Defining Crop–Climate Departure in West Africa: Improved Understanding of the Timing of Future Changes in Crop Suitability
Abstract
1. Introduction
2. Data and Methods
2.1. Study Area
2.2. Data
2.2.1. Climatic Variables
2.2.2. Crop Thresholds to Suitability
2.2.3. Model Description
2.3. Method
3. Results
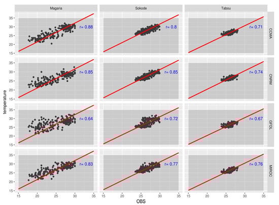
3.1. Evaluation of the GCMs in Simulating Rainfall and Temperature over West Africa
3.2. GCMs Representation of AEZs, Seasons, and Suitability over West Africa AEZs
3.3. Crop Suitability Response with Past Climate
3.4. Projected Changes in Crop Suitability and Time of Planting over West Africa
4. Discussion
4.1. From Climate Departure to Crop–climate Departure
4.2. Crop–Climate Departure and the Spatio-Temporal Variability of Crop-Suitability in West Africa
5. Summary and Conclusion
Author Contributions
Funding
Acknowledgments
Conflicts of Interest
Abbreviations
| ACCESS | Alliance for Collaboration for Climate and Earth System Sciences |
| AEZs | AgroEcological Zones |
| CCCMA | Canadian Centre for Climate Modelling and Analysis |
| CIP | Climate Information Portal |
| CMIP5 | Coupled Model Intercomparison Project (Phase 5) |
| CNRM5 | Centre National de Recherches Meteorolo-Giques |
| CSAG | Climate System Analysis Group |
| FAO | Food and Agriculture Organisation |
| GCMs | Global Climate Models |
| GFDL | Geophysical Fluid Dynamic Laboratory |
| MIROC | Japan agency for Marine-Earth Science and Technology Model |
| NRF | National Research Foundation |
| SSA | sub Saharan Africa |
| Declarations | |
| Ethics approval and consent to participate | Not applicable |
| Consent for publication | Not applicable |
| Availability of data and materials | Not applicable |
References
- Roudier, P.; Sultan, B.; Quirion, P.; Berg, A. The impact of future climate change on West African crop yields: What does the recent literature say? Glob. Environ. Chang. 2011, 21, 1073–1083. [Google Scholar] [CrossRef]
- Diasso, U.; Abiodun, B.J. Drought modes in West Africa and how well CORDEX RCMs simulate them. Theor. Appl. Climatol. 2017, 128, 223–240. [Google Scholar] [CrossRef]
- Omotosho, J.B.; Abiodun, B.J. A numerical study of moisture build-up and rainfall over West Africa. Meteorol. Appl. 2007, 14, 209–225. [Google Scholar] [CrossRef]
- World Bank. Making Development Climate Resilient. A World Bank Strategy for Sub-Saharan Africa. Report No. 46947-AFR. 2009, p. 144. Available online: http://siteresources.worldbank.org/INTAFRICA/Resources/ClimateChange-StrategyReport2010-Full_vNoImages.pdf (accessed on 21 August 2019).
- Blein, R.; Soulé, B.G.; Dupaigre, B.F.; Yérima, B. Agricultural Potential of West Africa. Available online: http://www.fondation-farm.org/IMG/pdf/potentialites_rapport_ang_mp.pdf (accessed on 21 August 2019).
- McCarthy, J.; Canziani, O.; Leary, N.; Dokken, D.; White, C. Climate Change 2001: Impacts, Adaptation, and Vulnerability. Available online: https://library.harvard.edu/collections/ipcc/docs/27_WGIITAR_FINAL.pdf (accessed on 21 August 2019).
- World Bank. World Development Report 2013: Jobs; License: Creative Commons Attribution CC BY 3.0; World Bank: Washington, DC, USA, 2012. [Google Scholar] [CrossRef]
- Benhin, J.K.A. South African crop farming and climate change: An economic assessment of impacts. Glob. Environ. Chang. 2008, 18, 666–678. [Google Scholar] [CrossRef]
- Schlenker, W.; Lobell, D.B. Robust negative impacts of climate change on African agriculture. Environ. Res. Lett. 2010, 5, 014010. [Google Scholar] [CrossRef]
- Slingo, J.M.; Challinor, A.J.; Hoskins, B.J.; Wheeler, T.R. Introduction: Food crops in a changing climate. Philos. Trans. R. Soc. B Biol. Sci. 2005, 360, 1983–1989. [Google Scholar] [CrossRef] [PubMed]
- Knox, J.; Hess, T.; Daccache, A.; Wheeler, T. Climate change impacts on crop productivity in Africa and South Asia. Environ. Res. Lett. 2012, 7, 034032. [Google Scholar] [CrossRef]
- Abatan, A.A. West African Extreme Daily Precipitation in Observations and Stretched-grid Simulations by CAM-EULAG. Available online: https://www.researchgate.net/publication/241809235_West_African_extreme_daily_precipitation_in_observations_and_stretched-grid_simulations_by_CAM-EULAG (accessed on 21 August 2019).
- Grolle, J. Heavy rainfall, famine, and cultural response in the West African Sahel: The ‘Muda’ of 1953–54. GeoJournal 2014, 43, 205–214. [Google Scholar] [CrossRef]
- Tarhule, A.; Woo, M.K. Towards an interpretation of historical droughts in northern Nigeria. Clim. Chang. 1997, 37, 601–616. [Google Scholar] [CrossRef]
- Challinor, A.; Wheeler, T.; Garforth, C.; Craufurd, P.; Kassam, A. Assessing the vulnerability of food crop systems in Africa to climate change. Clim. Chang. 2007, 83, 381–399. [Google Scholar] [CrossRef]
- Rippke, U.; Ramirez-Villegas, J.; Jarvis, A.; Vermeulen, S.J.; Parker, L.; Mer, F.; Diekkrüger, B.; Challinor, A.J.; Howden, M. Timescales of transformational climate change adaptation in sub-Saharan African agriculture. Nat. Clim. Chang. 2016, 6, 605–609. [Google Scholar] [CrossRef]
- Paeth, H.; Hall, N.M.; Gaertner, M.A.; Alonso, M.D.; Moumouni, S.; Polcher, J.; Ruti, P.M.; Fink, A.H.; Gosset, M.; Lebel, T.; et al. Progress in regional downscaling of west African precipitation. Atmos. Sci. Lett. 2011, 12, 75–82. [Google Scholar] [CrossRef]
- Hansen, J.; Sato, M.; Ruedy, R. Perception of climate change. Proc. Natl. Acad. Sci. USA 2012, 109, E2415–E2423. [Google Scholar] [CrossRef] [PubMed]
- Pretty, J.N.; Morison, J.I.L.; Hine, R.E. Reducing food poverty by increasing agricultural sustainability in developing countries. Agric. Ecosyst. Environ. 2003, 95, 217–234. [Google Scholar] [CrossRef]
- Sultan, B.; Gaetani, M. Agriculture in West Africa in the Twenty-First Century: Climate Change and Impacts Scenarios, and Potential for Adaptation. Front. Plant Sci. 2016, 7, 1–20. [Google Scholar] [CrossRef] [PubMed]
- Lobell, D.B.; Burke, M.B.; Tebaldi, C.; Mastrandrea, M.D.; Falcon, W.P.; Naylor, R.L. Prioritizing Climate Change Adaptation Needs for Food Security in 2030 Region. Science 2008, 319, 607–610. [Google Scholar] [CrossRef]
- Zinyengere, N.; Crespo, O.; Hachigonta, S. Crop response to climate change in southern Africa: A comprehensive review. Glob. Planet. Chang. 2013, 111, 118–126. [Google Scholar] [CrossRef]
- IPCC. Summary for Policymakers. In Climate Change 2013: The Physical Science Basis. Contribution of Working Group I to the Fifth Assessment Report of the Intergovernmental Panel on Climate Change; Stocker, T.F., Qin, D., Plattner, G.K., Tignor, M., Allen, S.K., Boschung, J., Nauels, A., Xia, Y., Bex, V., Midgley, P.M., Eds.; Cambridge University Press: Cambridge, UK, 2013. [Google Scholar]
- World Bank. World Development Report 2010: Development and Climate Change; World Bank: Washington, DC, USA, 2010; Available online: https://openknowledge.worldbank.org/handle/10986/4387 (accessed on 30 November 2018).
- Egbebiyi, T.S. Future Changes in Extreme Rainfall Events and African Easterly Waves over West Africa. Master’s Thesis, University of Cape Town, Cape Town, South Africa, 2016. [Google Scholar]
- Sui, Y.; Lang, X.; Jiang, D. Time of emergence of climate signals over China under the RCP4.5 scenario. Nat. Clim. Chang. 2013, 39, 1–5. [Google Scholar]
- Vermeulen, S.J.; Challinor, A.J.; Thornton, P.K.; Campbell, B.M.; Eriyagama, N.; Vervoort, J.M.; Kinyangi, J.; Jarvis, A.; Läderach, P.; Ramirez-Villegas, J.; et al. Addressing uncertainty in adaptation planning for agriculture. Proc. Natl. Acad. Sci. USA 2013, 110, 8357–8362. [Google Scholar] [CrossRef]
- Hawkins, E.; Sutton, R. Time of emergence of climate signals. Geophys. Res. Lett. 2012, 39, 1–6. [Google Scholar] [CrossRef]
- Mora, C.; Frazier, A.G.; Longman, R.J.; Dacks, R.S.; Walton, M.M.; Tong, E.J.; Sanchez, J.J.; Kaiser, L.R.; Stender, Y.O.; Anderson, J.M. The projected timing of climate departure from recent variability. Nature 2013, 502, 183–187. [Google Scholar] [CrossRef]
- Thornes, J.E. IPCC, 2001: Climate change 2001: Impacts, adaptation and vulnerability, Contribution of Working Group II to the Third Assessment Report of the Intergovernmental Panel on Climate Change, edited by J. J. McCarthy, O.F.; Canziani, N.A.; Leary, D.J., Dokken, A. Int. J. Climatol. 2002, 22, 1285–1286. [Google Scholar] [CrossRef]
- Porter, J.R.; Semenov, M.A. Crop responses to climatic variation. Philos. Trans. R. Soc. B Biol. Sci. 2005, 360, 2021–2035. [Google Scholar] [CrossRef]
- Lobell, D.B.; Schlenker, W.; Costa-Roberts, J. Climate trends and global crop production since 1980—Supporting Online Material. Science 2011, 333, 616–620. [Google Scholar] [CrossRef]
- Challinor, A.J.; Watson, J.; Lobell, D.B.; Howden, S.M.; Smith, D.R.; Chhetri, N. A meta-analysis of crop yield under climate change and adaptation. Nat. Clim. Chang. 2014, 4, 287–291. [Google Scholar] [CrossRef]
- Abiodun, B.J.; Adeyewa, Z.D.; Oguntunde, P.G.; Salami, A.T.; Ajayi, V.O. Modeling the impacts of reforestation on future climate in West Africa. Theor. Appl. Climatol. 2012, 110, 77–96. [Google Scholar] [CrossRef]
- Klutse, N.A.; Ajayi, V.O.; Gbobaniyi, E.O.; Egbebiyi, T.S.; Kouadio, K.; Nkrumah, F.; Quagraine, K.A.; Olusegun, C.; Diasso, U.; Abiodun, B.J. Potential impact of 1.5 °C and 2 °C global warming on consecutive dry and wet days over West Africa. Environ. Res. Lett. 2018, 13, 055013. [Google Scholar] [CrossRef]
- Janicot, S.; Caniaux, G.; Chauvin, F.; De Coëtlogon, G.; Fontaine, B.; Hall, N.; Kiladis, G.; Lafore, J.P.; Lavaysse, C.; Lavender, S.; et al. Intraseasonal variability of the West African monsoon. Atmos. Sci. Lett. 2011, 12, 58–66. [Google Scholar] [CrossRef]
- Nicholson, S.E. The West African Sahel: A Review of Recent Studies on the Rainfall Regime and Its Interannual Variability. ISRN Meteorol. 2013, 2013, 1–32. [Google Scholar] [CrossRef]
- Paeth, H.; Capo-Chichi, A.; Endlicher, W. Climate Change and Food Security in Tropical West Africa—A Dynamic-Statistical Modelling Approach. Erdkunde 2008, 2, 101–115. [Google Scholar] [CrossRef]
- Nelson, G.C.; Van Der Mensbrugghe, D.; Ahammad, H.; Blanc, E.; Calvin, K.; Hasegawa, T.; Havlik, P.; Heyhoe, E.; Kyle, P.; Lotze-Campen, H.; et al. Agriculture and climate change in global scenarios: Why don’t the models agree. Agric. Econ. 2014, 45, 85–101. [Google Scholar] [CrossRef]
- Jarvis, A.; Ramirez-Villegas, J.; Campo, B.V.H.; Navarro-Racines, C. Is Cassava the Answer to African Climate Change Adaptation? Trop. Plant Biol. 2012, 5, 9–29. [Google Scholar] [CrossRef]
- FAOSTAT. FAO Statistical Yearbook 2014. 2014. Available online: http://www.fao.org/3/a-i3590e.pdf (accessed on 21 August 2019).
- Srivastava, A.K.; Gaiser, T.; Ewert, F. Climate change impact and potential adaptation strategies under alternate climate scenarios for yam production in the sub-humid savannah zone of West Africa. Mitig. Adapt. Strateg. Glob. Chang. 2016, 21, 955–968. [Google Scholar] [CrossRef]
- Hijmans, R.J.; Guarino, L.; Cruz, M.; Rojas, E. Computer tools for spatial analysis of plant genetic resources data: 1. DIVA-GIS. Plant Genet. Resour. Newsletter 2001, 127, 15–19. [Google Scholar]
- Cong, R.G.; Brady, M. The interdependence between rainfall and temperature: Copula analyses. Sci. World J. 2012, 12. [Google Scholar] [CrossRef]
- IPCC. IPCC Expert Meeting on Climate Change, Food, and Agriculture. Available online: https://www.ipcc.ch/site/assets/uploads/2018/05/Food-EM_MeetingReport_FINAL-1.pdf (accessed on 21 August 2019).
- Medori, M.; Michelini, L.; Nogues, I.; Loreto, F.; Calfapietra, C. The impact of root temperature on photosynthesis and isoprene emission in three different plant species. Sci. World J. 2012, 2012. [Google Scholar] [CrossRef]
- Olesen, J.E.; Bindi, M. Consequences of climate change for European agricultural productivity, land use and policy. Eur. J. Agron. 2002, 16, 239–262. [Google Scholar] [CrossRef]
- Cantelaube, P.; Terres, J.M. Seasonal weather forecasts for crop yield modelling in Europe. Tellus Ser. A Dyn. Meteorol. Oceanogr. 2005, 57, 476–487. [Google Scholar] [CrossRef]
- Hewitson, B.C.; Crane, R.G. Gridded area-averaged daily precipitation via conditional interpolation. J. Clim. 2005, 18, 41–57. [Google Scholar] [CrossRef]
- Ramirez-Villegas, J.; Jarvis, A.; Läderach, P. Empirical approaches for assessing impacts of climate change on agriculture: The EcoCrop model and a case study with grain sorghum. Agric. For. Meteorol. 2013, 170, 67–78. [Google Scholar] [CrossRef]
- Hijmans, A.R.J.; Phillips, S.; Leathwick, J.; Elith, J.; Hijmans, M.R.J.; Hijmans, R.J. Species Distribution Modeling. Available online: https://cran.r-project.org/web/packages/dismo/dismo.pdf (accessed on 21 August 2019).
- Hunter, R.; Crespo, O. Large Scale Crop Suitability Assessment Under Future Climate Using the Ecocrop Model: The Case of Six Provinces in Angola’s Planalto Region; Springer: Cham, Switzerland, 2018. [Google Scholar]
- White, J.W.; Hoogenboom, G.; Kimball, B.A.; Wall, G.W. Methodologies for simulating impacts of climate change on crop production. F. Crop. Res. 2011, 124, 357–368. [Google Scholar] [CrossRef]
- Vrieling, A.; de Leeuw, J.; Said, M.Y. Length of growing period over africa: Variability and trends from 30 years of NDVI time series. Remote Sens. 2013, 5, 982–1000. [Google Scholar] [CrossRef]
- Butt, B.; Turner, M.D.; Singh, A.; Brottem, L. Use of MODIS NDVI to evaluate changing latitudinal gradients of rangeland phenology in Sudano-Sahelian West Africa. Remote Sens. Environ. 2011, 115, 3367–3376. [Google Scholar] [CrossRef]
- Brown, M.E.; de Beurs, K.M. Evaluation of multi-sensor semi-arid crop season parameters based on NDVI and rainfall. Remote Sens. Environ. 2008, 112, 2261–2271. [Google Scholar] [CrossRef]
- Dixon, J.A.; Gibbon, D.P.; Gulliver, A. Farming Systems and Poverty: Improving Farmers’ Livelihoods in a Changing World; FAO & World Bank: Rome, Italy; Washington, DC, USA, 2001. [Google Scholar]
- Alliance for Green Revolution in Africa (AGRA). The Africa Agriculture Status Report 2014: Climate Change and Smallholder Agriculture in Sub-Saharan Africa. Available online: https://ccafs.cgiar.org/publications/africa-agriculture-status-report-2014-climate-change-and-smallholder-agriculture-sub#.XVy0U0G-lPY (accessed on 21 August 2019).
- Bationo, A.; Hartemink, A.E.; Lungo, O.; Naimi, M.; Okoth, P.; Smaling, E.M.A.; Thiombiano, L. African Soils: Their Productivity and Profitability of Fertilizer Use. Available online: https://library.wur.nl/WebQuery/wurpubs/fulltext/26759 (accessed on 21 August 2019).
- Mason, S.C.; Maman, N.; Palé, S. Pearl millet production practices in semi-arid West Africa: A review. Exp. Agric. 2015, 51, 501–521. [Google Scholar] [CrossRef]
- Singh, P.; Boote, K.J.; Kadiyala, M.D.; Nedumaran, S.; Gupta, S.K.; Srinivas, K.; Bantilan, M.C. Science of the Total Environment An assessment of yield gains under climate change due to genetic modi fi cation of pearl millet. Sci. Total Environ. 2017, 601–602, 1226–1237. [Google Scholar] [CrossRef]
- Barrett, H.; Browne, A. Export Horticultural Production in Sub-Saharan Africa: The Incorporation of The Gambia. Geography 1996, 81, 47–56. [Google Scholar]
- Takane, T. Smallholders and nontraditional exports under economic liberalization: The case of pineapples in Ghana. Afr. Study Monogr. 2004, 25, 29–43. [Google Scholar]
- IPCC. Summary for Policymakers. In Climate Change 2007: The Physical Science Basis. Contribution of Working Group I to the Fourth Assessment Report of the Intergovernmental Panel on Climate Change; Solomon, S., Qin, D., Manning, M., Chen, Z., Marquis, M., Ave, K.B., Eds.; Cambridge University Press: Cambridge, UK; New York, NY, USA, 2007. [Google Scholar]
- Wheeler, T.; von Braun, J. Climate change impacts on global food security. Science 2013, 341, 55–60. [Google Scholar] [CrossRef]
- Ramirez-Villegas, J.; Thornton, P.K. Climate Change Impacts on African Crop Production; CCAFS Working Paper No. 119; CGIAR Research Program on Climate Change, Agriculture and Food Security (CCAFS): Copenhagen, Denmark, 2015; 27p. [Google Scholar]
- Ramirez-Villegas, J.; Lau, C.; Hooker, J.; Jarvis, A.; Ann-Kristin, K.; Arnell, N.; Tom, O. Climate Analogues: Finding Tomorrow’s Agriculture Today CGIAR Research Program on Climate Change; Agriculture and Food Security (CCAFS): Copenhagen, Denmark, 2011. Available online: https://ccafs.cgiar.org/publications/climate-analogues-finding-tomorrow%E2%80%99s-agriculture-today-0#.XVy3U0G-lPY (accessed on 21 August 2019).









| Modelling Institution | Institute ID | Model Name | Resolution |
|---|---|---|---|
| Canadian centre for climate modelling and analysis | CCCMA | CanESM2 | 2.8° × 2.8° |
| Centre National de Recherches Meteorolo-Giques/Centre Europeen de Recherche et Formation Avanceesencalcul scientifique | CNRMCERFACS | CNRM-CM5 | 1.4° × 1.4° |
| National Oceanic and Atmospheric Administration Geophysical Fluid Dynamic Laboratory | NOAAGDFL | GFDL_ESM2M | 2.5° × 2.0° |
| Japan agency for Marine-Earth Science and Technology | MIROC | MIROC5 | 1.4° × 1.4° |
| Crop Name | Growing Duration (Days) | Temperature (°C) | Rainfall (mm) | ||||||
|---|---|---|---|---|---|---|---|---|---|
| Tmin | Topmin | Topmax | Tmax | Rmin | Ropmin | Ropmax | Rmax | ||
| Pearl millet | 60–120 | 12 | 25 | 35 | 40 | 200 | 400 | 900 | 1700 |
| Maize | 65–365 | 10 | 18 | 33 | 47 | 400 | 600 | 1200 | 1800 |
| Cassava | 180–365 | 10 | 20 | 29 | 35 | 500 | 1000 | 1500 | 5000 |
| Plantain | 365 | 16 | 23 | 28 | 38 | 1000 | 1300 | 2000 | 5000 |
| Pineapple | 330–365 | 10 | 21 | 30 | 36 | 550 | 800 | 2500 | 3500 |
| Tomato | 70–150 | 7 | 20 | 27 | 35 | 400 | 600 | 1300 | 1800 |
| Orange | 180–365 | 13 | 20 | 38 | 38 | 450 | 1200 | 2000 | 2700 |
| Mango | 150–365 | 8 | 24 | 30 | 48 | 300 | 600 | 1500 | 2600 |
| Years | 1960 | 1990 | 2020 | 2050 | 2080 | ||||||||||
|---|---|---|---|---|---|---|---|---|---|---|---|---|---|---|---|
| Crops/AEZs | GUI | SAV | SAH | GUI | SAV | SAH | GUI | SAV | SAH | GUI | SAV | SAH | GUI | SAV | SAH |
| Cassava | >0.75 | >0.75 | <0.25 | >0.75 | >0.75 | <0.25 | >0.75 | >0.50 | <0.25 | >0.75 | ≤0.50 | <0.25 | >0.75 | <0.50 | <0.25 |
| Maize | ≤0.50 | ≥0.50 | <0.75 | ≤0.50 | ≥0.50 | 0.50–0.75 | <0.50 | >0.50 | >0.50 | <0.50 | >0.50 | >0.50 | <0.50 | >0.75 | >0.75 |
| Mango | 0.50–0.75 | 1.00 | ≤0.75 | 0.50–0.75 | 1.00 | ≤0.75 | 0.50–0.75 | >0.75 | >0.75 | 0.50–0.75 | >0.75 | 0.75 | 0.50–0.75 | >0.75 | 0.75 |
| Orange | >0.75 | >0.75 | <0.25 | >0.75 | >0.75 | <0.25 | >0.75 | >0.75 | >0.25 | >0.75 | 0.50–0.75 | <0.25 | >0.75 | 0.50–0.75 | <0.25 |
| Pearl millet | >0.75 | >0.50 | >0.50 | >0.75 | >0.50 | >0.50 | >0.75 | >0.50 | >0.50 | >0.75 | >0.50 | >0.50 | >0.75 | >0.50 | >0.50 |
| Pineapple | >0.75 | >0.75 | <0.5 | >0.75 | <0.50 | <0.50 | >0.75 | >0.75 | 0.50 | >0.75 | 0.50–0.75 | <0.50 | >0.75 | <0.50 | <0.50 |
| Plantain | 1.00 | >0.75 | 0.00 | 1.00 | >0.75 | 0.00 | >0.75 | <0.75 | 0.00 | >0.75 | <0.75 | 0.00 | >0.75 | <0.50 | 0.00 |
| Tomato | >0.75 | >0.25 | <0.5 | >0.75 | >0.50 | <0.5 | >0.75 | >0.50 | <0.5 | <0.75 | <0.50 | <0.25 | <0.75 | <0.50 | <0.25 |
© 2019 by the authors. Licensee MDPI, Basel, Switzerland. This article is an open access article distributed under the terms and conditions of the Creative Commons Attribution (CC BY) license (http://creativecommons.org/licenses/by/4.0/).
Share and Cite
Egbebiyi, T.S.; Crespo, O.; Lennard, C. Defining Crop–Climate Departure in West Africa: Improved Understanding of the Timing of Future Changes in Crop Suitability. Climate 2019, 7, 101. https://doi.org/10.3390/cli7090101
Egbebiyi TS, Crespo O, Lennard C. Defining Crop–Climate Departure in West Africa: Improved Understanding of the Timing of Future Changes in Crop Suitability. Climate. 2019; 7(9):101. https://doi.org/10.3390/cli7090101
Chicago/Turabian StyleEgbebiyi, Temitope S., Olivier Crespo, and Chris Lennard. 2019. "Defining Crop–Climate Departure in West Africa: Improved Understanding of the Timing of Future Changes in Crop Suitability" Climate 7, no. 9: 101. https://doi.org/10.3390/cli7090101
APA StyleEgbebiyi, T. S., Crespo, O., & Lennard, C. (2019). Defining Crop–Climate Departure in West Africa: Improved Understanding of the Timing of Future Changes in Crop Suitability. Climate, 7(9), 101. https://doi.org/10.3390/cli7090101

