Electrostatic Signal Self-Adaptive Denoising Method Combined with CEEMDAN and Wavelet Threshold
Abstract
1. Introduction
2. Theoretical Analysis of the Proposed Method
2.1. CEEMDAN
2.2. Proposed Low-Pass Filtering Method Based on IMF Self-Adaptive Optimal Reconstruction
2.2.1. Construction of Low-Pass Filter Based on Time–Space Filtering
2.2.2. Self-Adaptive Selection Rule of IMFs
- (1)
- Approximation metric
- (2)
- Smoothness metric
- (3)
- Self-adaptive selection rule
2.3. Wavelet Soft Threshold Denoising
2.4. The Framework of the Proposed Method
3. Simulation and Comparison
3.1. The Design of the Simulation Signal
3.2. Evaluation Indicators
3.3. Analysis and Discussion
3.3.1. EMD and CEEMDAN Decomposition
3.3.2. Analysis of IMF Selection
3.3.3. Useful Information Re-Extracted by WT
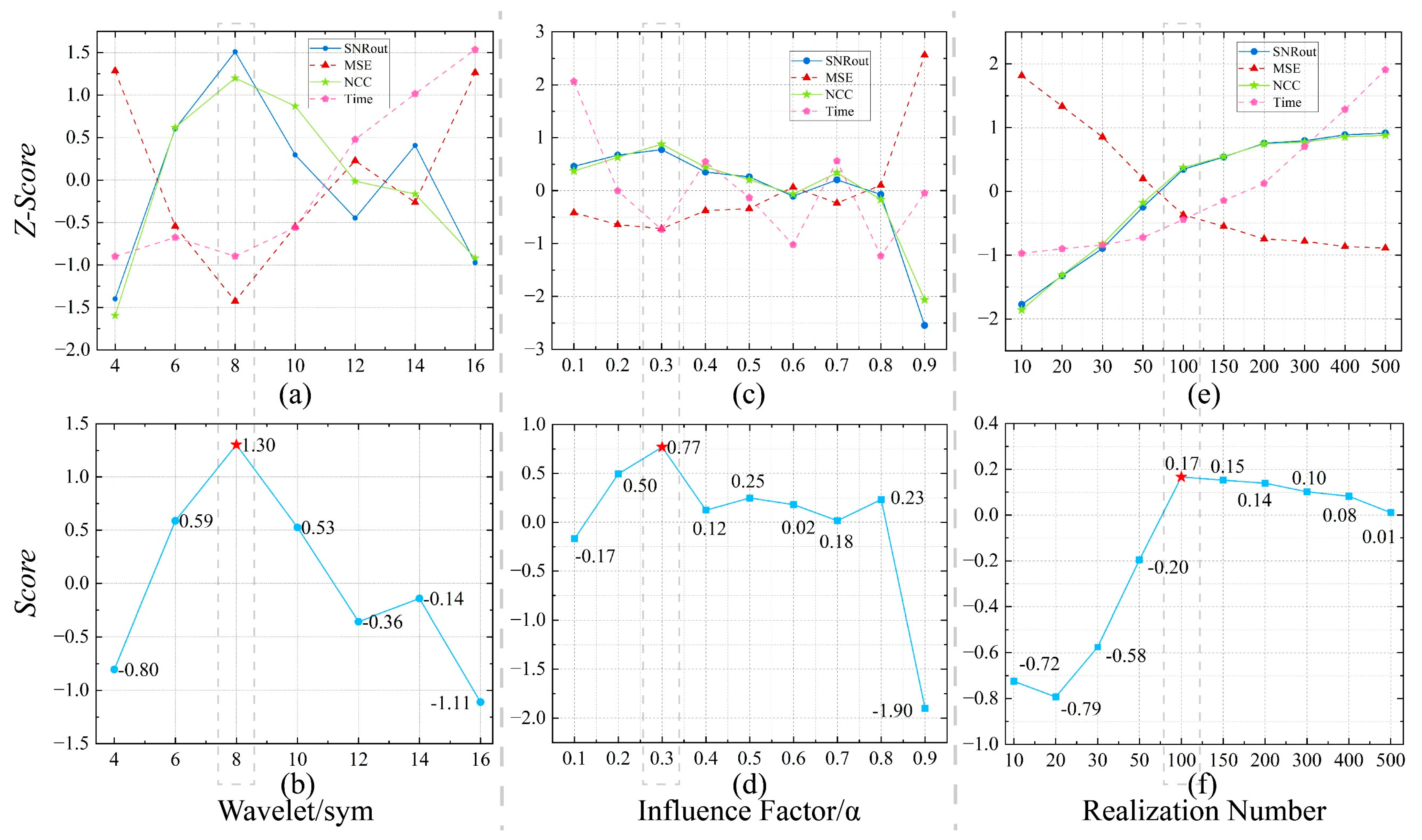
3.3.4. The Results of Denoising Performance with Different Parameters
- (1)
- Effects of the wavelet function
- (2)
- Effects of the influence factor
- (3)
- Effects of the realization number
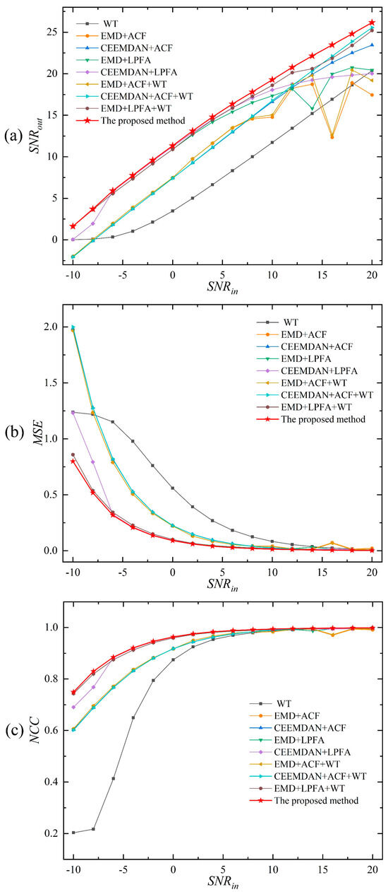
3.3.5. Effect of Ablation Experiment on Denoising Performance
3.3.6. Denoising Performance Comparisons with State-of-the-Art Methods
- (1)
- The EMD-IMF1-IMF2-IMF3 method (after EMD, the first three IMF components are removed, and the remaining IMF components are reconstructed to form the denoised signal) presented in a 2024 study, demonstrated relatively excellent denoising performance, with an output SNRout of 17.134 dB, an MSE of 0.024, and a NCC of 0.990. This method achieved automatic processing by effectively selecting IMF components to reduce noise, although it still has limitations under extreme noise conditions.
- (2)
- The EMD + Energy Highest Values method, proposed in 2023, showed significantly poorer denoising performance, with an SNRout of only 1.775 dB, an MSE of 0.825, and an NCC of 0.579. This method automatically selects the IMF with the highest energy value for signal reconstruction, but the high-energy IMF may still contain considerable noise components, leading to poor denoising results.
- (3)
- In a 2023 study, the VMD + Kurtosis + Permutation Entropy method achieved an SNRout of 3.085 dB, an MSE of 0.610, and an NCC of 0.721 by manually specifying the number of VMD modes. This method employs VMD and IMF selection based on kurtosis and permutation entropy for denoising. However, the requirement to manually specify the number of decomposition modes adds complexity and may lead to inconsistent results under varying signal conditions.
- (4)
- The TVD method, introduced in 2022, demonstrated solid denoising performance with an SNRout of 10.987 dB, an MSE of 0.099, and an NCC of 0.962. This method uses TVD to effectively reduce noise while preserving the main features of the signal, achieving automatic processing.
- (5)
- The EMD + ACF method, proposed in 2021, combines EMD with autocorrelation function selection, achieving better denoising performance with an SNRout of 15.853 dB, an MSE of 0.032, and an NCC of 0.987. Despite its good performance, the need for manual ACF selection increases the complexity of the process.
- (6)
- The proposed method in this study significantly outperformed the other methods in terms of denoising performance, achieving an SNRout of 19.319 dB, an MSE of 0.014, and an NCC of 0.994. By utilizing optimized signal decomposition and re-extracting useful information techniques, our method maximally reduces noise components while preserving the main features of the signal, demonstrating superior denoising capability and application potential with automatic processing.
4. Experimental Analysis
4.1. Test Environment
4.2. Data Acquisition
4.3. Results and Discussion
- (1)
- Figure 20a shows the denoised signal obtained by deleting the first three IMF components and reconstructing the signal after EMD [14]. The plot shows that while this method effectively reduces some of the noise, there are still noticeable noise components present, particularly highlighted within the red circle, leading to the weak signal being overwhelmed. The signal retains some of the original features, but the presence of residual noise affects the overall quality of the denoising.
- (2)
- Figure 20b shows the result of the denoised signal obtained by selecting the IMF with the highest energy value after EMD [13]. The plot indicates that this approach leads to significant residual noise, making it nearly impossible to extract the fault signal. This result suggests that selecting only the highest energy IMF may not be sufficient for effective noise reduction, as the high-energy components can still contain substantial noise.
- (3)
- Figure 20c shows the denoising result using the VMD + Kurtosis + Permutation Entropy method [17]. This method can extract some fault signals, but as indicated by the red circle, it also fails to effectively extract weak fault signals. The value of the first fault signal extracted by this method is lower compared to most other methods, and other fault signals extracted by this method are distorted. Additionally, the method requires manual specification of the number of VMD modes, which can be a limitation.
- (4)
- (5)
- Figure 20e shows the denoising result using EMD + ACF [15]. The plot demonstrates good denoising performance, with effective noise reduction within the red-circled area. However, the method requires manual selection of the ACF, which adds complexity to the process. Despite this, the method successfully preserves the primary characteristics of the signal while reducing noise.
- (6)
- The proposed method shows the best performance among the compared methods in Figure 20f. The plot highlights significant noise reduction within the red-circled area, resulting in a clean and well-preserved signal. This method demonstrates superior denoising capability, effectively balancing noise suppression and signal feature preservation. Additionally, the automatic processing feature enhances its practicality for real-world applications.
5. Conclusions
Author Contributions
Funding
Data Availability Statement
Conflicts of Interest
References
- Volponi, A.J. Gas Turbine Engine Health Management: Past, Present, and Future Trends. J. Eng. Gas Turbines Power 2014, 136, 051201. [Google Scholar] [CrossRef]
- Tahan, M.; Tsoutsanis, E.; Muhammad, M.; Abdul Karim, Z.A. Performance-based health monitoring, diagnostics and prognostics for condition-based maintenance of gas turbines: A review. Appl. Energy 2017, 198, 122–144. [Google Scholar] [CrossRef]
- Rath, N.; Mishra, R.K.; Kushari, A. Aero engine health monitoring, diagnostics and prognostics for condition-based maintenance: An overview. Int. J. Turbo Jet-Engines 2024, 40, s279–s292. [Google Scholar] [CrossRef]
- Wen, Z.; Hou, J.; Atkin, J. A review of electrostatic monitoring technology: The state of the art and future research directions. Prog. Aerosp. Sci. 2017, 94, 1–11. [Google Scholar] [CrossRef]
- Yan, Y.; Hu, Y.; Wang, L.; Qian, X.; Zhang, W.; Reda, K.; Wu, J.; Zheng, G. Electrostatic sensors–Their principles and applications. Measurement 2021, 169, 108506. [Google Scholar] [CrossRef]
- Powrie, H.; Worsfold, J. Gas path debris monitoring for heavy-duty gas turbines-a pilot study. In Proceedings of the IDGTE Gas Turbine Symposium, Monterey CA, USA, 9–10 April 2001; pp. 168–179. [Google Scholar]
- Wen, Z.; Ma, X.; Zuo, H. Characteristics analysis and experiment verification of electrostatic sensor for aero-engine exhaust gas monitoring. Measurement 2014, 47, 633–644. [Google Scholar] [CrossRef]
- Powrie, H.; Novis, A. Gas path debris monitoring for F-35 Joint Strike Fighter propulsion system PHM. In Proceedings of the 2006 IEEE Aerospace Conference, Big Sky, MT, USA, 4–11 March 2006; p. 8. [Google Scholar]
- Wilcox, M.; Ransom, D.; Henry, M.; Platt, J. Engine distress detection in gas turbines with electrostatic sensors. In Proceedings of the Turbo Expo: Power for Land, Sea, and Air, Glasgow, UK, 14–18 June 2010; pp. 39–51. [Google Scholar]
- Wen, Z.; Zuo, H.; Pecht, M.G. Electrostatic Monitoring of Gas Path Debris for Aero-engines. IEEE Trans. Reliab. 2011, 60, 33–40. [Google Scholar] [CrossRef]
- Wen, Z.; Zhao, X. A hybrid de-noising method based on wavelet and median filter for aero-engines gas path electrostatic monitoring. In Proceedings of the International Conference on Graphic and Image Processing (ICGIP 2011), Cairo, Egypt, 1–2 October 2011; pp. 598–604. [Google Scholar]
- Xiu-Xiu, J.; Hong-Fu, Z.; Peng-Peng, L.; Yan, S.U. The Research of Aero-engine Exhaust Electrostatic Signal Denoising Methods. Sci. Technol. Eng. 2012, 12, 6. [Google Scholar]
- Tian, Z.; Wang, S.; Merk, D.; Wood, R.J. Condition monitoring of pitting evolution using multiple sensing. In Proceedings of the 19th International Conference on Condition Monitoring and Asset Management, Northampton, UK, 12–14 September 2023; pp. 1–12. [Google Scholar]
- Tian, Z.; Lu, P.; Grundy, J.; Harvey, T.; Powrie, H.; Wood, R. Charge pattern detection through electrostatic array sensing. Sens. Actuators A Phys. 2024, 371, 115295. [Google Scholar] [CrossRef]
- Li, S.; Yan, Y.; Wu, J.; Qian, X. Energy entropy analysis of flame signals obtained by an electrostatic sensor array based on EMD denoising method. Zhongnan Daxue Xuebao (Ziran Kexue Ban)/J. Cent. South Univ. (Sci. Technol.) 2021, 52, 285–293. [Google Scholar] [CrossRef]
- Yibing, Y.; Wen, Z. A joint method for electrostatic signal denoising based on mode functions optimized reconstruction and sparse representation. Chin. J. Sci. Instrum. 2022, 43, 196–204. [Google Scholar] [CrossRef]
- Yin, Y.-B.; Wen, Z.-H.; Zuo, H.-F. Gas-Path Fault Identification Method Based on Electrostatic Signal Variational Mode Decomposition and Random Forest. Tuijin Jishu/J. Propuls. Technol. 2023, 44, 2207017. [Google Scholar] [CrossRef]
- Zheng, X.; Yang, Y.; Hu, N.; Cheng, Z.; Cheng, J. A novel empirical reconstruction Gauss decomposition method and its application in gear fault diagnosis. Mech. Syst. Signal Process. 2024, 210, 111174. [Google Scholar] [CrossRef]
- Zhong, Z.; Zuo, H.; Jiang, H. A nonlinear total variation based denoising method for electrostatic signal of low signal-to-noise ratio. Adv. Mech. Eng. 2022, 14, 16878132221136942. [Google Scholar] [CrossRef]
- Li, Q. A comprehensive survey of sparse regularization: Fundamental, state-of-the-art methodologies and applications on fault diagnosis. Expert Syst. Appl. 2023, 229, 120517. [Google Scholar] [CrossRef]
- Torres, M.E.; Colominas, M.A.; Schlotthauer, G.; Flandrin, P. A complete ensemble empirical mode decomposition with adaptive noise. In Proceedings of the 2011 IEEE International Conference on Acoustics, Speech and Signal Processing (ICASSP), Prague, Czech Republic, 22–27 May 2011; pp. 4144–4147. [Google Scholar]
- Wang, L.; Liu, Z.; Miao, Q.; Zhang, X. Complete ensemble local mean decomposition with adaptive noise and its application to fault diagnosis for rolling bearings. Mech. Syst. Signal Process. 2018, 106, 24–39. [Google Scholar] [CrossRef]
- Wang, L.; Shao, Y. Fault feature extraction of rotating machinery using a reweighted complete ensemble empirical mode decomposition with adaptive noise and demodulation analysis. Mech. Syst. Signal Process. 2020, 138, 106545. [Google Scholar] [CrossRef]
- Zhou, H.; Yan, P.; Yuan, Y.; Wu, D.; Huang, Q. Denoising the hob vibration signal using improved complete ensemble empirical mode decomposition with adaptive noise and noise quantization strategies. ISA Trans. 2022, 131, 715–735. [Google Scholar] [CrossRef] [PubMed]
- Hu, Y.; Ouyang, Y.; Wang, Z.; Yu, H.; Liu, L. Vibration signal denoising method based on CEEMDAN and its application in brake disc unbalance detection. Mech. Syst. Signal Process. 2023, 187, 109972. [Google Scholar] [CrossRef]
- Lv, Z.; Peng, L.; Cao, Y.; Yang, L.; Li, L.; Zhou, C. Weak Fault Feature Extraction Method of Rolling Bearings Based on MVO-MOMEDA Under Strong Noise Interference. IEEE Sens. J. 2023, 23, 15732–15740. [Google Scholar] [CrossRef]
- Zheng, J.; Cao, S.; Feng, K.; Liu, Q. Zero-Phase Filter-Based Adaptive Fourier Decomposition and Its Application to Fault Diagnosis of Rolling Bearing. IEEE Trans. Instrum. Meas. 2024, 73, 1–11. [Google Scholar] [CrossRef]
- Zheng, Y.; Li, S.; Xing, K.; Zhang, X. A Novel Noise Reduction Method of UAV Magnetic Survey Data Based on CEEMDAN, Permutation Entropy, Correlation Coefficient and Wavelet Threshold Denoising. Entropy 2021, 23, 1309. [Google Scholar] [CrossRef] [PubMed]
- Chun, W.; Dong-ling, P. The Hilbert-Huang transform and its application on signal de-noising. China J. Sci. Instrum. 2004, 25, 42–45. [Google Scholar] [CrossRef]
- Sun, H.; He, Z.; Zi, Y.; Yuan, J.; Wang, X.; Chen, J.; He, S. Multiwavelet transform and its applications in mechanical fault diagnosis–A review. Mech. Syst. Signal Process. 2014, 43, 1–24. [Google Scholar] [CrossRef]
- Donoho, D.L. De-noising by soft-thresholding. IEEE Trans. Inf. Theory 1995, 41, 613–627. [Google Scholar] [CrossRef]
- Yin, Y.; Wen, Z.; Guo, X. A novel method of Gas-Path health assessment based on exhaust electrostatic signal and performance parameters. Measurement 2024, 224, 113810. [Google Scholar] [CrossRef]
- Pengpeng, L.; Hongfu, Z.; Jianzhong, S. The Electrostatic Sensor Applied to the Online Monitoring Experiments of Combustor Carbon Deposition Fault in Aero-Engine. IEEE Sens. J. 2014, 14, 686–694. [Google Scholar] [CrossRef]
- Sun, J.; Zuo, H.; Liu, P.; Wen, Z. Experimental study on engine gas-path component fault monitoring using exhaust gas electrostatic signal. Meas. Sci. Technol. 2013, 24, 125107. [Google Scholar] [CrossRef]
- Colominas, M.A.; Schlotthauer, G.; Torres, M.E.; Flandrin, P. Noise-Assisted Emd Methods in Action. Adv. Adapt. Data Anal. 2013, 4, 1250025. [Google Scholar] [CrossRef]
- Liu, Y.; Liu, Z.; Zuo, H.; Jiang, H.; Li, P.; Li, X. A DLSTM-Network-Based Approach for Mechanical Remaining Useful Life Prediction. Sensors 2022, 22, 5680. [Google Scholar] [CrossRef]
- Li, Q. New sparse regularization approach for extracting transient impulses from fault vibration signal of rotating machinery. Mech. Syst. Signal Process. 2024, 209, 111101. [Google Scholar] [CrossRef]
- Powrie, H.; McNicholas, K.; Powrie, H.; McNicholas, K. Gas path monitoring during accelerated mission testing of a demonstrator engine. In Proceedings of the 33rd Joint Propulsion Conference and Exhibit, Seattle, WA, USA, 6–9 July 1997; p. 2904. [Google Scholar]




















| No. | Methods | Year | SNRout (dB) | MSE | NCC | Auto/Manual |
|---|---|---|---|---|---|---|
| 1 | EMD-IMF1-IMF2-IMF3 [14] | 2024 | 17.134 | 0.024 | 0.990 | Auto |
| 2 | EMD + Highest Energy Values [13] | 2023 | 1.775 | 0.825 | 0.579 | Auto |
| 3 | VMD + Kurtosis + Permutation Entropy [17] | 2023 | 3.085 | 0.610 | 0.721 | Manual/The specifies the number of VMD decomposition modes |
| 4 | TVD [19] | 2022 | 10.986 | 0.099 | 0.962 | Auto |
| 5 | EMD + ACF [15] | 2021 | 15.853 | 0.032 | 0.987 | Manual/The selection of ACF |
| 6 | Proposed Method | 19.319 | 0.014 | 0.994 | Auto |
Disclaimer/Publisher’s Note: The statements, opinions and data contained in all publications are solely those of the individual author(s) and contributor(s) and not of MDPI and/or the editor(s). MDPI and/or the editor(s) disclaim responsibility for any injury to people or property resulting from any ideas, methods, instructions or products referred to in the content. |
© 2024 by the authors. Licensee MDPI, Basel, Switzerland. This article is an open access article distributed under the terms and conditions of the Creative Commons Attribution (CC BY) license (https://creativecommons.org/licenses/by/4.0/).
Share and Cite
Liu, Y.; Zuo, H.; Liu, Z.; Fu, Y.; Jia, J.J.; Dhupia, J.S. Electrostatic Signal Self-Adaptive Denoising Method Combined with CEEMDAN and Wavelet Threshold. Aerospace 2024, 11, 491. https://doi.org/10.3390/aerospace11060491
Liu Y, Zuo H, Liu Z, Fu Y, Jia JJ, Dhupia JS. Electrostatic Signal Self-Adaptive Denoising Method Combined with CEEMDAN and Wavelet Threshold. Aerospace. 2024; 11(6):491. https://doi.org/10.3390/aerospace11060491
Chicago/Turabian StyleLiu, Yan, Hongfu Zuo, Zhenzhen Liu, Yu Fu, James Jiusi Jia, and Jaspreet S. Dhupia. 2024. "Electrostatic Signal Self-Adaptive Denoising Method Combined with CEEMDAN and Wavelet Threshold" Aerospace 11, no. 6: 491. https://doi.org/10.3390/aerospace11060491
APA StyleLiu, Y., Zuo, H., Liu, Z., Fu, Y., Jia, J. J., & Dhupia, J. S. (2024). Electrostatic Signal Self-Adaptive Denoising Method Combined with CEEMDAN and Wavelet Threshold. Aerospace, 11(6), 491. https://doi.org/10.3390/aerospace11060491

