Is Drought Increasing in Maine and Hurting Wild Blueberry Production?
Abstract
1. Introduction
2. Materials and Methods
2.1. Study Area
2.1.1. Wild Blueberry Fields in Major Wild Blueberry Production Region of Maine, USA
2.1.2. Airport and Baxter Wild Blueberry Fields in Deblois, Maine
2.2. Data Acquisition and Methodology
2.3. Statistical Analysis
3. Results
3.1. Historical Changes in SPEI, Climate Variables, EVI, and Productivity of Wild Blueberry Systems in Maine, USA
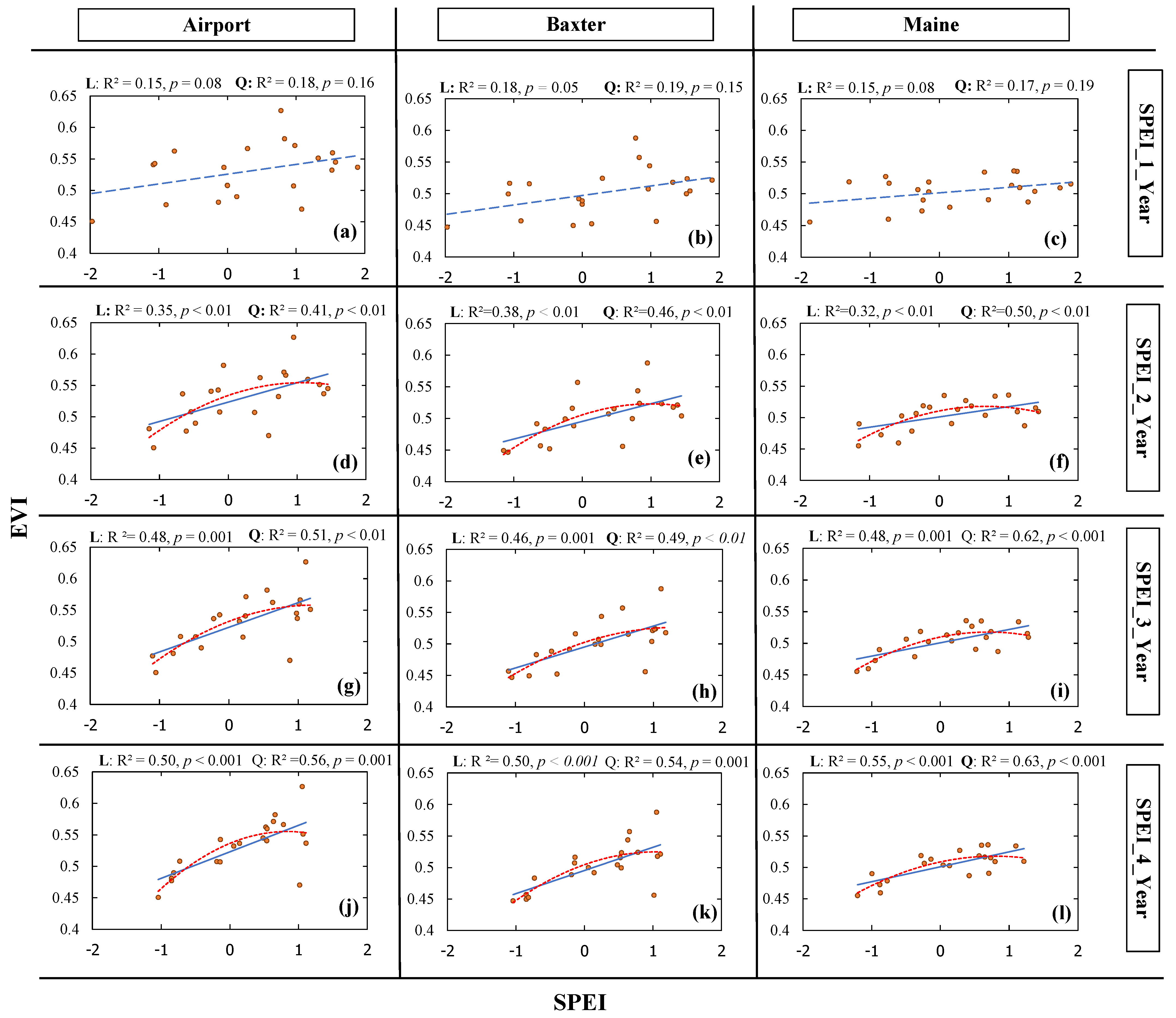
3.2. Relationships between SPEI and Vegetation Indices in Wild Blueberry Fields of Maine
3.3. Relationships between SPEI and Yield of Wild Blueberry Fields in Maine
3.4. Relationships between Vegetation Indices and Productivity
4. Discussion
5. Conclusions
Supplementary Materials
Author Contributions
Funding
Data Availability Statement
Acknowledgments
Conflicts of Interest
References
- Lesk, C.; Rowhani, P.; Ramankutty, N. Influence of extreme weather disasters on Global Crop Production. Nature 2016, 529, 84–87. [Google Scholar] [CrossRef]
- Wilhelmi, O.V.; Wilhite, D.A. Assessing vulnerability to agricultural drought: A Nebraska case study. Nat. Hazards 2002, 25, 37–58. [Google Scholar] [CrossRef]
- Solomon, S.; Manning, M.; Marquis, M.; Qin, D. Climate Change 2007—The Physical Science Basis: Working Group I Contribution to the Fourth Assessment Report of the IPCC; Cambridge University Press: Cambridge, UK, 2007; Volume 4. [Google Scholar]
- Fernandez, I.; Birkel, S.; Schmitt, C.; Simonson, J.; Lyon, B.; Pershing, A.; Stancioff, E.; Jacobson, G.; Mayewski, P. Maine’s Climate Future 2020 Update. Available online: Climatechange.umaine.edu/climate-matters/maines-climate-future/ (accessed on 17 May 2020).
- NOAA–CAAG (National Oceanic and Atmospheric Administration–National Centers for Environmental Information). Climate at a Glance, US Climate Divisional Database. 2019. Available online: Ncdc.noaa.gov/cag/statewide/time-series (accessed on 17 May 2020).
- Tasnim, R.; Drummond, F.; Zhang, Y.-J. Climate change patterns of wild blueberry fields in Downeast, Maine over the past 40 Years. Water 2021, 13, 594. [Google Scholar] [CrossRef]
- Dai, A. Increasing drought under global warming in observations and Models. Nat. Clim. Chang. 2012, 3, 52–58. [Google Scholar] [CrossRef]
- Carrão, H.; Naumann, G.; Barbosa, P. Global projections of drought hazard in a warming climate: A prime for Disaster Risk Management. Clim. Dyn. 2017, 50, 2137–2155. [Google Scholar] [CrossRef]
- Sweet, S.K.; Wolfe, D.W.; DeGaetano, A.; Benner, R. Anatomy of the 2016 drought in the Northeastern United States: Implications for agriculture and water resources in humid climates. Agric. For. Meteorol. 2017, 247, 571–581. [Google Scholar] [CrossRef]
- Wolfe, D.W.; DeGaetano, A.T.; Peck, G.M.; Carey, M.; Ziska, L.H.; Lea-Cox, J.; Kemanian, A.R.; Hoffmann, M.P.; Hollinger, D.Y. Unique challenges and opportunities for northeastern US crop production in a changing climate. Clim. Chang. 2017, 146, 231–245. [Google Scholar] [CrossRef]
- Schattman, R.E.; Goossen, C.; Calderwood, L. The 2020 Maine Drought and Agriculture Report; University of Maine: Orono, ME, USA, 2021; pp. 1–30. [Google Scholar] [CrossRef]
- About Maine Wild Blueberry. Available online: https://extension.umaine.edu/blueberries/about-2/ (accessed on 10 October 2021).
- Glass, V.M. Drought Stress Effects in Wild Blueberries. Master’s Thesis, Dalhousie University, Halifax, NS, Canada, 2000; 164p. [Google Scholar]
- Percival, D.; Murray, A.; Stevens, D. Drought stress dynamics of wild blueberry (Vaccinium angustifolium aiton). Acta Hortic. 2003, 618, 353–362. [Google Scholar] [CrossRef]
- Potop, V.; Možný, M.; Soukup, J. Drought evolution at various time scales in the lowland regions and their impact on vegetable crops in the Czech Republic. Agric. For. Meteorol. 2012, 156, 121–133. [Google Scholar] [CrossRef]
- Illston, B.G.; Basara, J.B. Analysis of short-term droughts in Oklahoma. Eos Trans. Am. Geophys. Union 2003, 84, 157–161. [Google Scholar] [CrossRef]
- Palmer, W.C. Meteorological droughts. U.S. Department of Commerce. Weather Bur. Res. Paper 1965, 45, 58. [Google Scholar]
- McKee, T.B.; Doesken, N.J.; Kleist, J. The relationship of drought frequency and duration to time scales. In Proceedings of the 8th Conference on Applied Climatology, Anaheim, CA, USA, 17–22 January 1993; pp. 179–184. [Google Scholar]
- Vicente-Serrano, S.M.; Beguería, S.; López-Moreno, J.I. A multiscalar drought index sensitive to global warming: The standardized precipitation Evapotranspiration index. J. Clim. 2010, 23, 1696–1718. [Google Scholar] [CrossRef]
- Zarei, A.R.; Moghimi, M.M. Modified version for Spei to evaluate and modeling the agricultural drought severity. Int. J. Biometeorol. 2019, 63, 911–925. [Google Scholar] [CrossRef]
- De Keersmaecker, W.; Lhermitte, S.; Hill, M.; Tits, L.; Coppin, P.; Somers, B. Assessment of regional vegetation response to climate anomalies: A case study for australia using Gimms Ndvi Time Series between 1982 and 2006. Remote Sens. 2017, 9, 34. [Google Scholar] [CrossRef]
- Pettorelli, N.; Vik, J.O.; Mysterud, A.; Gaillard, J.-M.; Tucker, C.J.; Stenseth, N.C. Using the satellite-derived NDVI to assess ecological responses to environmental change. Trends Ecol. Evol. 2005, 20, 503–510. [Google Scholar] [CrossRef]
- Son, N.T.; Chen, C.F.; Chen, C.R.; Minh, V.Q.; Trung, N.H. A comparative analysis of multitemporal MODIS EVI and NDVI data for large-scale rice yield estimation. Agric. For. Meteorol. 2014, 197, 52–64. [Google Scholar] [CrossRef]
- Glenn, E.; Huete, A.; Nagler, P.; Nelson, S. Relationship between remotely-sensed vegetation indices, canopy attributes and plant physiological processes: What vegetation indices can and cannot tell us about the landscape. Sensors 2008, 8, 2136–2160. [Google Scholar] [CrossRef]
- Drummond, F.; Smagula, J.; Annis, S.; Yarborough, D. Organic wild blueberry production. MAFES Bull 2009, 852, 43. [Google Scholar]
- Arguez, A.; Durre, I.; Applequist, S.; Squires, M.; Vose, R.; Yin, X.; Bilotta, R. NOAA’s US Climate Normals (1981–2010). Bull. Am. Meteorol. Soc. 2012, 93, 1687–1697. [Google Scholar] [CrossRef]
- Maine Wild Blueberry Production Statistics. Available online: https://extension.umaine.edu/blueberries/factsheets/statistics-2/crop-production-statistics-2019/ (accessed on 10 October 2021).
- Guttman, N.B. Comparing the palmer drought index and the standardized precipitation index. J. Am. Water Resour. Assoc. 1998, 34, 113–121. [Google Scholar] [CrossRef]
- Didan, K. MOD13Q1: MODIS/Terra vegetation indices 16-day L3 global 250m grid SIN V006. NASA EOSDIS Land Processes DAAC. Available online: https://lpdaac.usgs.gov/products/mod13q1v006/ (accessed on 10 October 2021).
- Lu, S.; Lu, F.; You, W.; Wang, Z.; Liu, Y.; Omasa, K. A robust vegetation index for remotely assessing chlorophyll content of dorsiventral leaves across several species in different seasons. Plant Methods 2018, 14, 1–15. [Google Scholar] [CrossRef] [PubMed]
- Zhengxing, W.; Chuang, L.; Alfredo, H. From AVHRR-NDVI to MODIS-EVI: Advances in vegetation index research. Acta Ecol. Sin. 2003, 23, 979–987. [Google Scholar]
- Teal, R.K.; Tubana, B.; Girma, K.; Freeman, K.W.; Arnall, D.B.; Walsh, O.; Raun, W.R. In-season prediction of corn grain yield potential using normalized difference vegetation index. Agron. J. 2006, 98, 1488–1494. [Google Scholar] [CrossRef]
- Marti, J.; Bort, J.; Slafer, G.A.; Araus, J.L. Can wheat yield be assessed by early measurements of normalized difference vegetation index? Ann. Appl. Biol. 2007, 150, 253–257. [Google Scholar] [CrossRef]
- Bolton, D.K.; Friedl, M.A. Forecasting crop yield using remotely sensed vegetation indices and crop phenology metrics. Agric. For. Meteorol. 2013, 173, 74–84. [Google Scholar] [CrossRef]
- Belayneh, A.; Adamowski, J.; Khalil, B.; Ozga-Zielinski, B. Long-term SPI drought forecasting in the Awash River basin in Ethiopia using wavelet neural network and wavelet support vector regression models. J. Hydrol. 2014, 508, 418–429. [Google Scholar] [CrossRef]
- Keyantash, J.; Dracup, J.A. The quantification of drought: An evaluation of drought indices. Bull. Am. Meteorol. Soc. 2002, 83, 1167–1180. [Google Scholar] [CrossRef]
- Easterling, D.R.; Wallis, T.W.; Lawrimore, J.H.; Heim, R.R. Effects of temperature and precipitation trends on U.S. drought. Geophys. Res. Lett. 2007, 34, 20. [Google Scholar] [CrossRef]
- Hunt, J.; Honeycutt, W.; Yarborough, D.; Starr, G. Guide to efficient irrigation of the wild blueberry. Wild Blueberry Fact Sheet 2009, 631, 11. [Google Scholar]
- Tasnim, R.; Calderwood, L.; Annis, S.; Drummond, F.A.; Zhang, Y.J. The Future of Wild Blueberries: Testing Warming Impacts Using Open-Top Chambers; Spire: Orono, ME, USA, 2020. [Google Scholar]
- Wright, I.J.; Reich, P.B.; Westoby, M.; Ackerly, D.D.; Baruch, Z.; Bongers, F.; Cavender-Bares, J.; Chapin, T.; Cornelissen, J.H.C.; Diemer, M.; et al. The worldwide leaf economics spectrum. Nature 2004, 428, 821–827. [Google Scholar] [CrossRef]
- Hall, I.V.; Aalders, L.E.; Mcrae, K.B. Lowbush blueberry production in eastern Canada as related to certain weather data. Can. J. Plant Sci. 1982, 62, 809–812. [Google Scholar] [CrossRef][Green Version]
- Drummond, F.A. Factors That Affect Yield in Wild Blueberry, Vaccinium Angustifolium Aiton. Agric. Res. Tech. Open Access J. 2019, 22, 556212. [Google Scholar] [CrossRef]
- Chen, J.-J.; Zhen, S.; Sun, Y. Estimating leaf chlorophyll content of buffaloberry using normalized difference vegetation index sensors. HortTechnology 2021, 31, 297–303. [Google Scholar] [CrossRef]
- Sousa-Souto, L.; Bocchiglieri, A.; de Dias, D.; Ferreira, A.S.; Filho, J.P. Changes in leaf chlorophyll content associated with flowering and its role in the diversity of phytophagous insects in a tree species from a semiarid Caatinga. PeerJ 2018, 6, e5059. [Google Scholar] [CrossRef]
- Qu, H.; Drummond, F. Simulation-based modeling of wild blueberry pollination. Comput. Electron. Agric. 2018, 144, 94–101. [Google Scholar] [CrossRef]
- Obsie, E.Y.; Qu, H.; Drummond, F. Wild blueberry yield prediction using a combination of computer simulation and machine learning algorithms. Comput. Electron. Agric. 2020, 178, 105778. [Google Scholar] [CrossRef]
- Qu, H.; Xiang, R.; Obsie, E.Y.; Wei, D.; Drummond, F. Parameterization and calibration of wild blueberry machine learning models to predict fruit-set in the northeast china bog blueberry agroecosystem. Agronomy 2021, 11, 1736. [Google Scholar] [CrossRef]
- Samaniego, L.; Thober, S.; Kumar, R.; Wanders, N.; Rakovec, O.; Pan, M.; Zink, M.; Sheffield, J.; Wood, E.F.; Marx, A. Anthropogenic warming exacerbates European soil moisture droughts. Nat. Clim. Chang. 2018, 8, 421–426. [Google Scholar] [CrossRef]
- 631-Guide to Efficient Irrigation of the Wild Blueberry—Cooperative Extension: Maine Wild Blueberries—University of Maine Cooperative Extension, n.d.. Cooperative Extension: Maine Wild Blueberries. Available online: https://extension.umaine.edu/blueberries/factsheets/irrigation/guide-to-efficient-irrigation-of-the-wild-blueberry/ (accessed on 28 November 2021).










| Mann–Kendall Test | Maine WB Fields | Airport/Baxter, Deblois, ME Irrigated/Non-Irrigated | ||||
|---|---|---|---|---|---|---|
| SPEI | Precipitation | Tmean | SPEI | Precipitation | Tmean | |
| Kendall’s Tau | 0.062 | 0.144 | 0.276 | 0.114 | 0.144 | 0.270 |
| Mann–Kendall Stat (S) | 153.000 | 357.000 | 687.000 | 283.000 | 359.000 | 671.000 |
| Var (S) | 40,588.33 | 40,588.33 | 40,588.33 | 40,588.33 | 40,588.33 | 40,588.33 |
| p-value (two-tailed) | 0.45 | 0.07 | 0.001 | 0.16 | 0.07 | 0.001 |
| Alpha | 0.05 | 0.05 | 0.05 | 0.05 | 0.05 | 0.05 |
| Trend | Increasing (Non- significant) | Increasing (Non- significant) | Increasing (Significant) | Increasing (Non- significant) | Increasing (Non- significant) | Increasing (Significant) |
| Sen’s Slope Q | 0.005 | 1.344 | 0.013 | 0.008 | 1.304 | 0.012 |
| Mann–Kendall Test | Airport, Deblois, ME (Irrigated Field) | Baxter, Deblois, ME (Non-Irrigated Field) | Maine WB Fields | |||
|---|---|---|---|---|---|---|
| Yield | EVI | Yield | EVI | Yield | EVI | |
| Kendall’s Tau | 0.099 | 0.257 | 0.667 | 0.333 | 0.057 | 0.476 |
| Mann–Kendall Stat (S) | 9.000 | 54.000 | 52.000 | 70.000 | 12.000 | 100.000 |
| Var (S) | 333.667 | 1096.667 | 268.667 | 1096.667 | 1096.667 | 1096.667 |
| p-value (two-tailed) | 0.667 | 0.110 | 0.002 | 0.037 | 0.740 | 0.003 |
| Alpha | 0.050 | 0.050 | 0.050 | 0.050 | 0.050 | 0.050 |
| Trend | Increasing (non- significant) | Increasing (non- significant) | Increasing (significant) | Increasing (significant) | Increasing (non- significant) | Increasing (significant) |
| Sen’s Slope Q | 54.10 | 0.003 | 89.91 | 0.003 | 0.301 | 0.003 |
Publisher’s Note: MDPI stays neutral with regard to jurisdictional claims in published maps and institutional affiliations. |
© 2021 by the authors. Licensee MDPI, Basel, Switzerland. This article is an open access article distributed under the terms and conditions of the Creative Commons Attribution (CC BY) license (https://creativecommons.org/licenses/by/4.0/).
Share and Cite
Barai, K.; Tasnim, R.; Hall, B.; Rahimzadeh-Bajgiran, P.; Zhang, Y.-J. Is Drought Increasing in Maine and Hurting Wild Blueberry Production? Climate 2021, 9, 178. https://doi.org/10.3390/cli9120178
Barai K, Tasnim R, Hall B, Rahimzadeh-Bajgiran P, Zhang Y-J. Is Drought Increasing in Maine and Hurting Wild Blueberry Production? Climate. 2021; 9(12):178. https://doi.org/10.3390/cli9120178
Chicago/Turabian StyleBarai, Kallol, Rafa Tasnim, Bruce Hall, Parinaz Rahimzadeh-Bajgiran, and Yong-Jiang Zhang. 2021. "Is Drought Increasing in Maine and Hurting Wild Blueberry Production?" Climate 9, no. 12: 178. https://doi.org/10.3390/cli9120178
APA StyleBarai, K., Tasnim, R., Hall, B., Rahimzadeh-Bajgiran, P., & Zhang, Y.-J. (2021). Is Drought Increasing in Maine and Hurting Wild Blueberry Production? Climate, 9(12), 178. https://doi.org/10.3390/cli9120178

