Aerodynamic Analysis of an Orthogonal Octorotor UAV Considering Horizontal Wind Disturbance
Abstract
1. Introduction
2. Theoretical Model
2.1. Wind Effect on the Orthogonal Octorotor UAV
2.2. Force Analysis
3. Numerical Simulations
3.1. Simulation Setup
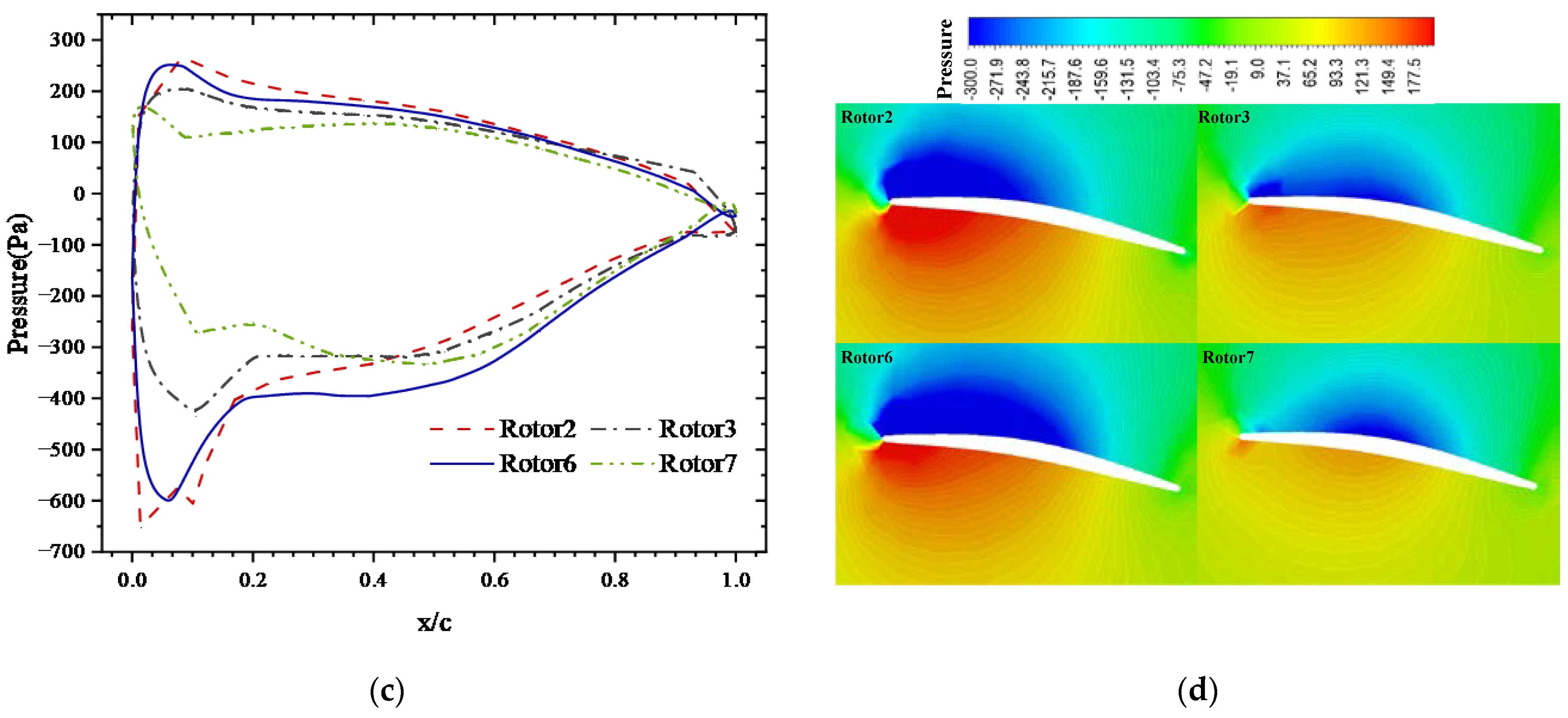
3.2. Simulation Results of the Orthogonal Octorotor UAV
4. Experimental Analysis
4.1. Experimental Setup
4.2. Experimental Results and Discussion
5. Conclusions
- The orthogonal octorotor UAV with the horizontal wind effect will obtain better aerodynamic performance for a lower rotor speed where the thrust is increased with stable power consumption, which means that the orthogonal octorotor UAV retains good wind resistance. Specifically, the thrust increases by 8.1% at 2.5 m/s and 8.8% at 4 m/s compared with no wind disturbance when the rotor speed is less than 1900 RPM. Also, simulation results showed that the airflow coupling between the rotor blades became extremely aggressive; thus, the power consumption increases significantly with the increasing thrust at higher rotor speed, and ultimately the aerodynamic performance decreases with the wind speed;
- The PL of the orthogonal octorotor UAV reached the maximum at 2.5 m/s, which indicated that the orthogonal octorotor UAV has the perfect wind resistance to operate in a wind domain where the wind effect became advantageous to offset the rotor interference. With the increasing wind speed, the downwash of the rotor will be shifted with the horizontal wind, which causes the rear rotor to be totally immersed in the wake of the front rotor and leads to extreme interference and decreased power loading;
- Compared with the traditional octorotor UAV and eight isolated rotors without rotor interference, the orthogonal octorotor UAV showed a better aerodynamic performance both in hovering without wind effect and better wind resistance with a high PL in the horizontal wind. Moreover, the orthogonal octorotor UAV operated in the horizontal wind is inclined to reduce the rotor speed to avoid large power increments. Further study will examine vertical wind’s effect on orthogonal octorotor UAVs and involve more field flight tests.
Author Contributions
Funding
Institutional Review Board Statement
Informed Consent Statement
Data Availability Statement
Acknowledgments
Conflicts of Interest
References
- Liu, Z.; Liu, X.; Chen, J.; Fang, C. Altitude control for variable load quadrotor via learning rate based robust sliding mode controller. IEEE Access 2019, 7, 9736–9744. [Google Scholar] [CrossRef]
- Atmaca, M.; Çetin, B.; Yılmaz, E. CFD analysis of unmanned aerial vehicles (UAV) moving in flocks. Acta Phys. Pol. A 2019, 135, 694–696. [Google Scholar] [CrossRef]
- Kim, J.; Gadsden, S.A.; Wilkerson, S.A. A Comprehensive Survey of Control Strategies for Autonomous Quadrotors. Can. J. Elect. Comput. E 2020, 43, 3–16. [Google Scholar] [CrossRef]
- Teng, H.; Ahmad, I.; Alamgir, M.S.M. 3D Optimal Surveillance Trajectory Planning for Multiple UAVs by Using Particle Swarm Optimization with Surveillance Area Priority. IEEE Access 2020, 18, 86316–86327. [Google Scholar] [CrossRef]
- Lei, Y.; Wang, H.; Ye, Y.; Huang, Y. Optimal analysis of rotor arrangement for a micro quadrotor aireraf. Chin. J. Comput. Mech. 2020, 37, 412–416. [Google Scholar]
- Yan, C.; Tu, L.; Wang, Y.; Yang, Y. Application of unmanned aerial vehicle in civil field in China. Flight Dyn. 2022, 40, 1–6. [Google Scholar]
- Russell, C.R.; Jung, J.; Willink, G.; Glasner, B. Wind Tunnel and Hover Performance Test Results for Multicopter UAS Vehicles. In American Helicopter Society (AHS) International Annual Forum and Technology Display; NASA: Washington, DC, USA, 2016. [Google Scholar]
- Amiri, M.; Kahrom, M.; Teymourtash, A.R. Aerodynamic Analysis of a Three-Bladed Pivoted Savonius Wind Turbine: Wind Tunnel Testing and Numerical Simulation. J. Appl. Fluid Mech. 2019, 12, 819–829. [Google Scholar] [CrossRef]
- Frankenberg, F.V.; Nokleby, S.B. Inclined Landing Testing of an Omni-Directional Unmanned Aerial Vehicle. Trans.-Can. Soc. Mech. Eng. 2017, 42, 61–70. [Google Scholar] [CrossRef]
- Gautam, D.; Ha, C. Control of a Quadrotor Using a Smart Self-Tuning Fuzzy PID Controller. Int. J. Adv. Robot. Syst. 2013, 10, 380. [Google Scholar] [CrossRef]
- Esakki, B.; Gokul Raj, P.; Yang, L.J.; Khurana, E.; Khute, S.; Vikram, P. Computational Fluid Dynamic Analysis of Amphibious Unmanned Aerial Vehicle; Shahid Chamran University of Ahvaz: Ahvaz, Iran, 2020. [Google Scholar]
- Lei, Y.; Ye, Y.; Chen, Z. Horizontal Wind Effect on the Aerodynamic Performance of Coaxial Tri-Rotor MAV. Appl. Sci. 2020, 10, 8612. [Google Scholar] [CrossRef]
- Hwang, J.Y.; Jung, M.K.; Kwon, O.J. Numerical Study of Aerodynamic Performance of a Multirotor Unmanned-Aerial-Vehicle Configuration. J. Aircr. 2014, 52, 839–846. [Google Scholar] [CrossRef]
- Chasapogiannis, P.; Prospathopoulos, J.M.; Voutsinas, S.G.; Chaviaropoulos, T.K. Analysis of the aerodynamic performance of the multi-rotor concept. J. Phys. Conf. Ser. 2014, 524, 012084. [Google Scholar] [CrossRef]
- Lei, Y.; Yang, W.J.; Wang, H.D. Aerodynamic Characteristics of a Micro Multi-Rotor Aircraft with 12 Rotors Considering the Horizontal Wind Disturbance. Appl. Sci. 2020, 10, 7387. [Google Scholar] [CrossRef]
- Hedayatpour, M.; Mehrandezh, M.; Janabi-Sharifi, F. Propeller Performance in Presence of Freestream: Applications in Modeling Multirotor UAVs. In Advances in Motion Sensing and Control for Robotic Applications: Selected Papers from the Symposium on Mechatronics, Robotics, and Control (SMRC’18)-CSME International Congress 2018, May 27–30, 2018 Toronto, Canada; Springer International Publishing: Berlin/Heidelberg, Germany, 2019. [Google Scholar]
- Luo, J.; Zhu, L.; Yan, G. Novel Quadrotor Forward-Flight Model Based on Wake Interference. AIAA J. 2015, 53, 3522–3533. [Google Scholar] [CrossRef]
- Guo, Y.; Jiang, B.; Zhang, Y. A Novel Robust Attitude Control for Quadrotor Aircraft Subject to Actuator Faults and Wind Gusts. IEEE/CAA J. Autom. Sin. 2018, 5, 292–300. [Google Scholar] [CrossRef]
- Ocokoljić, G.; Rašuo, B.; Kozić, M. Supporting system interference on aerodynamic characteristics of an aircraft model in a low-speed wind tunnel. Aerosp. Sci. Technol. 2017, 64, 133–146. [Google Scholar] [CrossRef]
- Ocokoljić, G.; Damljanović, D.; Vuković, Đ; Rašuo, B. Contemporary Frame of Measurement and Assessment of Wind-Tunnel Flow Quality in a Low-Speed Facility. FME Trans. 2018, 46, 429–442. [Google Scholar] [CrossRef]

















| Parameters | Value Range |
|---|---|
| Rotor diameter D (mm) | 400 |
| Number of blades | 2 |
| Material of blades | Carbon Fiber |
| Rotor speed (RPM) | 1500–2300 |
Disclaimer/Publisher’s Note: The statements, opinions and data contained in all publications are solely those of the individual author(s) and contributor(s) and not of MDPI and/or the editor(s). MDPI and/or the editor(s) disclaim responsibility for any injury to people or property resulting from any ideas, methods, instructions or products referred to in the content. |
© 2023 by the authors. Licensee MDPI, Basel, Switzerland. This article is an open access article distributed under the terms and conditions of the Creative Commons Attribution (CC BY) license (https://creativecommons.org/licenses/by/4.0/).
Share and Cite
Lei, Y.; Li, Y.; Wang, J. Aerodynamic Analysis of an Orthogonal Octorotor UAV Considering Horizontal Wind Disturbance. Aerospace 2023, 10, 525. https://doi.org/10.3390/aerospace10060525
Lei Y, Li Y, Wang J. Aerodynamic Analysis of an Orthogonal Octorotor UAV Considering Horizontal Wind Disturbance. Aerospace. 2023; 10(6):525. https://doi.org/10.3390/aerospace10060525
Chicago/Turabian StyleLei, Yao, Yazhou Li, and Jie Wang. 2023. "Aerodynamic Analysis of an Orthogonal Octorotor UAV Considering Horizontal Wind Disturbance" Aerospace 10, no. 6: 525. https://doi.org/10.3390/aerospace10060525
APA StyleLei, Y., Li, Y., & Wang, J. (2023). Aerodynamic Analysis of an Orthogonal Octorotor UAV Considering Horizontal Wind Disturbance. Aerospace, 10(6), 525. https://doi.org/10.3390/aerospace10060525

