Assessment of Run-of-River and Hydropower Plants in Peru: Current and Potential Sites, Historical Variability (1981–2020), and Climate Change Projections (2035–2100)
Abstract
1. Introduction
2. Materials and Methods
2.1. Study Area
Restriction Zones
2.2. Overview
2.3. Datasets
2.3.1. Historical Hydrological and Climatological Data
2.3.2. Future Climatological Data
2.3.3. Hydropower Plants Databases
2.3.4. Potential Sites Definition Databases
2.4. Methods
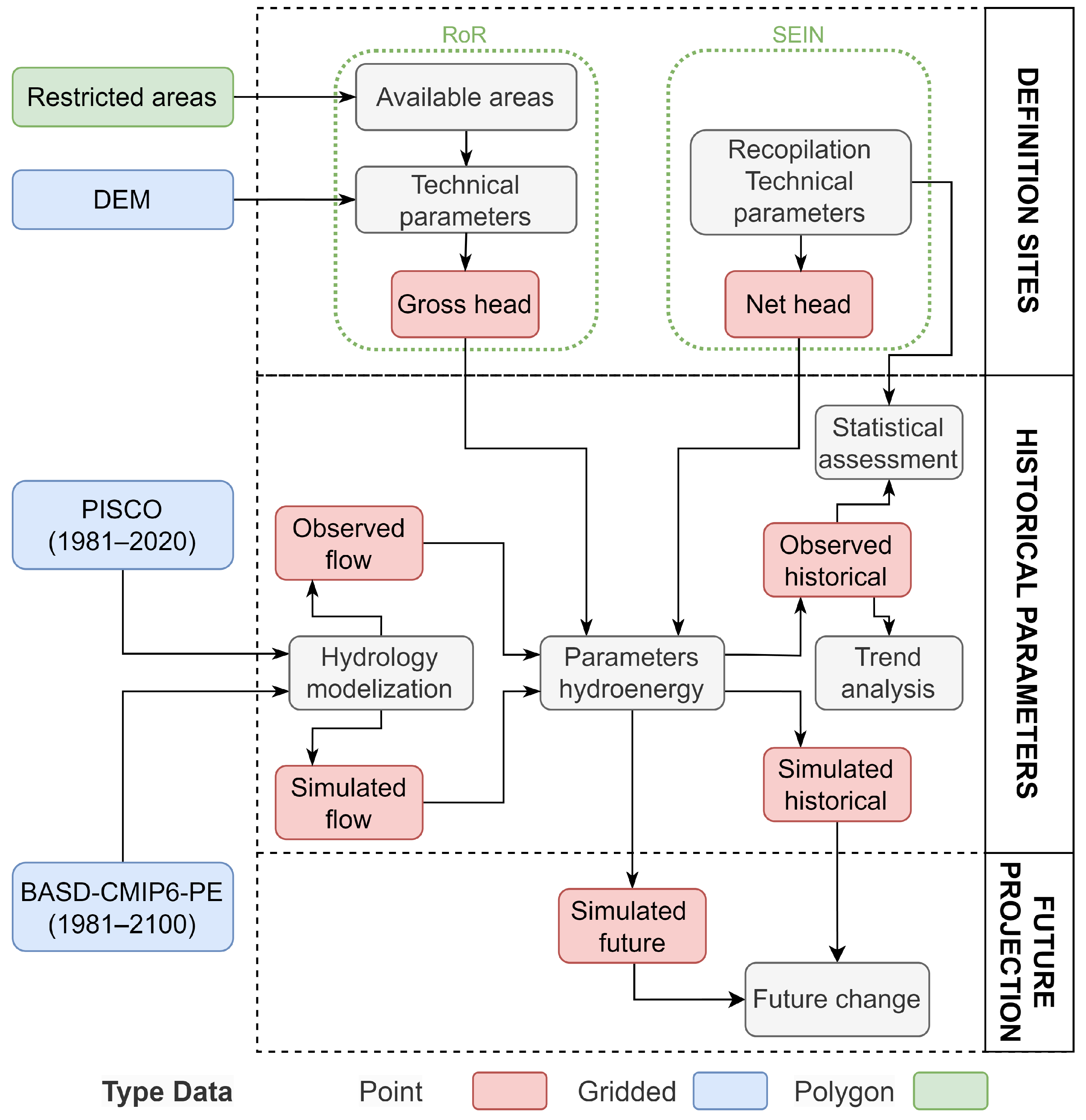
2.4.1. Definition Sites
2.4.2. Historical Parameters
2.4.3. Future Projection
3. Results
3.1. Potential Hydropower Sites
- (a)
- The total rivers belonging to the 2523 sub-basins have a total capacity of 91.7 GW. The average of these sub-basins is 36.3 MW with a maximum of 5022 MW. Other estimates differ by approximately 30%, such as 58.9–69.4 GW [75,94]. In contrast, the study [94] indicates that the theoretical capacity is 170 GW.
- (b)
- If we limit this threshold to the one allocated to SHPs, the potential capacity decreases to 29.1 GW with an energy of 484.5 TWh/yr. Furthermore, over 305 MW are currently installed in SHPs [60]. As a result, the potential CR is approximately 28.8 GW.
- (c)
- When selecting only the mini SHPs (Table 2), the potential CR is only 2600 MW with an energy of 54.2 TWh/yr, i.e., 10 and 12% of the total, respectively. More than 3.4 MW are currently installed in SHP [60]. As a result, the potential CR is approximately 2597 MW, distributed over 6103 sites with an average of 0.43 MW.
- (d)
- When selecting only small SHPs (Table 2), the potential CR is only 26,460 GW with an energy of 430.3 TWh/yr, i.e., 90 and 88% of the total, respectively. More than 302 MW are currently installed in SHPs [60]. As a result, the potential CR is approximately 26,198 MW, distributed over 5862 sites with an average of 4.5 MW.
3.2. Historical Hydropower Assessment
3.2.1. Evaluation of Hydropower Parameters
3.2.2. Trends
3.2.3. Statistical Assessment
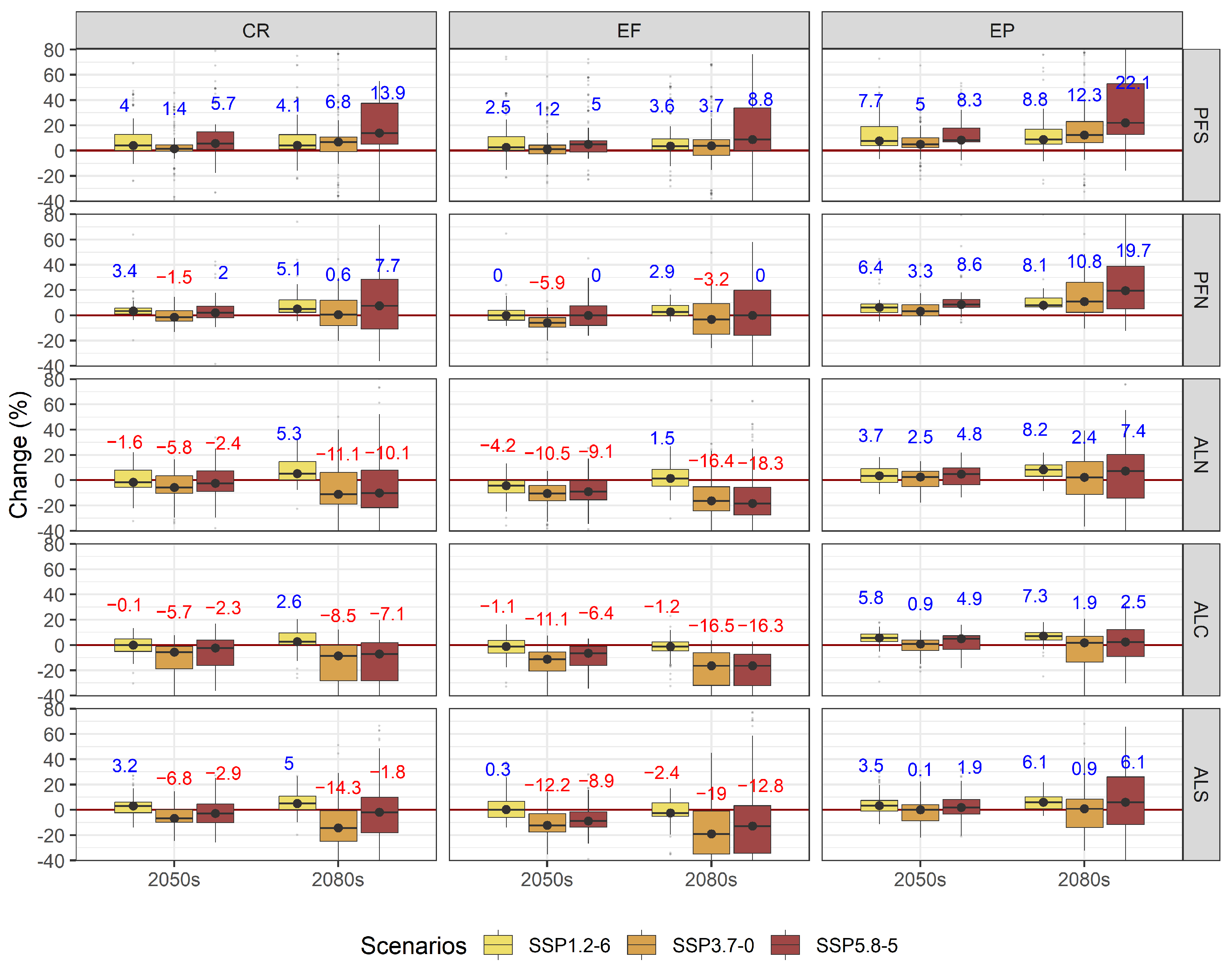
3.3. Future Hydropower Assessment
4. Discussion
4.1. Historical Variability Hydro-Energy Parameters Validation
4.2. Comparison for Future Projections with Other Studies
4.3. Implications for Energy Security and Future Perspectives
5. Conclusions
Author Contributions
Funding
Institutional Review Board Statement
Informed Consent Statement
Data Availability Statement
Acknowledgments
Conflicts of Interest
Appendix A
Appendix A.1
| Group | Type | Area (km2) | Source |
|---|---|---|---|
| Urban | Actual | 2455.5 | https://geoservidor.minam.gob.pe/recursos/intercambio-de-datos/ (accessed on 22 August 2024) |
| Future | 8490.5 | https://gee-community-catalog.org/projects/urban_projection/ (accessed on 20 November 2022) | |
| Mineral-energetic | Mining sites | 803.5 | https://geoservidor.minam.gob.pe/recursos/intercambio-de-datos (accessed on 22 August 2024) |
| Socio-Cultural | PIACI | 30,226.5 | https://visor.geoperu.gob.pe (accessed on 22 August 2024) |
| Native Communities | 10,715.3 | ||
| Archaeological Sites | 15,780.1 | ||
| Definitive | 251,679 | ||
| Protected | Private conservation | 3878.5 | |
| Natural | Regional conservation | 35991 | https://geo.sernanp.gob.pe/visorsernanp/ (accessed on 22 August 2024) |
| Areas | Reserved areas | 5878.2 | |
| Biosphere Reserve | 72,629.4 | ||
| RAMSAR | 69,435.8 | https://geoservidor.minam.gob.pe/recursos/intercambio-de-datos/ (accessed on 22 August 2024) | |
| Amazonian | Flooded forest | 136,808.3 | |
| Biological | Penillanura forest | 244,129.7 | https://geoservidor.minam.gob.pe/recursos/intercambio-de-datos/ (accessed on 22 August 2024) |
| Systems | Bamboo forest | 711,84.4 |
| Order | Sum | Mean | Median | Minimum | Maximum | Units |
|---|---|---|---|---|---|---|
| (GW) | (MW) | (MW) | (MW) | (MW) | ||
| 1 | 8.6 | 1.4 | 0.6 | 0.1 | 19.9 | 6098 |
| 2 | 8.1 | 2.4 | 1.2 | 0.1 | 20.0 | 3383 |
| 3 | 6.3 | 3.7 | 2 | 0.1 | 19.9 | 1723 |
| 4 | 5.1 | 7.3 | 6.6 | 0.1 | 19.9 | 695 |
| 5 | 0.9 | 14.3 | 14.7 | 5.8 | 19.7 | 66 |
| 29.1 | 11,965 |



References
- Pachauri, S.; Rao, N.; Nagai, Y.; Riahi, K. Access to Modern Energy: Assessment and Outlook for Developing and Emerging Regions; International Institute for Applied Systems Analysis (IIASA): Laxenburg, Austria, 2012. [Google Scholar]
- Mandelli, S.; Barbieri, J.; Mereu, R.; Colombo, E. Off-grid systems for rural electrification in developing countries: Definitions, classification and a comprehensive literature review. Renew. Sustain. Energy Rev. 2016, 58, 1621–1646. [Google Scholar] [CrossRef]
- Korkovelos, A.; Mentis, D.; Siyal, S.H.; Arderne, C.; Rogner, H.; Bazilian, M.; Howells, M.; Beck, H.; De Roo, A. A geospatial assessment of small-scale hydropower potential in Sub-Saharan Africa. Energies 2018, 11, 3100. [Google Scholar] [CrossRef]
- Butt, A.Q.; Shangguan, D.; Waseem, M.; Haq, F.u.; Ding, Y.; Mukhtar, M.A.; Afzal, M.; Muhammad, A. Ascertainment of hydropower potential sites using location search algorithm in hunza river basin, Pakistan. Water 2023, 15, 2929. [Google Scholar] [CrossRef]
- Balkhair, K.S.; Rahman, K.U. Sustainable and economical small-scale and low-head hydropower generation: A promising alternative potential solution for energy generation at local and regional scale. Appl. Energy 2017, 188, 378–391. [Google Scholar] [CrossRef]
- IHA. Hydropower Status Report 2018; International Hydropower Association (IHA): London, UK, 2018; Available online: https://www.hydropower.org/publications/2018-hydropower-status-report (accessed on 22 May 2025).
- IHA. Hydropower Status Report 2022; International Hydropower Association (IHA): London, UK, 2022; Available online: https://www.hydropower.org/publications/2022-hydropower-status-report (accessed on 22 May 2025).
- Nautiyal, H.; Singal, S.K.; Varun; Sharma, A. Small hydropower for sustainable energy development in India. Renew. Sustain. Energy Rev. 2011, 15, 2021–2027. [Google Scholar] [CrossRef]
- Kumar, A.; Yu, Z.G.; Klemeš, J.J.; Bokhari, A. A state-of-the-art review of greenhouse gas emissions from Indian hydropower reservoirs. J. Clean. Prod. 2021, 320, 128806. [Google Scholar] [CrossRef]
- Premalatha, M.; Tabassum-Abbasi; Abbasi, T.; Abbasi, S. A critical view on the eco-friendliness of small hydroelectric installations. Sci. Total Environ. 2014, 481, 638–643. [Google Scholar] [CrossRef]
- Zhou, Y.; Chang, L.C.; Uen, T.S.; Guo, S.; Xu, C.Y.; Chang, F.J. Prospect for small-hydropower installation settled upon optimal water allocation: An action to stimulate synergies of water-food-energy nexus. Appl. Energy 2019, 238, 668–682. [Google Scholar] [CrossRef]
- Campodónico, H.; Carrera, C. Energy transition and renewable energies: Challenges for Peru. Energy Policy 2022, 171, 113261. [Google Scholar] [CrossRef]
- Auerbach, D.A.; Deisenroth, D.B.; McShane, R.R.; McCluney, K.E.; Poff, N.L. Beyond the concrete: Accounting for ecosystem services from free-flowing rivers. Ecosyst. Serv. 2014, 10, 1–5. [Google Scholar] [CrossRef]
- Poff, N.L.; Zimmerman, J.K. Ecological responses to altered flow regimes: A literature review to inform the science and management of environmental flows. Freshw. Biol. 2010, 55, 194–205. [Google Scholar] [CrossRef]
- Kelly-Richards, S.; Silber-Coats, N.; Crootof, A.; Tecklin, D.; Bauer, C. Governing the transition to renewable energy: A review of impacts and policy issues in the small hydropower boom. Energy Policy 2017, 101, 251–264. [Google Scholar] [CrossRef]
- Ohunakin, O.S.; Ojolo, S.J.; Ajayi, O.O. Small hydropower (SHP) development in Nigeria: An assessment. Renew. Sustain. Energy Rev. 2011, 15, 2006–2013. [Google Scholar] [CrossRef]
- International Renewable Energy Agency. Renewable Power Generation Costs in 2022; International Renewable Energy Agency: Masdar City, United Arab Emirates, 2023. [Google Scholar]
- United Nations Industrial Development Organization. World Small Hydropower Development Report 2022; United Nations Industrial Development Organization: Vienna, Austria, 2022; Available online: www.unido.org/WSHPDR2022 (accessed on 22 May 2025).
- Jafari, M.; Fazloula, R.; Effati, M.; Jamali, A. Providing a GIS-based framework for Run-Of-River hydropower site selection: A model based on sustainable development energy approach. Civ. Eng. Environ. Syst. 2021, 38, 102–126. [Google Scholar] [CrossRef]
- Jung, J.; Jung, S.; Lee, J.; Lee, M.; Kim, H.S. Analysis of small hydropower generation potential: (2) future prospect of the potential under climate change. Energies 2021, 14, 3001. [Google Scholar] [CrossRef]
- Wei, L.; Jiheng, L.; Junhong, G.; Zhe, B.; Lingbo, F.; Baodeng, H. The effect of precipitation on hydropower generation capacity: A perspective of climate change. Front. Earth Sci. 2020, 8, 268. [Google Scholar] [CrossRef]
- Xiong, J.; Yang, Y. Climate Change and Hydrological Extremes. Curr. Clim. Change Rep. 2024, 11, 1. [Google Scholar] [CrossRef]
- Jimenez-Cisneros, B. Seguridad hídrica: Retos y respuestas, la fase VIII del programa hidrológico internacional de la Unesco (2014–2021). Aqua-Lac 2015, 7, 20–27. [Google Scholar] [CrossRef]
- Goonetilleke, A.; Vithanage, M. Water resources management: Innovation and challenges in a changing world. Water 2017, 9, 281. [Google Scholar] [CrossRef]
- United Nations. The Paris Agreement; United Nations: New York, NY, USA, 2015. [Google Scholar]
- Kuramochi, T.; Höhne, N.; Schaeffer, M.; Cantzler, J.; Hare, B.; Deng, Y.; Sterl, S.; Hagemann, M.; Rocha, M.; Yanguas-Parra, P.A.; et al. Ten key short-term sectoral benchmarks to limit warming to 1.5 C. Clim. Policy 2018, 18, 287–305. [Google Scholar] [CrossRef]
- Allen, M.; Dube, O.P.; Solecki, W.; Aragón-Durand, F.; Cramer, W.; Humphreys, S.; Kainuma, M. Special report: Global warming of 1.5 C. Intergov. Panel Clim. Change (IPCC) 2018, 27, 677. [Google Scholar]
- Blöschl, G.; Chaffe, P.L. Water scarcity is exacerbated in the south. Science 2023, 382, 512–513. [Google Scholar] [CrossRef]
- Boretti, A.; Rosa, L. Reassessing the projections of the world water development report. NPJ Clean Water 2019, 2, 15. [Google Scholar] [CrossRef]
- He, C.; Liu, Z.; Wu, J.; Pan, X.; Fang, Z.; Li, J.; Bryan, B.A. Future global urban water scarcity and potential solutions. Nat. Commun. 2021, 12, 4667. [Google Scholar] [CrossRef]
- Sanchez-Matos, J.; Vázquez-Rowe, I.; Kahhat, R. AWARE characterization factors in Peru encompassing El Niño and climate change events: Does increased water availability guarantee less water scarcity? Int. J. Life Cycle Assess. 2024, 1–21. [Google Scholar] [CrossRef]
- Bradley, R.S.; Vuille, M.; Diaz, H.F.; Vergara, W. Threats to water supplies in the tropical Andes. Science 2006, 312, 1755–1756. [Google Scholar] [CrossRef]
- Chilkoti, V.; Bolisetti, T.; Balachandar, R. Climate change impact assessment on hydropower generation using multi-model climate ensemble. Renew. Energy 2017, 109, 510–517. [Google Scholar] [CrossRef]
- Fan, J.L.; Hu, J.W.; Zhang, X.; Kong, L.S.; Li, F.; Mi, Z. Impacts of climate change on hydropower generation in China. Math. Comput. Simul. 2020, 167, 4–18. [Google Scholar] [CrossRef]
- Baniya, R.; Regmi, R.K.; Talchabhadel, R.; Sharma, S.; Panthi, J.; Ghimire, G.R.; Bista, S.; Thapa, B.R.; Pradhan, A.M.; Tamrakar, J. Integrated modeling for assessing climate change impacts on water resources and hydropower potential in the Himalayas. Theor. Appl. Climatol. 2024, 155, 3993–4008. [Google Scholar] [CrossRef]
- Basso, S.; Lazzaro, G.; Bovo, M.; Soulsby, C.; Botter, G. Water-energy-ecosystem nexus in small run-of-river hydropower: Optimal design and policy. Appl. Energy 2020, 280, 115936. [Google Scholar] [CrossRef]
- Dai, J.; Wu, S.; Han, G.; Weinberg, J.; Xie, X.; Wu, X.; Song, X.; Jia, B.; Xue, W.; Yang, Q. Water-energy nexus: A review of methods and tools for macro-assessment. Appl. Energy 2018, 210, 393–408. [Google Scholar] [CrossRef]
- Turner, S.W.; Voisin, N. Simulation of hydropower at subcontinental to global scales: A state-of-the-art review. Environ. Res. Lett. 2022, 17, 023002. [Google Scholar] [CrossRef]
- Huerta, A.; Lavado-Casimiro, W. Trends and variability of precipitation extremes in the Peruvian Altiplano (1971–2013). Int. J. Climatol. 2021, 41, 513–528. [Google Scholar] [CrossRef]
- Imfeld, N.; Barreto Schuler, C.; Correa Marrou, K.M.; Jacques-Coper, M.; Sedlmeier, K.; Gubler, S.; Huerta, A.; Brönnimann, S. Summertime precipitation deficits in the southern Peruvian highlands since 1964. Int. J. Climatol. 2019, 39, 4497–4513. [Google Scholar] [CrossRef]
- Rau, P.; Bourrel, L.; Labat, D.; Ruelland, D.; Frappart, F.; Lavado, W.; Dewitte, B.; Felipe, O. Assessing multidecadal runoff (1970–2010) using regional hydrological modelling under data and water scarcity conditions in Peruvian Pacific catchments. Hydrol. Process. 2019, 33, 20–35. [Google Scholar] [CrossRef]
- Rau, P.; Bourrel, L.; Labat, D.; Frappart, F.; Ruelland, D.; Lavado, W.; Dewitte, B.; Felipe, O. Hydroclimatic change disparity of Peruvian Pacific drainage catchments. Theor. Appl. Climatol. 2018, 134, 139–153. [Google Scholar] [CrossRef]
- Bourrel, L.; Rau, P.; Dewitte, B.; Labat, D.; Lavado, W.; Coutaud, A.; Vera, A.; Alvarado, A.; Ordoñez, J. Low-frequency modulation and trend of the relationship between ENSO and precipitation along the northern to centre Peruvian Pacific coast. Hydrol. Process. 2015, 29, 1252–1266. [Google Scholar] [CrossRef]
- Castro, A.; Davila, C.; Laura, W.; Cubas, F.; Ávalos, G.; López Ocaña, C.; Villena, D.; Valdez, M.; Urbiola, J.; Trebejo, I.; et al. Climas del Perú: Mapa de ClasificaciÓn Climática nacional; Servicio Nacional de Meteorología e Hidrología del Perú: Lima, Peru, 2021; Available online: https://hdl.handle.net/20.500.12542/1336 (accessed on 22 May 2025).
- Rau, P.; Bourrel, L.; Labat, D.; Melo, P.; Dewitte, B.; Frappart, F.; Lavado, W.; Felipe, O. Regionalization of rainfall over the Peruvian Pacific slope and coast. Int. J. Climatol. 2017, 37, 143–158. [Google Scholar] [CrossRef]
- ANA. Recursos hídricos en el Perú; Autoridad Nacional del Agua: Lima, Perú, 2012; p. 320. [Google Scholar]
- Iturbide, M.; Gutiérrez, J.M.; Alves, L.M.; Bedia, J.; Cerezo-Mota, R.; Cimadevilla, E.; Cofiño, A.S.; Di Luca, A.; Faria, S.H.; Gorodetskaya, I.V.; et al. An update of IPCC climate reference regions for subcontinental analysis of climate model data: Definition and aggregated datasets. Earth Syst. Sci. Data 2020, 12, 2959–2970. [Google Scholar] [CrossRef]
- Sammartano, V.; Liuzzo, L.; Freni, G. Identification of potential locations for run-of-river hydropower plants using a GIS-based procedure. Energies 2019, 12, 3446. [Google Scholar] [CrossRef]
- Chen, G.; Li, X.; Liu, X.; Chen, Y.; Liang, X.; Leng, J.; Xu, X.; Liao, W.; Qiu, Y.; Wu, Q.; et al. Global projections of future urban land expansion under shared socioeconomic pathways. Nat. Commun. 2020, 11, 537. [Google Scholar] [CrossRef] [PubMed]
- MINAM. Mapa Nacional de Ecosistemas del Perú; Ministerio del Ambiente del Perú (MINAM): Lima, Perú, 2018; p. 179. [Google Scholar]
- Aybar, C.; Fernández, C.; Huerta, A.; Lavado, W.; Vega, F.; Felipe-Obando, O. Construction of a high-resolution gridded rainfall dataset for Peru from 1981 to the present day. Hydrol. Sci. J. 2020, 65, 770–785. [Google Scholar] [CrossRef]
- Huerta, A.; Aybar, C.; Imfeld, N.; Correa, K.; Felipe-Obando, O.; Rau, P.; Drenkhan, F.; Lavado-Casimiro, W. High-resolution grids of daily air temperature for Peru-the new PISCOt v1.2 dataset. Sci. Data 2023, 10, 847. [Google Scholar] [CrossRef]
- Llauca, H.; Leon, K.; Lavado-Casimiro, W. Construction of a daily streamflow dataset for Peru using a similarity-based regionalization approach and a hybrid hydrological modeling framework. J. Hydrol. Reg. Stud. 2023, 47, 101381. [Google Scholar] [CrossRef]
- Imfeld, N.; Sedlmeier, K.; Gubler, S.; Correa Marrou, K.; Davila, C.P.; Huerta, A.; Lavado-Casimiro, W.; Rohrer, M.; Scherrer, S.C.; Schwierz, C. A combined view on precipitation and temperature climatology and trends in the southern Andes of Peru. Int. J. Climatol. 2021, 41, 679–698. [Google Scholar] [CrossRef]
- Gutierrez-Villarreal, R.A.; Espinoza, J.C.; Lavado-Casimiro, W.; Junquas, C.; Molina-Carpio, J.; Condom, T.; Marengo, J.A. The 2022–23 drought in the South American Altiplano: ENSO effects on moisture flux in the western Amazon during the pre-wet season. Weather. Clim. Extrem. 2024, 45, 100710. [Google Scholar] [CrossRef]
- Rosas, G.; Gubler, S.; Oria, C.; Acuña, D.; Avalos, G.; Begert, M.; Castillo, E.; Croci-Maspoli, M.; Cubas, F.; Dapozzo, M.; et al. Towards implementing climate services in Peru—The project CLIMANDES. Clim. Serv. 2016, 4, 30–41. [Google Scholar] [CrossRef]
- Gubler, S.; Hunziker, S.; Begert, M.; Croci-Maspoli, M.; Konzelmann, T.; Brönnimann, S.; Schwierz, C.; Oria, C.; Rosas, G. The influence of station density on climate data homogenization. Int. J. Climatol. 2017, 37, 4670–4683. [Google Scholar] [CrossRef]
- Hunziker, S.; Gubler, S.; Calle, J.; Moreno, I.; Andrade, M.; Velarde, F.; Ticona, L.; Carrasco, G.; Castellón, Y.; Oria, C.; et al. Identifying, attributing, and overcoming common data quality issues of manned station observations. Int. J. Climatol. 2017, 37, 4131–4145. [Google Scholar] [CrossRef]
- Fernandez-Palomino, C.A.; Hattermann, F.F.; Krysanova, V.; Vega-Jácome, F.; Menz, C.; Gleixner, S.; Bronstert, A. High-resolution climate projection dataset based on CMIP6 for Peru and Ecuador: BASD-CMIP6-PE. Sci. Data 2024, 11, 34. [Google Scholar] [CrossRef]
- Organismo Supervisor de la Inversión en Energía y Minería. Compendio de Proyectos en Ejecución: Supervisión de Contratos de Proyectos de Generación y Transmisión de Energía eléCtrica; Organismo Supervisor de la Inversión en Energía y Minería: Lima, Peru, 2024. [Google Scholar]
- Rojanamon, P.; Chaisomphob, T.; Bureekul, T. Application of geographical information system to site selection of small run-of-river hydropower project by considering engineering/economic/environmental criteria and social impact. Renew. Sustain. Energy Rev. 2009, 13, 2336–2348. [Google Scholar] [CrossRef]
- Kouadio, C.A.; Kouassi, K.L.; Diedhiou, A.; Obahoundje, S.; Amoussou, E.; Kamagate, B.; Paturel, J.e.; Coulibaly, T.J.H.; Coulibaly, H.S.J.P.; Didi, R.S.; et al. Assessing the hydropower potential using hydrological models and geospatial tools in the White Bandama watershed (Cote d’Ivoire, West Africa). Front. Water 2022, 4, 844934. [Google Scholar] [CrossRef]
- Sterl, S.; Devillers, A.; Chawanda, C.J.; Van Griensven, A.; Thiery, W.; Russo, D. A spatiotemporal atlas of hydropower in Africa for energy modelling purposes. Open Res. Eur. 2021, 1. [Google Scholar] [CrossRef]
- Tamm, O.; Tamm, T. Verification of a robust method for sizing and siting the small hydropower run-of-river plant potential by using GIS. Renew. Energy 2020, 155, 153–159. [Google Scholar] [CrossRef]
- Yankey, B.E.; Gyamfi, C.; Arthur, E.; Dekongmen, B.W.; Asantewaa-Tannor, P.; Tawiah, J.K.; Mends, L.G. Small hydropower development potential in the Densu River Basin, Ghana. J. Hydrol. Reg. Stud. 2023, 45, 101304. [Google Scholar] [CrossRef]
- Arthur, E.; Anyemedu, F.O.K.; Gyamfi, C.; Asantewaa-Tannor, P.; Adjei, K.A.; Anornu, G.K.; Odai, S.N. Potential for small hydropower development in the Lower Pra River Basin, Ghana. J. Hydrol. Reg. Stud. 2020, 32, 100757. [Google Scholar] [CrossRef]
- Yamazaki, D.; Ikeshima, D.; Sosa, J.; Bates, P.D.; Allen, G.H.; Pavelsky, T.M. MERIT Hydro: A high-resolution global hydrography map based on latest topography dataset. Water Resour. Res. 2019, 55, 5053–5073. [Google Scholar] [CrossRef]
- Thakur, C.; Teutschbein, C.; Kasiviswanathan, K.; Soundharajan, B.S. Mitigating El Niño impacts on hydro-energy vulnerability through identifying resilient run-of-river small hydropower sites. J. Hydrol. Reg. Stud. 2024, 51, 101622. [Google Scholar] [CrossRef]
- Punys, P.; Vyčienė, G.; Jurevičius, L.; Kvaraciejus, A. Small Hydropower Assessment of Uganda Based on Multisource Geospatial Data. Water 2023, 15, 2051. [Google Scholar] [CrossRef]
- Szabó, S.; Bódis, K.; Huld, T.; Moner-Girona, M. Sustainable energy planning: Leapfrogging the energy poverty gap in Africa. Renew. Sustain. Energy Rev. 2013, 28, 500–509. [Google Scholar] [CrossRef]
- Pandey, A.; Lalrempuia, D.; Jain, S. Assessment of hydropower potential using spatial technology and SWAT modelling in the Mat River, southern Mizoram, India. Hydrol. Sci. J. 2015, 60, 1651–1665. [Google Scholar] [CrossRef]
- Zaidi, A.Z.; Khan, M. Identifying high potential locations for run-of-the-river hydroelectric power plants using GIS and digital elevation models. Renew. Sustain. Energy Rev. 2018, 89, 106–116. [Google Scholar] [CrossRef]
- Jablonskis, J.; Jarockis, A.; Punys, P. Pirminiai Lietuvos upių hidroenergijos ištekliai (Hydropower potential of Lithuanian watercourses). Vandens Ūkio Inžinerija. Moksl. Darb. (Water Eng. Trans.) 2004, 25, 88–98. [Google Scholar]
- Wang, H.; Xiao, W.; Wang, Y.; Zhao, Y.; Lu, F.; Yang, M.; Hou, B.; Yang, H. Assessment of the impact of climate change on hydropower potential in the Nanliujiang river basin of China. Energy 2019, 167, 950–959. [Google Scholar] [CrossRef]
- Alemana, C.; Lis, C.L.S. Evaluación del Potencial Hidroeléctrico Nacional; Technical report; Ministerio de Energía y Minas (MINEM): Lima, Peru, 1979. [Google Scholar]
- Jung, S.; Bae, Y.; Kim, J.; Joo, H.; Kim, H.S.; Jung, J. Analysis of small hydropower generation potential: (1) Estimation of the potential in ungaged basins. Energies 2021, 14, 2977. [Google Scholar] [CrossRef]
- Kuriqi, A.; Pinheiro, A.N.; Sordo-Ward, A.; Garrote, L. Flow regime aspects in determining environmental flows and maximising energy production at run-of-river hydropower plants. Appl. Energy 2019, 256, 113980. [Google Scholar] [CrossRef]
- Orozco, J.C.C.; Aranzana, M.F.G.; Hurtado, S.S. Methodology for Hydroelectric Potential Evaluation in High Jungle Area with Scarce Topographic and Hydrological Information Using GIS and Algorithm MATLAB. J. Adv. Inf. Technol. 2022, 13, 277–283. [Google Scholar] [CrossRef]
- Voros, N.; Kiranoudis, C.; Maroulis, Z. Short-cut design of small hydroelectric plants. Renew. Energy 2000, 19, 545–563. [Google Scholar] [CrossRef]
- Mann, H.B. Nonparametric tests against trend. Econom. J. Econom. Soc. 1945, 245–259. [Google Scholar] [CrossRef]
- Kendall, M.G. Rank Correlation Methods; Charles Griffin: London, UK, 1948. [Google Scholar]
- Sen, P.K. Estimates of the regression coefficient based on Kendall’s tau. J. Am. Stat. Assoc. 1968, 63, 1379–1389. [Google Scholar] [CrossRef]
- Theil, H. A rank-invariant method of linear and polynomial regression analysis. In Henri Theil’s Contributions to Economics and Econometrics: Econometric Theory and Methodology; Springer: Berlin, Germany, 1992; pp. 345–381. [Google Scholar]
- Peterson, T. Climate change indices. World Meteorol. Organ. Bull. 2005, 54, 83. [Google Scholar]
- Lutz, A.F.; ter Maat, H.W.; Biemans, H.; Shrestha, A.B.; Wester, P.; Immerzeel, W.W. Selecting representative climate models for climate change impact studies: An advanced envelope-based selection approach. Int. J. Climatol. 2016, 36, 3988–4005. [Google Scholar] [CrossRef]
- Dhaubanjar, S.; Lutz, A.F.; Smolenaars, W.J.; Khanal, S.; Jamil, M.K.; Biemans, H.; Ludwig, F.; Shrestha, A.B.; Immerzeel, W.W. Quantification of run-of-river hydropower potential in the Upper Indus basin under climate change. Front. Water 2023, 5, 1256249. [Google Scholar] [CrossRef]
- Savelsberg, J.; Schillinger, M.; Schlecht, I.; Weigt, H. The impact of climate change on Swiss hydropower. Sustainability 2018, 10, 2541. [Google Scholar] [CrossRef]
- Bosshard, T.; Kotlarski, S.; Ewen, T.; Schär, C. Spectral representation of the annual cycle in the climate change signal. Hydrol. Earth Syst. Sci. 2011, 15, 2777–2788. [Google Scholar] [CrossRef]
- Chuphal, D.S.; Mishra, V. Increased hydropower but with an elevated risk of reservoir operations in India under the warming climate. iScience 2023, 26, 105986. [Google Scholar] [CrossRef]
- Stucchi, L.; Bocchiola, D.; Simoni, C.; Ambrosini, S.R.; Bianchi, A.; Rosso, R. Future hydropower production under the framework of NextGenerationEU: The case of Santa Giustina reservoir in Italian Alps. Renew. Energy 2023, 215, 118980. [Google Scholar] [CrossRef]
- Tobias, W.; Manfred, S.; Klaus, J.; Massimiliano, Z.; Bettina, S. The future of Alpine Run-of-River hydropower production: Climate change, environmental flow requirements, and technical production potential. Sci. Total Environ. 2023, 890, 163934. [Google Scholar] [CrossRef]
- Liu, X.; Tang, Q.; Voisin, N.; Cui, H. Projected impacts of climate change on hydropower potential in China. Hydrol. Earth Syst. Sci. 2016, 20, 3343–3359. [Google Scholar] [CrossRef]
- Zhou, Y.; Hejazi, M.; Smith, S.; Edmonds, J.; Li, H.; Clarke, L.; Calvin, K.; Thomson, A. A comprehensive view of global potential for hydro-generated electricity. Energy Environ. Sci. 2015, 8, 2622–2633. [Google Scholar] [CrossRef]
- Halcrow Group Limited. Atlas Del Potencial Hidroelectrico Del Peru; Technical report; Ministerio de Energía y Minas (MINEM): Lima, Peru, 2011. [Google Scholar]
- Hoes, O.A.; Meijer, L.J.; Van Der Ent, R.J.; Van De Giesen, N.C. Systematic high-resolution assessment of global hydropower potential. PLoS ONE 2017, 12, e0171844. [Google Scholar] [CrossRef]
- Bista, S.; Singh, U.; Kayastha, N.; Ghimire, B.N.; Talchabhadel, R. Effects of source digital elevation models in assessment of gross runoff-river hydropower potential: A case study of West Rapti Basin, Nepal. J. Eng. Issues Solut. 2021, 1, 106–128. [Google Scholar] [CrossRef]
- Dhaubanjar, S.; Lutz, A.F.; Pradhananga, S.; Smolenaars, W.; Khanal, S.; Biemans, H.; Nepal, S.; Ludwig, F.; Shrestha, A.B.; Immerzeel, W.W. From theoretical to sustainable potential for run-of-river hydropower development in the upper Indus basin. Appl. Energy 2024, 357, 122372. [Google Scholar] [CrossRef]
- Caceres, A.L.; Jaramillo, P.; Matthews, H.S.; Samaras, C.; Nijssen, B. Hydropower under climate uncertainty: Characterizing the usable capacity of Brazilian, Colombian and Peruvian power plants under climate scenarios. Energy Sustain. Dev. 2021, 61, 217–229. [Google Scholar] [CrossRef]
- Paltán, H.A.; Pant, R.; Braeckman, J.P.; Dadson, S.J. Increased water risks to global hydropower in 1.5 C and 2.0 C Warmer Worlds. J. Hydrol. 2021, 599, 126503. [Google Scholar] [CrossRef]
- Zhang, X.; Li, H.Y.; Deng, Z.D.; Ringler, C.; Gao, Y.; Hejazi, M.I.; Leung, L.R. Impacts of climate change, policy and Water-Energy-Food nexus on hydropower development. Renew. Energy 2018, 116, 827–834. [Google Scholar] [CrossRef]
- Trancoso, R.; Syktus, J.; Allan, R.P.; Croke, J.; Hoegh-Guldberg, O.; Chadwick, R. Significantly wetter or drier future conditions for one to two thirds of the world’s population. Nat. Commun. 2024, 15, 483. [Google Scholar] [CrossRef]
- Wainwright, C.M.; Black, E.; Allan, R.P. Future changes in wet and dry season characteristics in CMIP5 and CMIP6 simulations. J. Hydrometeorol. 2021, 22, 2339–2357. [Google Scholar] [CrossRef]
- Fernandez-Palomino, C.A.; Hattermann, F.F.; Krysanova, V.; Vega-Jácome, F.; Lavado, W.; Santini, W.; Gutiérrez, R.R.; Bronstert, A. Pan-Peruvian Simulation of Present and Projected Future Hydrological Conditions Using Novel Data Products and CMIP6 Climate Projections. SSRN 2023, 4602668. [Google Scholar] [CrossRef]
- Shiogama, H.; Fujimori, S.; Hasegawa, T.; Hayashi, M.; Hirabayashi, Y.; Ogura, T.; Iizumi, T.; Takahashi, K.; Takemura, T. Important distinctiveness of SSP3–7.0 for use in impact assessments. Nat. Clim. Change 2023, 13, 1276–1278. [Google Scholar] [CrossRef]
- Bazzanela, A.C.; Dereczynski, C.; Luiz-Silva, W.; Regoto, P. Performance of CMIP6 models over South America. Clim. Dyn. 2024, 62, 1501–1516. [Google Scholar] [CrossRef]
- Olmo, M.E.; Bettolli, M.L.; Balmaceda-Huarte, R. Model uncertainty in synoptic circulation patterns and precipitation changes in Southern South America using CMIP5 and CMIP6 models. Clim. Change 2023, 176, 171. [Google Scholar] [CrossRef]
- Hamed, M.M.; Nashwan, M.S.; Shahid, S.; bin Ismail, T.; Wang, X.j.; Dewan, A.; Asaduzzaman, M. Inconsistency in historical simulations and future projections of temperature and rainfall: A comparison of CMIP5 and CMIP6 models over Southeast Asia. Atmos. Res. 2022, 265, 105927. [Google Scholar] [CrossRef]
- Lun, Y.; Liu, L.; Cheng, L.; Li, X.; Li, H.; Xu, Z. Assessment of GCMs simulation performance for precipitation and temperature from CMIP5 to CMIP6 over the Tibetan Plateau. Int. J. Climatol. 2021, 41, 3994–4018. [Google Scholar] [CrossRef]
- Almazroui, M.; Ashfaq, M.; Islam, M.N.; Rashid, I.U.; Kamil, S.; Abid, M.A.; O’Brien, E.; Ismail, M.; Reboita, M.S.; Sörensson, A.A.; et al. Assessment of CMIP6 performance and projected temperature and precipitation changes over South America. Earth Syst. Environ. 2021, 5, 155–183. [Google Scholar] [CrossRef]
- Van Vliet, M.T.; Wiberg, D.; Leduc, S.; Riahi, K. Power-generation system vulnerability and adaptation to changes in climate and water resources. Nat. Clim. Change 2016, 6, 375–380. [Google Scholar] [CrossRef]
- Van Vliet, M.; Van Beek, L.; Eisner, S.; Flörke, M.; Wada, Y.; Bierkens, M. Multi-model assessment of global hydropower and cooling water discharge potential under climate change. Glob. Environ. Change 2016, 40, 156–170. [Google Scholar] [CrossRef]
- MINAM. Política Nacional: Estrategia Nacional ante el Cambio Climático al 2050—Resumen Ejecutivo; MINAM: Lima, Peru, 2025. [Google Scholar]
- International Energy Agency. Data and Statistics; International Energy Agency: Paris, France, 2023. [Google Scholar]
- INEI. Compendio Estadístico Perú 2024; Instituto Nacional de Estadística e Informática del Perú (INEI): Lima, Peru, 2024. [Google Scholar]
- Tubella Boada, C. Modeling the Renewable Energy Deployment in the Peruvian Power Supply. Master’s Thesis, Universitat Politècnica de Catalunya, Barcelona, Spain, 2021. Available online: http://hdl.handle.net/2117/353228 (accessed on 22 May 2025).
- Heikkinen, A.M. Climate change, power, and vulnerabilities in the Peruvian Highlands. Reg. Environ. Change 2021, 21, 82. [Google Scholar] [CrossRef]
- Ding, Z.; Angarita, H.; Albert Montesinos Cáceres, C.; Lavado-Casimiro, W.; Goldstein, J.A.; Batista, N.; Wu, T.; Fisher, D.; Baudoin Farah, A.; Zheng, H.; et al. Sustainable land and irrigation management to limit loss of hydropower in the Andes-Amazon headwaters. Commun. Earth Environ. 2024, 5, 648. [Google Scholar] [CrossRef]
- Gutierrez, L. Dataset of Hydropower Plants and Potential Run-of-River in Peru. Figshare. 2025. Available online: https://figshare.com/articles/dataset/Dataset_of_Hydropower_Plants_and_potential_Run-of-River_in_Peru/28692707 (accessed on 22 May 2025).











| Description | Valor |
|---|---|
| Length of stream network | ≥500 m |
| Average slope | ≥2% |
| Distance to urban-cultural areas | 200 m |
| Distance to environmental conservation areas | 500 m |
| Spacing between consecutive RoRs | ≥600 m |
| Net head | ≥10 m |
| Acronyms | Name | Units | Equation |
|---|---|---|---|
| CR | Capacity theoretical | MW | |
| CT | Capacity technical | MW | |
| Average streamflow | |||
| EP | Energy Production | GWh/yr | |
| EF | Firm Energy | GWh/yr |
| Size | Nomenclature | Capacity (MW) |
|---|---|---|
| Micro | <0.1 | |
| Mini | SHP | 0.1–1 |
| Small | 1–20 | |
| Median | LHP | 20–100 |
| Large | >100 |
| Statistics | Total (a) | RoR (b) | RoR (c) (Only Mini) | RoR (d) (Only Small) |
|---|---|---|---|---|
| Sum (GW) | 91.68 | 29.07 | 2.6 | 26.46 |
| Mean (MW) | 36.34 | 2.43 | 0.43 | 4.51 |
| Median (MW) | 4.17 | 0.96 | 0.37 | 2.86 |
| Min (MW) | 0.1 | 0.1 | 0.1 | 1 |
| Max (MW) | 5021.84 | 19.98 | 1 | 19.98 |
| Standard Error | 2.95 | 0.03 | 0 | 0.05 |
| Standard Desv. | 148.42 | 3.55 | 0.25 | 4.14 |
| Coefficient of variation (%) | 606.2 | 5.19 | 0.15 | 3.79 |
| N° sub-basins | 2523 | 1735 | 1158 | 1023 |
| N° sites | - | 11,965 | 6103 | 5862 |
| Regions | HPP (Operational) | HPP (Planned) | RoR (Planned) |
|---|---|---|---|
| PFS | 30 | 16 | 1002 |
| PFN | 14 | 5 | 871 |
| ALN | 7 | 24 | 4553 |
| ALC | 18 | 13 | 2779 |
| ALS | 11 | 15 | 2711 |
| TIC | 0 | 0 | 49 |
| 80 | 73 | 11,965 |
| Hydro-Energy Parameters | Period | Scenery SSP | PFS | PFN | ALN | ALC | ALS | Total |
|---|---|---|---|---|---|---|---|---|
| CR | 2050s | 1–2.6 | 7.1 | 3.9 | −3 | 0 | 3.9 | 0.5 |
| 3–7.0 | 4.6 | −2.8 | −7 | −6.7 | −5.2 | −5.4 | ||
| 5–8.5 | 8.1 | 0.6 | −5.5 | −2.2 | −3.6 | -3.1 | ||
| 2080s | 1–2.6 | 6.5 | 3.9 | 1.5 | 5.6 | 5.1 | 3.8 | |
| 3–7.0 | 8.4 | −1.1 | −12 | −8.3 | −11.6 | −9.2 | ||
| 5–8.5 | 16.6 | −0.6 | −16.2 | −7.5 | −6.5 | −8.7 | ||
| EF | 2050s | 1–2.6 | 5.9 | 0.2 | −6.2 | −3.8 | −1.5 | −3.1 |
| 3–7.0 | 2.7 | −5.2 | −12.1 | −11.3 | −13.4 | −10.7 | ||
| 5–8.5 | 6.7 | −4.3 | −10.6 | −8 | −9.6 | −8 | ||
| 2080s | 1–2.6 | 5.5 | 1.3 | −2.9 | −2.7 | −2.7 | −1.9 | |
| 3–7.0 | 6.4 | −6.7 | −17.3 | −13.8 | −17.8 | −14.3 | ||
| 5–8.5 | 14.4 | −5.6 | −22.6 | −13.3 | −14 | −14.6 | ||
| EP | 2050s | 1–2.6 | 10.2 | 4.6 | 2 | 5.8 | 5.1 | 4.3 |
| 3–7.0 | 7.7 | 2.1 | −0.9 | 0.4 | 2 | 0.8 | ||
| 5–8.5 | 12.4 | 6.3 | 0.5 | 4.4 | 3.1 | 3 | ||
| 2080s | 1–2.6 | 9.9 | 7.5 | 5.5 | 7.5 | 7.7 | 6.9 | |
| 3–7.0 | 13.9 | 7.9 | −1.5 | 4.3 | 3 | 2.3 | ||
| 5–8.5 | 26.1 | 12.8 | −1.2 | 9.9 | 4.9 | 5.2 |
| Hydro-Energy Parameters | Period | Scenery SSP | PFS | PFN | ALN | ALC | ALS | TIC | Total |
|---|---|---|---|---|---|---|---|---|---|
| CR | 2050s | 1–2.6 | 10.4 | 1.5 | −3.6 | −4.2 | −0.3 | 0.3 | −2.2 |
| 3–7.0 | 3.2 | −4 | −7 | −11.2 | −5.8 | −5 | −7.2 | ||
| 5–8.5 | 9.8 | 0.8 | −5.4 | −8.8 | −3.7 | −1.4 | −5 | ||
| 2080s | 1–2.6 | 8.1 | 4 | 1.7 | 0.4 | 2.3 | 1.3 | 1.8 | |
| 3–7.0 | 10.8 | 0.1 | −11.8 | −18.7 | −8.9 | −9.1 | −11.5 | ||
| 5–8.5 | 24 | 2.6 | −14 | −20.3 | −7.2 | −5.9 | −11.9 | ||
| EF | 2050s | 1–2.6 | 8.6 | −1.1 | −6.2 | −6.4 | −3.4 | −1.1 | −4.8 |
| 3–7.0 | 1.4 | −5.7 | −10.6 | −14.3 | −12.7 | −10.3 | −11.4 | ||
| 5–8.5 | 9.2 | −3 | −9.4 | −12.4 | −9.5 | −3.9 | −9.2 | ||
| 2080s | 1–2.6 | 7.1 | 2.5 | −1.4 | −6.1 | −5.5 | −5 | −3.1 | |
| 3–7.0 | 8.4 | −3.7 | −15.9 | −23 | −15.9 | −16.5 | −16.1 | ||
| 5–8.5 | 21.7 | −0.9 | −18.2 | −26.2 | −14.5 | −17 | −16.9 | ||
| EP | 2050s | 1–2.6 | 13.1 | 4.7 | 1.9 | 3.2 | 3.2 | 3.4 | 2.9 |
| 3–7.0 | 6.3 | 2.5 | −1.2 | −2.8 | −0.6 | 0.4 | −1.1 | ||
| 5–8.5 | 12.9 | 6.1 | 1.4 | −1.2 | 1.3 | 4.3 | 1.2 | ||
| 2080s | 1–2.6 | 11 | 7.9 | 6.2 | 4.4 | 3.5 | 5.8 | 5.2 | |
| 3–7.0 | 16.6 | 10.6 | −1.1 | −5.7 | 0.7 | 1.3 | −0.9 | ||
| 5–8.5 | 33.3 | 16 | 1.4 | −4.8 | 3.3 | 10.2 | 1.6 |
Disclaimer/Publisher’s Note: The statements, opinions and data contained in all publications are solely those of the individual author(s) and contributor(s) and not of MDPI and/or the editor(s). MDPI and/or the editor(s) disclaim responsibility for any injury to people or property resulting from any ideas, methods, instructions or products referred to in the content. |
© 2025 by the authors. Licensee MDPI, Basel, Switzerland. This article is an open access article distributed under the terms and conditions of the Creative Commons Attribution (CC BY) license (https://creativecommons.org/licenses/by/4.0/).
Share and Cite
Gutierrez, L.; Huerta, A.; Llauca, H.; Bourrel, L.; Lavado-Casimiro, W. Assessment of Run-of-River and Hydropower Plants in Peru: Current and Potential Sites, Historical Variability (1981–2020), and Climate Change Projections (2035–2100). Climate 2025, 13, 125. https://doi.org/10.3390/cli13060125
Gutierrez L, Huerta A, Llauca H, Bourrel L, Lavado-Casimiro W. Assessment of Run-of-River and Hydropower Plants in Peru: Current and Potential Sites, Historical Variability (1981–2020), and Climate Change Projections (2035–2100). Climate. 2025; 13(6):125. https://doi.org/10.3390/cli13060125
Chicago/Turabian StyleGutierrez, Leonardo, Adrian Huerta, Harold Llauca, Luc Bourrel, and Waldo Lavado-Casimiro. 2025. "Assessment of Run-of-River and Hydropower Plants in Peru: Current and Potential Sites, Historical Variability (1981–2020), and Climate Change Projections (2035–2100)" Climate 13, no. 6: 125. https://doi.org/10.3390/cli13060125
APA StyleGutierrez, L., Huerta, A., Llauca, H., Bourrel, L., & Lavado-Casimiro, W. (2025). Assessment of Run-of-River and Hydropower Plants in Peru: Current and Potential Sites, Historical Variability (1981–2020), and Climate Change Projections (2035–2100). Climate, 13(6), 125. https://doi.org/10.3390/cli13060125

