Identification of Similar Weather Scenes in Terminal Areas Based on Multiresolution Spatiotemporal Windows
Abstract
1. Introduction
- (1)
- A framework has been developed for extracting features and identifying similar weather scenes in terminal areas. This aims to analyze the spatiotemporal movement patterns of meteorological scenes in terminal areas.
- (2)
- An identification method that combines clustering and search has been proposed to identify similar weather scenes from a scene library.
- (3)
- A distance metric based on multiresolution spatiotemporal distance has been proposed and its effectiveness and superiority have been demonstrated using the historical meteorological dataset of the Guangzhou terminal area.
2. Related Works
3. Methodology
3.1. Weather Scene Feature Extraction and Transformation
3.1.1. Data Processing
3.1.2. Rasterized WSI
3.1.3. Time-Series Weather Scene Construction
3.2. Clustering of Time-Series Weather Scenes
| Algorithm 1: DTW-FCM based clustering of time-series weather scenes |
| Input: Time-series scenes dataset
; the number of clusters c; the fuzzy weighting index m Output: Each time series label yi 1.for each scenes si in S do: 2. for to n: 3. Calculate the DTW distance matrix D between si and sj 4. end 5.end 6. Calculate the DTW distance matrix D using 7. Randomly initialize the fuzzy affiliation matrix 8. Calculate the center of clustering vj by weighted average as (2) 9. Update the affiliation matrix U as (3) 10. Repeat 8 and 9 until the maximum number of iterations is met 11. Assign each time series si to the cluster: |
3.3. Distance Metrics Based on Multiresolution Spatiotemporal Windows
| Algorithm 2: MRSTW |
| Input: Target scene si and scene library sall; Output: Distance Dij 1.Initialize maximum spatial and temporal resolution: , 2.Initialize spatial and temporal resolution weights: , 3.for each si in sall do 4. for each pair of spatial resolution and temporal resolution do 5. for each pair of spatial cell and time point do 6. Calculate the distance for windows and as 7. end 8. Calculate the distance for resolution w and h as (4) 9. end 10. Calculate the overall distance as (7) 11.end |
4. Experiments and Analysis
4.1. Evaluation Index
4.2. Clustering Results
4.3. Search for Weather Scenes for Identification
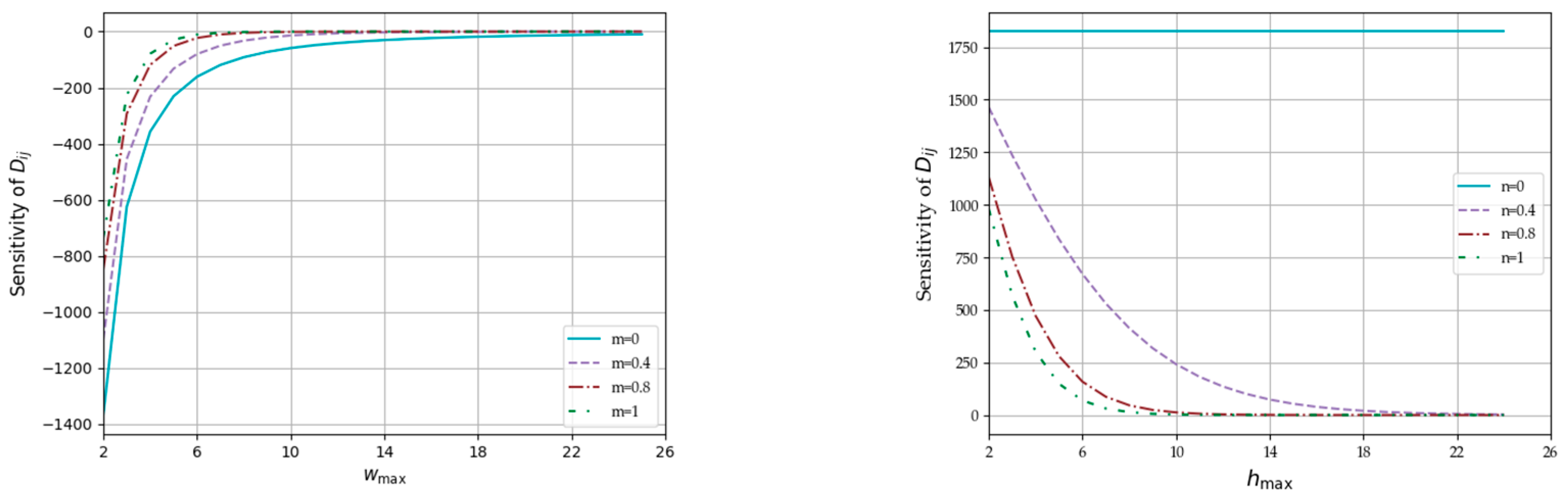
4.3.1. Parametric Analysis
- (1)
- Spatiotemporal window size and
- (2)
- Spatiotemporal window size weight factor size and
4.3.2. Typical Weather Scene Search
4.4. Traffic Flow Analysis
5. Conclusions
Author Contributions
Funding
Data Availability Statement
Acknowledgments
Conflicts of Interest
References
- Campbell, S.E.; DeLaura, R. Convective Weather Impact Forecasting in the Terminal Area. In Proceedings of the 14th AIAA Aviation Technology, Integration, and Operations Conference, Atlanta, GA, USA, 16–20 June 2014; p. 2715. [Google Scholar]
- Grabbe, S.R.; Sridhar, B.; Mukherjee, A. Clustering Days and Hours with Similar Airport Traffic and Weather Conditions. J. Aerosp. Inf. Syst. 2014, 11, 751–763. [Google Scholar] [CrossRef]
- Cook, L.S.; Wood, B. A model for determining ground delay program parameters using a probabilistic forecast of stratus clearing. Air Traffic Control. Q. 2010, 18, 85–108. [Google Scholar] [CrossRef][Green Version]
- Flicker, R.; Fricke, M. Improvement on the acceptance of a conflict resolution system by air traffic controllers. In Proceedings of the Sixth USA/Europe Air Traffic Management R&D Seminar (ATM-2005), Baltimore, MD, USA, 27–30 June 2005. [Google Scholar]
- Mukherjee, A.; Grabbe, S.R.; Sridhar, B. Classification of Days Using Weather Impacted Traffic in the National Airspace System. In Proceedings of the Aviation Technology, Integration, & Operations Conference, Los Angeles, CA, USA, 12–14 August 2013. [Google Scholar]
- Hu, M.; Zhang, X.; Yuan, L.; Chen, H.; Ge, J. Identifying similar operation scenes for busy area sector dynamic management. Trans. Nanjing Univ. Aeronaut. Astronaut. 2020, 37, 615–629. [Google Scholar] [CrossRef]
- Krozel, J.; Mitchell, J.; Polishchuk, V.; Prete, J. Capacity estimation for airspaces with convective weather constraints. In Proceedings of the AIAA Guidance, Navigation and Control Conference and Exhibit, Hilton Head, SC, USA, 20–23 August 2007; p. 6451. [Google Scholar]
- Arneson, H.; Bombelli, A.; Segarra-Torné, A.; Tse, E. Analysis of convective weather impact on predeparture routing of flights from Fort Worth Center to New York Center. In Proceedings of the AIAA Aviation 2017, Denver, CO, USA, 5–9 June 2017. [Google Scholar]
- Klein, A.; Cook, L.; Wood, B.; Simenauer, D. Airspace Capacity Estimation using Flows and Weather-Impacted Traffic Index. In Proceedings of the Integrated Communications, Navigation and Surveillance Conference, Bethesda, MD, USA, 5–7 May 2008; pp. 1–12. [Google Scholar]
- Klein, A.; Craun, C.; Lee, R.S. Airport delay prediction using Weather-Impacted Traffic Index (WITI) model. In Proceedings of the AIAA/IEEE Digital Avionics Systems Conference, Salt Lake City, UT, USA, 3–7 October 2010; pp. 1–13. [Google Scholar]
- Huang, S.; Xu, L.; Zhou, Y.; Qiao, Y.; Shen, Z. A High-Precision Method for Evaluating Sector Capacity in Bad Weather Based on an Improved WITI Model. Appl. Sci. 2022, 12, 10114. [Google Scholar] [CrossRef]
- Liu, Y.; Seelhorst, M.; Pozdnukhov, A.; Hansen, M.; Ball, M.O. Assessing terminal weather forecast similarity for strategic air traffic management. In Proceedings of the International Conference on Research in Air Transportation, Istanbul, Turkey, 26–30 May 2014. [Google Scholar]
- Chen, H.; Hou, X.; Yuan, L.; Zhang, B. Identification of similar air scenes with active metric learning. Trans. Nanjing Univ. Aeronaut. Astronaut. 2021, 38, 625–633. [Google Scholar] [CrossRef]
- Vargo, E.; Taylor, C.P. Similarity Scoring with Random Field Models for Traffic Flow Management Applications. In Proceedings of the 2018 Aviation Technology, Integration, and Operations Conference, Atlanta, GA, USA, 25–29 June 2018; p. 3671. [Google Scholar]
- Gorripaty, S.; Hansen, M.; Pozdnukhov, A. Decision support framework to assist air traffic management. In Proceedings of the 2016 IEEE/AIAA 35th Digital Avionics Systems Conference (DASC), Sacramento, CA, USA, 25–29 September 2016; pp. 1–6. [Google Scholar]
- Hoffman, B.; Krozel, J.; Penny, S.; Roy, A.; Roth, K. A Cluster Analysis to Classify Days in the National Airspace System. In Proceedings of the AIAA Guidance, Navigation, & Control Conference & Exhibit, Austin, TX, USA, 11–14 August 2003; p. 203. [Google Scholar]
- Zeng, Y.; Yuan, L.; Chen, H.; Lv, X.; Hou, X. Classification of operating scenarios in terminal areas incorporating traffic and strategy features. In Proceedings of the Fifth International Conference on Traffic Engineering and Transportation System (ICTETS 2021), Chongqing, China, 24–26 September 2021; Volume 12058, pp. 1375–1380. [Google Scholar]
- Reitmann, S.; Alam, S.; Schultz, M. Advanced quantification of weather impact on air traffic management. In Proceedings of the Thirteenth USA/Europe Air Traffic Management Research and Development Seminar (ATM2019), Vienna, Austria, 17–21 June 2019; Volume 44, pp. 554–567. [Google Scholar]
- Xie, L.; Zou, X.; Wang, Y.; Su, G. An improved weather impacted traffic index model based on fuzzy theory. In Proceedings of the 3rd Asia-Pacific Conference on Image Processing, Electronics and Computers, Dalian, China, 14–16 April 2022; pp. 30–33. [Google Scholar]
- Kong, D.; Duan, M.; Shang, R.; Li, Y. Clustering Analysis of Airport Traffic Similar Days Affected by Epidemic Based on HI-K-means. Acad. J. Sci. Technol. 2022, 4, 155–161. [Google Scholar] [CrossRef]
- Izakian, H.; Pedrycz, W.; Jamal, I. Fuzzy clustering of time series data using dynamic time warping distance. Eng. Appl. Artif. Intell. 2015, 39, 235–244. [Google Scholar] [CrossRef]
- Guo, H.; Wang, L.; Liu, X.; Pedrycz, W. Information granulation-based fuzzy clustering of time series. IEEE Trans. Cybern. 2020, 51, 6253–6261. [Google Scholar] [CrossRef] [PubMed]
- Xie, J.; Wan, Y.; Zhou, Y.; Tien, S.L.; Vargo, E.P.; Taylor, C.; Wanke, C. Distance measure to cluster spatiotemporal scenarios for strategic air traffic management. J. Aerosp. Inf. Syst. 2015, 12, 545–563. [Google Scholar] [CrossRef]
- Ashari, I.F.; Nugroho, E.D.; Baraku, R.; Yanda, I.N.; Liwardana, R.; Ashari, I.F.; Nugroho, E.D.; Baraku, R.; Yanda, I.N.; Liwardana, R. Analysis of elbow, silhouette, Davies-Bouldin, Calinski-Harabasz, and rand-index evaluation on k-means algorithm for classifying flood-affected areas in Jakarta. J. Appl. Inform. Comput. 2023, 7, 95–103. [Google Scholar] [CrossRef]

















| WAF Value | Color | Advise |
|---|---|---|
| 0 | white | cross |
| 1 | green | cross |
| 2 | yellow | circumnavigate |
| 3 | red | circumnavigate |
| Class | 0 | 1 | 2 | 3 |
|---|---|---|---|---|
| Number of days | 7 | 42 | 2 | 112 |
Disclaimer/Publisher’s Note: The statements, opinions and data contained in all publications are solely those of the individual author(s) and contributor(s) and not of MDPI and/or the editor(s). MDPI and/or the editor(s) disclaim responsibility for any injury to people or property resulting from any ideas, methods, instructions or products referred to in the content. |
© 2024 by the authors. Licensee MDPI, Basel, Switzerland. This article is an open access article distributed under the terms and conditions of the Creative Commons Attribution (CC BY) license (https://creativecommons.org/licenses/by/4.0/).
Share and Cite
Yuan, L.; Zhu, J.; Zeng, Y.; Chen, W.; Liu, L. Identification of Similar Weather Scenes in Terminal Areas Based on Multiresolution Spatiotemporal Windows. Aerospace 2024, 11, 749. https://doi.org/10.3390/aerospace11090749
Yuan L, Zhu J, Zeng Y, Chen W, Liu L. Identification of Similar Weather Scenes in Terminal Areas Based on Multiresolution Spatiotemporal Windows. Aerospace. 2024; 11(9):749. https://doi.org/10.3390/aerospace11090749
Chicago/Turabian StyleYuan, Ligang, Jianan Zhu, Yang Zeng, Wenlu Chen, and Li Liu. 2024. "Identification of Similar Weather Scenes in Terminal Areas Based on Multiresolution Spatiotemporal Windows" Aerospace 11, no. 9: 749. https://doi.org/10.3390/aerospace11090749
APA StyleYuan, L., Zhu, J., Zeng, Y., Chen, W., & Liu, L. (2024). Identification of Similar Weather Scenes in Terminal Areas Based on Multiresolution Spatiotemporal Windows. Aerospace, 11(9), 749. https://doi.org/10.3390/aerospace11090749

