Abstract
Solar sails are propellantless propulsion systems that extract momentum from solar radiation pressure. They consist of a large ultrathin membrane, typically aluminized, that reflects incident photons from the Sun to generate thrust for space navigation. The purpose of this study is to investigate the optimal performance of a solar sail-based spacecraft in performing two-dimensional heliocentric transfers to inertial points on the ecliptic that lie within an assigned annular region centered in the Sun. Similar to ESA’s Comet Interceptor mission, this type of transfer concept could prove useful for intercepting a potential celestial body, such as a long-period comet, that is passing close to Earth’s orbit. Specifically, it is assumed that the solar sail transfer occurs entirely in the ecliptic plane and, in analogy with recent studies, the flyby points explored are between and from the Sun. The heliocentric dynamics of the solar sail is described using the classical two-body model, assuming the spacecraft starts from Earth orbit (assumed circular), and an ideal force model to express the sail thrust vector. Finally, no constraint is imposed on the arrival velocity at flyby. Numerical simulation results show that solar sails are an attractive option to realize these specific heliocentric transfers.
1. Introduction
A great scientific return could be achieved by a robotic mission in which a spacecraft would be able to make a close encounter with a small celestial object such as a newly discovered asteroid or, possibly, a long-period comet [1,2,3]. Indeed, in the latter scenario such a fascinating (and somewhat elusive) small body in the Solar System could be fully characterized in terms of morphological structure, geometric shape, and coma composition, and close images of its nucleus could be obtained.
Solar System long-period comets, that is, comets with an orbital period greater than hundreds or even thousands of years, are particularly interesting from a scientific point of view [4]. Indeed, it is well known how repeated passages of a comet near the Sun can alter the surface of its nucleus (or even destroy the comet [5]), as was demonstrated in the case of comet 67P/Churyumov–Gerasimenko [6]. Long-period comets, on the other hand, are not contaminated by these natural effects because they have ideally never previously entered the inner region of the Solar System and, therefore, are likely to retain internally unaltered information about the formation and evolution of our planetary system [7]. This is a peculiarity important because some cosmological issues are still not completely clear and require further investigation and experimental measurements [8,9]. For example, what is the origin and evolution of planetesimals and the environment of the early Solar System? Is there any connection between comets and the appearance of life on Earth? In this context, ESA’s Comet Interceptor [10] is a mission to a long-period comet designed to answer these fundamental questions. In particular, the Comet Interceptor was proposed to the European Space Agency in 2018 [11], adopted in 2022, and is currently under development [12], with the launch scheduled for 2029 [10].
ESA’s Comet Interceptor mission comprises a mother spacecraft containing two smaller scientific probes, which are scheduled to be released shortly before the flyby with the comet to obtain a three-dimensional observation of the small celestial object and enable multi-point measurements of the comet [13,14]. The mother spacecraft is launched towards a near halo orbit around the Sun–Earth point, and there it remains parked, with minor maintenance manoeuvres, awaiting the discovery of a new celestial small body to intercept, for a total duration of between a few months and four years [10]. The main spacecraft is equipped with a chemical propulsion system designed to provide a minimum transfer capability of [10]. To avoid costly manoeuvres (in terms of velocity change) outside the initial orbital plane, the long-period comet must be intercepted at one of the two nodal points of intersection of its orbit with the ecliptic plane. The point at which a flyby with the long-period comet occurs can thus be uniquely identified by two parameters, that is, its distance, , from the Sun and the offset angle, , from the Sun–object to the Sun–Earth line (positive in the direction of Earth’s inertial velocity vector). Once the target body is identified, the transfer start date is chosen and the spacecraft’s heliocentric trajectory is selected to ensure that the small celestial body is reached with the prescribed total (transfer) velocity change.
Since the inertial position of the flyby point is not known a priori, that is, it is not known during the mission development phase because at that stage the small celestial object to be intercepted has not yet been identified or discovered, the feasibility of the scientific mission relies on the careful study of a sort of reachability zone. The latter is defined by the pairs that the interplanetary spacecraft can reach with the prescribed (maximum) value of velocity change in an assigned (maximum) value of flight time, i.e., within an assigned (maximum) time interval. The results of the study of ESA’s Comet Interceptor mission showed that the reachable zone by a direct transfer is essentially confined to the case where and (i.e., the small celestial target is behind Earth at the encounter point), while in order to reach an encounter point with (i.e., ahead of Earth) it is necessary to exploit a trajectory that includes one (or multiple) Moon gravity-assist maneuver [10]. In this sense, each point in the reachability zone (i.e., the generic pair ) is characterized by a value of the flight time and the required velocity change.
Mission Scenario Studied in This Work
The concept behind the present work is to study the problem of intercepting a small celestial object, such as a long-period comet with a suitable heliocentric trajectory, using a (photonic) solar sail propulsion system, so as to increase launch flexibility by avoiding having to start from a halo orbit as in the case of ESA’s Comet Interceptor mission. As is well known, photonic solar sails are propellantless propulsion systems that extract momentum from solar radiation pressure and consist of a large, ultrathin, usually aluminized membrane that reflects incident photons from the Sun in order to generate thrust for space navigation [15]. In this context, the useful reviews [16,17] introduce the interested reader to the solar sail concept, while the reviews by Spencer et al. [18] and Zhao et al. [19] discuss in detail the technological challenges in designing this fascinating propellantless propulsion system.
In this paper, the mission scenario mimics the framework used to define the performance characteristics of ESA’s Comet Interceptor [10,20]. Specifically, it is assumed that the solar sail-based spacecraft transfer occurs entirely in the ecliptic plane and that the flyby point coincides with one of the two nodes of the heliocentric orbit of a potential small celestial target yet to be discovered. For comparative purposes with the study conducted in the reference paper by Sánchez et al. [21], the flyby points considered in this work are between and from the Sun. In fact, the latter is a solar distance range within which, for example, a total of 30 new long-period comets were observed in the decade 2010–2019 [21]. In addition, in order to ensure a direct link with the Earth during the encounter with the small celestial body, the offset angle, , was limited in the range , as described in Refs. [20,21]. A conceptual scheme of the reachable zone, i.e., the annular region in which the flyby with the celestial object occurs, is shown in Figure 1 as a green region. The Earth in Figure 1 indicates the position of the planet at the instant of the spacecraft flyby with the target celestial body, while the yellow region represents the zone where the constraint on the maximum value of the offset angle is violated.
Figure 1.
Scheme of the reachable zone and geometric constraints on the radial distance and offset angle value.
Within this partial annular region (because the offset angle, , has a limited range), a fine mesh is created and an optimal transfer problem is numerically solved for each point (i.e., for each value of the solar distance and offset angle at the flyby time instant) using classical indirect methods [22,23]. In particular, the solution of the optimization problem provides the minimum propulsive performance of the solar sail system required to reach the assigned flyby point (which belongs to the green reachable zone in Figure 1) with an assigned value of the flight time. In this respect, the performance of the solar sail is quantified through its characteristic acceleration, which is the typical sail performance parameter and coincides with the maximum propulsive acceleration induced by the propellantless propulsion system at a reference distance of from the Sun [15,24]. Although the literature on solar sails is quite extensive, this specific problem had never been previously studied and is therefore to be considered as new.
During the heliocentric optimal transfer, the dynamics of the solar sail-based spacecraft is described using a classical two-body model in which the Sun is the attractor. The interplanetary trajectory starts from Earth’s orbit, which is assumed circular to simplify numerical analysis. The sail optimal control law is determined by enforcing the final position of the spacecraft (which coincides with one of the grid points at which the reachable annular region of Figure 1 was discretized), so that the minimum value of the sail characteristic acceleration, required for the spacecraft to arrive at that point in a fixed time interval, is calculated numerically without constraints on the spacecraft velocity at the flyby point. Since the characteristic acceleration is a direct measure of the level of technology that must be achieved to accomplish the assigned mission, a complete set of simulations provides a sort of map that defines the actual feasibility of interplanetary transfer using a solar sail-based propulsion system.
2. Mathematical Model of the Solar Sail-Based Transfer
Consider the heliocentric motion of a solar sail-based spacecraft that at the initial time leaves the Earth’s sphere of influence with a zero hyperbolic excess velocity with respect to the starting planet. This simplified scenario models the (conservative) case in which the Earth’s escape phase is completed using a Keplerian parabolic trajectory. In this case, neglecting the eccentricity of the Earth’s heliocentric orbit, at the initial time (which coincides with the instant when the solar sail is deployed) the spacecraft travels along a circular ecliptic orbit of radius , and its initial position coincides with that of the Earth at the beginning of the flyby mission to the small celestial body.
Assuming a two-dimensional scenario in which the spacecraft moves along the Ecliptic, during its flight the position of the vehicle is described by two parameters, i.e., the solar distance, r, and the angular coordinate, , defined as the angle between the Sun–spacecraft line at the generic time t and the Sun–Earth line at time ; see the scheme of Figure 2 in which is the Earth’s angular velocity and is the instant of time at the encounter with the small celestial target. Accordingly, the value of the spacecraft polar angle, , at is, by construction, .
Figure 2.
Conceptual sketch of the transfer mission with definitions of the angular positions of the objects involved in the problem.
From the time instant onward, the spacecraft must make a heliocentric transfer to a point on the ecliptic plane where the encounter with the target object occurs. Such a point is described by the final solar distance, , and the offset angle, , which in this case can be written in a more convenient form as
where is the spacecraft polar angle at the end of the transfer (which is a result of the optimization process briefly described later in this section), i.e., the spacecraft angular position at the flyby point, while is the angle swept out by the Earth during the flight time along its circular orbit. Recall that is positive or negative depending on whether the spacecraft precedes or follows the Earth at the flyby point, while the value of the pair is selected in order to obtain a point within the reachable annular region of Figure 1.
To explore performance of the sail in each part of the reachable zone (excluding, of course, the limiting case where and ), the annular region was discretized into approximately 670 points, indicated by black dots in Figure 3. Each grid point is away in the radial direction and away in the angular direction from the adjacent point. The blue circle in the figure indicates the position of the Earth at the end of the transfer, so is a rotating (synodic) reference frame used to describe the spacecraft dynamics in the classical restricted three-body problem [25].
Figure 3.
Discretization of the reachable zone through a grid of approximately 670 points (black dots). The position of the Earth at the flyby time instant is represented by a blue circle, while the orange circle indicates the Sun. The boundary of the reachable zone is indicated by a solid red line.
Since the point of encounter with the celestial body is, by assumption, located in the plane of the ecliptic, the heliocentric dynamics of the solar sail is conveniently described within a polar reference frame of , whose origin, O, coincides with the Sun’s center of mass. Assuming that the spacecraft is subject only to the Sun’s gravitational attraction and propulsive acceleration, , induced by the solar radiation pressure, the set of nonlinear differential equations of motion is
where and represent the radial and circumferential components of spacecraft velocity, respectively, is the Sun’s gravitational parameter, and (or ) is the radial (or transverse) component of the solar sail-induced propulsive acceleration vector, . A flat solar sail and an ideal force model [15,24] without degradation of the reflective film [26,27,28] is used to describe the thrust vector. Although more refined force models are available in the literature [29,30,31], which even account for the structural response of the spacecraft during the attitude maneuvers [32,33], considering a flat and perfectly reflecting sail allows us to reduce the number of design parameters (the optical characteristics of the sail film are, in fact, assigned) in a complex problem such as the one discussed in this paper. Accordingly, the expressions of the two components of the propulsive acceleration vector are
where is the characteristic acceleration (i.e., the scalar performance parameter to be minimized) and is sail pitch angle, defined as the angle between the normal to the nominal plane of the sail (in the direction opposite to the Sun) and the Sun–spacecraft line. Note that the value of is fixed during flight (i.e., the characteristic acceleration is an output of the optimization process but, during transfer, is a constant of motion), while the sail pitch angle, , is the only control variable whose value changes during transfer following the procedure discussed by Sauer [34,35].
The system of nonlinear differential Equation (2) is numerically integrated with the initial conditions that model the take-off from a circular heliocentric orbit of assigned radius, that is
For each of the points at which the grid of the admissible region was discretized, see the black dots in Figure 3, and for an assigned flight time, , the optimal control law for the sail pitch angle, [34], to transfer the solar sail spacecraft to the assigned grid point (characterized by a pair ) is used to minimize the value of the characteristic acceleration, . Equivalently, this corresponds to enforce the following scalar constraints on the final state of the spacecraft:
where the value of and are considered assigned, because they are related to the selected (grid) point; see also Figure 3. Moreover, the final values of the velocity components, i.e., the values of and , are left free so that they are two outputs of the optimization process.
The problem under consideration, that is, the calculation of the optimal control law (or, equivalently, the optimal transfer trajectory) that satisfies the final conditions of Equation (5) and minimizes the value of , is solved using an indirect approach based on the calculus of variations [36,37]. The mathematical model requiring the definition of the Hamiltonian function and the (numerical) integration of the Euler–Lagrange equations is similar to the model discussed by the authors in the recent paper [38], and is not reported here for the sake of conciseness. However, it is interesting to mention that the optimal sail pitch angle is determined, according to Sauer [35], using Pontryagin’s maximum principle [39], while the boundary value problem associated with the optimization process is solved numerically by adapting the procedure described in [40]. Finally, the differential equations are numerically integrated using an Adams–Bashforth predictor method with a relative tolerance of , while the associated boundary value problem is solved with a tolerance of . A conceptual flowchart of the implemented numerical algorithm is shown in Figure 4.
Figure 4.
Flowchart of the implemented algorithm to obtain the minimum value of the solar sail characteristic acceleration required to complete the flyby mission with the assigned flight time.
A total of about 670 trajectory optimization problems were solved using the conceptual scheme of Figure 4, as many as the number of grid points shown in Figure 3. In particular, for each of them the corresponding optimal control law was generated and the related optimal transfer trajectory was numerically simulated. The results of this analysis are described in the next section.
3. Numerical Simulations Results
In this section, we discuss the results of numerical simulations of the optimal solar sail nodal flyby mission described in the previous section. In this respect, the reachable zone and the mesh grid indicated in Figure 3 have been considered, while the flight time of has been assumed as a reference value to obtain the numerical results. Note that, as a result of the time interval chosen for the flight, at the end of the transfer the Earth will be at exactly the same point of departure, so that the angle swept by the planet during the spacecraft transfer is just . Accordingly, Equation (5) gives the final value of the spacecraft polar angle, , as a function of the offset angle, , viz:
In this specific case of , Figure 5 shows the results of the optimization process in terms of the minimum value of the sail characteristic acceleration, , as a function of a generic (target) point within the reachable annular region defined in Figure 3. In particular, Figure 5 shows the function in terms of a filled two-dimensional contour plot (see Figure 5a) in the synodic plane and a three-dimensional surface plot (see Figure 5b).

Figure 5.
Minimum values of the characteristic acceleration, , as a function of the target point inside the reachable region (i.e., as a function of and ), when the flight time is . (a) Filled two-dimensional contour plot; (b) Three-dimensional surface plot.
Figure 5 shows that all points in the annular region can be reached with a characteristic acceleration of less than and a flight time of 1 year. More specifically, target points with greater angular separation from Earth’s position are those that require higher characteristic accelerations to reach, the flight time being fixed. As expected, the regions of the annular zone that are reached with a higher value of the characteristic acceleration are those that follow the Earth (with offset angles in the order of ) and closer to the Sun (i.e., with a solar distance, , of approximately ). Areas surrounding the Earth with an offset angle, , of a few degrees, on the other hand, require modest characteristic accelerations with the limiting case of when and . Note that the optimal values of are not symmetrically distributed with respect to . In fact, the darker green region is more elongated on the negative side of ; see Figure 5a. This aspect is more evident in Figure 6, which illustrates the results of the numerical simulations in terms of contour lines. That figure can be conveniently used to determine in what range of values of a solar sail spacecraft must be designed to reach a certain point in the arrival region within .
Figure 6.
Level curves showing the minimum values of (measured in ) to reach the region of arrival points when . The boundary of the reachable zone is drawn with a solid red line. The Earth at the flyby time instant is represented by a blue circle, while the orange circle indicates the Sun.
For sufficiently small values of (thus in the zones that are close to the Earth at the end of the transfer), the contour lines are closed and do not intersect the boundaries of the admissible region. This means that, as expected, a low-performance solar sail is able (within the assigned flight time) to reach a small, narrow area surrounding the starting planet.
The optimal transfer trajectory is an output of the optimization process and, in this respect, Figure 7 and Figure 8 show, as a function of the offset angle, , the optimal transfer trajectories when and , respectively. Note that the two values of considered in Figure 7 and Figure 8 correspond to the radial boundary of the reachable annular region.
Figure 7.
Optimal transfer trajectories when and as a function of the offset angle . Blue circle → start point; red star → flyby point; black line → optimal transfer trajectory; blue dash line → circular parking orbit; red dash line → final solar distance; orange circle → the Sun.
Figure 8.
Optimal transfer trajectories when and as a function of the offset angle . Blue circle → start point; red star → flyby point; black line → optimal transfer trajectory; blue dash line → circular parking orbit; red dash line → final solar distance; orange circle → the Sun.
According to Figure 7 and Figure 8, when the flyby with the celestial body occurs far back from the Earth (i.e., when the offset angle and is of large modulus) the spacecraft must slow down before reaching the endpoint, and this is done with a trajectory that initially moves away from the Sun and then decreases in solar distance. On the other hand, when the flyby occurs far ahead of the Earth (i.e., when and is of large modulus) the spacecraft must accelerate and so must initially move closer to the Sun to take advantage of the increased solar radiation pressure value, and then increase the distance at a later time to reach the point at the desired (final) distance.
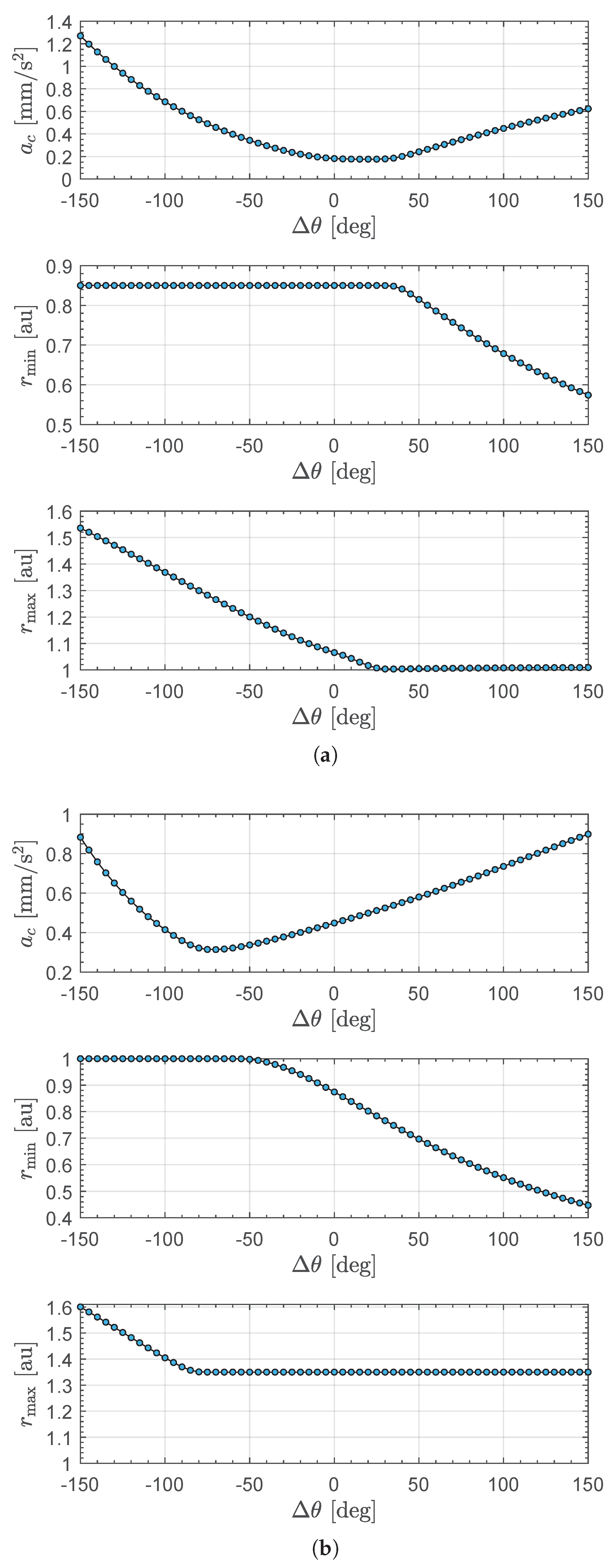
Figure 9 and Figure 10 illustrate in greater detail the numerical results obtained along the boundary of the annular region. In particular, Figure 9a shows the optimal values of and the minimum/maximum orbital radii (i.e., and , respectively) during the transfer of as a function of when .
Figure 9.
Variations of as a function of when and . (a) Case of a final solar distance equal to ; (b) Case of a final solar distance equal to .
Figure 10.
Variations of as a function of when and . (a) Case of an offset angle equal to ; (b) Case of an offset angle equal to .
For example, the flyby distance of is achievable using solar sails of medium performance, starting from approximately (case of an offset angle equal to ). On the other hand, using a solar sail with a characteristic acceleration of , which is a value consistent with that planned for the proposed Solar Polar Orbiter mission [18,41], the flyby is possible over a rather wide range of angular displacements, i.e., with an offset angle in the range of . The situation is quite different in the case where the flyby target point is on the outer boundary of the annular region. Indeed, Figure 9b shows what happens in the case of a flyby point placed at a distance from the Sun. In this case, the minimum value of needed is approximately (case of an offset angle equal to ), but more importantly we see that with a characteristic acceleration of nearly one can almost exclusively reach zones with , while zones with and sufficiently high (say ) require a value of the characteristic acceleration of at least .
Finally, Figure 10a,b show the variations of as a function of when and . In these cases, if and if when , while if and if when . In both cases, the annular region areas are difficult to reach and require solar sails with a medium-high performance.
4. Conclusions
This paper illustrated a methodology to analyze the capabilities of a solar sail-based spacecraft to intercept a small celestial object at the point where it crosses the plane of the ecliptic in order to make a close observation of the object and to be able to characterize it from a morphological point of view.
The analysis was conducted systematically by choosing as feasible meeting points those that bound an annular region centered on the Sun and containing the Earth. The complexity of the mission can be quantified simply and objectively by solving an optimal problem that consists of determining the minimum value of characteristic acceleration needed for the solar sail to reach the set point within the feasible region in a fixed time interval. Using a feasible region equivalent to that used in the ESA’s Comet Interceptor mission study, it has been shown that all points in the annular region are reachable with solar sails having a level of technology compatible with that achievable in the medium term. However, the most interesting aspect is that, with solar sails of current technology, it is possible to reach areas around the Earth that are larger than those reachable with chemical or electric thrusters and without the need for gravity-assist maneuvers with the Moon.
An interesting completion of this study, left to future research, is to analyze the effect of the eccentricity of Earth’s heliocentric orbit on the points on the ecliptic reachable by a solar sail-based spacecraft. In that context, the impact of the thermo-optical characteristics of the sail reflective film can be evaluated by using a more refined force model with respect to the ideal one employed in this work.
Author Contributions
Conceptualization, G.M.; methodology, A.A.Q.; software, A.A.Q.; writing—original draft preparation, G.M., M.B. and A.A.Q.; writing—review and editing, G.M., M.B. and A.A.Q. All authors have read and agreed to the published version of the manuscript.
Funding
This research received no external funding.
Institutional Review Board Statement
Not applicable.
Informed Consent Statement
Not applicable.
Data Availability Statement
Data are contained within the article.
Conflicts of Interest
The authors declare no conflicts of interest.
References
- Sun, S.; Shi, J.; Ma, Y.; Zhao, H. Distant activity of long-period comets C/2019 L3 (ATLAS) and C/2020 P3 (ATLAS). Mon. Not. R. Astron. Soc. 2024, 529, 1617–1625. [Google Scholar] [CrossRef]
- Shubina, O.; Ivanova, O.; Petrov, D.; Luk’yanyk, I.; Rosenbush, V.; Kiselev, N. Pre-perihelion observations of long-period comet C/2013 X1 (PANSTARRS). Mon. Not. R. Astron. Soc. 2024, 528, 7027–7036. [Google Scholar] [CrossRef]
- Ejeta, C.; Gibb, E.; Roth, N.; DiSanti, M.A.; Russo, N.D.; Saki, M.; McKay, A.J.; Kawakita, H.; Khan, Y.; Bonev, B.P.; et al. Coma Abundances of Volatiles at Small Heliocentric Distances: Compositional Measurements of Long-period Comet C/2020 S3 (Erasmus). Astron. J. 2023, 167, 32. [Google Scholar] [CrossRef]
- Weissman, P.R. Long-period Comets and the Oort Cloud. Ann. N. Y. Acad. Sci. 1997, 822, 67–95. [Google Scholar] [CrossRef]
- Jewitt, D.; Kim, Y.; Mattiazzo, M.; Mutchler, M.; Li, J.; Agarwal, J. Disintegration of Long-period Comet C/2021 A1 (Leonard). Astron. J. 2023, 165, 122. [Google Scholar] [CrossRef]
- Keller, H.U.; Mottola, S.; Hviid, S.F.; Agarwal, J.; Kührt, E.; Skorov, Y.; Otto, K.; Vincent, J.B.; Oklay, N.; Schröder, S.E.; et al. Seasonal mass transfer on the nucleus of comet 67P/Chuyumov–Gerasimenko. Mon. Not. R. Astron. Soc. 2017, 469, S357–S371. [Google Scholar] [CrossRef]
- Vokrouhlický, D.; Nesvorný, D.; Dones, L. Origin and Evolution of Long-period Comets. Astron. J. 2019, 157, 181. [Google Scholar] [CrossRef]
- Fouchard, M.; Higuchi, A.; Ito, T. What long-period comets tell us about the Oort Cloud. Astron. Astrophys. 2023, 676, A104. [Google Scholar] [CrossRef]
- Fouchard, M.; Emel’yanenko, V.; Higuchi, A. Long-period comets as a tracer of the Oort cloud structure. Celest. Mech. Dyn. Astron. 2020, 132, 43. [Google Scholar] [CrossRef]
- Jones, G.H.; Snodgrass, C.; Tubiana, C.; Küppers, M.; Kawakita, H.; Lara, L.M.; Agarwal, J.; André, N.; Attree, N.; Auster, U.; et al. The Comet Interceptor Mission. Space Sci. Rev. 2024, 220, 9. [Google Scholar] [CrossRef]
- Snodgrass, C.; Jones, G.H. The European Space Agency’s Comet Interceptor lies in wait. Nat. Commun. 2019, 10, 5418. [Google Scholar] [CrossRef] [PubMed]
- Rebelo, M.; Sánchez, J.P. Optimizing launch window opportunities for ESA’s comet Interceptor mission using primer vector theory. Acta Astronaut. 2024, 219, 340–352. [Google Scholar] [CrossRef]
- De Keyser, J.; Edberg, N.J.; Henri, P.; Auster, H.U.; Gal, M.; Rubin, M.; Nilsson, H.; Soucek, J.; André, N.; Della Corte, V.; et al. In situ plasma and neutral gas observation time windows during a comet flyby: Application to the Comet Interceptor mission. Planet. Space Sci. 2024, 244, 105878. [Google Scholar] [CrossRef]
- Edberg, N.J.T.; Eriksson, A.; Vigren, E.; Nilsson, H.; Gunell, H.; Götz, C.; Richter, I.; Henri, P.; De Keyser, J. Scale size of cometary bow shocks. Astron. Astrophys. 2024, 682, A51. [Google Scholar] [CrossRef]
- McInnes, C.R. Solar Sailing: Technology, Dynamics and Mission Applications; Springer-Praxis Series in Space Science and Technology; Springer: Berlin, Germany, 1999; Chapter 1; pp. 1–31. [Google Scholar] [CrossRef]
- Fu, B.; Sperber, E.; Eke, F. Solar sail technology—A state of the art review. Prog. Aerosp. Sci. 2016, 86, 1–19. [Google Scholar] [CrossRef]
- Gong, S.; Macdonald, M. Review on solar sail technology. Astrodynamics 2019, 3, 93–125. [Google Scholar] [CrossRef]
- Spencer, D.A.; Johnson, L.; Long, A.C. Solar sailing technology challenges. Aerosp. Sci. Technol. 2019, 93, 105276. [Google Scholar] [CrossRef]
- Zhao, P.; Wu, C.; Li, Y. Design and application of solar sailing: A review on key technologies. Chin. J. Aeronaut. 2023, 36, 125–144. [Google Scholar] [CrossRef]
- Costa, H.R.; da Silva Pais Cabral, F.; Villa, V.M.M.; Gil, P.J.S. The Comet Interceptor Mission–Making a case for Solar Electric Propulsion. Acta Astronaut. 2023, 210, 237–242. [Google Scholar] [CrossRef]
- Sánchez, J.P.; Morante, D.; Hermosin, P.; Ranuschio, D.; Estalella, A.; Viera, D.; Centuori, S.; Jones, G.; Snodgrass, C.; Levasseur-Regourd, A.C.; et al. ESA F-Class Comet Interceptor: Trajectory design to intercept a yet-to-be-discovered comet. Acta Astronaut. 2021, 188, 265–277. [Google Scholar] [CrossRef]
- Betts, J.T. Survey of Numerical Methods for Trajectory Optimization. J. Guid. Control Dyn. 1998, 21, 193–207. [Google Scholar] [CrossRef]
- Prussing, J.E. Optimal Spacecraft Trajectories; Oxford University Press: Oxford, UK, 2018; Chapter 4; pp. 32–40. [Google Scholar]
- Wright, J.L. Space Sailing; Gordon and Breach Science: Langhorne, PA, USA, 1992; pp. 223–226. [Google Scholar]
- Szebehely, V. Theory of Orbits: The Restricted Problem of Three Bodies; Academic Press: New York, NY, USA, 1967; Chapters 4,5; pp. 126–318. ISBN 0-126-80650-0. [Google Scholar]
- Dachwald, B.; Macdonald, M.; McInnes, C.R.; Mengali, G.; Quarta, A.A. Impact of optical degradation on solar sail mission performance. J. Spacecr. Rocket. 2007, 44, 740–749. [Google Scholar] [CrossRef]
- Sznajder, M.; Geppert, U.; Dudek, M.R. Degradation of metallic surfaces under space conditions, with particular emphasis on Hydrogen recombination processes. Adv. Space Res. 2015, 56, 71–84. [Google Scholar] [CrossRef][Green Version]
- Bassetto, M.; Quarta, A.A.; Mengali, G.; Cipolla, V. Trajectory analysis of a Sun-facing solar sail with optical degradation. J. Guid. Control Dyn. 2020, 43, 1727–1732. [Google Scholar] [CrossRef]
- Dachwald, B.; Mengali, G.; Quarta, A.A.; Macdonald, M. Parametric model and optimal control of solar sails with optical degradation. J. Guid. Control Dyn. 2006, 29, 1170–1178. [Google Scholar] [CrossRef]
- Mengali, G.; Quarta, A.A.; Circi, C.; Dachwald, B. Refined solar sail force model with mission application. J. Guid. Control Dyn. 2007, 30, 512–520. [Google Scholar] [CrossRef]
- McInnes, C.R. Approximate closed-form solution for solar sail spiral trajectories with sail degradation. J. Guid. Control Dyn. 2014, 37, 2053–2057. [Google Scholar] [CrossRef]
- Boni, L.; Bassetto, M.; Niccolai, L.; Mengali, G.; Quarta, A.A.; Circi, C.; Pellegrini, R.C.; Cavallini, E. Structural response of Helianthus solar sail during attitude maneuvers. Aerosp. Sci. Technol. 2023, 133, 108152. [Google Scholar] [CrossRef]
- Boni, L.; Bassetto, M.; Quarta, A.A. Characterization of a solar sail membrane for Abaqus-Based Simulations. Aerospace 2024, 11, 151. [Google Scholar] [CrossRef]
- Sauer, C.G., Jr. Optimum Solar-Sail Interplanetary Trajectories. In Proceedings of the AIAA/AAS Astrodynamics Conference, San Diego, CA, USA, 18–20 August 1976. [Google Scholar] [CrossRef]
- Sauer, C.G., Jr. Solar Sail Trajectories for Solar Polar and Interstellar Probe Missions. In Proceedings of the AAS/AIAA Astrodynamics Specialist Conference, Girdwood, AK, USA, 15–19 August 1999. [Google Scholar]
- Bryson, A.E.; Ho, Y.C. Applied Optimal Control; Hemisphere Publishing Corporation: New York, NY, USA, 1975; Chapter 2; pp. 71–89. ISBN 0-891-16228-3. [Google Scholar]
- Stengel, R.F. Optimal Control and Estimation; Dover Books on Mathematics; Dover Publications, Inc.: New York, NY, USA, 1994; pp. 222–254. [Google Scholar]
- Quarta, A.A.; Abu Salem, K.; Palaia, G. Solar sail transfer trajectory design for comet 29P/Schwassmann-Wachmann 1 rendezvous. Appl. Sci. 2023, 13, 9590. [Google Scholar] [CrossRef]
- Ross, I.M. A Primer on Pontryagin’s Principle in Optimal Control; Collegiate Publishers: Claremont, CA, USA, 2015; Chapter 2; pp. 127–129. ISBN 9780984357116. [Google Scholar]
- Quarta, A.A. Fast initialization of the indirect optimization problem in the solar sail circle-to-circle orbit transfer. Aerosp. Sci. Technol. 2024, 147, 109058. [Google Scholar] [CrossRef]
- Macdonald, M.; Hughes, G.W.; McInnes, C.R.; Lyngvi, A.; Falkner, P.; Atzei, A. Solar Polar Orbiter: A Solar Sail Technology Reference Study. J. Spacecr. Rocket. 2006, 43, 960–972. [Google Scholar] [CrossRef]
Disclaimer/Publisher’s Note: The statements, opinions and data contained in all publications are solely those of the individual author(s) and contributor(s) and not of MDPI and/or the editor(s). MDPI and/or the editor(s) disclaim responsibility for any injury to people or property resulting from any ideas, methods, instructions or products referred to in the content. |
© 2024 by the authors. Licensee MDPI, Basel, Switzerland. This article is an open access article distributed under the terms and conditions of the Creative Commons Attribution (CC BY) license (https://creativecommons.org/licenses/by/4.0/).










