A Numerical Study on the Flap Side-Edge Noise Reduction Using Passive Blowing Air Concept
Abstract
1. Introduction
2. Computational Methods and Setup
2.1. Computational Method
2.2. Flap Side-Edge Geometry
2.3. Computational Domain and Computational Mesh
2.4. Grid-Convergence Study
3. Computational Results and Analysis
3.1. Analysis of the Flow Field
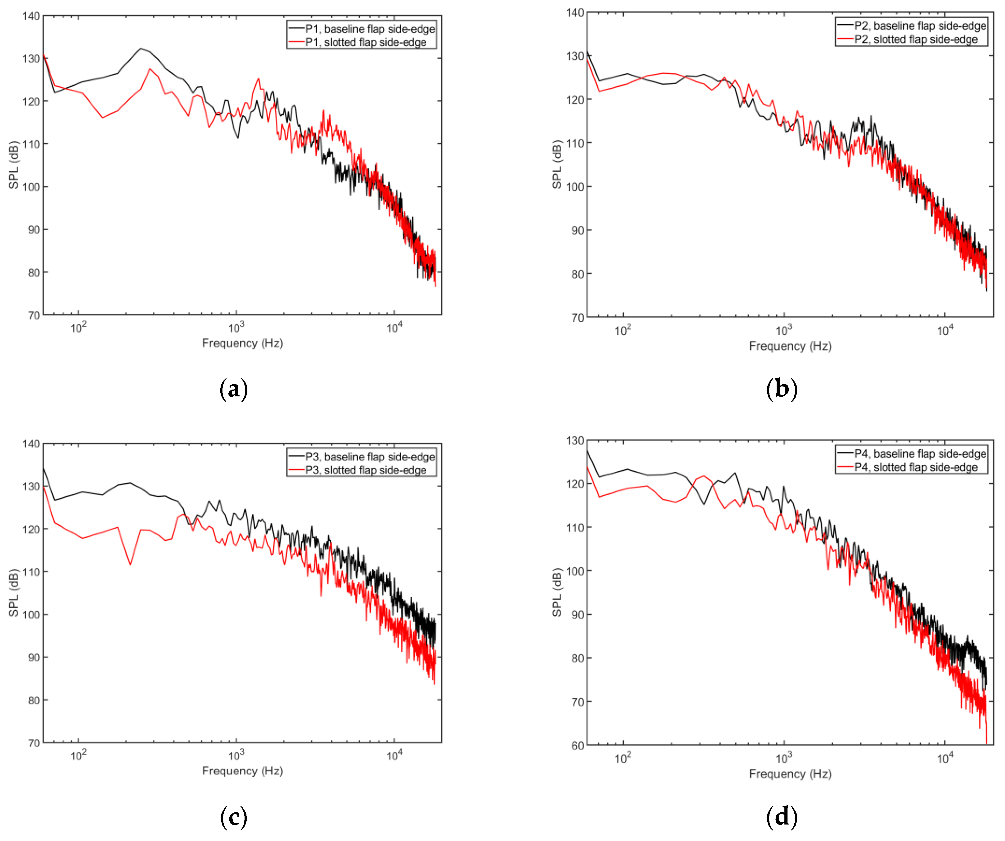
3.2. Farfield Noise Prediction
4. Conclusions
Author Contributions
Funding
Institutional Review Board Statement
Informed Consent Statement
Data Availability Statement
Acknowledgments
Conflicts of Interest
References
- Dobrzynski, W. Almost 40 Years of Airframe Noise Research: What Did We Achieve? J. Aircr. 2010, 47, 353–367. [Google Scholar] [CrossRef]
- Nicolas, M. Airframe Noise Modeling and Prediction. CEAS Aeronaut. J. 2019, 10, 11–29. [Google Scholar] [CrossRef]
- Fink, M.R.; Schlinker, R.H. Airframe Noise Component Interaction Studies. J. Aircr. 2012, 17, 99–105. [Google Scholar] [CrossRef]
- Guo, Y.P.; Joshi, M.C. Noise Characteristics of Aircraft High Lift Systems. AIAA J. 2003, 41, 1247–1256. [Google Scholar] [CrossRef]
- Block, P.J.W. Assessment of Airframe Noise. J. Aircr. 1979, 16, 834–841. [Google Scholar] [CrossRef]
- Guo, Y.P. Prediction of Flap Side Edge Noise. In Proceedings of the 5th AIAA/CEAS Aeroacoustics Conference and Exhibit, Bellevue, WA, USA, 10–12 May 1999. [Google Scholar] [CrossRef]
- Mathias, D.L.; Roth, K.R.; Ross, J.C.; Rogers, S.E.; Cummings, R.M. Navier-Stokers Analysis of the Flow about a Flap Edge. J. Aircr. 1998, 35, 833–838. [Google Scholar] [CrossRef]
- Meadows, K.R.; Brooks, T.F.; Humphery, W.M.; Hunter, W.H.; Gerhold, C.H. Aeroacoustic Measurements of a Wing Flap Configuration. In Proceedings of the 3rd AIAA/CEAS Aeroacoustics Conference, Atlanta, GA, USA, 12–14 May 1997. [Google Scholar] [CrossRef]
- Radeztsky, R.H.; Singer, B.A.; Khorrami, M.R. Detailed Measurements of a Flap Side-Edge Flow Field. In Proceedings of the 36th AIAA Aerospace Sciences Meeting and Exhibit, Reno, NV, USA, 12–15 January 1998. [Google Scholar] [CrossRef]
- Khorrami, M.R.; Singer, B.A.; Radeztsky, R.H. Analysis of Flap Side-Edge Flow Field for Identification and Modeling of Possible Noise Sources. SAE Trans. 1997, 106, 971917. [Google Scholar] [CrossRef]
- Khorrami, M.R.; Singer, B.A.; Radeztsky, R.H. Reynolds-Averaged Navier-Stokes Computations of a Flap-Side-Edge Flowfield. AIAA J. 1999, 37, 14–22. [Google Scholar] [CrossRef]
- Alexander, K.; Simone, M.; Karl-Stephane, R.; Roland, E. Flap Side-Edge Noise Simulation Using RANS-Based Source Modeling. In Proceedings of the AIAA Aviation 2020 Forum, virtual event, 15–19 June 2020. [Google Scholar] [CrossRef]
- Karl-Stephane, R. Flow Field Measurement to Characterize Flap Side-Edge Noise Generation. In Proceedings of the 19th AIAA/CEAS Aeroacoustics Conference, Berlin, Germany, 27–29 May 2013. [Google Scholar] [CrossRef]
- Khorrami, M.R.; Singer, B.A. Stability Analysis for Noise-Source Modeling of a Part-Span Flap. AIAA J. 1999, 37, 1206–1212. [Google Scholar] [CrossRef]
- Choudhari, M.M.; Lockard, D.P.; Macaraeg, M.G.; Singer, B.A.; Streett, C.L.; Neubert, G.Y.; Stoker, R.W.; Underbrink, J.R.; Berkman, M.E.; Khorrami, M.R.; et al. Aeroacoustic Experiments in the Langley Low-Turbulence Pressure Tunnel; NASA/TM-2002-211432; NASA: Hampton, VA, USA, 2002.
- Guo, Y.P. Aircraft Flap Side Edge Noise Modeling and Prediction. In Proceedings of the 17th AIAA/CEAS Aeroacoustics Conference (32nd AIAA Aeroacoustics Conference), Portland, OR, USA, 5–8 June 2011. [Google Scholar] [CrossRef]
- Bai, B.H.; Lin, D.K.; Li, X.D. Identification of Flap Side-Edge Two-Source Mechanism based on Phased Arrays. AIAA J. 2021, 60, 249–260. [Google Scholar] [CrossRef]
- Ura, H.; Yokokawa, Y.; Imamura, T.; Ito, T.; Yamamoto, K. Investigation of Airframe Noise from High Lift Configuration Model. In Proceedings of the 46th AIAA Aerospace Sciences Meeting and Exhibit, Reno, NV, USA, 7–10 January 2008. [Google Scholar] [CrossRef]
- Guo, Y.P. On Noise Reduction by Flap Side Edge Fences. J. Sound Vib. 2004, 277, 369–390. [Google Scholar] [CrossRef]
- Ross, J.C.; Storms, B.L.; Kumagai, H. Aircraft Flyover Noise Reduction Using Lower-Surface Flap-Tip Fences; NASA CDTM-21006; NASA: Hampton, VA, USA, 1995.
- Storms, B.L.; Takahashi, T.T.; Horne, W.C.; Ross, J.C.; Dougherty, R.P.; Underbrink, J.R. Flap-Tip Treatment for the Reduction of Lift-Generated Noise; NASA CDTM-21006; NASA: Hampton, VA, USA, 1996.
- Streett, C.; Casper, J.; Lockard, D.; Khorrami, M.; Stoker, R.; Elkoby, R.; Wenneman, W.; Underbrink, J. Aerodynamic Noise Reduction for High-Lift Devices on a Swept Wing Model. In Proceedings of the 44th AIAA Aerospace Sciences Meeting and Exhibit, Reno, NV, USA, 9–12 January 2006. [Google Scholar] [CrossRef]
- Storms, B.; Hayes, J.; Jaeger, S.; Soderman, P. Aeroacoustics Study of Flap-Tip Noise Reduction Using Continuous Moldline Technology. In Proceedings of the 6th Aeroacoustics Conference and Exhibit, Lahaina, HI, USA, 12–14 June 2000. [Google Scholar] [CrossRef]
- Hutcheson, F.V.; Brooks, T.F.; Humphreys, W.M., Jr. Noise Radiation from a Continuous Moldline Link Flap Configuration. In Proceedings of the 14th AIAA/CEAS Aeroacoustics Conference (29th AIAA Aeroacoustics Conference), Vancouver, BC, Canada, 5–7 May 2008. [Google Scholar] [CrossRef]
- Revell, J.D.; Kuntz, H.L.; Balena, F.J.; Horne, W.C.; Storms, B.; Dougherty, R.; Kuntz, H.; Balena, F.; Horne, C.; Storms, B.; et al. Trailing-Edge Flap Noise Reduction by Porous Acoustic Treatment. In Proceedings of the 3rd AIAA/CEAS Aeroacoustics Conference, Atlanta, GA, USA, 12–14 May 1997. [Google Scholar] [CrossRef]
- Choudhari, M.; Khorrami, M.R. Computational Study of Porous Treatment for Altering Flap Side-Edge Flow Field. In Proceedings of the 9th AIAA/CEAS Aeroacoustics Conference and Exhibit, Hilton Head, SC, USA, 12–14 May 2003. [Google Scholar] [CrossRef]
- Li, Y.; Wang, X.N.; Zhang, D.J. Control Strategies for Aircraft Airframe Noise Reduction. Chin. J. Aeronaut. 2013, 26, 249–260. [Google Scholar] [CrossRef]
- Koop, L.; Ehrenfried, K.; Dillmann, A.; Michel, U. Reduction of Flap Side Edge Noise by Active Flow Control. In Proceedings of the 8th AIAA/CEAS Aeroacoustics Conference & Exhibit, Breckenridge, CO, USA, 17–19 June 2002. [Google Scholar] [CrossRef]
- Christopher, T.; Leandro, R.; Damiano, C.; Daniele, R.; Francesco, A. A Numerical Study on Aircraft Noise Mitigation Using Porous Stator Concepts. Aerospace 2022, 9, 70. [Google Scholar]
- Casalino, D.; Hazir, A.; Mann, A. Turbofan Broadband Noise Prediction using the Lattice Boltzmann Method. AIAA J. 2018, 56, 609–628. [Google Scholar] [CrossRef]
- Casalino, D.; Avallone, F.; Gonzalez-Martino, I.; Ragni, D. Aeroacoustic Study of a Wavy Stator Leading Edge in a Realistic Fan/OGV Stage. J. Sound Vib. 2019, 442, 138–154. [Google Scholar] [CrossRef]
- Patricio, A.R.; Mehdi, R.K.; Benedikt, K.; Ehab, F. Multiplanar Synthetic Arrays and Their Application to Full-Scale Landing Gear Noise Source Identification. In Proceedings of the AIAA Aviation 2021 Forum, virtual event, 2–6 August 2021. [Google Scholar] [CrossRef]
- Ribeiro, A.F.P.; Murayama, M.; Ito, Y.; Yamamoto, K.; Hirai, T. Effect of Slat Tracks and Inborad Slat Tip Geometry on Airframe Noise. In Proceedings of the 28th AIAA/CEAS Aeroacoustics 2022 Conference, Southampton, UK, 14–17 June 2022. [Google Scholar] [CrossRef]
- Murayama, M.; Yokokawa, Y.; Yamamoto, K.; Ura, H.; Imamura, T.; Hirai, T. Numerical Investigation on Change of Airframe Noise by Flap Side-edge Shape. In Proceedings of the 19th AIAA/CEAS Aeroacoustics Conference, Berlin, Germany, 27–29 May 2013. [Google Scholar] [CrossRef]
- Ffowcs-Williams, J.; Hawkings, D.L. Sound Generation by Turbulence and Surfaces in Arbitrary Motion. Phil. Trans. R. Soc. Lond. A. 1969, 264, 321–342. [Google Scholar]
- Farassat, F.; Succi, G.P. A Review of Propeller Discrete Frequency Noise Prediction Technology with Emphasis on Two Current Methods for Time Domain Calculations. J. Sound Vib. 1980, 71, 399–419. [Google Scholar] [CrossRef]
- Casalino, D. An Advanced Time Approach for Acoustic Analogy Predictions. J. Sound Vib. 2003, 261, 583–612. [Google Scholar] [CrossRef]

















| Grid Type | Resolution (Voxels/c) | Voxel Count (Millions) |
|---|---|---|
| Coarse | 971 | 10.93 |
| Medium | 1360 | 30.10 |
| Fine | 1923 | 87.46 |
| Aerodynamic Performance | Baseline Flap Side-Edge | Slotted Flap Side-Edge |
|---|---|---|
| Lift coefficient | 1.0571 | 1.0014 |
| Drag coefficient | 0.8646 | 0.8248 |
| Lift-to-drag ratio | 1.2227 | 1.2140 |
Disclaimer/Publisher’s Note: The statements, opinions and data contained in all publications are solely those of the individual author(s) and contributor(s) and not of MDPI and/or the editor(s). MDPI and/or the editor(s) disclaim responsibility for any injury to people or property resulting from any ideas, methods, instructions or products referred to in the content. |
© 2023 by the authors. Licensee MDPI, Basel, Switzerland. This article is an open access article distributed under the terms and conditions of the Creative Commons Attribution (CC BY) license (https://creativecommons.org/licenses/by/4.0/).
Share and Cite
Zhang, Y.; Bai, B.; Lin, D.; Liu, P. A Numerical Study on the Flap Side-Edge Noise Reduction Using Passive Blowing Air Concept. Aerospace 2023, 10, 360. https://doi.org/10.3390/aerospace10040360
Zhang Y, Bai B, Lin D, Liu P. A Numerical Study on the Flap Side-Edge Noise Reduction Using Passive Blowing Air Concept. Aerospace. 2023; 10(4):360. https://doi.org/10.3390/aerospace10040360
Chicago/Turabian StyleZhang, Yingzhe, Baohong Bai, Dakai Lin, and Peiqing Liu. 2023. "A Numerical Study on the Flap Side-Edge Noise Reduction Using Passive Blowing Air Concept" Aerospace 10, no. 4: 360. https://doi.org/10.3390/aerospace10040360
APA StyleZhang, Y., Bai, B., Lin, D., & Liu, P. (2023). A Numerical Study on the Flap Side-Edge Noise Reduction Using Passive Blowing Air Concept. Aerospace, 10(4), 360. https://doi.org/10.3390/aerospace10040360
