You are currently viewing a new version of our website. To view the old version click .
Aerospace
  • Article
  • Open Access

25 February 2023

Atomization Characteristics of Gelled Fuels Containing Different Concentrations of Metal Particles

,
,
,
and
1
School of Astronautics, Beihang University, Beijing 100191, China
2
Shenyuan Honors College, Beihang University, Beijing 100191, China
3
Xi’an Aerospace Composites Research Institute, Xi’an 710025, China
*
Author to whom correspondence should be addressed.
This article belongs to the Special Issue Heat Transfer, Combustion and Flow Dynamics in Propulsion Systems

Abstract

Gelled fuels have promising applications in the aerospace field. Higher density and calorific value can be achieved with the addition of energetic metal particles to gelled fuels, which can also effectively improve the combustion efficiency of the fuel and thus enhance the engine performance. However, the addition of metal particles can also make the rheological properties of gelled fuels more complex, which introduces difficulties regarding their atomization and combustion. In order to investigate the effect of the concentration of metal particles on the rheological and atomization characteristics of gelled fuels, the gelled fuel was prepared with three metal particle concentrations of 0%, 15%, and 30%. In this paper, the rheological properties of the gelled fuel were tested by a rotational rheometer, and the atomization properties (spray cone angle, Sauter mean diameter (SMD), and droplet size distribution) of the gelled fuel were measured experimentally. In this paper, three nozzle structures were designed, including a DC nozzle, a swirl nozzle, and a self-excited oscillation nozzle. The effects of different nozzle structures and metal particle concentrations on the atomization of gelled fuels are compared and discussed.

1. Introduction

Gelled fuels can behave as solids at rest and can also flow under external shear like conventional liquid fuels, which makes them promising with regard to potential aerospace applications [1,2,3,4]. However, gelled fuels are typically non-Newtonian fluids, and both their viscosity and elasticity significantly affect atomization performance. A study by Padwal and Mishra [5] showed that even if the apparent viscosities of two gelled fuels are equal, the difference in their elasticity results in a large difference between their respective Sauter mean diameters (SMD, D32). The atomization problem remains one of the key issues for the application of gelled fuels.
The atomization mechanism indicates that the increase in fuel viscosity increases the viscous dissipation during the atomization process and inhibits destabilization of the jet surface, which, in turn, hinders the fragmentation and atomization of the fuel. The shear thinning property means that the viscosity of gelled fuel decreases with the increase in external shear stress. The atomization effect can be improved by increasing the shear stress on the fuel inside the nozzle to reduce its viscosity. The experimental gel engine developed by Rahimi and Natan [6] used a nozzle structure with conical channels. They initially calculated the velocity and viscosity distribution of the gelled fuel in the nozzle, and the results showed that the average apparent viscosity of the fuel decreased significantly at the nozzle exit, and that increasing the channel convergence angle could achieve better spray quality. Madlener et al. [7] experimentally investigated the effect of the convergence angle on the fuel flow and spray behavior. However, the improvement of atomization by increasing the convergence angle was also limited. The results of Rahimi and Natan’s experiment [8] showed that, at the same fuel mass flow rate, the mean diameter of droplets produced by gelled fuel atomization at cone angles of 30° and 2° appeared to be the same.
Yang et al. [9] investigated the atomization characteristics of gel simulating fluids using swirl nozzles. They found that it is more difficult for gelled fuel to form a liquid film compared to a Newtonian fluid. Under the same pressure conditions, the gel simulating fluid was ejected as a nearly cylindrical jet, while the aqueous solution was able to form a stable conical liquid film. The breakup length of the gel simulant gradually decreased as the injection pressure gradually increased, which is consistent with the law of Newtonian fluids. However, for gelled fuels, even at higher injection pressure, there are still a large number of unbroken liquid filaments in the spray field, and fine droplets cannot be obtained.
The addition of energetic solid particles, such as aluminum, boron, and magnesium, to gelled fuels is an important means of improving the energy characteristics of the fuel [10]. The volumetric calorific value of these energetic solid particles is significantly higher than that of conventional liquid hydrocarbon fuels, and thus gelled fuels with additional energetic solid particles have a higher density and volumetric calorific value [11]. However, the introduction of energetic solid particles also makes the rheological properties of the fuel more complex, which makes the atomization of gelled fuels more difficult than that of conventional fuels. Kim et al. [12] investigated the effect of metal particle concentration and average particle size on the atomization performance of slurry fuels using a swirl nozzle. The research results showed that, with the increase in metal particle concentration, the thickness of the film gradually increased, the instability of the liquid film was suppressed, and the position of the liquid filament and droplet generation in the spray field gradually moved downstream. Furthermore, the breakup length of the liquid film gradually decreases with the increase in the average diameter of the particles, which is due to the change of the breakup mechanism of the liquid film caused by the increase in the particle diameter [12]. Additionally, the authors point out that the spray cone angle of the gelled fuel is determined by the fuel viscosity, and the increase in both particle concentration and average diameter increases the fuel viscosity, which, in turn, affects the spray cone angle of the fuel. Kampen et al. [13] investigated the effect of aluminum particle concentration on the atomization characteristics of gelled fuels in detail. Their results showed that gelled fuels with high particle concentration (40%) could be atomized by impinging nozzles, and the form of fuel atomization was related to the concentration of aluminum particles and Reynolds number. Baek et al. [14] measured the atomized droplet size of water and C934 Carbopol gels with/without nanoparticles using an image processing method. It was noted that the addition of nanoparticles made it possible to reduce the strength of the gelled fuel and make its breakup length much smaller than that of the pure gel.
Due to the complex characteristics of the gelled fuel containing metal particles, fuel atomization by conventional atomization means is not satisfactory [15,16,17,18]. Jia et al. [19] proposed a self-excited oscillation nozzle for nanoparticle-containing slurry fuels and conducted a detailed experimental study on the effects of different self-excited oscillation nozzle structures. The results show that the self-excited oscillation nozzle has a smaller discharge coefficient, better spray quality, and a more uniform droplet size distribution compared to the conventional DC nozzle. Additionally, the authors point out that the self-excited oscillation nozzle is more stable and reliable than the conventional DC nozzle, due to the strong internal turbulence. Li et al. [20] proposed an improved single-phase atomization nozzle based on the rheological properties of gelled fuels. It was shown that the new nozzle can effectively reduce the SMD of gelled fuel containing solid particles by introducing a cone-like structure into the nozzle.
The aim of this paper is to investigate the effect of the concentration of metal particles on the rheological and atomization properties of gelled fuels. This paper is structured as follows: Section 2 introduces the preparation of gelled fuels and describes the effect of metal particle concentration on their rheological properties. Section 3 describes the experimental system and method, in which three nozzle structures are designed, including a DC nozzle, a swirl nozzle, and a self-excited oscillation nozzle. Section 4 compares the atomization characteristics of different nozzles and discusses the effect of metal particle concentration on fuel atomization characteristics. Section 5 summarizes the research results of this paper.

2. Gelled Fuel Preparation and Their Rheological Properties

For this paper, the effect of different aluminum nanoparticle concentrations on the rheological properties of gelled fuel was investigated, using JP-10 as the base liquid fuel. The metal particles were selected as Al nanoparticles. The preparation process of Al/JP-10 gelled fuel mainly involves: the preparation of aluminum nanoparticles, the preparation of a small molecule gelling agent and the preparation of gelled fuel. In the experiments, a small molecule gelling agent and nanoparticles were added into the JP-10 solution separately, and the gelled fuel was obtained with mechanical stirring and standing processes. The preparation process is detailed in a study by Cao et al. [21]. Three concentrations of AL/JP-10 gelled fuel were selected for this paper: 0%, 15%, and 30%. The three solutions were named GF-0, GF-15, and GF-30, respectively, in accordance with their concentration of aluminum nanoparticles. The density of the three gelled fuels was 0.935 g/mL, 1.0582 g/mL, and 1.1758 g/mL, respectively.
The rheological curves of different gelled fuels, i.e., apparent viscosity versus shear rate, were measured for this paper using an Anton Paar rotary rheometer (MCR92). The measurement temperature was set at 25 °C. The shear rate was taken in the range of 0.1–1000 s−1, and the sampling time of the experimental data was varied logarithmically. The rheometer is a tapered plate test system, which is suitable for measuring samples with high viscosity, and only very small solid particles. Gelled fuel has very complex rheological properties, including yield stress and thixotropy. Therefore, under different tests, its rheological curve may behave differently, but its overall law is unchanged.
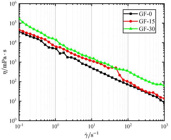
Figure 1 shows the rheological curves of gelled fuels containing different concentrations of Al nanoparticles. The gelled fuel as a whole shows a shear thinning characteristic, i.e., the apparent viscosity of the gelled fuel gradually decreased with the increasing shear rate. This is because the external shear can disturb or even disrupt the mesh structure of the gel, which can release the liquid fuel trapped therein and thus reduce the apparent viscosity of the gelled fuel [21]. Furthermore, the addition of aluminum nanoparticles did not change the shear thinning characteristics of the gelled fuels. Generally, gelled fuels undergo different levels of shear action during the process of preparation and use, and it is generally believed that the typical shear rate of gelled fuel during atomization is larger than 1000 s−1 [1]. It can also be seen that gelled fuels retain their shear thinning properties at high shear rates, and their viscosity is still higher than that of conventional Newtonian fluids. The apparent viscosity of three gelled fuels at a high shear rate of 1000 s−1 is 8.376, 13.841, and 62.384 mPa s, which indicates that the viscosity of gelled fuel is increased by the addition of Al nanoparticles. To describe the rheological properties of gelled fuels, the power-law flow model was used to fit the experimental data. The power-law model is:
η = K γ ˙ n 1
where K is the consistency coefficient and n is the power-law index. Table 1 shows the consistency coefficient and power-law index of gelled fuels containing different concentrations of nanoparticles. In general, a higher consistency coefficient indicates a more viscous fuel, while a higher power law index indicates a nearly Newtonian behavior. When n is equal to 1, the fuel is a typical Newtonian liquid. It can be seen that both the consistency coefficient and the power-law index increased with the concentrations of nanoparticles, which means that the addition of nanoparticles makes the gelled fuels more viscous and less shear thinning. This is also in agreement with the results of Cao et al. [21] and Madlener et al. [22]. Additionally, some local irregularities exist in the flow curve, particularly for GF−15 at a shear rate between 40 and 50 s−1. This is caused by relative displacement of particles, which may occur during shearing because of the difference in density between liquid fuel and solid particles. This results in the agglomeration of small particles or the disintegration of large particle clusters. Therefore, the flow curve becomes not smooth, creating some local irregularities.
Figure 1. Rheological curves of gelled fuels containing different concentrations of Al nanoparticles.
Table 1. The consistency coefficient and power-law index of gelled fuels containing different concentrations of nanoparticles.

3. Experimental Setup

Figure 2 shows the experimental system used in this paper. The system consists of a fuel supply unit, an injector, measuring devices, and piping. The fuel supply unit contains an electrical motor, fuel tank, and piston rod. In the experiments, the motor drove the piston in a linear motion to supply the gelled fuel in the storage tank to the atomization injector.
Figure 2. Experimental setup.
In order to investigate the atomization characteristics of different gelled fuels, three kinds of atomizers were designed for this paper: a DC nozzle, a swirl nozzle, and a self-excited oscillation nozzle. The DC nozzle and swirl nozzle are traditional atomizers, and they have their own advantages and disadvantages. The structure of the DC nozzle is a simple one, which is widely used in the combustion chamber of liquid rocket engines. The fuel behaves as a continuous liquid jet after ejecting from the nozzle outlet, which usually has a long penetration distance. However, the spray cone angle of the DC nozzle is typically small, and the atomization performance of the DC nozzle is generally poor. A swirl nozzle can have a better spray performance, with a larger spray cone angle, smaller droplet diameter, and more uniform droplet distribution. The disadvantage of the swirl nozzle is that the penetration depth is short, which brings the fuel mixing and combustion zone closer to the injection panel. The structure of the DC nozzle and the swirl nozzle used in this paper is shown in Figure 3. The outlet diameters of the DC nozzle and swirl nozzle are 0.42 mm and 0.46 mm, respectively. The swirl nozzle contains a cyclone, which has two 1 × 1 mm cyclonic flow grooves.
Figure 3. Structure of the DC nozzle and swirl nozzle.
The self-excited oscillation nozzle is an improved single-phase atomization nozzle, which introduced a resonant chamber in the nozzle. The resonant chamber generates self-excited oscillations at a specific frequency to excite the destabilization of the jet, which could enhance the atomization of liquid fuel. Jia et al. [19] showed that self-excited oscillation nozzles are ideal atomizers for nanoparticle suspensions, while, in this paper, we tested the atomization performance of the self-excited nozzle when using the gelled fuels containing nanoparticles. This nozzle has four key parameters: oscillation chamber inlet diameter d1, resonant chamber diameter D, resonant chamber length L, and nozzle outlet diameter d2. The design process of the self-excitation nozzle mainly involved [19]:
(1)
Calculating the unstable frequency interval of the cylindrical jet based on the physical parameters of the fuel and linear instability theory.
(2)
Designing the resonant chamber size, and calculating the self-excited oscillation frequency of the resonant chamber according to the following equation [23]:
f = ω 2 π = α d 0 1 + 0.64 ( d 2 / d 1 ) 4 2 π D L l 0
where α is the wave velocity, d0 is the diameter of pipe before the nozzle, and l0 is the length of pipe before the nozzle.
(3)
Comparing whether the oscillation frequency of the resonant chamber is in the unstable frequency interval of the liquid jet. If not, redesigning the size of the resonant chamber.
Based on the study by Jia et al. [19], the key structure parameters of the self-excited oscillation nozzle are d1 = 0.38 mm, D = 1.2 mm, L = 2 mm, and d2 = 0.44 mm. The structure of the self-excited oscillation nozzle is shown in Figure 4.
Figure 4. Structure of the self-excited oscillation nozzle.
In the experiments, the spray images of the gelled fuels were captured by a FASTCAM SA-Z high-speed camera from Photron, Japan, with a resolution of 1024 × 1024 pixels and a maximum frame rate of 200 kfps. The frame rate was set to 4000 fps in the experiments. SMD, spray field particle size distribution, and other atomization data were measured by a laser particle size analyzer from the Malvern company, with a particle size measurement range of 0.1 μm~1000 μm. The sampling rate of the particle size analyzer was 10 kHz. In the experiment, the flow rate of the gelled fuel was obtained indirectly through the displacement signal of the piston in the fuel tank, and the injection pressure of the fuel was obtained through a pressure sensor. More details of the experimental setup can be found in the study by Li et al. [20].

4. Results and Discussion

4.1. Atomization Characteristics of Different Gelled Fuels Using DC Nozzles

We tested the atomization performance of DC nozzles for different gelled fuels at the same volume flow rate. In the experiments, the volume flow rate of gelled fuels was controlled by changing the speed of the piston in the fuel tank, which is proportional to the electrical motor speed. The set volume flow rate is 7 mL/s, and the deviation of the actual flow rate from the set flow rate does not exceed 5%. Figure 5 shows spray images of different gelled fuels using DC nozzles at the same liquid volume flow rate. As can be seen in Figure 5, the atomization characteristics of the DC nozzle is similar for different types of gelled fuels, and a continuous cylindrical jet is formed when the gelled fuel is injected from the DC nozzle. Due to turbulence inside the liquid jet and the shearing effect at the gas-liquid interface, the droplets are stripped from the jet surface. However, the breakup length of the liquid jet produced by the DC nozzle is large, and large liquid clusters and filaments still exist downstream of the spray field. The large sized droplets are difficult to evaporate and burn quickly, which is harmful to engine performance. The spray angle of GF-0, GF-15, and GF-30 is 5.862°, 5.791°, and 5.574°, respectively. Table 2 shows the injection pressure and the mean droplet diameters for different gelled fuels. It is notable that the injection pressure of the fuel increases with the increase in solid particle content, while the SMD first decreases and then increases with the increase in solid particle content. This can be explained in that the apparent viscosity of GF-0 and GF-15 is approximately equal at a high shear rate, while the injection pressure of GF-15 is higher and the velocity of the liquid jet is large, so the jet breaks up more fully and therefore the SMD is smaller. The viscosity of GF-30 is much larger than that of GF-0 and GF-15, and has a greater effect on the liquid jet break-up, so the SMD of GF-30 is larger than that of the other two gelled fuels. In order to characterize the microscopic characteristics of the spray field, it is not sufficient to use the Sauter mean diameter D32 alone. The values of Dv50 and Dv90 are also listed in Table 2. Dv50 is the particle diameter corresponding to 50% of the volume distribution, Dv90 is the particle diameter corresponding to 90% of the volume distribution. As can be seen in the table, Dv50 is around 300 μm, which means that 50% of the droplets in the spray field are larger than 300 μm. Dv90 of the three gelled fuels are all above 600 μm, larger than the diameter of the DC nozzle exit 400 μm.
Figure 5. Spray images of different gelled fuels using DC nozzles.
Table 2. The injection pressure and the mean droplet diameters of the DC nozzle for different gelled fuels.
Figure 6 shows the droplet size distribution for different fuel types when using DC nozzles. The bar graph indicates the volume frequency of droplets whose size lie within a specific range. The solid line indicates the cumulative volume of droplets whose size is less than a specific value. As can be seen in Figure 6, the spray field of the DC nozzle has a higher percentage of large diameter droplets, and the largest volume frequency droplet has a diameter of approximately 500 μm. The droplet size distribution of GF-15 is a bimodal distribution, as predicted and seen in the spray images. In the spray field of the DC nozzle, there are both large liquid filaments and much smaller droplets which peeled off from the liquid jet. The number of these two sizes of droplets are similar to each other, so the droplet size distribution shows a bimodal distribution. Though the SMD are all around 100 μm for the three gelled fuels, the spray uniformity and fineness of the DC nozzle is not good, and a large number of un-atomized droplets still exist in the spray field. Overall, the atomization performances of DC nozzles for different gelled fuels are not satisfactory.
Figure 6. Droplet size distribution of different gelled fuels using DC nozzles.

4.2. Atomization Characteristics of Different Gelled Fuels Using Swirl Nozzles

The atomization characteristics of different gelled fuels using swirl nozzles were also tested at the same volumetric flow rate of 7 mL/s. Figure 7 shows the spray images of swirl nozzles for three different gelled fuels at the same liquid volume flow rate. It is obvious that the atomization performance of the swirl nozzle is significantly better than that of the DC nozzle, which can produce a more uniform spray field for the gelled fuels containing different concentrations of nanoparticles. The centrifugal force causes the fuel to be ejected from the nozzle exit as a conical liquid film, which creates a larger spray cone angle than the DC nozzle. The conical liquid film is rapidly broken, forming a fine and uniform spray field. As can be seen in Figure 7, the increase in Al nanoparticle concentration makes the droplet diameter in the spray field larger, which can also be seen in the data from the laser particle size analyzer. The spray angles of GF-0, GF-15, and GF-30 are 42.2°, 34.504°, and 16.1°, respectively. It is more evident that the spray cone angle of the swirl nozzle gradually decreases with the increase in nanoparticles. This can be attributed to the increase in metal nanoparticles, which makes the fuel viscosity increase and the radial velocity of the nozzle decrease.
Figure 7. Spray images of different gelled fuels using swirl nozzles.
Table 3 shows the injection pressure and mean droplet diameters of the swirl nozzle for different gelled fuels. As can be seen in Table 3, D32, Dv50, and Dv90 produced by the swirl nozzle for different gelled fuels are all smaller than that of the DC nozzle. As the Al nanoparticle concentrations increase, the mean droplet diameter gradually increases. Figure 8 shows the corresponding droplet size distribution of different gelled fuels. It can be seen in Figure 8 that the volume proportion of large droplets gradually increases with the increase in nanoparticle concentration, and the atomization performance gradually becomes worse, which is consistent with the spray images.
Table 3. The injection pressure and mean droplet diameters of the swirl nozzle for different gelled fuels.
Figure 8. Droplet size distribution of different gelled fuels using swirl nozzles.
Although the atomization performance of swirl nozzle is better, due to the unstable physical properties of the fuel, and the difference in density between the fuel and the energy-containing additive, the aggregation and adhesion of solid particles are significant. The fuel flow rate inside the swirl nozzle is low and some of the metal particles can obstruct the cyclone. However, the centrifugal effect of the swirl nozzle will create a separation effect between the solid particles and the fuel, which will eventually increase the deposition of metal particles on the walls of the thrust chamber.

4.3. Atomization Characteristics of Different Gelled Fuels Using Self-Excited Oscillation Nozzles

As discussed above, the use of DC nozzles alone cannot overcome the high viscosity characteristics of gelled fuels and achieve good atomization quality. To improve its atomization characteristics, it is necessary to modify the DC nozzle, such as the use of multiple DC nozzles hitting each other or changes to the nozzle structure. Figure 9 shows the spray images of different gelled fuels using self-excited oscillation nozzle at the same liquid volume flow rate. It can also be seen in Figure 9 that the atomization characteristics of the self-excited oscillation nozzle are similar for the three gelled fuels containing different concentrations of Al nanoparticles, which can all produce a uniform spray field. Near the nozzle exit of the self-excited oscillation nozzle, the fuel jet breaks up more violently, due to the introduction of the resonant chamber. As pointed by Jia et al. [19], the flow inside the nozzle is more disordered and the vortex scale inside the liquid is larger. At the same time, the spray angle of GF-0, GF-15, and GF-30 is 15.774°, 17.319°, and 14.432°, respectively. The spray cone angle is larger than that of the DC nozzle, but smaller than that of the swirl nozzle. However, as the nanoparticles increased, the spray cone angle of self-excited oscillation nozzle did not change significantly.
Figure 9. Spray images of different gelled fuels using self-excited oscillation nozzles.
Table 4 shows the injection pressure and the mean droplet diameters of self-excited oscillation nozzle for different gelled fuels, while Figure 10 shows their corresponding droplet size distribution. By comparing Table 4 and Figure 10, it can be seen that the droplet diameter size and droplet size distribution produced by self-excited oscillation nozzle are similar for different types of fuels. Therefore, it can be concluded that the self-excited oscillation nozzle designed in this paper has good stability, and can be applied to fuels with different metal particle concentrations.
Table 4. The injection pressure and the mean droplet diameters of the self-excited oscillation nozzle for different gelled fuels.
Figure 10. Droplet size distribution of different gelled fuels using self-excited oscillation nozzles.

4.4. Comparison of Atomization Characteristics of Different Nozzles

The comparison of the spray images shows that the atomization performance of the swirl nozzle and the self-excited oscillation nozzle is significantly better than that of the DC nozzle. The introduction of a resonant chamber can improve the atomization quality of the DC nozzle, which makes the breakup of the liquid jet more obvious and more intense. At the same time, the spray cone angle of the self-excited oscillation nozzle is significantly larger than that of the DC nozzle, and even tends to be similar than that of the swirl nozzle. It should be also noted that the conventional DC nozzle and swirl nozzle cannot overcome the change of fuel viscosity caused by addition of metal particles. As the concentration of nanoparticles increases, the DC nozzle produces more liquid clusters and filaments in the spray field downstream, while the swirl nozzle obviously decreases the spray cone angle of gelled fuels. However, the atomization effect of the self-excited oscillation nozzle does not change significantly with increasing nanoparticle concentration, which indicates that the self-excited oscillation nozzle can offer a more stable atomization performance for gelled fuels.
The comparison of the mean droplet diameter shows that the droplet of the swirl nozzle is significantly smaller than that of the DC nozzle and the self-excited oscillation nozzle. The Dv50 and droplet size distribution show that the swirl nozzle also produces a higher percentage of small droplets and a more uniform spray field. However, it should also be noted that when the concentration of metal nanoparticles increases from 15% to 30%, the SMD, Dv50, and Dv90 of the swirl nozzle also increases rapidly. The SMD data of the self-excited oscillation nozzle is close to that of the DC nozzle, but its Dv50 and Dv90 values are significantly smaller than that of the DC nozzle. It can also be seen from the droplet size distribution of the self-oscillation nozzle that the peak of the volume frequency shifts towards smaller values, which also means that the self-oscillation nozzle can effectively reduce the large size droplets and liquid filaments in the spray field, thus improving the atomization characteristics of gelled fuels.
It can be seen in Table 4 that the fuel injection pressure of the self-excited oscillation nozzle is higher when compared with the DC nozzle and swirl nozzle. This can be attributed to the turbulence of the flow in the resonant chamber, where the strong oscillation effect will have some feedback on the upstream pipeline, resulting in the phenomenon of flow oscillation, and make the self-excited oscillation nozzle discharge coefficient more unstable. At the same time, due to the small size of the resonant chamber, the aggregation and sedimentation of metal particles inside the chamber will also have an impact on the flow coefficient of the nozzle. Generally speaking, the discharge coefficient of self-excited oscillation nozzle is smaller than that of conventional nozzles, so the working pressure of self-excited oscillation nozzle is higher.

5. Conclusions

In this paper, the rheological and atomization characteristics of gelled fuels with different Al nanoparticle concentrations were investigated. Three single-phase injectors were used for comparison. The main findings of the study are as follows:
  • The addition of metal particles does not change the shear thinning characteristics of the gelled fuels, but makes their rheological curves more complex. The consistency coefficient and power law index of the gelled fuels gradually increase with the increase in nanoparticle concentration.
  • The atomization performance of the self-excited oscillation nozzle is better than that of the DC nozzle. The introduction of a resonant chamber can enhance the fragmentation of the liquid jet. At the same time, the spray cone angle of the self-excited oscillation nozzle is significantly larger than that of the DC nozzle, and even tends to be similar to that of the swirl nozzle.
  • The droplet diameter produced by the swirl nozzle is significantly smaller than that of the DC nozzle and the self-excited oscillation nozzle, producing a higher percentage of small droplets and a more uniform spray field. When the concentration of nanoparticles increases from 15% to 30%, the mean droplet diameter of the swirl nozzle will also increase rapidly.
  • The conventional DC nozzle and swirl nozzle cannot overcome the change of fuel viscosity caused by the addition of metal particles. As the nanoparticle concentration increases, the large size droplets and liquid filament increase in the spray field downstream of the DC nozzle, while the spray cone angle decreases significantly when using a swirl nozzle. However, the spray quality of self-excited oscillation nozzle is similar for different gelled fuels and does not change significantly.

Author Contributions

Conceptualization, D.Y. and L.Y.; Data curation, P.L. and Z.F.; Funding acquisition, Q.F. and L.Y.; Investigation, P.L. and Z.F.; Methodology, P.L., D.Y., Z.F. and Q.F.; Project administration, Q.F.; Resources, Q.F.; Software, P.L.; Supervision, Q.F. and L.Y.; Validation, Z.F. and Q.F.; Visualization, Z.F.; Writing—original draft, P.L. and Z.F.; Writing—review & editing, D.Y. and Q.F. All authors have read and agreed to the published version of the manuscript.

Funding

This research was supported by the National Natural Science Foundation of China (grant No. 11922201, 11872091, and U1837211) and the Academic Excellence Foundation of BUAA for Ph.D. Students.

Data Availability Statement

Not applicable.

Acknowledgments

We would like to express our thanks to the editors of Aerospace and the reviewers for their work in processing this article.

Conflicts of Interest

The authors declare no conflict of interest.

References

  1. Padwal, M.B.; Natan, B.; Mishra, D.P. Gel propellants. Prog. Energy Combust. Sci. 2021, 83, 100885. [Google Scholar] [CrossRef]
  2. Xue, K.; Cao, J.; Pan, L.; Zhang, X.; Zou, J.J. Review on design, preparation and performance characterization of gelled fuels for advanced propulsion. Front. Chem. Sci. Eng. 2022, 16, 819–837. [Google Scholar] [CrossRef]
  3. Glushkov, D.; Paushkina, K.; Pleshko, A. Gel Fuels: Preparing, Rheology, Atomization, Combustion. Energies 2022, 16, 298. [Google Scholar] [CrossRef]
  4. Jin, Y.; Xu, X.; Yang, Q.; Dou, S.; Wang, X.; Fu, Q.; Pan, L. Combustion Behavior of Hydrocarbon/Boron Gel-Fueled Scramjet. AIAA J. 2022, 60, 3834–3843. [Google Scholar] [CrossRef]
  5. Padwal, M.B.; Mishra, D.P. Interactions among synthesis, rheology, and atomization of a gelled propellant. Rheol. Acta 2016, 55, 177–186. [Google Scholar] [CrossRef]
  6. Rahimi, S.; Natan, B. Flow of gel fuels in tapered injectors. J. Propuls. Power 2000, 16, 458–464. [Google Scholar] [CrossRef]
  7. Madlener, K.; Moser, H.A.; Ciezki, H.K. Influence of the Injection Inlet Angel on the Flow and Spray Behaviorof Shear Thinning Fluids in Impinging Jet Injectors. In Proceedings of the 38th In-ternational Annual Conference of ICT, Karlsruhe, Germany, 26–29 June 2007. [Google Scholar]
  8. Rahimi, S.; Natan, B. Atomization characteristics of gel fuels. In Proceedings of the 34th AIAA/ASME/SAE/ASEE Joint Propulsion Conference and Exhibit, Cleveland, OH, USA, 13–15 July 1998; Volume 3830. [Google Scholar]
  9. Yang, L.; Fu, Q.; Qu, Y.; Wang, W.; Du, M.; Xu, B. Spray characteristics of gelled propellants in swirl injectors. Fuel 2012, 97, 253–261. [Google Scholar] [CrossRef]
  10. Mehta, R.N.; Chakraborty, M.; Parikh, P.A. Nanofuels: Combustion, engine performance and emissions. Fuel 2014, 120, 91–97. [Google Scholar] [CrossRef]
  11. Ojha, P.K.; Karmakar, S. Boron for liquid fuel Engines-A review on synthesis, dispersion stability in liquid fuel, and combustion aspects. Prog. Aerosp. Sci. 2018, 100, 18–45. [Google Scholar] [CrossRef]
  12. Kim, H.; Ko, T.; Kim, S.; Yoon, W. Spray characteristics of aluminized-gel fuels sprayed using pressure-swirl atomizer. J. Non-Newton. Fluid Mech. 2017, 249, 36–47. [Google Scholar] [CrossRef]
  13. Von Kampen, J.; Alberio, F.; Ciezki, H.K. Spray and combustion characteristics of aluminized gelled fuels with an impinging jet injector. Aerosp. Sci. Technol. 2007, 11, 77–83. [Google Scholar] [CrossRef]
  14. Baek, G.; Kim, S.; Han, J.; Kim, C. Atomization characteristics of impinging jets of gel material containing nanoparticles. J. Non-Newton. Fluid Mech. 2011, 166, 1272–1285. [Google Scholar] [CrossRef]
  15. Jejurkar, S.Y.; Yadav, G.; Mishra, D.P. Visualizations of sheet breakup of non-Newtonian gels loaded with nanoparticles. Int. J. Multiph. Flow 2018, 100, 57–76. [Google Scholar] [CrossRef]
  16. Lee, J.G.; Fakhri, S.; Yetter, R. Atomization and spray characteristics of gelled-propellant simulants formed by two impinging jets. In Proceedings of the 45th AIAA/ASME/SAE/ASEE Joint Propulsion Conference & Exhibit, Denver, CO, USA, 2–5 August 2009; Volume 5241. [Google Scholar]
  17. Desyatkov, A.; Adler, G.; Prokopov, O.; Natan, B. Atomization of gel fuels using impinging-jet atomizers. Int. J. Energetic Mater. Chem. Propuls. 2011, 10, 55–65. [Google Scholar] [CrossRef]
  18. Fang, Z.; Fu, Q.; Xu, X.; Yang, L.; Jia, B.; Li, P. Spray characteristics of Al-nanoparticle-containing nanofluid fuel in a Y-jet injector. Energetic Mater. Front. 2021, 2, 249–257. [Google Scholar] [CrossRef]
  19. Jia, B.; Fu, Q.; Xu, X.; Yang, L.; Zhang, D.; Wang, T.; Wang, Q. Spray characteristics of Al-nanoparticle-containing nanofluid fuel in a self-excited oscillation injector. Fuel 2021, 290, 120057. [Google Scholar] [CrossRef]
  20. Li, P.; Yang, L.; Fu, Q.; Fang, Z. Spray characteristics of the nanoparticle-containing gel propellants by using an improved single-phase nozzle. Fuel 2022, 315, 122968. [Google Scholar] [CrossRef]
  21. Cao, J.W.; Pan, L.; Zhang, X.W.; Zou, J. Physicochemical and rheological properties of Al/JP-10 gelled fuel. Chin. J. Energetic Mater. 2020, 28, 382–390. [Google Scholar]
  22. Madlener, K.; Sinatra, C.; Ciezki, H. Investigation on the influence of particle size and concentration on the spray and combustion characteristics of aluminium particle containing gels with an impinging jet injector. In Proceedings of the 2nd European Conference for Aerospace Sciences, Brussels, Belgium, 27 July 2007. [Google Scholar]
  23. Liao, Z.; Li, J.; Chen, D.S. Theory and experimental study of the self-excited oscillation pulsed jet nozzle. Chin. J. Mech. Eng. 2003, 16, 379–383. [Google Scholar] [CrossRef]
Disclaimer/Publisher’s Note: The statements, opinions and data contained in all publications are solely those of the individual author(s) and contributor(s) and not of MDPI and/or the editor(s). MDPI and/or the editor(s) disclaim responsibility for any injury to people or property resulting from any ideas, methods, instructions or products referred to in the content.

Article Metrics

Citations

Article Access Statistics

Multiple requests from the same IP address are counted as one view.