Analysis of Visual and Vestibular Information on Motion Sickness in Flight Simulation
Abstract
1. Introduction
Effect of Sensory Interface on Motion Sickness
2. Design of Motion Platform
2.1. Communication Module
2.2. Mechanical Design
2.3. Electrical Design and Mathematical Modeling
3. Motion Sickness in Virtual Flight Simulation
3.1. Simulator Sickness Questionnaire
3.2. Apparatus
3.3. Participants
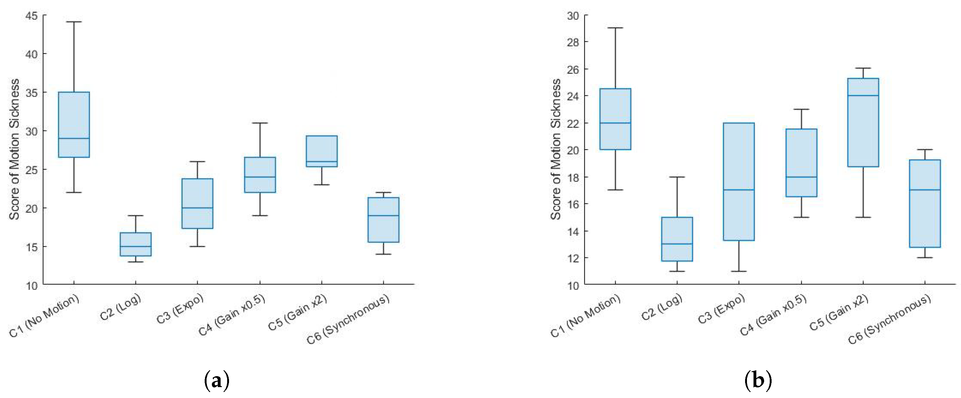
3.4. Experimental Conditions
- C1 (No Motion): No-motion condition; only visual cues are simulated with no reference motion signals.
- C2 (Log): Logarithmic condition, in which a tenfold increase in physical motion is observed against visual input.
- C3 (Exp): Exponential condition; an exponential increase in physical motion against visual input is observed.
- C4 (Gain ×0.5): Scaled-down condition, in which visual inputs are rendered to the motion simulator with a gain of 0.5.
- C5 (Gain ×2): Scaled-up condition, in which visual inputs are rendered to the motion simulator with a gain of 2.
- C6 (Synchronous): Synchronous condition; motion cues are perfectly synchronized with visual cues.
3.5. Analysis Tools
4. Results and Discussion
4.1. Main Effect of Motion across Pitch and Roll Profiles
4.2. Effect on Motion Sickness across Different Ratios of Visual–Vestibular Conditions
4.3. Impact on SSQ Sub-Scores under Different Ratios of Visual–Vestibular Cues
- M1: Score of nausea during pitch mission profile for all six ratios of visual–vestibular cues.
- M2: Score of oculomotor during pitch mission profile for all six ratios of visual–vestibular cues.
- M3: Score of disorientation during pitch mission profile for all six ratios of visual–vestibular cues.
- M4: Score of nausea during roll mission profile for all six ratios of visual–vestibular cues.
- M5: Score of oculomotor during roll mission profile for all six ratios of visual–vestibular cues.
- M6: Score of disorientation during roll mission profile for all six ratios of visual–vestibular cues.
4.4. Incidental Findings
5. Conclusions
Author Contributions
Funding
Informed Consent Statement
Data Availability Statement
Acknowledgments
Conflicts of Interest
Nomenclature
| Latin Symbols | |
| Back EMF induced in the Motor (V) | |
| Armature Resistance of the Motor () | |
| Armature Inductance of the Motor (H) | |
| Back EMF Constant of the Motor (V) | |
| Torque Load of the Motor () | |
| Internal Gear Reduction Constant | |
| Proportionality Constant | |
| Integration Constant | |
| Differential Constant | |
| Greek Symbols | |
| Equivalent Pitch Torque () | |
| Equivalent Roll Torque () | |
| Angular velocity of the Motor (rev/min) | |
| Significance Level | |
| Subscripts | |
| Equivalent Pitch Force Required (N) | |
| Equivalent Roll Force Required (N) | |
| J | Inertia of the Motor (kg·m2) |
| Equivalent Inertia of the Motion Platform (kg·m2) | |
| Abbreviations | |
| DoF | Degree of Freedom |
| VR | Virtual Reality |
| SSQ | Simulator Sickness Questionnaire |
| GPU | Graphics Processing Unit |
| HMD | Head-Mounted Display |
| UDP | User Datagram Protocol |
| CNS | Central Nervous System |
| ANOVA | Analysis of Variance |
References
- Sherman, B.; Durlach, N.I.; Mavor, A.S. (Eds.) Virtual Reality: Scientific and Technological Challenges; National Academy Press: Washington, DC, USA, 1995; 542p, ISBN 0 309 05135 5 (hbk). [Google Scholar] [CrossRef]
- Keshavarz, B.; Hecht, H.; Zschutschke, L. Intra-visual conflict in visually induced motion sickness. Displays 2011, 32, 181–188. [Google Scholar] [CrossRef]
- Kennedy, R.; Berbaum, K.; Lilienthal, M.; Dunlap, W.; Mulligan, B. Guidelines for Alleviation of Simulator Sickness Symptomatology; Technical Report; Naval Training Systems Center: Orlando, FL, USA, 1987. [Google Scholar]
- Bos, J.E.; Bles, W.; Groen, E.L. A theory on visually induced motion sickness. Displays 2008, 29, 47–57. [Google Scholar] [CrossRef]
- Burdea, G.C.; Coiffet, P. Virtual Reality Technology; John Wiley & Sons: Hoboken, NJ, USA, 2003. [Google Scholar]
- Hill, K.J.; Howarth, P.A. Habituation to the side effects of immersion in a virtual environment. Displays 2000, 21, 25–30. [Google Scholar] [CrossRef]
- Keshavarz, B.; Riecke, B.E.; Hettinger, L.J.; Campos, J.L. Vection and visually induced motion sickness: How are they related? Front. Psychol. 2015, 6, 472. [Google Scholar] [CrossRef]
- Rebenitsch, L.; Owen, C. Review on cybersickness in applications and visual displays. Virtual Real. 2016, 20, 101–125. [Google Scholar] [CrossRef]
- Kurniawan, C.; Rosmansyah, Y.; Dabarsyah, B. A systematic literature review on virtual reality for learning. In Proceedings of the 2019 IEEE 5th International Conference on Wireless and Telematics (ICWT), Yogyakarta, Indonesia, 25–26 July 2019; pp. 1–4. [Google Scholar]
- Zaghloul, H. An Exploratory Study on The Use of 3d Hologram Visualization in Egypt’s Educational Theater. Educ. Inf. Technol. 2020, 14, 32–44. [Google Scholar] [CrossRef]
- Golding, J.F. Motion sickness. Handb. Clin. Neurol. 2016, 137, 371–390. [Google Scholar]
- Aykent, B.; Merienne, F.; Guillet, C.; Paillot, D.; Kemeny, A. Motion sickness evaluation and comparison for a static driving simulator and a dynamic driving simulator. Proc. Inst. Mech. Eng. Part J. Automob. Eng. 2014, 228, 818–829. [Google Scholar] [CrossRef]
- Keshavarz, B.; Ramkhalawansingh, R.; Haycock, B.; Shahab, S.; Campos, J. Comparing simulator sickness in younger and older adults during simulated driving under different multisensory conditions. Transp. Res. Part Traffic Psychol. Behav. 2018, 54, 47–62. [Google Scholar] [CrossRef]
- Casas, S.; Portalés, C.; Fernández, M. To move or not to move?: The challenge of including believable self-motion cues in virtual reality applications–understanding motion cueing generation in virtual reality. In Cases on Immersive Virtual Reality Techniques; IGI Global: Hershey, PA, USA, 2019; pp. 124–144. [Google Scholar]
- Dziuda, L.; Biernacki, M.; Baran, P.; Truszczyński, O. The effects of simulated fog and motion on simulator sickness in a driving simulator and the duration of after-effects. Appl. Ergon. 2014, 45, 406–412. [Google Scholar] [CrossRef]
- Dongsu, W.; Hongbin, G. Adaptive sliding control of six-DOF flight simulator motion platform. Chin. J. Aeronaut. 2007, 20, 425–433. [Google Scholar] [CrossRef][Green Version]
- Ng, A.K.; Chan, L.K.; Lau, H.Y. A study of cybersickness and sensory conflict theory using a motion-coupled virtual reality system. Displays 2020, 61, 101922. [Google Scholar] [CrossRef]
- Herpers, R.; Heiden, W.; Kutz, M.; Scherfgen, D.; Hartmann, U.; Bongartz, J.; Schulzyk, O. FIVIS bicycle simulator: An immersive game platform for physical activities. In Proceedings of the 2008 Conference on Future Play: Research, Play, Share, Toronto, ON, Canada, 3–5 November 2008; pp. 244–247. [Google Scholar]
- Teasdale, N.; Lavallière, M.; Tremblay, M.; Laurendeau, D.; Simoneau, M. Multiple exposition to a driving simulator reduces simulator symptoms for elderly drivers. In Driving Assesment Conference; University of Iowa: Iowa City, IA, USA, 2009; Volume 5. [Google Scholar]
- Howarth, P.A.; Hodder, S.G. Characteristics of habituation to motion in a virtual environment. Displays 2008, 29, 117–123. [Google Scholar] [CrossRef]
- DiZio, P.; Lackner, J.R. Circumventing side effects of immersive virtual environments. Adv. Hum. Factors/Ergon. 1997, 21, 893–896. [Google Scholar]
- Kolasinski, E.M. Simulator Sickness in Virtual Environments; US Army Research Institute for the Behavioral and Social Sciences: Alexandria, VA, USA, 1995; Volume 1027. [Google Scholar]
- Pausch, R.; Crea, T.; Conway, M. A literature survey for virtual environments: Military flight simulator visual systems and simulator sickness. Presence Teleoperators Virtual Environ. 1992, 1, 344–363. [Google Scholar] [CrossRef]
- Yao, R.; Heath, T.; Davies, A.; Forsyth, T.; Mitchell, N.; Hoberman, P. Oculus vr best practices guide. Oculus VR 2014, 4, 27–35. [Google Scholar]
- Tal, D.; Gonen, A.; Wiener, G.; Bar, R.; Gil, A.; Nachum, Z.; Shupak, A. Artificial horizon effects on motion sickness and performance. Otol. Neurotol. 2012, 33, 878–885. [Google Scholar] [CrossRef]
- Bos, J.E.; MacKinnon, S.N.; Patterson, A. Motion sickness symptoms in a ship motion simulator: Effects of inside, outside, and no view. Aviat. Space Environ. Med. 2005, 76, 1111–1118. [Google Scholar]
- Feenstra, P.; Bos, J.E.; van Gent, R.N. A visual display enhancing comfort by counteracting airsickness. Displays 2011, 32, 194–200. [Google Scholar] [CrossRef]
- Cao, Z.; Jerald, J.; Kopper, R. Visually-induced motion sickness reduction via static and dynamic rest frames. In Proceedings of the 2018 IEEE Conference on Virtual Reality and 3D User Interfaces (VR), Tuebingen/Reutlingen, Germany, 18–22 March 2018; pp. 105–112. [Google Scholar]
- Fernandes, A.S.; Feiner, S.K. Combating VR sickness through subtle dynamic field-of-view modification. In Proceedings of the 2016 IEEE Symposium on 3D User Interfaces (3DUI), Greenville, SC, USA, 19–20 March 2016; pp. 201–210. [Google Scholar]
- Nguyen-Vo, T.; Riecke, B.E.; Stuerzlinger, W. Simulated reference frame: A cost-effective solution to improve spatial orientation in vr. In Proceedings of the 2018 IEEE Conference on Virtual Reality and 3D User Interfaces (VR), Tuebingen/Reutlingen, Germany, 18–20 March 2018; pp. 415–422. [Google Scholar]
- Whittinghill, D.M.; Ziegler, B.; Case, T.; Moore, B. Nasum virtualis: A simple technique for reducing simulator sickness. In Proceedings of the Games Developers Conference (GDC), San Francisco, CA, USA, 2–6 March 2015; Volume 74. [Google Scholar]
- Oman, C.M. A heuristic mathematical model for the dynamics of sensory conflict and motion sickness. Acta Oto-Laryngol. 1982, 94, 4–44. [Google Scholar] [CrossRef]
- Lin, C.T.; Chuang, S.W.; Chen, Y.C.; Ko, L.W.; Liang, S.F.; Jung, T.P. EEG effects of motion sickness induced in a dynamic virtual reality environment. In Proceedings of the 2007 29th Annual International Conference of the IEEE Engineering in Medicine and Biology Society, Lyon, France, 22–26 August 2007; pp. 3872–3875. [Google Scholar]
- Llorach, G.; Evans, A.; Blat, J. Simulator sickness and presence using HMDs: Comparing use of a game controller and a position estimation system. In Proceedings of the 20th ACM Symposium on Virtual Reality Software and Technology, Edinburgh, UK, 11–13 November 2014; pp. 137–140. [Google Scholar]
- Ash, A.; Palmisano, S.; Kim, J. Vection in depth during consistent and inconsistent multisensory stimulation. Perception 2011, 40, 155–174. [Google Scholar] [CrossRef]
- Peck, T.C.; Fuchs, H.; Whitton, M.C. An evaluation of navigational ability comparing redirected free exploration with distractors to walking-in-place and joystick locomotio interfaces. In Proceedings of the 2011 IEEE Virtual Reality Conference, Singapore, 19–23 March 2011; pp. 55–62. [Google Scholar]
- Banton, T.; Stefanucci, J.; Durgin, F.; Fass, A.; Proffitt, D. The Perception of Walking Speed in a Virtual Environment. Presence 2005, 14, 394–406. [Google Scholar] [CrossRef]
- Schroeder, J.A. Helicopter Flight Simulation Motion Platform Requirements; Technical Report; NASA: Washington, DC, USA, 1999.
- Grant, P.R.; Yam, B.; Hosman, R.; Schroeder, J.A. Effect of simulator motion on pilot behavior and perception. J. Aircr. 2006, 43, 1914–1924. [Google Scholar] [CrossRef]
- Stanney, K.M.; Hale, K.S.; Nahmens, I.; Kennedy, R.S. What to expect from immersive virtual environment exposure: Influences of gender, body mass index, and past experience. Hum. Factors 2003, 45, 504–520. [Google Scholar] [CrossRef] [PubMed]
- Mazloumi Gavgani, A.; Walker, F.R.; Hodgson, D.M.; Nalivaiko, E. A comparative study of cybersickness during exposure to virtual reality and “classic” motion sickness: Are they different? J. Appl. Physiol. 2018, 125, 1670–1680. [Google Scholar] [CrossRef]
- Balk, S.A.; Bertola, D.B.; Inman, V.W. Simulator sickness questionnaire: Twenty years later. In Driving Assessment Conference; University of Iowa: Iowa City, IA, USA, 2013; Volume 7. [Google Scholar]
- Bimberg, P.; Weissker, T.; Kulik, A. On the usage of the simulator sickness questionnaire for virtual reality research. In Proceedings of the 2020 IEEE Conference on Virtual Reality and 3D User Interfaces Abstracts and Workshops (VRW), Atlanta, GA, USA, 22–26 March 2020; pp. 464–467. [Google Scholar]















| Type | Standalone |
|---|---|
| Resolution | 1832 × 1920 (per eye) |
| Refresh Rate | 90 Hz |
| Motion Detection | 6 DoF |
| Controls | Oculus Touch |
| S. No | Motion Profiles |
|---|---|
| 1 | C1 (No Motion)/Pitch mission profile |
| 2 | C2 (Log)/Pitch mission profile |
| 3 | C3 (Exp)/Pitch mission profile |
| 4 | C4 (Gain ×0.5)/Pitch mission profile |
| 5 | C5 (Gain ×2)/Pitch mission profile |
| 6 | C6 (Synchronous)/Pitch mission profile |
| 7 | C1 (No Motion)/Roll mission profile |
| 8 | C2 (Log)/Roll mission profile |
| 9 | C3 (Exp)/Roll mission profile |
| 10 | C4 (Gain×0.5)/Roll mission profile |
| 11 | C5 (Gain ×2)/Roll mission profile |
| 12 | C6 (Synchronous)/Roll mission profile |
| Motion: Visual | Pitch | Roll | ||
|---|---|---|---|---|
| Mean | S.D | Mean | S.D. | |
| C1 (No Motion) | 23 | 4 | 31 | 8 |
| C2 (Log) | 22 | 5 | 28 | 5 |
| C3 (Expo) | 16 | 4 | 18 | 3 |
| C4 (Gain ×0.5) | 17 | 5 | 20 | 4 |
| C5 (Gain ×2) | 19 | 3 | 24 | 4 |
| C6 (Synchronous) | 13 | 3 | 15 | 2 |
| p-Value | Effect Size | F-Value |
|---|---|---|
| Roll Mission Profile | ||
| 0.029 | 0.34 | 7.00 |
| Pitch Mission Profile | ||
| 0.009 | 0.31 | 11.76 |
| Comparison Models of No Motion Condition (C1) with | Effect Size | F-Value | p-Value |
|---|---|---|---|
| Roll Mission Profile | |||
| (Log) | 0.037 | 0.640 | 0.446 |
| (Expo) | 0.481 | 10.269 | 0.012 |
| (Gain ×0.5) | 0.361 | 6.664 | 0.032 |
| (Gain ×2) | 0.135 | 2.568 | 0.147 |
| (Synchronous) | 0.616 | 17.065 | 0.003 |
| Pitch Mission Profile | |||
| (Log) | 0.108 | 0.020 | 0.890 |
| (Expo) | 0.337 | 6.101 | 0.038 |
| (Gain ×0.5) | 0.179 | 3.181 | 0.112 |
| (Gain ×2) | 0.109 | 2.234 | 0.173 |
| (Synchronous) | 0.508 | 14.835 | 0.004 |
Disclaimer/Publisher’s Note: The statements, opinions and data contained in all publications are solely those of the individual author(s) and contributor(s) and not of MDPI and/or the editor(s). MDPI and/or the editor(s) disclaim responsibility for any injury to people or property resulting from any ideas, methods, instructions or products referred to in the content. |
© 2024 by the authors. Licensee MDPI, Basel, Switzerland. This article is an open access article distributed under the terms and conditions of the Creative Commons Attribution (CC BY) license (https://creativecommons.org/licenses/by/4.0/).
Share and Cite
Javaid, A.; Rasool, S.; Maqsood, A. Analysis of Visual and Vestibular Information on Motion Sickness in Flight Simulation. Aerospace 2024, 11, 139. https://doi.org/10.3390/aerospace11020139
Javaid A, Rasool S, Maqsood A. Analysis of Visual and Vestibular Information on Motion Sickness in Flight Simulation. Aerospace. 2024; 11(2):139. https://doi.org/10.3390/aerospace11020139
Chicago/Turabian StyleJavaid, Ahmad, Shahzad Rasool, and Adnan Maqsood. 2024. "Analysis of Visual and Vestibular Information on Motion Sickness in Flight Simulation" Aerospace 11, no. 2: 139. https://doi.org/10.3390/aerospace11020139
APA StyleJavaid, A., Rasool, S., & Maqsood, A. (2024). Analysis of Visual and Vestibular Information on Motion Sickness in Flight Simulation. Aerospace, 11(2), 139. https://doi.org/10.3390/aerospace11020139

