Influence of the Reynolds Number on the Aerodynamic Performance of a Small Rotor
Abstract
1. Introduction
2. Methodology
2.1. Experimental
2.1.1. Setup and Sensors
2.1.2. Experiments
2.2. Computational
2.2.1. Models
- a blending function was designed to activate the model in the region near to the wall and to activate the model away from the surface;
- the turbulent viscosity definition was modified to account for the transport of the turbulent shear stress;
2.2.2. Simulation Setup
2.2.3. Cases
3. Results
3.1. Validation
3.2. Turbulence Models Comparison
3.2.1. Thrust and Torque
3.2.2. Pressure Distribution
3.2.3. Flow Separation Analysis
3.3. Another Transition Model’s Results
Boundary-Layer Prediction
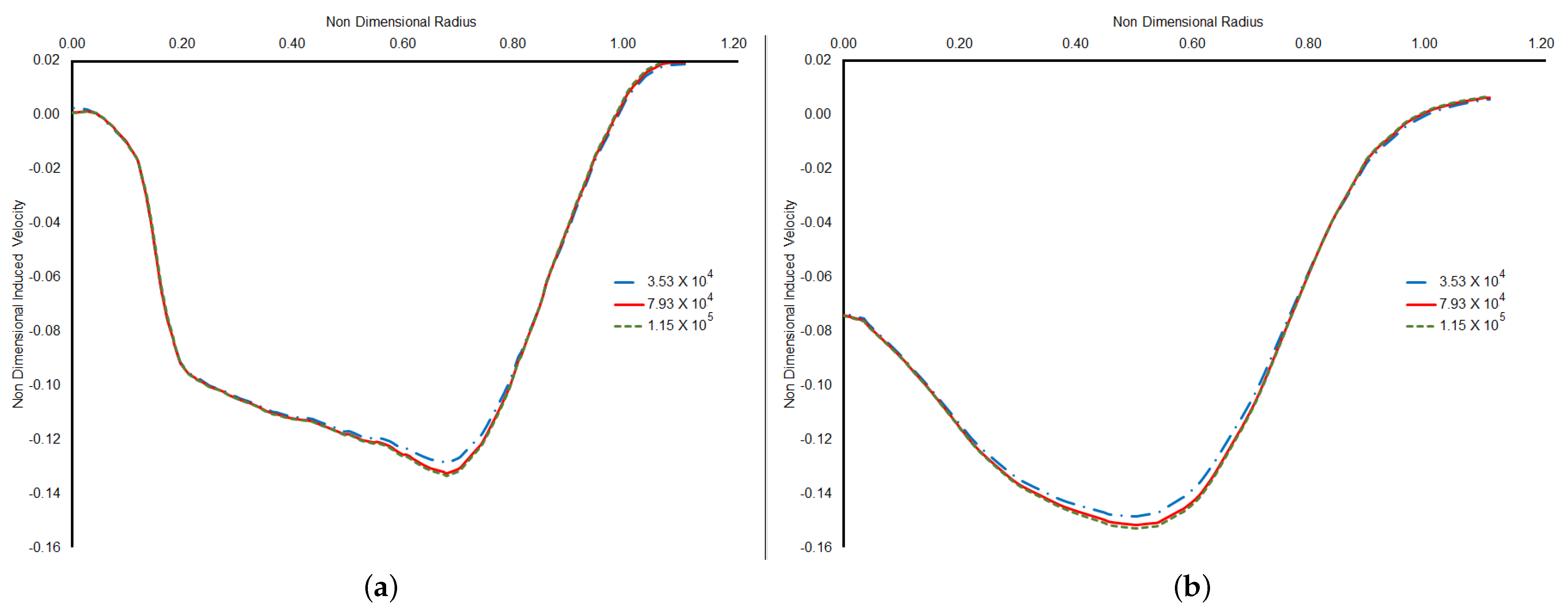
3.4. Wake Dynamics
4. Conclusions
Author Contributions
Funding
Data Availability Statement
Conflicts of Interest
Appendix A
| Re | ||
|---|---|---|
References
- Ramasamy, M.; Johnson, B.; Leishman, J. Understanding the Aerodynamic Efficiency of a Hovering Micro-Rotor. J. Am. Helicopter Soc. 2008, 53, 412–428. [Google Scholar] [CrossRef]
- Duraisamy, K.; Baeder, J. High Resolution Wake Capturing Methodology for Hovering Rotors. J. Am. Helicopter Soc. 2007, 52, 110–122. [Google Scholar] [CrossRef]
- Potsdam, M.; Pulliam, T. Turbulence modeling treatment for rotocraft wakes. In Proceedings of the AHS Specialists Conference on Aerodynamics 2008, San Francisco, CA, USA, 23–25 January 2008; Volume 2. [Google Scholar]
- Gomez, S.; Gilkey, L.; Kaiser, B.; Poroseva, S. Computational Analysis of a Tip Vortex Structure Shed from a Bio-inspired Blade. In Proceedings of the 32nd AIAA Applied Aerodynamics Conference, Atlanta, GA, USA, 16–20 June 2014. [Google Scholar] [CrossRef]
- Liu, J.; Luo, S. Navier–Stokes Equations based Flow Simulations of Low Reynolds Number Propeller for Unmanned Aerial Vehicle. In Proceedings of the 55th AIAA Aerospace Sciences Meeting, Grapevine, TX, USA, 9–13 January 2017. [Google Scholar] [CrossRef]
- Ahmed, K.H.; Rajendran, P. 3D CFD Simulation and Experimental Validation of Small APC Slow Flyer Propeller Blade. Aerospace 2017, 4, 10. [Google Scholar] [CrossRef]
- Rovere, F.; Steijl, R.; Barakos, G.N. CFD Analysis of a micro rotor in ground effect. In Proceedings of the AIAA Scitech 2020 Forum, Orlando, FL, USA, 6–10 January 2020. [Google Scholar] [CrossRef]
- Argus, F.J.; Ament, G.A.; Koning, W.J.F. The Influence of Laminar-Turbulent Transition on Rotor Performance at Low Reynolds Numbers. In Proceedings of the VFS Aeromechanics for Advanced Vertical Flight Technical Meeting, San Jose, CA, USA, 21–23 January 2020. [Google Scholar]
- Henricks, Q.; Wang, Z.; Zhuang, M. Small-Scale Rotor Design Variables and Their Effects on Aerodynamic and Aeroacoustic Performance of a Hovering Rotor. J. Fluids Eng. 2020, 142. [Google Scholar] [CrossRef]
- Serre, R.; Gourdain, N.; Jardin, T.; Jacob, M.; Moschetta, J.M. Towards silent Micro-Air Vehicles: Optimization of a low Reynolds number rotor in hover. Int. J. Aeroacoustics 2019, 18, 690–710. [Google Scholar] [CrossRef]
- Garofano-Soldado, A.; Sanchez-Cuevas, P.J.; Heredia, G.; Ollero, A. Numerical-experimental evaluation and modelling of aerodynamic ground effect for small-scale tilted propellers at low Reynolds numbers. Aerosp. Sci. Technol. 2022, 126, 107625. [Google Scholar] [CrossRef]
- Picard, A.; Davis, R.; Gläser, M.; Fujii, K. Revised formula for the density of moist air (CIPM-2007). Metrologia 2008, 45, 149. [Google Scholar] [CrossRef]
- Luo, J.Y.; Issa, R.I.; Gosman, A.D. Prediction of Impeller-Induced Flows in Mixing Vessels Using Multiple Frames of Reference. IChemE Symp. Ser. 1994, 136, 549–556. [Google Scholar]
- Menter, F.R. Two-equation eddy-viscosity turbulence models for engineering applications. AIAA J. 1994, 32, 1598–1605. [Google Scholar] [CrossRef]
- Smirnov, P.E.; Menter, F.R. Sensitization of the SST Turbulence Model to Rotation and Curvature by Applying the Spalart-Shur Correction Term. ASME J. Turbomach. 2009, 131, 8. [Google Scholar] [CrossRef]
- Menter, F.; Langtry, R.; Likki, S.; Suzen, Y.; Huang, P.; Völker, S. A Correlation-Based Transition Model Using Local Variables—Part I: Model Formulation. ASME J. Turbomach 2006, 128, 413–422. [Google Scholar] [CrossRef]
- Pérez Gordillo, A.M.; Villegas Santos, J.S.; Lopez Mejia, O.D.; Suárez Collazos, L.J.; Escobar, J.A. Numerical and Experimental Estimation of the Efficiency of a Quadcopter Rotor Operating at Hover. Energies 2019, 12, 261. [Google Scholar] [CrossRef]
- Perez, A.M.; Lopez, O.D.; Escobar, J.A. Computational Study of the Wake of a Quadcopter Propeller in Hover. In Proceedings of the 23rd AIAA Computational Fluid Dynamics Conference, Denver, CO, USA, 5–9 June 2017. [Google Scholar] [CrossRef]
- Perez, A.M. Performance Characterization of the Propulsion System of a Quadcopter in Hover. Ph.D. Thesis, Universidad de los Andes, Bogota, Colombia, 2020. [Google Scholar]
- Jaroslawski, T.; Forte, M.; Delattre, G.; Gowree, E.R.; Moschetta, J.M. Laminar to turbulent transition over a rotor at low Reynolds numbers. In Proceedings of the Aero 2020+1—55th 3AF International Conference on Applied Aerodynamics, Poitiers, France, 23–25 March 2020. [Google Scholar]


















| Location | (Pa) | T (°C) | RH (%) | (kg/m3) | (Pa·s) |
|---|---|---|---|---|---|
| Bogota | 74,500 | 19.7 | 53 | 0.89 | |
| Bucaramanga | 90,600 | 26.7 | 50 | 1.06 | |
| Cartagena | 101,400 | 24.6 | 64 | 1.19 |
| Experimental | Computational | ||||
|---|---|---|---|---|---|
| Re | Re | ||||
| Transition | Fully Turbulent | |||
|---|---|---|---|---|
| Re | ||||
Disclaimer/Publisher’s Note: The statements, opinions and data contained in all publications are solely those of the individual author(s) and contributor(s) and not of MDPI and/or the editor(s). MDPI and/or the editor(s) disclaim responsibility for any injury to people or property resulting from any ideas, methods, instructions or products referred to in the content. |
© 2023 by the authors. Licensee MDPI, Basel, Switzerland. This article is an open access article distributed under the terms and conditions of the Creative Commons Attribution (CC BY) license (https://creativecommons.org/licenses/by/4.0/).
Share and Cite
Pérez Gordillo, A.M.; Escobar, J.A.; Lopez Mejia, O.D. Influence of the Reynolds Number on the Aerodynamic Performance of a Small Rotor. Aerospace 2023, 10, 130. https://doi.org/10.3390/aerospace10020130
Pérez Gordillo AM, Escobar JA, Lopez Mejia OD. Influence of the Reynolds Number on the Aerodynamic Performance of a Small Rotor. Aerospace. 2023; 10(2):130. https://doi.org/10.3390/aerospace10020130
Chicago/Turabian StylePérez Gordillo, Andres M., Jaime A. Escobar, and Omar D. Lopez Mejia. 2023. "Influence of the Reynolds Number on the Aerodynamic Performance of a Small Rotor" Aerospace 10, no. 2: 130. https://doi.org/10.3390/aerospace10020130
APA StylePérez Gordillo, A. M., Escobar, J. A., & Lopez Mejia, O. D. (2023). Influence of the Reynolds Number on the Aerodynamic Performance of a Small Rotor. Aerospace, 10(2), 130. https://doi.org/10.3390/aerospace10020130

