoustics in solid rocket Motors. J. Propuls. Power 2016, 32, 882–891. [Google Scholar] [CrossRef]
- Zhang, Q.; Wei, Z.J.; Su, W.X.; Li, J.W.; Wang, N.F. Theoretical modeling and numerical study for thrust-oscillation characteristicsin solid rocket motors. J. Propuls. Power 2012, 28, 312–322. [Google Scholar] [CrossRef]
- Anthoine, J.; Buchlin, J.M.; Hirschberg, A. Effect of nozzle cavity on resonance in large SRM: Theoretical modeling. J. Propuls. Power 2002, 18, 304–311. [Google Scholar] [CrossRef]
- Sun, B.B.; Li, S.P.; Su, W.X.; Li, J.W.; Wang, N.F. Effects of gas temperature on nozzle damping experiments on cold-flow rocket motors. Acta Astronaut. 2016, 126, 18–26. [Google Scholar] [CrossRef]
- Janardan, B.A.; Zinn, B.T. Rocket nozzle damping characteristics measured using different experimental techniques. AIAA J. 1977, 15, 442–444. [Google Scholar] [CrossRef]
- Crocco, L.; Monti, R.; Grey, J. Verification of nozzle admittance theory by direct measurement of the admittance parameter. ARS J. 1961, 31, 771–775. [Google Scholar] [CrossRef]
- Zinn, B.T.; Bell, W.A.; Daniel, B.R.; Smith, A., Jr. Experimental determination of three-dimensional liquid rocket nozzleadmittances. AIAA J. 1973, 11, 267–272. [Google Scholar] [CrossRef]
- Janardan, B.A.; Daniel, B.R.; Zinn, B.T. Damping of axial instabilities by small-scale nozzles under cold-flow conditions. J. Spacecr. Rocket. 1974, 11, 812–820. [Google Scholar] [CrossRef]
- Buffum, F.G., Jr.; Dehority, G.L.; Slates, R.O.; Price, E.W. Acoustic attenuation experiments on subscale, cold-flow rocket motors. AIAA J. 1967, 5, 272–280. [Google Scholar] [CrossRef]
- Sattelmayer, T.; Kathan, R.; Köglmeier, S.; Kaess, R.; Nicole, A. Validation of transverse instability damping computations for rocket engines. J. Propuls. Power 2015, 31, 1148–1158. [Google Scholar] [CrossRef]
- Price, T.J. Experimental Investigation of Transverse Mode Nozzle Damping. Master’s Thesis, University of Tennessee, Tennessee, TN, USA, 2017. [Google Scholar]
- Li, X.; Pang, K.; Li, X. The Submerged Nozzle Damping Characteristics in Solid Rocket Motor. Aerospace 2023, 10, 191. [Google Scholar] [CrossRef]

















| Monitoring Points | P2 | P3 | P4 | P5 |
|---|---|---|---|---|
| X/mm | 30 | 60 | 120 | 180 |
| Case | /mm | /deg | Throat-to-Port Area Ratio |
|---|---|---|---|
| 0 (baseline) | 10.00 | 50 | 0.04 |
| 1 | 11.25 | 50 | 0.04 |
| 2 | 12.50 | 50 | 0.04 |
| 3 | 10.00 | 40 | 0.04 |
| 4 | 10.00 | 60 | 0.04 |
| 5 | 10.00 | 50 | 0.01 |
| 6 | 10.00 | 50 | 0.0225 |
| 7 | 0 | 50 | 0.04 |
| Case | 8 | 9 | 10 |
|---|---|---|---|
| Thepressure of the main airsupply/MPa | 2.2 | 3.4 | 4.4 |
| The pressure ofthe secondary airsupply/MPa | 1.0 | 1.5 | 1.9 |
| Mean combustion chamber pressure under main flow conditions/MPa | 0.1 | 0.2 | 0.3 |
Disclaimer/Publisher’s Note: The statements, opinions and data contained in all publications are solely those of the individual author(s) and contributor(s) and not of MDPI and/or the editor(s). MDPI and/or the editor(s) disclaim responsibility for any injury to people or property resulting from any ideas, methods, instructions or products referred to in the content. |
© 2024 by the authors. Licensee MDPI, Basel, Switzerland. This article is an open access article distributed under the terms and conditions of the Creative Commons Attribution (CC BY) license (https://creativecommons.org/licenses/by/4.0/).
Share and Cite
Li, X.; Chen, Z.; Li, X.; Xu, B.; Wang, S. Experimental Study on Submerged Nozzle Damping Characteristics of Solid Rocket Motor. Aerospace 2024, 11, 759. https://doi.org/10.3390/aerospace11090759
Li X, Chen Z, Li X, Xu B, Wang S. Experimental Study on Submerged Nozzle Damping Characteristics of Solid Rocket Motor. Aerospace. 2024; 11(9):759. https://doi.org/10.3390/aerospace11090759
Chicago/Turabian StyleLi, Xinyan, Zhenglong Chen, Xiaosi Li, Bo Xu, and Shengnan Wang. 2024. "Experimental Study on Submerged Nozzle Damping Characteristics of Solid Rocket Motor" Aerospace 11, no. 9: 759. https://doi.org/10.3390/aerospace11090759
APA StyleLi, X., Chen, Z., Li, X., Xu, B., & Wang, S. (2024). Experimental Study on Submerged Nozzle Damping Characteristics of Solid Rocket Motor. Aerospace, 11(9), 759. https://doi.org/10.3390/aerospace11090759

