Experimental and Numerical Investigations for Dual−Cavity Tip Aerodynamic Performance in the Linear Turbine Cascade
Abstract
1. Introduction
2. Experimental and Numerical Methods
2.1. Experimental Method
2.1.1. Experimental Facility
2.1.2. Measurement Techniques
2.2. Numerical Method
2.2.1. Mesh Discretization
2.2.2. CFD Validation
3. Results and Discussion
3.1. Influence of Exit Mach Number on Tip Leakage Flow
3.2. Influence of Incidence Angle on Tip Leakage Flow
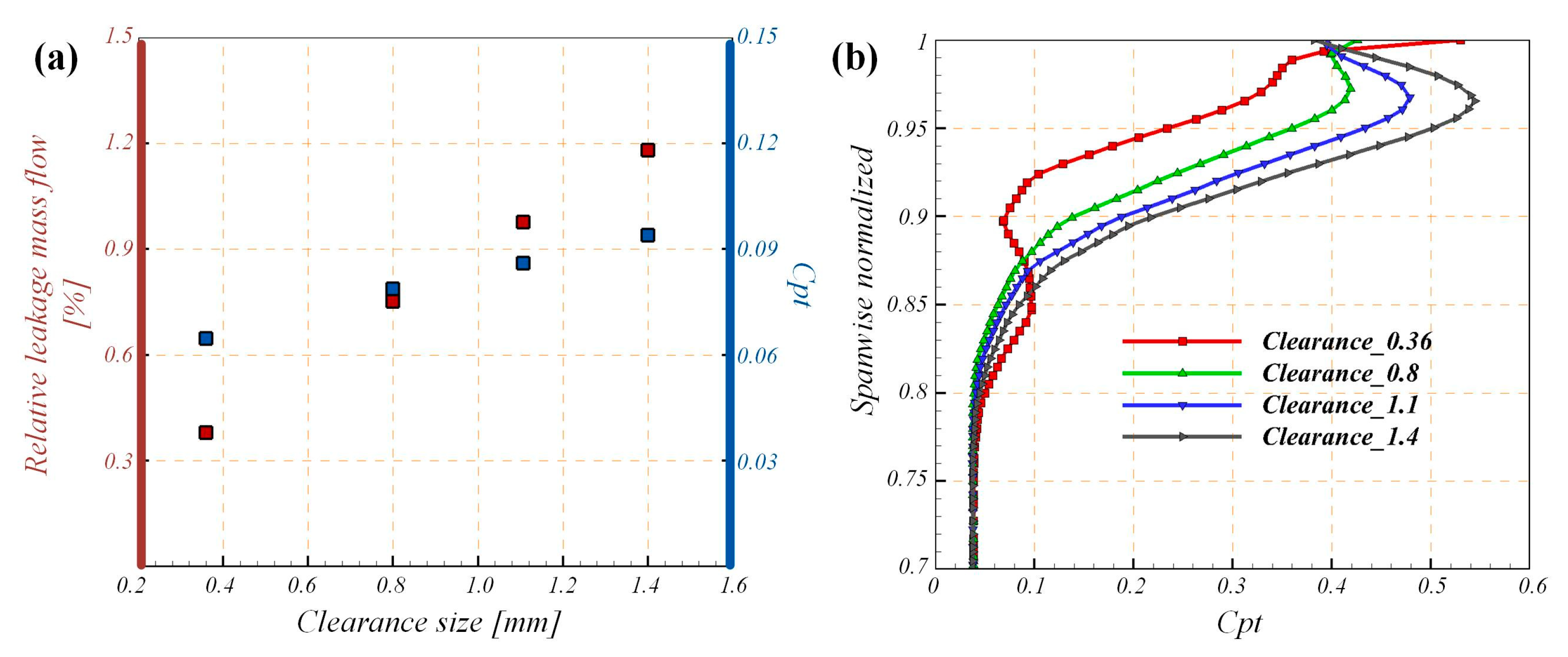
3.3. Influence of Clearance Size on Tip Leakage Flow
3.4. Work Condition Adaptability Analysis for the Dual−Cavity Tip
4. Conclusions
- The increase in Mach number alters the pressure gradient at the tip location and intensifies the leakage flow. The increasing leakage flow causes the leakage vortex to absorb more of the surrounding low-energy fluid, resulting in the suppression of passage vortex development.
- The passage vortex is weak at the negative incidence angle, but it grows as the incoming flow moves toward the positive angles. At 15°incidence, the passage vortex starts to inhibit the development of the leakage vortex. This phenomenon occurs mainly when the pressure surface branch of the horseshoe vortex strikes the suction surface.
- The growth in the clearance size leads to the increase in the total leakage flow and total loss; the leakage flow will roll and suck the passage vortex structure as well when the gap is larger.
- The dual−cavity tip structure hinders the development of the leakage vortices by changing the position of the leakage flow from the suction surface.
- The dual−cavity blade tip structure is adaptable and effective in reducing losses under all operating conditions in the current study. The maximum optimization effect in the process of the Mach number change is 0.0065 at Ma = 0.42, and the minimum optimization effect is 0.0049 at Ma = 0.92; the maximum optimization effect in the process of angle change is 0.0094 at incidence = 15°, and the minimum optimization effect is 0.0025 at incidence = −15°; the maximum effect under the clearance size change is 0.025 at τ = 1.4 mm, and the minimum optimization effect is 0.0049 at τ = 0.36 mm;
- Comparing three influencing factors, the control effect of the dual−cavity tip configuration is most influenced by the clearance size, followed by the incoming flow angle, and least affected by the Mach number variation. The underlying mechanism is that the Mach number variation is much less relative to the main vortex system structure, while the variation in both the clearance size and incidence angle more closely correlated to the vortex generation and development mechanism inside the cavity.
Author Contributions
Funding
Institutional Review Board Statement
Informed Consent Statement
Data Availability Statement
Acknowledgments
Conflicts of Interest
References
- Denton, J.D. The 1993 IGTI Scholar Lecture: Loss Mechanisms in Turbomachines. J. Turbomach. 1993, 115, 621–656. [Google Scholar] [CrossRef]
- Key, N.L.; Arts, T. Comparison of Turbine Tip Leakage Flow for Flat Tip and Squealer Tip Geometries at High-Speed Conditions. J. Turbomach. 2006, 128, 213–220. [Google Scholar] [CrossRef]
- Li, W.; Jiang, H.; Zhang, Q.; Woo Lee, S. Squealer Tip Leakage Flow Characteristics in Transonic Condition. J. Eng. Gas Turbines Power 2014, 136, 042601. [Google Scholar] [CrossRef]
- Zeng, F.; Zhang, W.; Wang, Y.; Cao, X.; Zou, Z. Effects of Squealer Geometry of Turbine Blade Tip on the Tip-Leakage Flow and Loss. J. Therm. Sci. 2021, 30, 1376–1387. [Google Scholar] [CrossRef]
- Li, C.; Xiang, J.; Song, L.; Li, J. An aerothermal analysis of the effects of tip gap height and cavity depth of a gas turbine blade. Int. J. Therm. Sci. 2020, 158, 106521. [Google Scholar] [CrossRef]
- Park, J.S.; Lee, S.H.; Kwak, J.S.; Lee, W.S.; Chung, J.T. Measurement of Blade Tip Heat Transfer and Leakage Flow in a Turbine Cascade With a Multi-Cavity Squealer Tip. In ASME 2013 Turbine Blade Tip Symposium; American Society of Mechanical Engineers: New York, NY, USA, 2013. [Google Scholar]
- Kharati-Koopaee, M.; Moallemi, H. Effect of blade tip grooving on the performance of an axial fan at different tip clearances in the absence and presence of inlet guide vanes. Proc. Inst. Mech. Eng. Part A J. Power Energy 2019, 234, 72–84. [Google Scholar] [CrossRef]
- Dey, D.; Camci, C. Aerodynamic Tip Desensitization of an Axial Turbine Rotor Using Tip Platform Extensions. In ASME Turbo Expo 2001: Power for Land, Sea, and Air; American Society of Mechanical Engineers: New York, NY, USA, 2001. [Google Scholar]
- Jiang, S.; Li, Z.; Li, J. Effects of the squealer winglet structures on the heat transfer characteristics and aerodynamic performance of turbine blade tip. Int. J. Heat Mass Transf. 2019, 139, 860–872. [Google Scholar] [CrossRef]
- Zhang, M.; Liu, Y.; Zhang, T.; Zhang, M.; He, Y. Aerodynamic Optimization of a Winglet-Shroud Tip Geometry for a Linear Turbine Cascade. J. Turbomach. 2017, 139, 101011. [Google Scholar] [CrossRef]
- Zhou, Z.; Chen, S.; Wang, S. Aerodynamic Optimization of Winglet-Cavity Tip in an Axial High Pressure Turbine Stage. Int. J. Turbo Jet-Engines 2020, 37, 399–411. [Google Scholar] [CrossRef]
- Chen, Y.; Jiang, D.; Du, Z.; Wang, S. Experimental and Numerical Investigation of High Load Turbine Blade Tip Cavity Structures. J. Turbomach. 2023, 145, 061008. [Google Scholar] [CrossRef]
- Treaster, A.L.; Yocum, A.M. The Calibration and Application of Five-Hole Probes; Pennsylvania State Univ University Park Applied Research Lab: University Park, PA, USA, 1978. [Google Scholar]
- Maral, H.; Alpman, E.; Kavurmacıoğlu, L.; Camci, C. A genetic algorithm based aerothermal optimization of tip carving for an axial turbine blade. Int. J. Heat Mass Transf. 2019, 143, 118419. [Google Scholar] [CrossRef]
- Menter, F.R. Two-equation eddy-viscosity turbulence models for engineering applications. AIAA J. 1994, 32, 1598–1605. [Google Scholar] [CrossRef]
- Celik, I.B.; Ghia, U.; Roache, P.J.; Freitas, C.J. Procedure for Estimation and Reporting of Uncertainty Due to Discretization in CFD Applications. J. Fluids Eng. 2008, 130, 078001. [Google Scholar] [CrossRef]
- Hunt, J.C.R.; Wray, A.A.; Moin, P. Eddies, Streams, and Convergence Zones in Turbulent Flows. Center for Turbulence Research, Proceedings of the Summer Program 1988, Report CTR-S88 ; Center for Turbulence Research: Stanford, CA, USA, 1988. [Google Scholar]















| Parameters | Units | Values |
|---|---|---|
| Chord, C | [mm] | 50 |
| Axial chord, Cax | [mm] | 33.88 |
| Pitch, P | [mm] | 43.23 |
| Blade span, H | [mm] | 100 |
| Clearance size, τ | [mm] | 0.36 0.8 1.1 1.4 |
| Cavity depth, Sd | [mm] | 1.7 |
| Inlet blade angle | [degree] | 50.59° |
| Outlet blade angle | [degree] | 20.8° |
| Outlet Mach Number | 0.42–0.92 | |
| Incidence angle, i | [degree] | ±15° |
| Parameters | Index | Values |
|---|---|---|
| Coarsening factors r | r21 | 1.30 |
| r32 | 1.30 | |
| Evaluation indicator ϕ | ϕ1 | 0.0612 |
| ϕ2 | 0.0640 | |
| ϕ3 | 0.0645 | |
| Relative error e | e21 | 4.58% |
| e32 | 0.78% | |
| GCI | GCI21 | 0.231% |
| GCI32 | 0.039% |
Disclaimer/Publisher’s Note: The statements, opinions and data contained in all publications are solely those of the individual author(s) and contributor(s) and not of MDPI and/or the editor(s). MDPI and/or the editor(s) disclaim responsibility for any injury to people or property resulting from any ideas, methods, instructions or products referred to in the content. |
© 2023 by the authors. Licensee MDPI, Basel, Switzerland. This article is an open access article distributed under the terms and conditions of the Creative Commons Attribution (CC BY) license (https://creativecommons.org/licenses/by/4.0/).
Share and Cite
Chen, Y.; Cai, L.; Jiang, D.; Li, Y.; Wang, S. Experimental and Numerical Investigations for Dual−Cavity Tip Aerodynamic Performance in the Linear Turbine Cascade. Aerospace 2023, 10, 193. https://doi.org/10.3390/aerospace10020193
Chen Y, Cai L, Jiang D, Li Y, Wang S. Experimental and Numerical Investigations for Dual−Cavity Tip Aerodynamic Performance in the Linear Turbine Cascade. Aerospace. 2023; 10(2):193. https://doi.org/10.3390/aerospace10020193
Chicago/Turabian StyleChen, Yingjie, Le Cai, Dengyu Jiang, Yiyi Li, and Songtao Wang. 2023. "Experimental and Numerical Investigations for Dual−Cavity Tip Aerodynamic Performance in the Linear Turbine Cascade" Aerospace 10, no. 2: 193. https://doi.org/10.3390/aerospace10020193
APA StyleChen, Y., Cai, L., Jiang, D., Li, Y., & Wang, S. (2023). Experimental and Numerical Investigations for Dual−Cavity Tip Aerodynamic Performance in the Linear Turbine Cascade. Aerospace, 10(2), 193. https://doi.org/10.3390/aerospace10020193
