Passive Damping of Solar Array Vibrations Using Hyperelastic Shape Memory Alloy with Multilayered Viscous Lamina
Abstract
1. Introduction
2. Materials and Methods
2.1. Design Description of the High Damping Yoke
2.2. Vibration Suppression Test of the Solar Array
3. Results
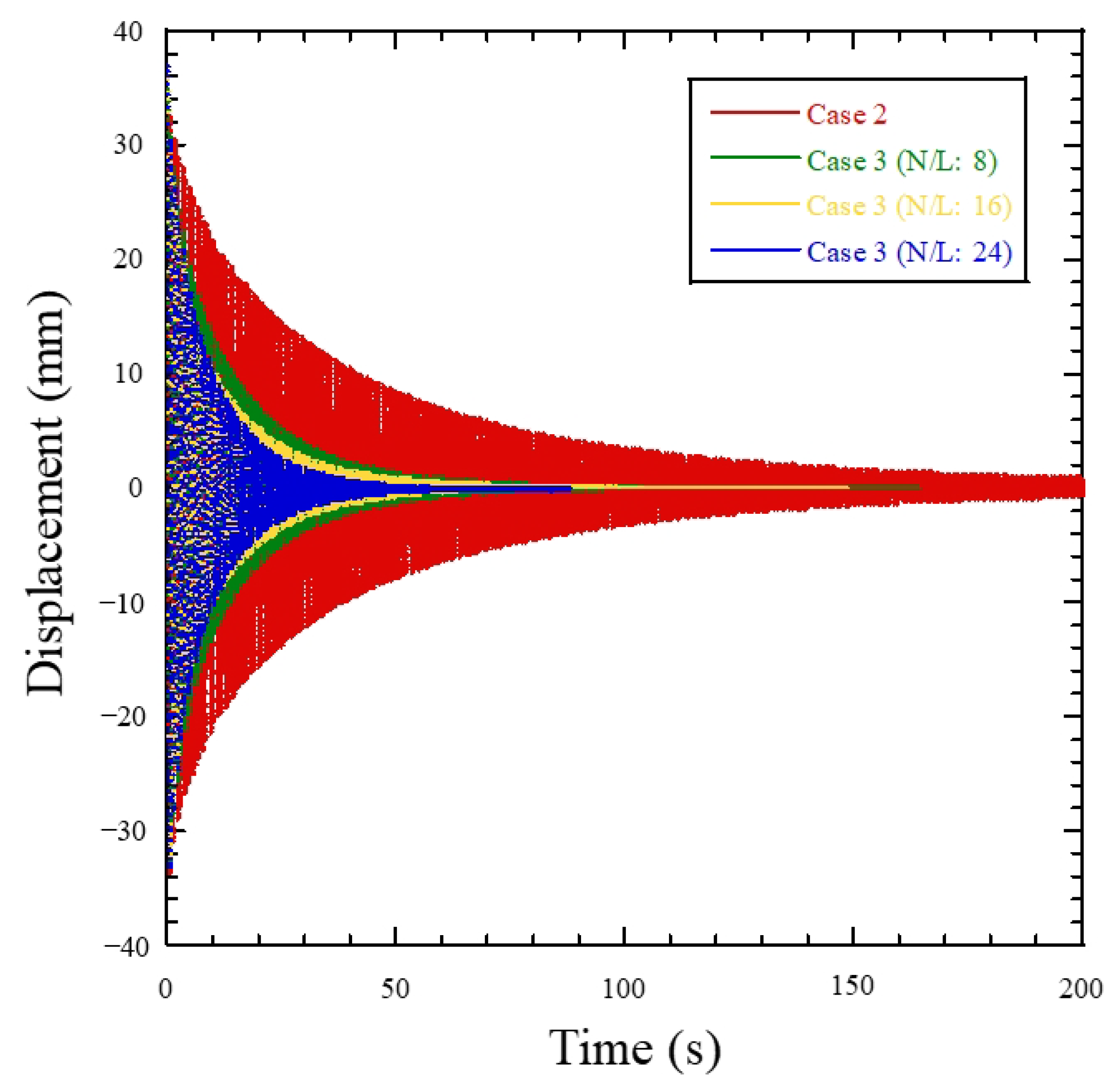
3.1. Free Vibration Test
3.2. Low Level Sine Sweep Test
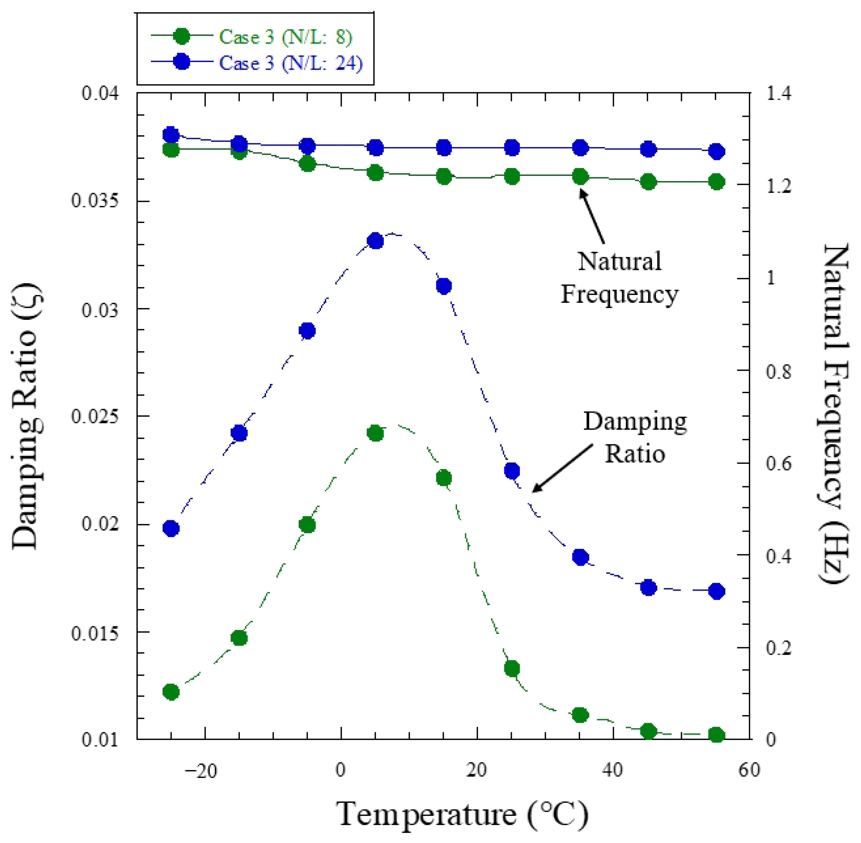
3.3. Thermal Test
4. Conclusions
Author Contributions
Funding
Data Availability Statement
Conflicts of Interest
References
- Koechel, S.; Martin, L. New Space: Impacts of Innovative Concepts in Satellite Development on the Space Industry. In Proceedings of the 69th International Astronautical Congress (IAC), Bremen, Germany, 1–5 October 2018. [Google Scholar]
- Kwon, S.C.; Son, J.H.; Song, S.C.; Park, J.H.; Koo, K.R.; Oh, H.U. Innovative mechanical design strategy for actualizing 80 kg-class X-band active SAR small satellite of S-STEP. Aerospace 2021, 8, 149. [Google Scholar] [CrossRef]
- Park, Y.H.; Park, J.H.; Park, S.W.; Kang, S.J.; Oh, H.U. Passive Vibration Suppression of Solar Array by Using Hyperelastic Shape Memory Alloy. In Proceedings of the 72nd International Astronautical Congress (IAC), Dubai, United Arab Emirates, 29 October 2021; p. 25. [Google Scholar]
- Kwak, M.K.; Heo, S. Active vibration control of smart grid structure by multiinput and multioutput positive position feedback controller. J. Sound Vib. 2007, 304, 230–245. [Google Scholar] [CrossRef]
- Rimašauskiene, R.; Jūrėnas, V.; Radzienski, M.; Rimašauskas, M.; Ostachowicz, W. Experimental analysis of active–passive vibration control on thin-walled composite beam. Compos. Struct. 2019, 223, 110975. [Google Scholar] [CrossRef]
- Zhang, T.; Sheng, C.; Hu, Q.; Li, M.; Guo, A.; Qi, R. Dynamic analysis and control application of vibration isolation system with magnetic suspension on satellites. Aerosp. Sci. Technol. 2018, 75, 99–114. [Google Scholar] [CrossRef]
- Li, D.; Xu, R. Autonomous decentralized intelligent vibration control for large split-blanket solar arrays. Sci. China Technol. Sci. 2013, 56, 703–712. [Google Scholar] [CrossRef]
- Kong, Y.; Huang, H. Design and experiment of a passive damping device for the multi-panel solar array. Adv. Mech. Eng. 2017, 9, 1687814016687965. [Google Scholar] [CrossRef]
- Anandakrishnan, S.M.; Connor, C.T.; Lee, S.; Shade, E.; Sills, J.; Maly, J.R.; Pendleton, S.C. Hubble Space Telescope Solar Array Damper for Improving Control System Stability. In Proceedings of the IEEE Aerospace Conference, Proceedings (Cat. No. 0TH8484), Big Sky, MT, USA, 25 March 2000; Volume 4, pp. 261–276. [Google Scholar]
- Otsuka, K.; Xu, Y.; Ren, X.B. Ti-Ni-based shape memory alloys as smart materials. Mater. Sci. Forum 2003, 426, 251–260. [Google Scholar] [CrossRef]
- Kwon, S.C.; Jeon, S.H.; Oh, H.U. Performance investigation of a novel pseudoelastic SMA mesh washer gear wheel with micro-jitter attenuation capability. Smart Mater. Struct. 2016, 25, 055004. [Google Scholar] [CrossRef]
- Kwon, S.C.; Jeon, Y.H.; Oh, H.U. Micro-jitter attenuation of spaceborne cooler by using a blade-type hyperelastic shape memory alloy passive isolator. Cryogenics 2017, 87, 35–48. [Google Scholar] [CrossRef]
- Park, Y.H.; Kwon, S.C.; Oh, H.U. High damping passive launch vibration isolation system using superelastic SMA with multilayered viscous lamina. Aerospace 2021, 8, 201. [Google Scholar] [CrossRef]
- Park, T.Y.; Shin, S.J.; Park, S.W.; Kang, S.J.; Oh, H.U. High-damping PCB implemented by multi-layered viscoelastic acrylic tapes for use of wedge lock applications. Eng. Fract. Mech. 2021, 241, 107370. [Google Scholar] [CrossRef]
- Park, T.Y.; Shin, S.J.; Oh, H.U. New version of high-damping PCB with multi-layered viscous lamina. Aerospace 2021, 8, 202. [Google Scholar] [CrossRef]
- Bhattarai, S.; Kim, H.R.; Oh, H.U. CubeSat’s deployable solar panel with viscoelastic multilayered stiffener for launch vibration attenuation. Int. J. Aerosp. Eng. 2020, 2020, 8820619. [Google Scholar] [CrossRef]
- Bhattarai, S.; Go, J.S.; Kim, H.R.; Oh, H.U. Development of a novel deployable solar panel and mechanism for 6U CubeSat of STEP Cube Lab-II. Aerospace 2021, 8, 64. [Google Scholar] [CrossRef]
- Pinto, A.M.G.; Campilho, R.D.S.G.; Mendes, I.R.; Baptista, A.P.M. Strap repairs using embedded patches: Numerical analysis and experimental results. J. Adhes. Sci. Technol. 2014, 28, 1530–1544. [Google Scholar] [CrossRef][Green Version]
- De Moura, M.F.S.F.; Moreira, R.D.F. Fatigue analysis of composite bonded repairs. J. Adhes. Sci. Technol. 2017, 31, 2164–2179. [Google Scholar] [CrossRef]
- 3M™ Adhesive Transfer Tape 966. Available online: https://www.3m.com/3M/en_US/company-us/all-3m-products/~/3M-Adhesive-Transfer-Tape-966/?N=5002385+3293241971&rt=rud (accessed on 7 April 2023).
- IPC-9701A; Performance Test Methods and Qualification Requirements for Surface Mount Solder Attachments. Association Connecting Electronics Industries (IPC): Bannockburn, IL, USA, 2006.
- Laser Sensors for Metals and Rough Surfaces. Available online: https://www.micro-epsilon.com/displacement-position-sensors/laser-sensor/LL-Laser-sensors/ (accessed on 7 April 2023).
- Inman, D.J. Engineering Vibration, 3rd ed.; Pearson Education: Upper Saddle, NJ, USA, 2008; pp. 43–48. [Google Scholar]
- Kwon, S.C.; Jo, M.S.; Ko, D.H.; Oh, H.U. Viscoelastic multilayered blade-type passive vibration isolation system for a spaceborne cryogenic cooler. Cryogenics 2020, 105, 102982. [Google Scholar] [CrossRef]
- Julian, M.L.; Simon, A.N.; Jonathan, E.C. Identification of backbone curves of nonlinear systems from resonance decay responses. J. Sound Vib. 2015, 348, 224–328. [Google Scholar]
- Papagiannopoulos, G.A.; Hatzigeorgiou, G.D. On the use of the half-power bandwidth method to estimate damping in building structures. Soil Dyn. Earthq. Eng. 2011, 31, 1075–1079. [Google Scholar] [CrossRef]









| Characteristic | Value | |
|---|---|---|
| Martensite Finish Temperature (Mf, °C) | −21 | |
| Martensite Start Temperature (Ms, °C) | −12 | |
| Austenite Start Temperature (As, °C) | −5 | |
| Austenite Finish Temperature (Af, °C) | 15 | |
| Young’s Modulus (GPa) | Martensite | 75 |
| Austenite | 80 | |
| Tensile Strength (MPa) | 1300 | |
| Elongation at Break (%) | 45 | |
| Density (g/cm3) | 6.45 | |
| Poisson’s Ratio (ρ) | 0.33 | |
| Item | Specification |
|---|---|
| Type | Double-Sided Tape |
| Material | Acrylic |
| Thickness (mm) | 0.06 |
| Allowable Temperature (°C, for long period) | −40 to 149 |
| Adhesion Strength (N/100 mm) | 58 (20 min Dwell) |
| 85 (72 h Dwell) | |
| 159 (Ultimate Bond) | |
| Outgassing (%, TML/CVCM) | 0.93/0.01 |
| Item | Specifications | ||||
|---|---|---|---|---|---|
| Case | 1 | 2 | 3 | ||
| Material | Aluminum | Hyperelastic SMA | Hyperelastic SMA, Viscoelastic Tape, FR4 | ||
| Dimension (mm) | 350 × 90 | ||||
| No. of Constraint Layers | 0 | 0 | 2 | 4 | 6 |
| Thickness (mm) | 1.1 | 1.5 | 2.1 | 2.7 | 3.3 |
| Mass (g) | 66 | 158 | 182 | 206 | 230 |
| Type of Yoke | 1st Mode | 2nd Mode |
|---|---|---|
| Case 2 | 0.003 | 0.007 |
| Case 3 with 8 Layers | 0.008 | 0.035 |
| Case 3 with 16 Layers | 0.009 | 0.058 |
| Case 3 with 24 Layers | 0.011 | 0.079 |
Disclaimer/Publisher’s Note: The statements, opinions and data contained in all publications are solely those of the individual author(s) and contributor(s) and not of MDPI and/or the editor(s). MDPI and/or the editor(s) disclaim responsibility for any injury to people or property resulting from any ideas, methods, instructions or products referred to in the content. |
© 2023 by the authors. Licensee MDPI, Basel, Switzerland. This article is an open access article distributed under the terms and conditions of the Creative Commons Attribution (CC BY) license (https://creativecommons.org/licenses/by/4.0/).
Share and Cite
Park, J.-H.; Park, S.-W.; Kim, J.-P.; Oh, H.-U. Passive Damping of Solar Array Vibrations Using Hyperelastic Shape Memory Alloy with Multilayered Viscous Lamina. Aerospace 2023, 10, 704. https://doi.org/10.3390/aerospace10080704
Park J-H, Park S-W, Kim J-P, Oh H-U. Passive Damping of Solar Array Vibrations Using Hyperelastic Shape Memory Alloy with Multilayered Viscous Lamina. Aerospace. 2023; 10(8):704. https://doi.org/10.3390/aerospace10080704
Chicago/Turabian StylePark, Jae-Hyeon, Sung-Woo Park, Jong-Pil Kim, and Hyun-Ung Oh. 2023. "Passive Damping of Solar Array Vibrations Using Hyperelastic Shape Memory Alloy with Multilayered Viscous Lamina" Aerospace 10, no. 8: 704. https://doi.org/10.3390/aerospace10080704
APA StylePark, J.-H., Park, S.-W., Kim, J.-P., & Oh, H.-U. (2023). Passive Damping of Solar Array Vibrations Using Hyperelastic Shape Memory Alloy with Multilayered Viscous Lamina. Aerospace, 10(8), 704. https://doi.org/10.3390/aerospace10080704

