Crack Growth Analytical Model Considering the Crack Growth Resistance Parameter Due to the Unloading Process
Abstract
1. Introduction
2. The Model Considering the Relationship between the Unloading Capacity and Crack Growth Resistance
2.1. Relationship between the Crack Tip Stress Field and Crack Closure
2.2. Relationship between the Reverse Loading and the Reverse Stress Fields
2.3. Analytical Model Considering the Effect of the Unloading Capacity
3. Experiment and Model Parameter Acquisition
3.1. Specimen, Machine, and Test Process
3.2. Acquisition of Model Parameters
- (1)
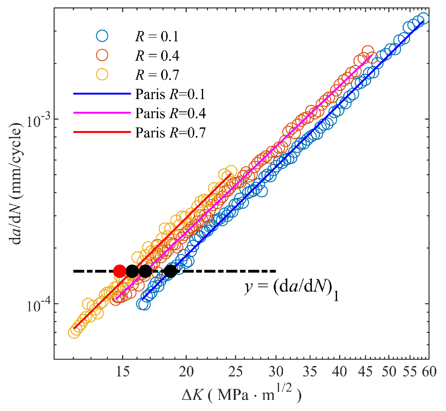
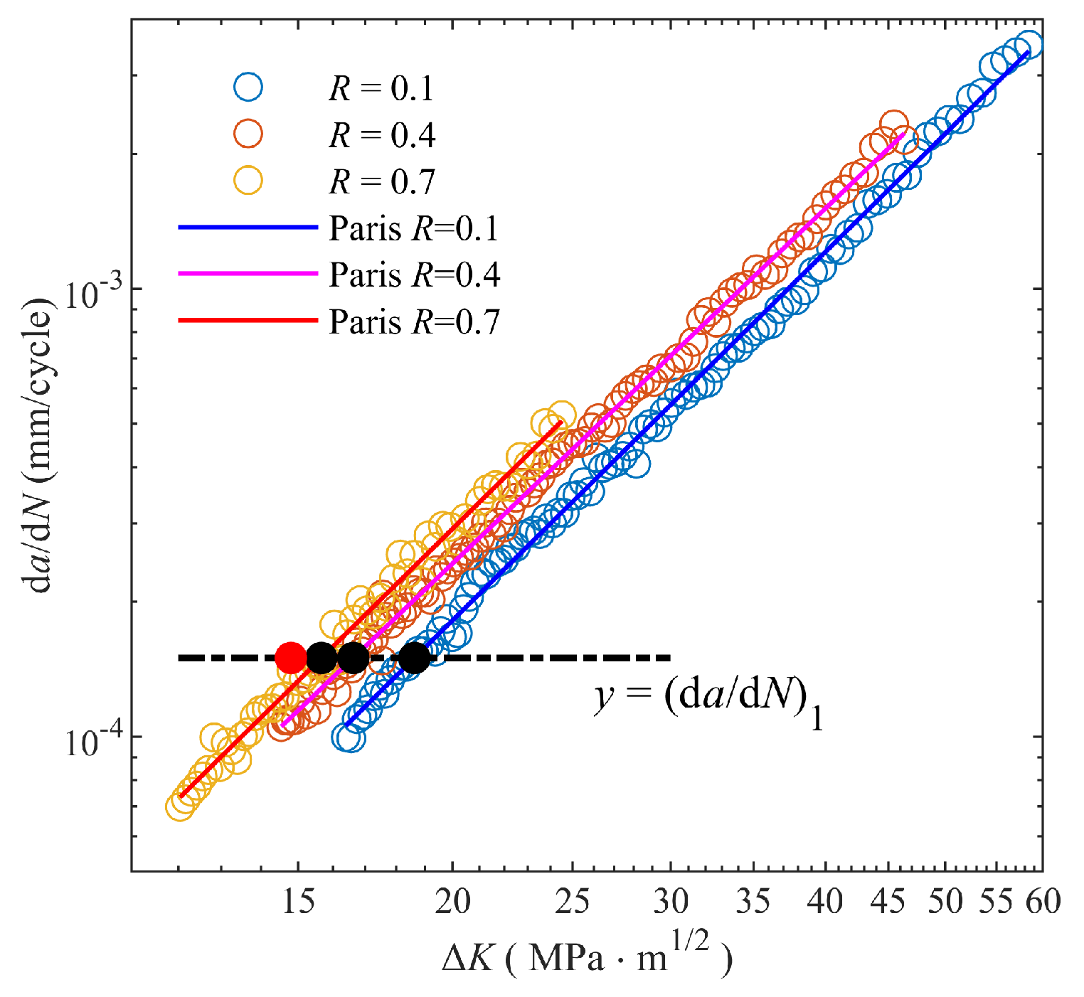
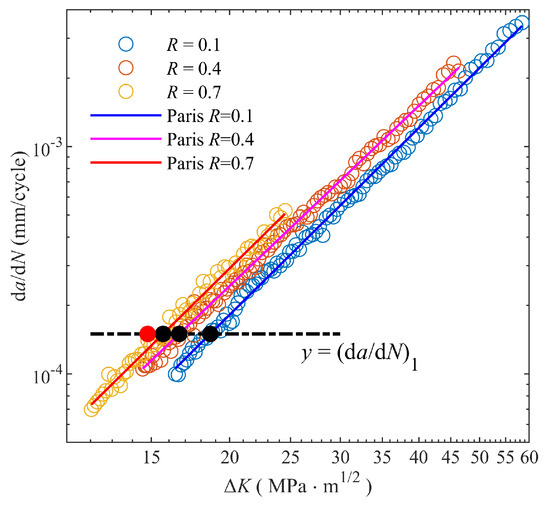
- One crack growth rate was selected such that passed through the curves of the Paris equations under different . The intersection points are indicated as black dots. The X-axis values of the intersection points corresponding to are , , and , respectively.
- (2)
- Since the crack growth under different stress ratios obeys Equation (2), is equal when is constant. Therefore, all three black intersection points correspond to the same . This unknown is schematically represented by a red dot in Figure 8. Since under constant amplitude loading, the following can be obtained from Equation (2):
- (3)
- After the values of parameters a and b were obtained, the hollow points under different stress ratios were processed via in Equation (2). The corresponding results are shown in the form of solid points in Figure 9. By fitting all the solid points, the crack growth parameters and in Equation (2) can be obtained. The corresponding line is shown as the red line in Figure 9.
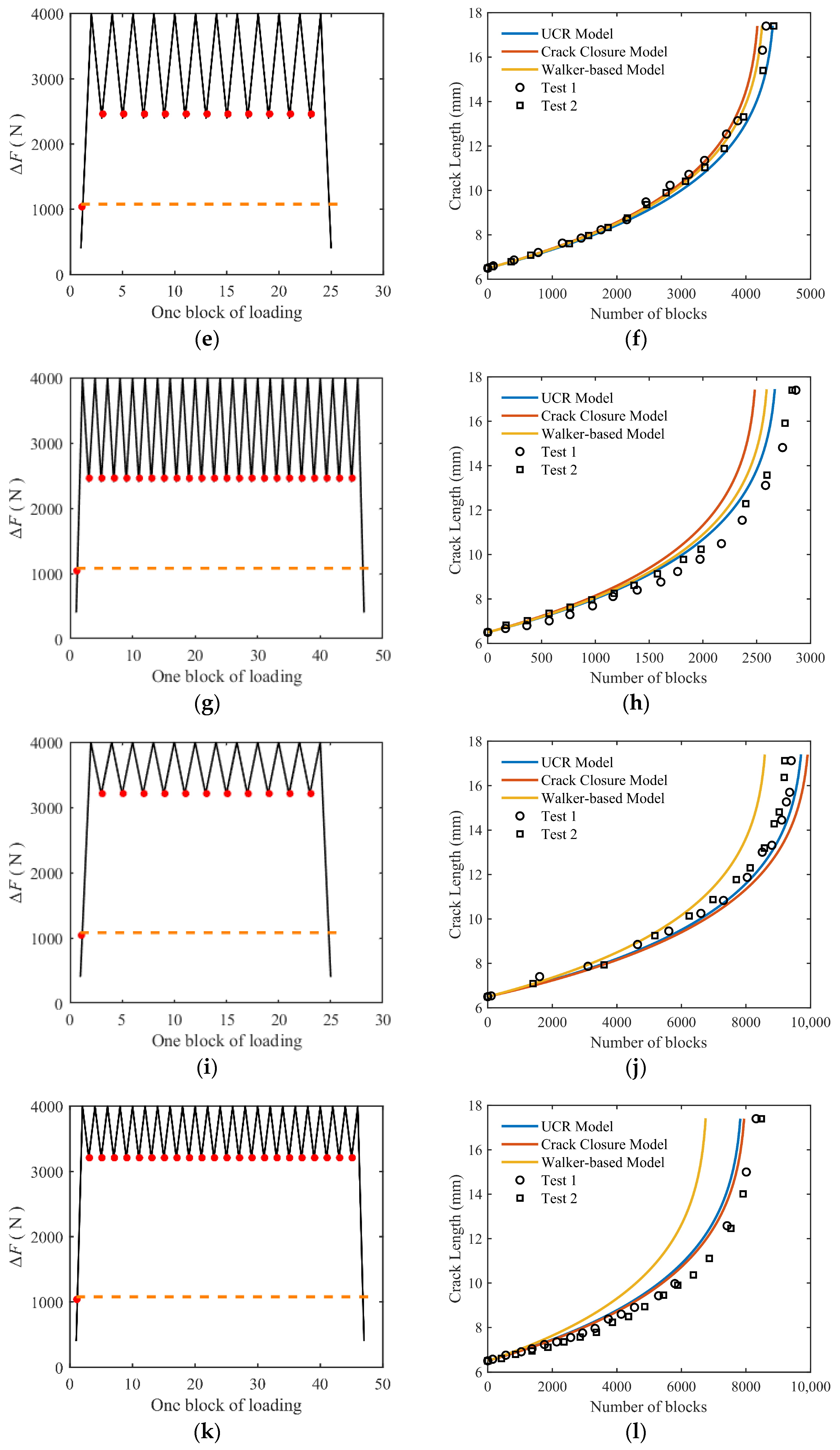
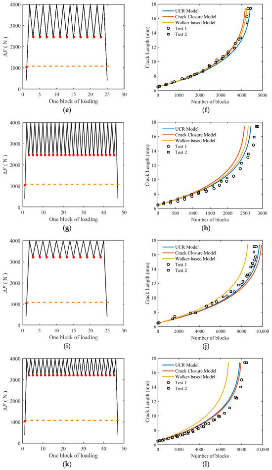
4. Results of Different Models under Combined Loads
5. Conclusions
- (1)
- A reverse stress field is superimposed on the crack tip during unloading. The intensity of the reverse stress field increases with increasing unloading quantity. The crack closure phenomenon follows the change in the stress field at the crack tip.
- (2)
- A new parameter was proposed to characterize the effect of the reverse stress field caused by the entire unloading process on subsequent crack growth. The corresponding analytical model was established, and the intrinsic relationship between the UCR model and the traditional crack closure model was determined. The method of obtaining UCR model parameters using constant amplitude load test data under different stress ratios was shown. This acquisition process is relatively simple and can be carried out with existing test data in manuals.
- (3)
- Six combined load spectra were established based on the load history of an aeroengine during maneuvering flight. The UCR, the crack closure, and the Walker-based models were evaluated through spectrum tests. The verification results show that because the crack closure model does not consider the influence of the unloading process after crack opening, the simulation deviation is large when the crack is close to closure but not closed due to unloading. The deviation of the Walker-based model increases when the of the inserted loads is relatively high. According to the combined load spectrum test in this study, the results of the UCR model are satisfactory.
Author Contributions
Funding
Data Availability Statement
Conflicts of Interest
References
- Advisory Circular. Damage Tolerance for High Energy Turbine Engine Rotor; FAA: Washington, DC, USA, 2001. [Google Scholar]
- Wu, Y.-T.; Enright, M.; Millwater, H. Probabilistic methods for design assessment of reliability with inspection. AIAA J. 2002, 40, 937–946. [Google Scholar] [CrossRef]
- Wu, Y.; Millwater, H.; Enright, M. Efficient and accurate methods for probabilistic analysis of titanium rotors. In Proceedings of the 8th ASCE Specialty Conference on Probabilistic Mechanics and Structural Reliability, Notre Dame, IN, USA, 23–26 July 2000; pp. 24–26. [Google Scholar]
- Ten Have, A.A. Cold Turbistan, Final Definition of a Standardized Fatigue Test Loading Sequence for Tactical Aircraft Cold Section Engine Discs; National Aerospace Laboratory: Amsterdam, The Netherlands, 1985. [Google Scholar]
- Paris, P.; Erdogan, F. A critical analysis of crack propagation laws. J. Basic Eng. 1963, 85, 528–533. [Google Scholar] [CrossRef]
- Walker, K. The effect of stress ratio during crack propagation and fatigue for 2024-T3 and 7075-T6 aluminum. In Effects of Environment and Complex Load History on Fatigue Life; ASTM International: West Conshohocken, PA, USA, 1970. [Google Scholar]
- Elber, W. Fatigue Crack Propagation: Some Effects of Crack Closure on the Mechanism of Fatigue Crack Propagation under Cyclic Tension Loading. Ph.D. Thesis, UNSW, Sydney, Australia, 1968. [Google Scholar]
- Elber, W. The significance of fatigue crack closure. In Damage Tolerance in Aircraft Structures; ASTM International: West Conshohocken, PA, USA, 1971. [Google Scholar]
- Newman, J., Jr.; Kota, K.; Lacy, T. Fatigue and crack-growth behavior in a titanium alloy under constant-amplitude and spectrum loading. Eng. Fract. Mech. 2018, 187, 211–224. [Google Scholar] [CrossRef]
- Yamada, Y.; Newman, J., Jr. Crack-closure behavior of 2324-T39 aluminum alloy near-threshold conditions for high load ratio and constant Kmax tests. Int. J. Fatigue 2009, 31, 1780–1787. [Google Scholar] [CrossRef]
- Wallbrink, C.; Hughes, J.M.; Kotousov, A. Experimental investigation of crack opening loads in an aircraft load spectrum. Int. J. Fatigue 2023, 171, 107560. [Google Scholar] [CrossRef]
- Wallbrink, C.; Hughes, J.M.; Kotousov, A. Application of an advanced piezoelectric strain sensor for crack closure measurement. Int. J. Fatigue 2023, 167, 107286. [Google Scholar] [CrossRef]
- Lu, Z.; Liu, Y. Small time scale fatigue crack growth analysis. Int. J. Fatigue 2010, 32, 1306–1321. [Google Scholar] [CrossRef]
- Zhou, N. Study on Compilation Method of Standard Load Spectrum of Aeroengine Disk. Master’s Thesis, Nanjing University of Aeronautics and Astronautics, Nanjing, China, 2010. [Google Scholar]
- Salvati, E.; Zhang, H.; Fong, K.S.; Song, X.; Korsunsky, A.M. Separating plasticity-induced closure and residual stress contributions to fatigue crack retardation following an overload. J. Mech. Phys. Solids 2017, 98, 222–235. [Google Scholar] [CrossRef]
- Zhang, W.; Liu, Y. In situ SEM testing for crack closure investigation and virtual crack annealing model development. Int. J. Fatigue 2012, 43, 188–196. [Google Scholar] [CrossRef]
- Xu, L. Three-Dimensional Crack Fatigue Propagation Analysis Based on Crack Closure Model. Master’s Thesis, Nanjing University of Aeronautics and Astronautics, Nanjing, China, 2018. [Google Scholar]
- Zhao, L.; Tong, J.; Byrne, J. The evolution of the stress–strain fields near a fatigue crack tip and plasticity-induced crack closure revisited. Fatigue Fract. Eng. Mater. Struct. 2004, 27, 19–29. [Google Scholar] [CrossRef]
- Chen, H.; Wei, D.; Wang, Y. Numerical Simulation of Effects of Compressive Stress around Crack Tip on Closure and Propagation Characteristic. J. Propuls. Technol. 2018, 39, 1099–1104. [Google Scholar]
- Li, G.; Lu, W.; Huang, S.; Zhang, X.; Ding, S. Analysis and prediction of residual stresses based on cutting temperature and cutting force in rough turning of Ti–6Al–4V. Heliyon 2022, 8, e11661. [Google Scholar] [CrossRef] [PubMed]
- Li, G.; Huang, S.; Lu, W.; Liu, J.; Ding, S.; Zhang, G.; Zhen, B. Probabilistic Failure Risk of Aeroengine Life-Limited Parts Considering the Random Load Interference Effect. Aerospace 2023, 10, 301. [Google Scholar] [CrossRef]
- Li, G.; Liu, J.; Zhou, H.; Zuo, L.; Ding, S. Efficient numerical integration algorithm of probabilistic risk assessment for aero-engine rotors considering in-service inspection uncertainties. Aerospace 2022, 9, 525. [Google Scholar] [CrossRef]
- ASTM F1472-23; Standard Specification for Wrought Titanium-6Aluminum-4Vanadium Alloy for Surgical Implant Applications (UNS R56400). ASTM International: West Conshohocken, PA, USA, 2015.
- Kumar, P.; Ramamurty, U. Microstructural optimization through heat treatment for enhancing the fracture toughness and fatigue crack growth resistance of selective laser melted Ti6Al4V alloy. Acta Mater. 2019, 169, 45–59. [Google Scholar] [CrossRef]
- Solanki, K.; Daniewicz, S.; Newman, J., Jr. Finite element modeling of plasticity-induced crack closure with emphasis on geometry and mesh refinement effects. Eng. Fract. Mech. 2003, 70, 1475–1489. [Google Scholar] [CrossRef]
- Ferreira, F.F.; Neto, D.M.; Jesus, J.S.; Prates, P.A.; Antunes, F.V. Numerical prediction of the fatigue crack growth rate in SLM Ti-6Al-4V based on crack tip plastic strain. Metals 2020, 10, 1133. [Google Scholar] [CrossRef]
- De Matos, P.; Nowell, D. Numerical simulation of plasticity-induced fatigue crack closure with emphasis on the crack growth scheme: 2D and 3D analyses. Eng. Fract. Mech. 2008, 75, 2087–2114. [Google Scholar] [CrossRef]
- Irwin, G. Linear fracture mechanics, fracture transition, and fracture control. Eng. Fract. Mech. 1968, 1, 241–257. [Google Scholar] [CrossRef]
- Wheeler, O.E. Spectrum loading and crack growth. J. Basic Eng. 1972, 94, 181–186. [Google Scholar] [CrossRef]
- Chen, C.; Ye, D.; Zhang, L.; Liu, J. DIC-based studies of the overloading effects on the fatigue crack propagation behavior of Ti-6Al-4V ELI alloy. Int. J. Fatigue 2018, 112, 153–164. [Google Scholar] [CrossRef]
- ASTM E647-23a; Standard Test Method for Measurement of Fatigue Crack Growth Rates. ASTM International: West Conshohocken, PA, USA, 2023.
- Forth, S.C.; Newman, J.C., Jr.; Forman, R.G. On generating fatigue crack growth thresholds. Int. J. Fatigue 2003, 25, 9–15. [Google Scholar] [CrossRef]
- Newman, J., Jr.; Schneider, J.; Daniel, A.; McKnight, D. Compression pre-cracking to generate near threshold fatigue-crack-growth rates in two aluminum alloys. Int. J. Fatigue 2005, 27, 1432–1440. [Google Scholar] [CrossRef]
- Ruschau, J.; Newman, J. Compression precracking to generate near threshold fatigue crack growth rates in an aluminum and titanium alloy. J. ASTM Int. 2008, 5, JAI101623. [Google Scholar] [CrossRef]
- Liu, Y.; Mahadevan, S. Probabilistic fatigue life prediction using an equivalent initial flaw size distribution. Int. J. Fatigue 2009, 31, 476–487. [Google Scholar] [CrossRef]
- Chicco, D.; Warrens, M.J.; Jurman, G. The coefficient of determination R-squared is more informative than SMAPE, MAE, MAPE, MSE and RMSE in regression analysis evaluation. PeerJ Comput. Sci. 2021, 7, e623. [Google Scholar] [CrossRef]
- Skinn, D.A.; Gallagher, J.P.; Berens, A.P.; Huber, P.D.; Smith, J. Damage Tolerant Design Handbook; Wright Laboratory: Dayton, OH, USA, 1994; Volume 2, Chapters 5 and 6. [Google Scholar]
- Newman, J.C., Jr. FASTRAN-2: A fatigue crack growth structural analysis program. NASA STI/Recon Tech. Rep. N 1992, 92, 30964. [Google Scholar]
- Newman, J.C., Jr. Fatigue and Crack Growth under Constant-and Variable-Amplitude Loading in 9310 Steel Using “Rainflow-on-the-Fly” Methodology. Metals 2021, 11, 807. [Google Scholar] [CrossRef]
- Malipatil, S.G.; Majila, A.N.; Fernando, D.C.; Manjuprasad, M.; Manjunatha, C. Fatigue crack growth behaviour of a nickel base super alloy GTM720 under cold-TURBISTAN spectrum load sequence. Theor. Appl. Fract. Mech. 2021, 112, 102913. [Google Scholar] [CrossRef]














| Element | Composition (%) (mass/mass) |
|---|---|
| Nitrogen | 0.05 |
| Carbon | 0.08 |
| Hydrogen | 0.015 |
| Iron | 0.30 |
| Oxygen | 0.20 |
| Aluminum | 5.5–6.75 |
| Vanadium | 3.5–4.5 |
| Yttrium | 0.005 |
| Titanium | Balance |
| Material Parameter | Value |
|---|---|
| Elastic modulus | 112 GPa |
| Proof strength plastic extension | 836 MPa |
| Tensile strength | 905 MPa |
| Poisson’s ratio | 0.31 |
| Fracture toughness | 106.52 |
Disclaimer/Publisher’s Note: The statements, opinions and data contained in all publications are solely those of the individual author(s) and contributor(s) and not of MDPI and/or the editor(s). MDPI and/or the editor(s) disclaim responsibility for any injury to people or property resulting from any ideas, methods, instructions or products referred to in the content. |
© 2024 by the authors. Licensee MDPI, Basel, Switzerland. This article is an open access article distributed under the terms and conditions of the Creative Commons Attribution (CC BY) license (https://creativecommons.org/licenses/by/4.0/).
Share and Cite
Li, G.; Huang, S.; Li, Z.; Lu, W.; Ding, S.; Chen, R.; Cao, F. Crack Growth Analytical Model Considering the Crack Growth Resistance Parameter Due to the Unloading Process. Aerospace 2024, 11, 841. https://doi.org/10.3390/aerospace11100841
Li G, Huang S, Li Z, Lu W, Ding S, Chen R, Cao F. Crack Growth Analytical Model Considering the Crack Growth Resistance Parameter Due to the Unloading Process. Aerospace. 2024; 11(10):841. https://doi.org/10.3390/aerospace11100841
Chicago/Turabian StyleLi, Guo, Shuchun Huang, Zhenlei Li, Wanqiu Lu, Shuiting Ding, Rong Chen, and Fan Cao. 2024. "Crack Growth Analytical Model Considering the Crack Growth Resistance Parameter Due to the Unloading Process" Aerospace 11, no. 10: 841. https://doi.org/10.3390/aerospace11100841
APA StyleLi, G., Huang, S., Li, Z., Lu, W., Ding, S., Chen, R., & Cao, F. (2024). Crack Growth Analytical Model Considering the Crack Growth Resistance Parameter Due to the Unloading Process. Aerospace, 11(10), 841. https://doi.org/10.3390/aerospace11100841

