Influence of Engine Dynamic Characteristics on Helicopter Handling Quality in Hover and Low-Speed Forward Flight
Abstract
:1. Introduction
2. Mathematical Model
2.1. Helicopter Model
2.2. Engine Model
2.3. Helicopter–Engine Coupling Model (HECM)
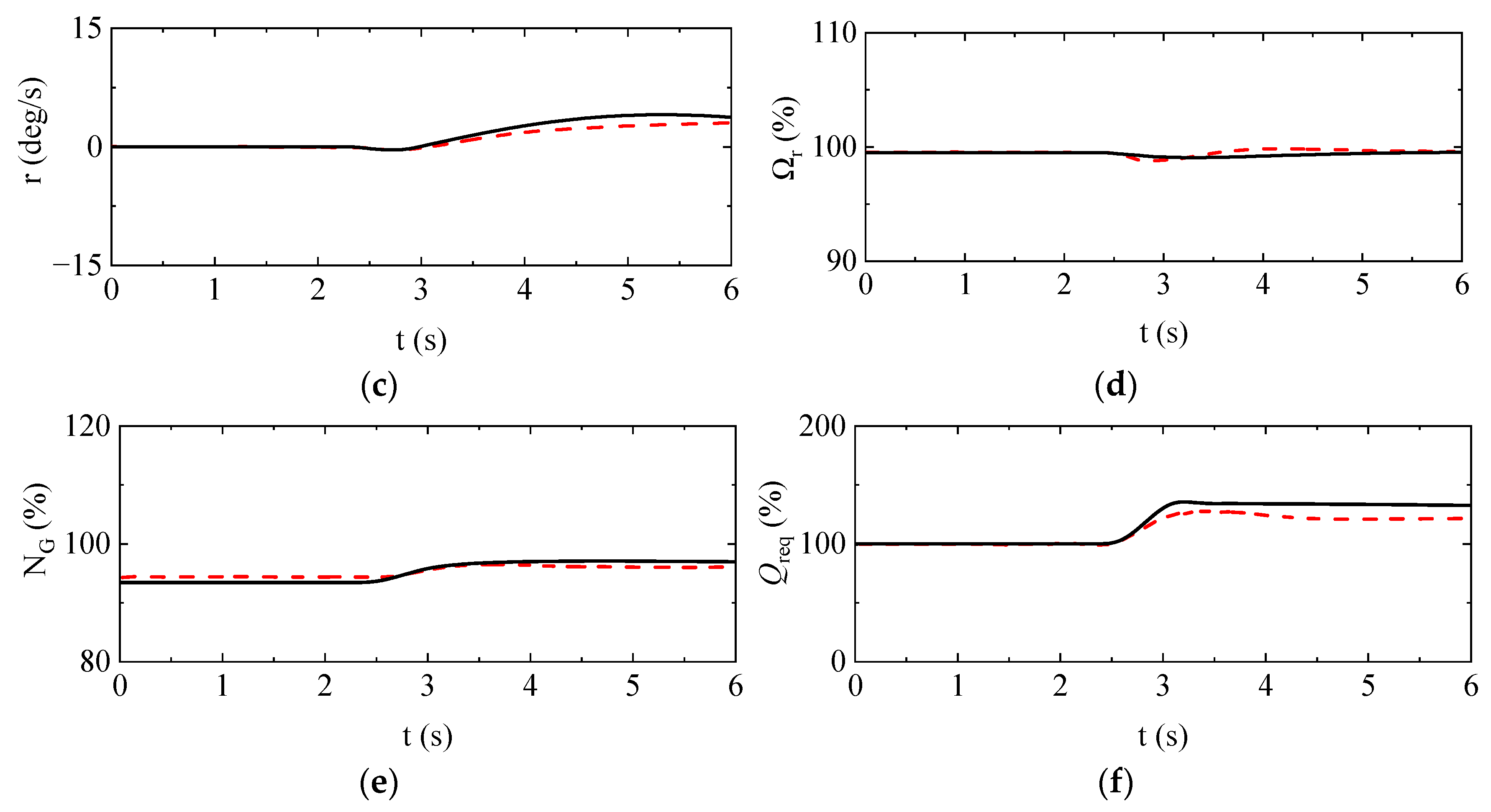
2.4. Model Validation
3. Handling Qualities Assessment
3.1. Torque Response HQR Assessment
3.2. Height Response HQR Assessment
3.3. Yaw Due to Collective Input HQR Assessment
4. Conclusions
- Engine output lag diminishes the handling quality of the helicopter’s torque response as the helicopter flight weight increases. When the required torque for the aircraft rises, the impact of engine dynamic characteristics on the helicopter’s torque response HQR is significantly reduced.
- Engine dynamic characteristics deteriorate the helicopter’s height response HQR. The helicopter flight weight substantially impacts the influence of engine output lag on altitude response. At higher flight weight, the slower recovery of engine output results in the conversion of the rotor rotation kinetic energy into translational kinetic energy, significantly affecting rotor thrust and leading to a decline in the helicopter’s altitude response HQR.
- The dynamic coupling effect of the rotor/engine system reduces the helicopter’s collective–yaw coupling HQR. As forward flight speed increased to 20 m/s, the reverse change in yaw rate induced by engine output lag became most pronounced. The increased by 41.8%, further decreasing the collective–yaw coupling HQR. This analysis provides valuable insight into the impact of engine dynamic characteristics on helicopter handling quality and offers guidance for designing helicopter/engine coupling control laws.
Author Contributions
Funding
Informed Consent Statement
Data Availability Statement
Conflicts of Interest
References
- Chen, R.; Yuan, Y.; Thomson, D. A Review of Mathematical Modelling Techniques for Advanced Rotorcraft Configurations. Prog. Aerosp. Sci. 2021, 120, 100681. [Google Scholar] [CrossRef]
- Baskett, B.J.; Larry, O.D. Aeronautical Design Standard Performance Specification Handling Qualities Requirements for Military Rotorcraft; United States Army Aviation and Missile Command: Redstone Arsenal, AL, USA, 2000. [Google Scholar]
- Celi, R. Calculation of ADS-33 quickness parameters with application to design optimization. In Proceedings of the 29th European Rotorcraft Forum, Friedrichshafen, Germany, 16–18 September 2003. [Google Scholar]
- Luria, F.; Smith, F.S. ADS-33 Handling Qualities Evaluation of the UH-60M Fly-By-Wire Demonstration Aircraft. In Proceedings of the American Helicopter Society 68th Annual Forum, Fort Worth, TX, USA, 1–3 May 2012. [Google Scholar]
- Malpica, C.; Theodore, C.R.; Lawrence, B.; Blanken, C.L. Handling Qualities of Large Rotorcraft in Hover and Low Speed; NASA/TP-2015-216656; Ames Research Center: Moffett Field, CA, USA, 2015.
- Lawrence, B.; Theodore, C.R.; Johnson, W.; Berger, T. A handling qualities analysis tool for rotorcraft conceptual designs. Aeronaut. J. 2018, 122, 960–987. [Google Scholar] [CrossRef]
- Gerosa, G.; Zanoni, A.; Panza, S.; Masarati, P.; Lovera, M. A handling qualities oriented approach to rotorcraft conceptual design. In Proceedings of the AHS International 74th Annual Forum & Technology Display, Phoenix, AZ, USA, 14–17 May 2018. [Google Scholar]
- Tischler, M.; Colbourne, J.; Morel, M.; Biezad, D.; Levine, W.; Moldoveanu, V.; Tischler, M.; Colbourne, J.; Morel, M.; Biezad, D.; et al. CONDUIT—A new multidisciplinary integration environment for flight control development. In Proceedings of the Guidance, Navigation, and Control Conference, New Orleans, LA, USA, 11–13 August 1997. [Google Scholar]
- Horn, J.F.; Guo, W.; Ozdemir, G.T. Use of rotor state feedback to improve closed-loop stability and handling qualities. J. Am. Helicopter Soc. 2012, 57, 1–10. [Google Scholar] [CrossRef]
- Horn, J.F. Non-Linear Dynamic Inversion Control Design for Rotorcraft. Aerospace 2019, 6, 38. [Google Scholar] [CrossRef]
- Türe, U.; Sarsilmaz, S.B.; Sahin, I.H. Optimization of Flight Control System and Handling Quality Evaluation of a Limited Authority Helicopter. In Proceedings of the AHS International’s 71st Annual Forum and Technology Display, Virginia Beach, VA, USA, 5–7 May 2015. [Google Scholar]
- Ji, H.; Chen, R.; Li, P. Analysis of helicopter handling quality in turbulence with recursive Von karman model. J. Aircr. 2017, 54, 1631–1639. [Google Scholar] [CrossRef]
- Yuan, Y.; Thomson, D.; Anderson, D. Aerodynamic Uncertainty Quantification for Tiltrotor Aircraft. Aerospace 2022, 9, 271. [Google Scholar] [CrossRef]
- Yuan, Y.; Thomson, D.; Anderson, D. Faster-than-realtime inverse simulation method for tiltrotor handling qualities investigation. Aerosp. Sci. Technol. 2022, 124, 107516. [Google Scholar] [CrossRef]
- Yan, X.; Yuan, Y.; Chen, R. Research on Pilot Control Strategy and Workload for Tilt-Rotor Aircraft Conversion Procedure. Aerospace 2023, 10, 742. [Google Scholar] [CrossRef]
- Yan, X.; Chen, R. Augmented flight dynamics model for pilot workload evaluation in tilt-rotor aircraft optimal landing procedure after one engine failure. Chin. J. Aeronaut. 2019, 32, 92–103. [Google Scholar] [CrossRef]
- Talbot, P.D.; Tinling, B.E.; Decker, W.A.; Chen, R.T.N. A Mathematical Model of a Single Main Rotor Helicopter for Piloted Simulation; Ames Research Center: Moffett Field, CA, USA, 1982.
- Chen, R.T.N. Effects of Primary Rotor Parameters on Flapping Dynamics; Ames Research Center: Moffett Field, CA, USA, 1980.
- Corliss, L.D. The Effects of Engine and Height-Control Characteristics on Helicopter Handling Qualities. J. Am. Helicopter Soc. 1983, 28, 56–62. [Google Scholar]
- Cho, H.; Ryu, H.; Shin, S.J.; Cho, I.-J.; Jang, J.-S. Development of a Coupled Analysis Regarding the Rotor/Dynamic Components of a Rotorcraft. J. Mech. Sci. Technol. 2014, 28, 4841–4856. [Google Scholar] [CrossRef]
- Liu, K.; Mittal, M.; Prasad, J.; Scholz, C. A Study of Coupled Engine/Rotor Dynamic Behavior. In Proceedings of the 51st Annual Forum of the American Helicopter Society, Fort Worth, TX, USA, 9–11 May 1995. [Google Scholar]
- Zhang, H.; Wang, J.; Chen, G.; Yan, C. A New Hybrid Control Scheme for an Integrated Helicopter and Engine System. Chin. J. Aeronaut. 2012, 25, 533–545. [Google Scholar] [CrossRef]
- Wang, Y.; Song, J.; Zhong, W.; Zhang, H. Rotational Speed Optimization of Coaxial Compound Helicopter and Turboshaft Engine System. J. Aerosp. Eng. 2023, 36, 04023042. [Google Scholar] [CrossRef]
- Guglieri, G. Effect of Drive Train and Fuel Control Design on Helicopter Handling Qualities. J. Am. Helicopter Soc. 2000, 46, 14–22. [Google Scholar] [CrossRef]
- Richardson, D.A.; Alwang, J.R. Engine/Airframe/Drive Train Dynamic Interface Documentation; Final Report; Boeing Vertol, Co.: Philadelphia, PA, USA, 1978. [Google Scholar]
- Hanson, H.; Balke, R.; Edwards, B.; Riley, W.; Downs, B. Engine/Airframe/Drive Train Dynamic Interface Documentation; Bell Helicopter Textron: Fort Worth, TX, USA, 1978. [Google Scholar]
- Hull, R. Development of a Rotorcraft/Propulsion Dynamics Interface Analysis: Volume I; Ames Research Center: Moffett Field, CA, USA, 1982.
- Mihaloew, J.R.; Ballin, M.G.; Ruttledge, G. Rotorcraft Flight-Propulsion Control Integration: An Eclectic Design Concept; Lewis Research Center: Cleveland, OH, USA, 1988. [Google Scholar]
- Han, D.; Pastrikakis, V.; Barakos, G.N. Helicopter Performance Improvement by Variable Rotor Speed and Variable Blade Twist. Aerosp. Sci. Technol. 2016, 54, 164–173. [Google Scholar] [CrossRef]
- Iwata, T. Integrated Flight/Propulsion Control with Variable Rotor Speed Command for Rotorcraft. Ph.D. Thesis, Stanford University, Stanford, CA, USA, 1996. [Google Scholar]
- Guo, W. Flight Control Design for Rotorcraft with Variable Rotor Speed. Ph.D. Thesis, The Pennsylvania State University, State College, PA, USA, 2009. [Google Scholar]
- Misté, G.A.; Benini, E. Variable-speed rotor helicopters: Performance comparison between continuously variable and fixed-ratio transmissions. J. Aircr. 2016, 53, 1189–1200. [Google Scholar] [CrossRef]
- Wang, Y.; Zheng, Q.; Xu, Z.; Zhang, H. A Novel Control Method for Turboshaft Engine with Variable Rotor Speed Based on the Ngdot Estimator through LQG/LTR and Rotor Predicted Torque Feedforward. Chin. J. Aeronaut. 2020, 33, 1867–1876. [Google Scholar] [CrossRef]
- Howlett, J.J. UH-60A Black Hawk Engineering Simulation Program Volume I: Mathematical Model; Ames Research Center: Moffett Field, CA, USA, 1981.
- Li, P.; Chen, R. A Mathematical Model for Helicopter Comprehensive Analysis. Chin. J. Aeronaut. 2010, 23, 320–326. [Google Scholar]
- Wang, L.; Chen, R. Nonlinear Helicopter Rigid-Elastic Coupled Modeling with Its Applications on Aeroservoelasticity Analysis. AIAA J. 2022, 60, 102–112. [Google Scholar] [CrossRef]
- Kim, F.D. Formulation and Validation of High-Order Mathematical Models of Helicopter Flight Dynamics. Ph.D. Thesis, University of Maryland, College Park, MD, USA, 1991. [Google Scholar]
- Ballin, M.G. A High Fidelity Real-Time Simulation of a Small Turboshaft Engine; Ames Research Center: Moffett Field, CA, USA, 1988.
- Ballin, M.G. Validation of a Real-Time Engineering Simulation of the UH-60A Helicopter; Ames Research Center: Moffett Field, CA, USA, 1987.
- Ruttledge, D.G.C. A Rotorcraft Flight/Propulsion Control Integration Study; Sikorsky Aircraft: Stratford, CT, USA, 1986. [Google Scholar]


















| Scenario | Velocity (m/s) | Mass (kg) | 
|---|---|---|
| SHM, Light Weight | 0.0 | 6000.0 | 
| SHM, Medium Weight | 0.0 | 7000.0 | 
| SHM, Heavy Weight | 0.0 | 8000.0 | 
| SHM, Hover | 0.0 | 7257.6 | 
| SHM, Low Speed 10 m/s | 10.0 | 7257.6 | 
| SHM, Low Speed 20 m/s | 20.0 | 7257.6 | 
| HECM, Light Weight | 0.0 | 6000.0 | 
| HECM, Medium Weight | 0.0 | 7000.0 | 
| HECM, Heavy Weight | 0.0 | 8000.0 | 
| HECM, Hover | 0.0 | 7257.6 | 
| HECM, Low Speed 10 m/s | 10.0 | 7257.6 | 
| HECM, Low Speed 20 m/s | 20.0 | 7257.6 | 
| Scenario | K | (s) | (s) | |
|---|---|---|---|---|
| SHM, Light Weight | 5.7568 | −0.0060 | 5.8729 | 0.99992 | 
| SHM, Medium Weight | 5.4419 | −0.0010 | 6.5663 | 0.99995 | 
| SHM, Heavy Weight | 5.0419 | 0.0019 | 7.2049 | 0.99996 | 
| SHM, Hover | 5.6938 | −0.0040 | 6.0635 | 0.99993 | 
| SHM, Low Speed 10 m/s | 5.5568 | −0.0076 | 4.7900 | 0.99983 | 
| SHM, Low Speed 20 m/s | 4.4604 | 0.0015 | 3.5962 | 0.99980 | 
| HECM, Light Weight | 6.1369 | 0.0220 | 6.3362 | 0.99995 | 
| HECM, Medium Weight | 6.9804 | 0.0198 | 9.0345 | 0.99990 | 
| HECM, Heavy Weight | 8.4434 | −0.0108 | 14.4415 | 0.99992 | 
| HECM, Hover | 6.2270 | 0.0257 | 6.7484 | 0.99993 | 
| HECM, Low Speed 10 m/s | 5.9838 | 0.0142 | 5.2777 | 0.99996 | 
| HECM, Low Speed 20 m/s | 4.8308 | 0.0061 | 4.0359 | 0.99989 | 
| Disclaimer/Publisher’s Note: The statements, opinions and data contained in all publications are solely those of the individual author(s) and contributor(s) and not of MDPI and/or the editor(s). MDPI and/or the editor(s) disclaim responsibility for any injury to people or property resulting from any ideas, methods, instructions or products referred to in the content. | 
© 2023 by the authors. Licensee MDPI, Basel, Switzerland. This article is an open access article distributed under the terms and conditions of the Creative Commons Attribution (CC BY) license (https://creativecommons.org/licenses/by/4.0/).
Share and Cite
Wei, Y.; Chen, R.; Yuan, Y.; Wang, L. Influence of Engine Dynamic Characteristics on Helicopter Handling Quality in Hover and Low-Speed Forward Flight. Aerospace 2024, 11, 34. https://doi.org/10.3390/aerospace11010034
Wei Y, Chen R, Yuan Y, Wang L. Influence of Engine Dynamic Characteristics on Helicopter Handling Quality in Hover and Low-Speed Forward Flight. Aerospace. 2024; 11(1):34. https://doi.org/10.3390/aerospace11010034
Chicago/Turabian StyleWei, Yuan, Renliang Chen, Ye Yuan, and Luofeng Wang. 2024. "Influence of Engine Dynamic Characteristics on Helicopter Handling Quality in Hover and Low-Speed Forward Flight" Aerospace 11, no. 1: 34. https://doi.org/10.3390/aerospace11010034
APA StyleWei, Y., Chen, R., Yuan, Y., & Wang, L. (2024). Influence of Engine Dynamic Characteristics on Helicopter Handling Quality in Hover and Low-Speed Forward Flight. Aerospace, 11(1), 34. https://doi.org/10.3390/aerospace11010034
 
        


 
       