Strategies for Development and Improvement of the Urban Fabric: A Vienna Case Study
Abstract
:1. Introduction
1.1. Background
1.2. Overview
- First, high-resolution data streams across distinct urban and non-urban locations were obtained, structured, and analyzed. This facilitated the investigation of the microclimatic diversity across these locations. Additionally, this allowed for the identification of essential features of the built environment that are hypothesized to influence the extent of stored heat in the physical mass of the city.
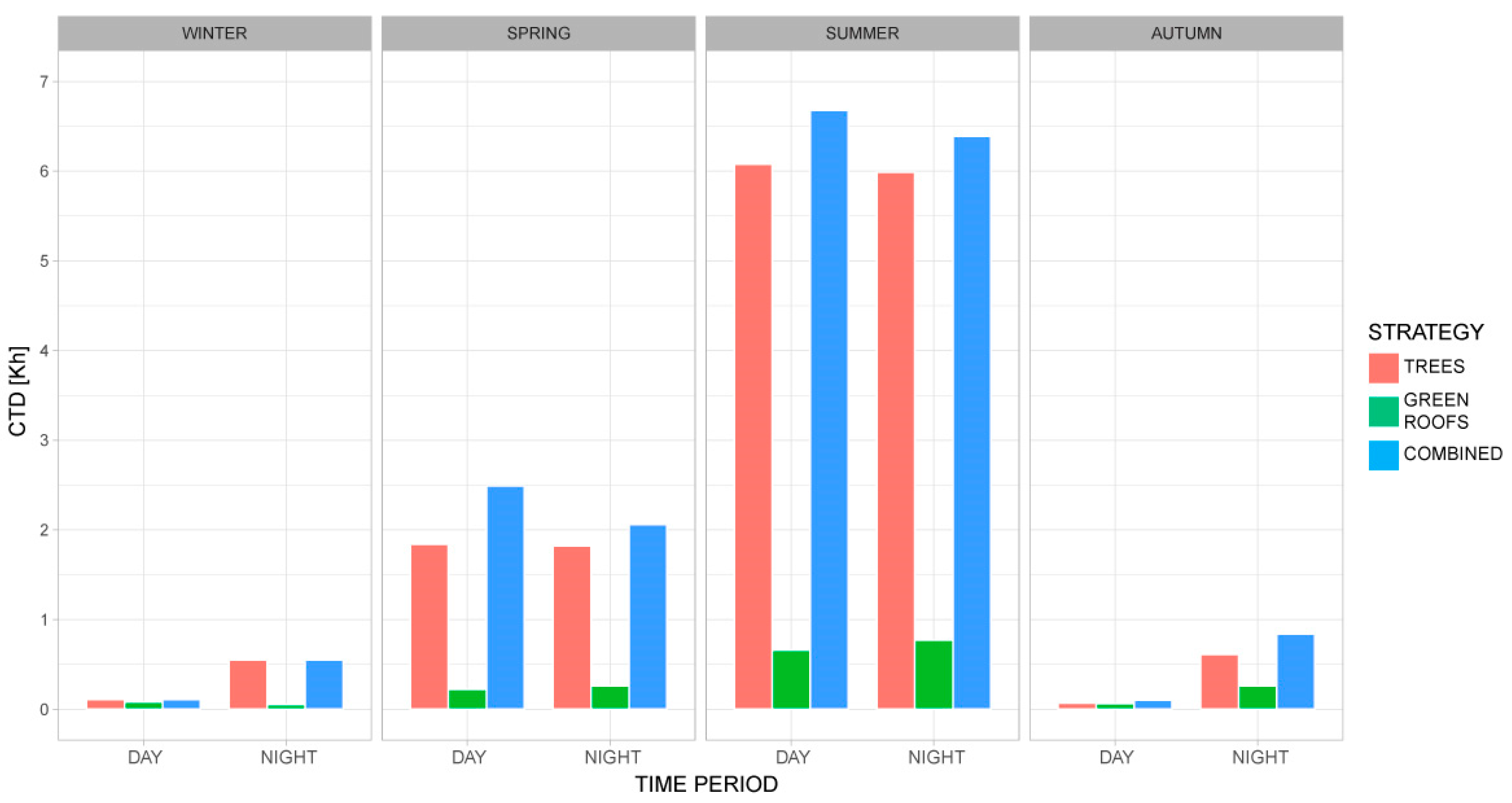
- Subsequently, we investigated the potential of specific mitigation strategies to remedy the negative phenomena associated with urban overheating. For this purpose, three mitigation strategies were considered for the targeted high-density urban area: (i) planting trees, (ii) greening of the roofs, (iii) combination of both measures. These measures were selected based on their potential as a viable mitigation strategy that can be conveniently integrated into the existing urban fabric, their potential for generating both short- and long-term mitigation effects in urban areas, and their compatibility with local climatic conditions. To facilitate the environmental impact assessment of these measures, comprehensive simulations were carried out using the state-of-the-art CFD-based numeric simulation environment ENVI-met [35].
- Additionally, we investigated the microclimatic consequences of a proposed urban development in an existing abandoned industrial site using the same numeric simulation environment.
2. Methodology
2.1. Microclimate Development in Vienna
2.2. Strategies for Development and Improvement of the Urban Fabric
3. Results and Discussion
4. Conclusions
Acknowledgments
Author Contributions
Conflicts of Interest
References
- World Health Organization (WHO). Global Report on Urban Health: Equitable, Healthier Cities for Sustainable Development; World Health Organization: Geneva, Switzerland, 2016; Available online: http://www.who.int/iris/handle/10665/204715 (accessed on 10 December 2017).
- United Nations, Department of Economic and Social Affairs, Population Division. World Urbanization Prospects: The 2014 Revision, Highlights (ST/ESA/SER.A/352); United Nations: New York, NY, USA, 2014. [Google Scholar]
- United Nations, Department of Economic and Social Affairs, Population Division. World Population Prospects: The 2015 Revision, Key Findings and Advance Tables; Working Paper No. ESA/P/WP.241; United Nations: New York, NY, USA, 2015. [Google Scholar]
- Wilson, B.; Chakraborty, A. The Environmental Impacts of Sprawl. Sustainability 2013, 5, 3302–3327. [Google Scholar] [CrossRef]
- The European Parliament and the Council of the European Union (EUROPA). Directive 2010/31/EU on the Energy Performance of Buildings. Official Journal of the European Union L 153/13-33. Available online: http://www.buildup.eu/en/practices/publications/directive-201031eu-energy-performance-buildings-recast-19-may-2010 (accessed on 10 December 2017).
- Harlan, S.L.; Ruddell, D.M. Climate change and health in cities: Impacts of heat and air pollution and potential co-benefits from mitigation and adaptation. Curr. Opin. Environ. Sustain. 2011, 3, 126–134. [Google Scholar] [CrossRef]
- Dong, Y.; Varquez, A.C.G.; Kanda, M. Global anthropogenic heat flux database with high spatial resolution. Atmos. Environ. 2017, 150, 276–294. [Google Scholar] [CrossRef]
- Murray, J.; Heggie, D. From urban to national heat island: The effect of anthropogenic heat output on climate change in high population industrial countries. Earth's Future 2016, 4, 298–304. [Google Scholar] [CrossRef]
- Feng, J.-M.; Wang, Y.-L.; Ma, Z.-G.; Liu, Y.-H. Simulating the Regional Impacts of Urbanization and Anthropogenic Heat Release on Climate across China. J. Clim. 2012, 25, 7187–7203. [Google Scholar] [CrossRef]
- Sailor, D.J.; Georgescu, M.; Milne, J.M.; Hart, M.A. Development of a national anthropogenic heating database with an extrapolation for international cities. Atmos. Environ. 2015, 118, 7–18. [Google Scholar] [CrossRef]
- Ryu, Y.-H.; Baik, J.-J.; Lee, S.-H. Effects of anthropogenic heat on ozone air quality in a megacity. Atmos. Environ. 2013, 80, 20–30. [Google Scholar] [CrossRef]
- Asikainen, A.; Pärjälä, E.; Jantunen, M.; Tuomisto, J.T.; Sabel, C.E. Effects of Local Greenhouse Gas Abatement Strategies on Air Pollutant Emissions and on Health in Kuopio, Finland. Climate 2017, 5, 43. [Google Scholar] [CrossRef]
- Zhang, G.J.; Cai, M.; Hu, A. Energy consumption and the unexplained winter warming over northern Asia and North America. Nat. Clim. Chang. 2013, 3, 466–470. [Google Scholar] [CrossRef]
- Stott, P.A.; Stone, D.A.; Allen, M.R. Human contribution to the European heatwave of 2003. Nature 2004, 432, 610–614. [Google Scholar] [CrossRef] [PubMed]
- Krpo, A.; Salamanca, F.; Martilli, A.; Clappier, A. On the Impact of Anthropogenic Heat Fluxes on the Urban Boundary Layer: A Two-Dimensional Numerical Study. Bound.-Layer Meteorol. 2010, 136, 105–127. [Google Scholar] [CrossRef]
- Chen, Y.; Jiang, W.M.; Zhang, N.; He, X F.; Zhou, R.W. Numerical simulation of the anthropogenic heat effect on urban boundary layer structure. Theor. Appl. Climatol. 2008, 97, 123–134. [Google Scholar] [CrossRef]
- Erell, E.; Pearlmutter, D.; Williamson, T.J. Urban Microclimate: Designing the Spaces between Buildings, 1st ed.; Earthscan: London, UK, 2011. [Google Scholar]
- Chen, B.; Dong, L.; Shi, C.; Li, L.-J.; Chen, L.-F. Anthropogenic Heat Release: Estimation of Global Distribution and Possible Climate Effect. J. Meteorol. Soc. Jpn. 2014, 92, 157–165. [Google Scholar] [CrossRef]
- Crutzen, P. New directions: the growing urban heat and pollution “island” effect- impact on chemistry and climate. Atmos. Environ. 2004, 38, 3539–3540. [Google Scholar] [CrossRef]
- Grimmond, C.S.B. Urbanization and global environmental change: local effects of urban warming. Cities Glob. Environ. Chang. 2007, 173, 83–88. [Google Scholar] [CrossRef]
- Zhao, C.; Fu, G.; Liu, X.; Fu, F. Urban planning indicators, morphology and climate indicators: A case study for a north-south transect of Beijing, China. Build. Environ. 2011, 46, 1174–1183. [Google Scholar] [CrossRef]
- Gago, E.J.; Roldan, J.; Pacheco-Torres, R.; Ordóñez, J. The city and urban heat islands: A review of strategies to mitigate adverse effects. Renew. Sustain. Energy Rev. 2013, 25, 749–758. [Google Scholar] [CrossRef]
- Aleksandrowicz, O.; Vuckovic, M.; Kiesel, K.; Mahdavi, A. Current trends in urban heat island mitigation research: Observations based on a comprehensive research repository. Urban Clim. 2017, 21, 1–26. [Google Scholar] [CrossRef]
- Santamouris, M. Heat Island Research in Europe: The State of the Art. Adv. Build. Energy Res. 2007, 1, 123–150. [Google Scholar] [CrossRef]
- Santamouris, M. Cooling the cities—A review of reflective and green roof mitigation technologies to fight heat island and improve comfort in urban environments. Solar Energy 2014, 103, 682–703. [Google Scholar] [CrossRef]
- Hebbert, M.; Webb, B. Towards a Liveable Urban Climate: Lessons from Stuttgart. In Liveable Cities: Urbanising World; Routledge: New York, NY, USA, 2012; pp. 132–150. [Google Scholar]
- Pisello, A.L.; Castaldo, V.L.; Piselli, C.; Pignatta, G.; Cotana, F. Combined Thermal Effect of Cool Roof and Cool Façade on a Prototype Building. Energy Procedia 2015, 78, 1556–1561. [Google Scholar] [CrossRef]
- Heusinger, J.; Weber, S. Comparative microclimate and dewfall measurements at an urban green roof versus bitumen roof. Build. Environ. 2015, 92, 713–723. [Google Scholar] [CrossRef]
- Cameron, R.W.F.; Taylor, J.E.; Emmett, M.R. What’s ‘cool’ in the world of green façades? How plant choice influences the cooling properties of green walls. Build. Environ. 2014, 73, 198–207. [Google Scholar] [CrossRef]
- Berardi, U.; GhaffarianHoseini, A.H.; GhaffarianHoseini, A. State-of-the-art analysis of the environmental benefits of green roofs. Appl. Energy 2014, 115, 411–428. [Google Scholar] [CrossRef]
- Akbari, H.; Kolokotsa, D. Three decades of urban heat islands and mitigation technologies research. Energy Build. 2016, 133, 834–842. [Google Scholar] [CrossRef]
- Georgakis, Ch.; Zoras, S.; Santamouris, M. Studying the effect of “cool” coatings in street urban canyons and its potential as a heat island mitigation technique. Sustain. Cities Soc. 2014, 13, 20–31. [Google Scholar] [CrossRef]
- Gunawardena, K.R.; Wells, M.J.; Kershaw, T. Utilising green and bluespace to mitigate urban heat island intensity. Sci. Total Environ. 2017, 584, 1040–1055. [Google Scholar] [CrossRef] [PubMed]
- Wang, Y.; Akbari, H. The effects of street tree planting on Urban Heat Island mitigation in Montreal. Sustain. Cities Soc. 2016, 27, 122–128. [Google Scholar] [CrossRef]
- Huttner, S.; Bruse, M. Numerical modelling of the urban climate—A preview on ENVI-met 4.0. In Proceedings of the 7th International Conference on Urban Climate ICUC-7, Yokohama, Japan, 29 June–3 July 2009. [Google Scholar]
- Vuckovic, M.; Kiesel, K.; Mahdavi, A. The extent and implications of the microclimatic conditions in the urban environment: A Vienna case study. Sustainability 2017, 9, 177. [Google Scholar] [CrossRef]
- Vuckovic, M.; Kiesel, K.; Mahdavi, A. Toward advanced representations of the urban microclimate inbuilding performance simulation. Sustain. Cities Soc. 2016, 27, 356–366. [Google Scholar] [CrossRef]
- Mahdavi, A.; Kiesel, K.; Vuckovic, M. Methodologies for UHI analysis. In Counteracting Urban Heat Island Effects in a Global Climate Change Scenario; Musco, F., Ed.; Springer: Berlin, Germany, 2016; pp. 71–91. [Google Scholar] [CrossRef]
- QGIS 2.10. Available online: www.qgis.org/ (accessed on 1 September 2017).
- Glawischnig, S.; Kiesel, K.; Mahdavi, A. Feasibility analysis of open-government data for the automated calculation of the micro-climatic attributes of Urban Units of Observation in the city of Vienna. In Proceedings of the 2nd ICAUD International Conference in Architecture and Urban Design, Epoka University, Tirana, Albania, 8–10 May 2014. [Google Scholar]
- Glawischnig, S.; Hammerberg, K.; Vuckovic, M.; Kiesel, K.; Mahdavi, A. A case study of geometry-based automated calculation of microclimatic attributes. In Proceedings of the 10th European Conference on Product and Process Modelling, Vienna, Austria, 17–19 September 2014. [Google Scholar]
- ZAMG, Zentralanstalt für Meteorologie und Geodynamik. Available online: http://www.zamg.ac.at (accessed on 1 September 2017).
- Svensson, P.; Björnsson, H.; Samuli, A.; Andresen, L.; Bergholt, L.; Tveito, O.E.; Agersten, S.; Pettersson, O.; Vejen, F. Quality Control of Meteorological Observations, Description of potential HQC Systems; met.no Report; Norwegian Meteorological Institute: Oslo, Norwegian, 2004. [Google Scholar]
- Bañuelos-Ruedas, F.; Angeles-Camacho, C.; Rios-Marcuello, S. Methodologies Used in the Extrapolation of Wind Speed Data at Different Heights and Its Impact in the Wind Energy Resource Assessment in a Region. In Wind Farm—Technical Regulations, Potential Estimation and Siting Assessment; Suvire, G.O., Ed.; InTech: Rijeka, Croatia, 2011; p. 246. [Google Scholar]
- Stewart, I.D.; Oke, T.R. Local Climate Zones for Urban Temperature Studies. Bull. Am. Meteorol. Soc. 2012, 93, 1879–1900. [Google Scholar] [CrossRef]
- Salata, F.; Golasi, I.; De Lieto Vollaro, R.; De Lieto Vollaro, A. Urban microclimate and outdoor thermal comfort. A proper procedure to fit ENVI-met simulation outputs to experimental data. Sustain. Cities Soc. 2016, 26, 318–343. [Google Scholar] [CrossRef]
- Huttner, S.; Bruse, M.; Dostal, P. Using ENVI-met to simulate the impact of global warming on the microclimate in central European cities. In Berichte des Meteorologischen Instituts der Albert-Ludwigs-Universität Freiburg Nr. 18 (2008), Proceedings of the 5th Japanese-German Meeting on Urban Climatology, Albert-Ludwigs-University of Freiburg, Freiburg, Germany, 6–8 October 2008; Mayer, H., Matzarakis, A., Eds.; Self-Publishing Company of the Meteorological Institute, Albert-Ludwigs-University of Freiburg: Freiburg, Germany, 2008; pp. 307–312. [Google Scholar]
- Gusson, C.S.; Duarte, D.H.S. Effects of Built Density and Urban Morphology on Urban Microclimate—Calibration of the Model ENVI-met V4 for the Subtropical Sao Paulo, Brazil. Procedia Eng. 2016, 169, 2–10. [Google Scholar] [CrossRef]
- Maleki, A.; Kiesel, K.; Vuckovic, M.; Mahdavi, A. Empirical and computational issues of microclimate simulation. Inf. Commun. Technol. Lect. Notes Comput. Sci. 2014, 8407, 78–85. [Google Scholar] [CrossRef]
- Still, C.J.; Berry, J.A.; Collatz, G.J.; DeFries, R.S. Global distribution of C3 and C4 vegetation: Carbon cycle Implications. Glob. Biogeochem. Cycles 2003, 17, 1006. [Google Scholar] [CrossRef]
- Yearly Sun Graph. Available online: www.timeanddate.com/sun/austria/vienna (accessed on 1 December 2017).
- MA22, 2015. Magistrat der Stadt Wien—Die Wiener Umweltschutzabteilung (Municipal Department 22—Environmental Protection in Vienna). Available online: www.umweltschutz.wien.at (accessed on 1 Spetember 2017).







| Name | LCZ 1 | Temperature Sensor Height (m) | Wind Sensor Height (m) | Built Area Fraction 2 | Average Building Height [m] | Qf [kWh/m2a1] |
|---|---|---|---|---|---|---|
| IS | LCZ 2 | 9.3 | 52 | 0.41 | 23.35 | 350 |
| HW | LCZ 6 | 1.9 | 35 | 0.18 | 8.00 | 177 |
| DF | LCZ 6 | 2 | 13 | 0.20 | 6.15 | 89 |
| MB | LCZ 9 | 2.1 | 9.5 | 0.04 | 5.23 | 70 |
| SD | LCZ 8D | 2.1 | 15 | 0.08 | 5.29 | 67 |
| Parameter | Unit | Winter | Spring | Summer | Autumn |
|---|---|---|---|---|---|
| Total simulation time | h | 48 | 48 | 48 | 48 |
| Grid size | m | 4 | 4 | 4 | 4 |
| Adjustment factor for solar radiation | - | 0.82 | 0.82 | 0.82 | 0.82 |
| Specific humidity at 2500 m | g Water/kg air | 3 | 7 | 8 | 6 |
| Initial temperature at the upper soil layer (0–20 cm) | K | 275 | 290 | 293 | 281 |
| Turbulence scheme for 1D reference model/3D main model | - | Prognostic (TKE closure) | |||
| Roughness length z0 at reference point | m | 0.1 | 0.1 | 0.1 | 0.1 |
| Time | Winter | Spring | Summer | Autumn |
|---|---|---|---|---|
| Reference day | 22 February | 4 May | 5 August | 5 November |
| Daylight | 07:00–17:00 | 05:00–20:00 | 06:00–20:00 | 07:00–16:00 |
| CTD [Kh] | Winter | Spring | Summer | Autumn |
|---|---|---|---|---|
| Day | 0 | 6.5 | 12.7 | 0 |
| Night | 0 | 0 | 0.33 | 0 |
© 2018 by the authors. Licensee MDPI, Basel, Switzerland. This article is an open access article distributed under the terms and conditions of the Creative Commons Attribution (CC BY) license (http://creativecommons.org/licenses/by/4.0/).
Share and Cite
Vuckovic, M.; Maleki, A.; Mahdavi, A. Strategies for Development and Improvement of the Urban Fabric: A Vienna Case Study. Climate 2018, 6, 7. https://doi.org/10.3390/cli6010007
Vuckovic M, Maleki A, Mahdavi A. Strategies for Development and Improvement of the Urban Fabric: A Vienna Case Study. Climate. 2018; 6(1):7. https://doi.org/10.3390/cli6010007
Chicago/Turabian StyleVuckovic, Milena, Aida Maleki, and Ardeshir Mahdavi. 2018. "Strategies for Development and Improvement of the Urban Fabric: A Vienna Case Study" Climate 6, no. 1: 7. https://doi.org/10.3390/cli6010007
APA StyleVuckovic, M., Maleki, A., & Mahdavi, A. (2018). Strategies for Development and Improvement of the Urban Fabric: A Vienna Case Study. Climate, 6(1), 7. https://doi.org/10.3390/cli6010007

