High-Resolution Temporal Variation of Thermal Discomfort Indices in the Eastern Mediterranean City of Athens, Greece, Since the Beginning of the 20th Century (1901–2024)
Abstract
1. Introduction
2. Materials and Methods
2.1. Data Sources
2.2. Thom’s Discomfort Index (TDI)
2.3. Humidex Index (HMDX)
2.4. Heat Index (HI)
(c6 × Ta2 × RH) + (c7 × Ta × RH2) + (c8 × Ta2 × RH2)
- c0 = −8.784695, c1 = 1.61139411, c2 = 2.338549, c3 = −0.14611605, c4 = −0.012308094,
- c5 = −0.016424828, c6 = 0.002211732, c7 = 0.00072546 and c8 = −0.000003582.
2.5. Methodology
3. Results and Analysis
3.1. Distribution of Thermal Discomfort Indices per Day—Thermal Stress Calendars
3.2. Monthly Frequency of High Thermal Discomfort Days
3.3. Seasonal Distribution of Thermal Discomfort
3.4. Statistical Distribution of Meteorological and Discomfort Variables
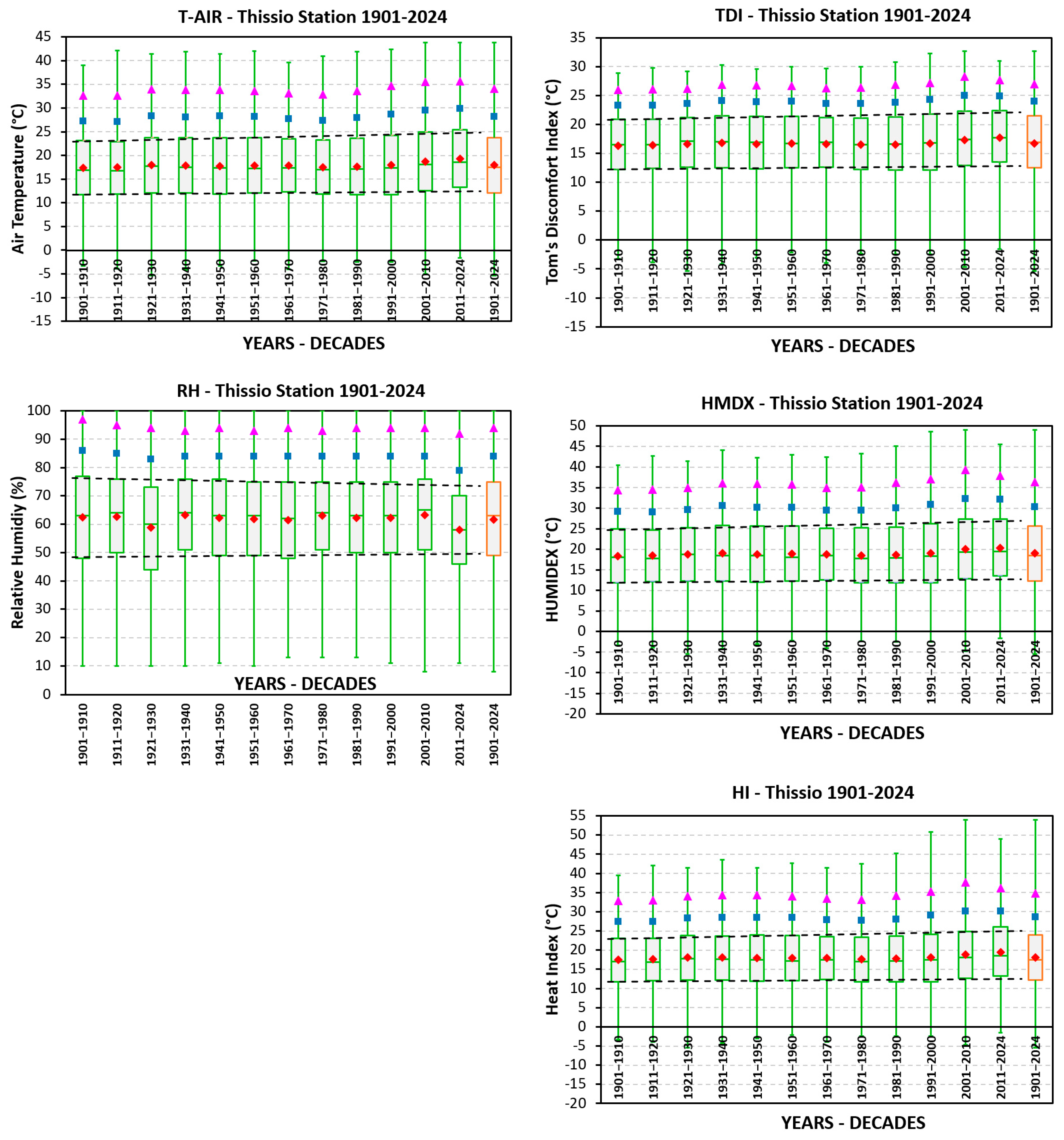
3.5. Decadal Classification of Thermal Discomfort Conditions
4. Discussion
5. Conclusions
Author Contributions
Funding
Institutional Review Board Statement
Informed Consent Statement
Data Availability Statement
Acknowledgments
Conflicts of Interest
Abbreviations
| TDI | Thom’s Discomfort Index |
| HMDX | Humidex Discomfort Index |
| HI | Heat Index |
| UTCI | Universal Thermal Climate Index |
| WBGT | Wet-Bulb Globe Temperature |
| PET | Physiologically Equivalent Temperature |
| PMV | Predicted Mean Vote |
| IRQ | Interquartile Range |
| Ta | Air Temperature in °C |
| Tmax | Daily Maximum Air Temperature |
| RH | Air Relative Humidity in % |
| e | Vapor Pressure in hPa |
| TMY | Typical Meteorological Year |
| TMM | Typical Meteorological Month |
Appendix A
Appendix B
| Year | Population | Notes |
|---|---|---|
| 1834 | ~4000 | Capital moved to Athens |
| 1870 | ~44,500 | Beginning of urban development |
| 1896 | ~123,000 | Year of the first modern Olympic Games |
| 1921 | ~473,000 | Before the Asia Minor Catastrophe |
| 1928 | ~801,622 | Large influx due to refugee crisis |
| 1940 | ~1,124,000 | Pre-war growth |
| 1951 | ~1,379,000 | Post-war reconstruction |
| 1961 | ~1,853,000 | Industrial development |
| 1971 | ~2,541,000 | Urban peak |
| 1981 | ~2,969,000 | Expansion of suburbs |
| 1991 | ~3,444,000 | Gradual stabilization |
| 2001 | ~3,761,000 | Post-Olympic infrastructure era |
| 2011 | ~3,638,000 | Start of demographic decline |
| 2021 | ~3,744,059 | Slight recovery, stabilization |
Appendix C
| Year | Month | TDI [27,29) | TDI [29,32) | TDI ≥ 32 | HMDX [38,40) | HMDX [40,45) | HMDX ≥ 45 | HI [32,41) | HI [41,54) | HI ≥ 54 | |||||||||
|---|---|---|---|---|---|---|---|---|---|---|---|---|---|---|---|---|---|---|---|
| Total Hours | Days | Total Hours | Days | Total Hours | Days | Total Hours | Days | Total Hours | Days | Total Hours | Days | Total Hours | Days | Total Hours | Days | Total Hours | Days | ||
| 1901 | MAY | ||||||||||||||||||
| JUN | 1 | 1 | 1 | 1 | 5 | 2 | |||||||||||||
| JUL | 5 | 3 | 73 | 15 | |||||||||||||||
| AUG | 34 | 4 | 20 | 3 | 1 | 1 | 56 | 10 | |||||||||||
| SEPT | |||||||||||||||||||
| OCT | |||||||||||||||||||
| 1902 | MAY | ||||||||||||||||||
| JUN | 2 | 2 | |||||||||||||||||
| JUL | 12 | 4 | 4 | 2 | 67 | 11 | |||||||||||||
| AUG | 6 | 5 | 95 | 17 | |||||||||||||||
| SEPT | 5 | 1 | 1 | 1 | 27 | 8 | |||||||||||||
| OCT | |||||||||||||||||||
| 1903 | MAY | ||||||||||||||||||
| JUN | |||||||||||||||||||
| JUL | 1 | 1 | 38 | 7 | |||||||||||||||
| AUG | 5 | 3 | 65 | 11 | |||||||||||||||
| SEPT | 1 | 1 | 1 | 1 | 13 | ||||||||||||||
| OCT | |||||||||||||||||||
| 1904 | MAY | ||||||||||||||||||
| JUN | 6 | 2 | |||||||||||||||||
| JUL | 8 | 3 | 2 | 2 | 71 | 15 | |||||||||||||
| AUG | 5 | 3 | 80 | 13 | |||||||||||||||
| SEPT | |||||||||||||||||||
| OCT | |||||||||||||||||||
| 1905 | MAY | ||||||||||||||||||
| JUN | 1 | 1 | |||||||||||||||||
| JUL | 7 | 3 | 2 | 1 | 1 | 1 | 60 | 14 | |||||||||||
| AUG | 36 | 6 | 15 | 4 | 1 | 1 | 116 | 15 | |||||||||||
| SEPT | 8 | 2 | 1 | 1 | 21 | 4 | |||||||||||||
| OCT | |||||||||||||||||||
| 1906 | MAY | ||||||||||||||||||
| JUN | |||||||||||||||||||
| JUL | 3 | 2 | 1 | 1 | 44 | 13 | |||||||||||||
| AUG | 3 | 2 | 25 | 7 | |||||||||||||||
| SEPT | 1 | 1 | |||||||||||||||||
| OCT | |||||||||||||||||||
| 1907 | MAY | ||||||||||||||||||
| JUN | 7 | 4 | |||||||||||||||||
| JUL | 2 | 2 | 62 | 14 | |||||||||||||||
| AUG | 2 | 1 | 1 | 1 | 51 | 8 | |||||||||||||
| SEPT | |||||||||||||||||||
| OCT | |||||||||||||||||||
| 1908 | MAY | 3 | 2 | ||||||||||||||||
| JUN | 7 | 2 | 1 | 1 | 34 | 6 | |||||||||||||
| JUL | 11 | 4 | 47 | 12 | |||||||||||||||
| AUG | 9 | 2 | 2 | 1 | 76 | 15 | |||||||||||||
| SEPT | 5 | 1 | |||||||||||||||||
| OCT | |||||||||||||||||||
| 1909 | MAY | 9 | 4 | ||||||||||||||||
| JUN | 11 | 4 | |||||||||||||||||
| JUL | 91 | 12 | |||||||||||||||||
| AUG | 5 | 2 | 1 | 1 | 49 | 12 | |||||||||||||
| SEPT | 15 | 7 | |||||||||||||||||
| OCT | |||||||||||||||||||
| 1910 | MAY | ||||||||||||||||||
| JUN | 7 | 1 | |||||||||||||||||
| JUL | 21 | 5 | 2 | 1 | 70 | 14 | |||||||||||||
| AUG | 24 | 9 | 3 | 3 | 97 | 20 | |||||||||||||
| SEPT | |||||||||||||||||||
| OCT | |||||||||||||||||||
| 1911 | MAY | 4 | 2 | ||||||||||||||||
| JUN | 9 | 2 | 29 | 4 | |||||||||||||||
| JUL | 9 | 2 | 11 | 2 | 18 | 6 | |||||||||||||
| AUG | 31 | 4 | 4 | 1 | 84 | 8 | 2 | 2 | |||||||||||
| SEPT | 4 | 2 | |||||||||||||||||
| OCT | |||||||||||||||||||
| 1912 | MAY | ||||||||||||||||||
| JUN | 2 | 2 | 5 | 2 | |||||||||||||||
| JUL | 7 | 2 | 42 | 7 | |||||||||||||||
| AUG | 11 | 3 | 62 | 15 | |||||||||||||||
| SEPT | 1 | 1 | 5 | 2 | |||||||||||||||
| OCT | |||||||||||||||||||
| 1913 | MAY | ||||||||||||||||||
| JUN | 1 | 1 | |||||||||||||||||
| JUL | 12 | 4 | |||||||||||||||||
| AUG | 14 | 5 | |||||||||||||||||
| SEPT | 29 | 7 | |||||||||||||||||
| OCT | 1 | 1 | |||||||||||||||||
| 1914 | MAY | ||||||||||||||||||
| JUN | 1 | 1 | |||||||||||||||||
| JUL | 1 | 1 | 6 | 3 | 32 | 10 | |||||||||||||
| AUG | 20 | 5 | 68 | 11 | |||||||||||||||
| SEPT | |||||||||||||||||||
| OCT | |||||||||||||||||||
| 1915 | MAY | ||||||||||||||||||
| JUN | 5 | 2 | |||||||||||||||||
| JUL | 6 | 4 | 80 | 18 | |||||||||||||||
| AUG | 34 | 7 | |||||||||||||||||
| SEPT | 7 | 1 | |||||||||||||||||
| OCT | |||||||||||||||||||
| 1916 | MAY | ||||||||||||||||||
| JUN | 22 | 5 | 1 | 1 | 7 | 1 | 7 | 2 | 112 | 17 | 2 | 1 | |||||||
| JUL | 44 | 5 | 26 | 4 | 1 | 1 | 145 | 18 | |||||||||||
| AUG | 26 | 8 | |||||||||||||||||
| SEPT | |||||||||||||||||||
| OCT | |||||||||||||||||||
| 1917 | MAY | ||||||||||||||||||
| JUN | |||||||||||||||||||
| JUL | 5 | 2 | 2 | 1 | 82 | 14 | |||||||||||||
| AUG | 13 | 5 | 4 | 2 | 117 | 21 | |||||||||||||
| SEPT | 10 | 3 | |||||||||||||||||
| OCT | |||||||||||||||||||
| 1918 | MAY | ||||||||||||||||||
| JUN | 14 | 2 | 5 | 1 | 29 | 5 | |||||||||||||
| JUL | 13 | 6 | 1 | 1 | 96 | 17 | |||||||||||||
| AUG | 61 | 12 | |||||||||||||||||
| SEPT | 1 | 1 | 23 | 6 | |||||||||||||||
| OCT | |||||||||||||||||||
| 1919 | MAY | ||||||||||||||||||
| JUN | 10 | 2 | |||||||||||||||||
| JUL | 6 | 4 | 2 | 1 | 51 | 10 | |||||||||||||
| AUG | 1 | 1 | 21 | 8 | |||||||||||||||
| SEPT | |||||||||||||||||||
| OCT | |||||||||||||||||||
| 1920 | MAY | ||||||||||||||||||
| JUN | 11 | 2 | |||||||||||||||||
| JUL | 14 | 3 | 5 | 1 | 3 | 1 | 86 | 14 | |||||||||||
| AUG | 51 | 10 | 20 | 5 | 1 | 1 | 133 | 19 | |||||||||||
| SEPT | |||||||||||||||||||
| OCT | |||||||||||||||||||
| 1921 | MAY | ||||||||||||||||||
| JUN | |||||||||||||||||||
| JUL | 2 | 1 | 118 | 22 | |||||||||||||||
| AUG | 2 | 1 | 116 | 21 | |||||||||||||||
| SEPT | 8 | 2 | |||||||||||||||||
| OCT | |||||||||||||||||||
| 1922 | MAY | ||||||||||||||||||
| JUN | 10 | 6 | |||||||||||||||||
| JUL | 3 | 2 | 120 | 22 | 1 | 1 | |||||||||||||
| AUG | 31 | 8 | 12 | 3 | 4 | 1 | 143 | 18 | 2 | 1 | |||||||||
| SEPT | 7 | 4 | |||||||||||||||||
| OCT | |||||||||||||||||||
| 1923 | MAY | 2 | 2 | ||||||||||||||||
| JUN | 22 | 5 | |||||||||||||||||
| JUL | 15 | 4 | 2 | 1 | 77 | 13 | |||||||||||||
| AUG | 4 | 1 | 59 | 11 | |||||||||||||||
| SEPT | 24 | 7 | |||||||||||||||||
| OCT | |||||||||||||||||||
| 1924 | MAY | ||||||||||||||||||
| JUN | 1 | 1 | 27 | 5 | |||||||||||||||
| JUL | 4 | 2 | 1 | 1 | 121 | 22 | |||||||||||||
| AUG | 33 | 7 | 10 | 3 | 3 | 1 | 101 | 16 | |||||||||||
| SEPT | 8 | 3 | 2 | 1 | 64 | 13 | |||||||||||||
| OCT | |||||||||||||||||||
| 1925 | MAY | ||||||||||||||||||
| JUN | 4 | 1 | |||||||||||||||||
| JUL | 3 | 1 | 99 | 18 | |||||||||||||||
| AUG | 2 | 2 | 92 | 18 | |||||||||||||||
| SEPT | 1 | 1 | 26 | 6 | |||||||||||||||
| OCT | |||||||||||||||||||
| 1926 | MAY | ||||||||||||||||||
| JUN | 2 | 1 | 14 | 4 | |||||||||||||||
| JUL | 4 | 2 | 3 | 1 | 3 | 1 | 47 | 10 | |||||||||||
| AUG | 1 | 1 | 44 | 9 | |||||||||||||||
| SEPT | 10 | 3 | |||||||||||||||||
| OCT | |||||||||||||||||||
| 1927 | MAY | 6 | 1 | ||||||||||||||||
| JUN | 11 | 4 | 1 | 1 | 1 | 1 | 1 | 1 | 68 | 16 | |||||||||
| JUL | 31 | 10 | 4 | 2 | 2 | 1 | 165 | 25 | |||||||||||
| AUG | 25 | 8 | 1 | 1 | 11 | 3 | 1 | 1 | 168 | 23 | |||||||||
| SEPT | 4 | 2 | 2 | 1 | 37 | 9 | |||||||||||||
| OCT | |||||||||||||||||||
| 1928 | MAY | ||||||||||||||||||
| JUN | 5 | 3 | 1 | 1 | 65 | 10 | |||||||||||||
| JUL | 5 | 3 | 174 | 22 | |||||||||||||||
| AUG | 7 | 5 | 174 | 26 | |||||||||||||||
| SEPT | 26 | 8 | |||||||||||||||||
| OCT | 7 | 2 | |||||||||||||||||
| 1929 | MAY | 2 | 1 | ||||||||||||||||
| JUN | 16 | 5 | |||||||||||||||||
| JUL | 10 | 4 | 99 | 16 | |||||||||||||||
| AUG | 19 | 7 | 3 | 3 | 157 | 25 | |||||||||||||
| SEPT | 6 | 2 | |||||||||||||||||
| OCT | |||||||||||||||||||
| 1930 | MAY | 2 | 1 | ||||||||||||||||
| JUN | 22 | 5 | |||||||||||||||||
| JUL | 5 | 2 | 91 | 18 | |||||||||||||||
| AUG | 9 | 2 | 4 | 2 | 109 | 15 | |||||||||||||
| SEPT | 16 | 8 | |||||||||||||||||
| OCT | |||||||||||||||||||
| 1931 | MAY | ||||||||||||||||||
| JUN | 7 | 1 | 3 | 1 | 2 | 1 | 56 | 11 | |||||||||||
| JUL | 21 | 9 | 4 | 1 | 169 | 25 | |||||||||||||
| AUG | 31 | 8 | 6 | 3 | 155 | 23 | |||||||||||||
| SEPT | 7 | 4 | 1 | 1 | 35 | 6 | |||||||||||||
| OCT | |||||||||||||||||||
| 1932 | MAY | ||||||||||||||||||
| JUN | 22 | 7 | |||||||||||||||||
| JUL | 15 | 8 | 5 | 2 | 101 | 17 | |||||||||||||
| AUG | 40 | 13 | |||||||||||||||||
| SEPT | 1 | 1 | 22 | 7 | |||||||||||||||
| OCT | 9 | 3 | |||||||||||||||||
| 1933 | MAY | ||||||||||||||||||
| JUN | 8 | 3 | |||||||||||||||||
| JUL | 29 | 5 | 7 | 3 | 51 | 8 | |||||||||||||
| AUG | 12 | 7 | 82 | 15 | |||||||||||||||
| SEPT | 1 | 1 | 4 | 1 | |||||||||||||||
| OCT | |||||||||||||||||||
| 1934 | MAY | ||||||||||||||||||
| JUN | 11 | 4 | 3 | 2 | 45 | 10 | |||||||||||||
| JUL | 44 | 5 | 3 | 2 | 18 | 2 | 8 | 2 | 120 | 17 | 3 | 1 | |||||||
| AUG | 31 | 8 | 6 | 2 | 2 | 1 | 116 | 24 | |||||||||||
| SEPT | 3 | 1 | |||||||||||||||||
| OCT | |||||||||||||||||||
| 1935 | MAY | 1 | 1 | ||||||||||||||||
| JUN | 18 | 4 | 2 | 2 | 58 | 11 | |||||||||||||
| JUL | 14 | 4 | 1 | 1 | 4 | 2 | 1 | 1 | 91 | 14 | 1 | 1 | |||||||
| AUG | 25 | 7 | 11 | 2 | 2 | 2 | 90 | 20 | |||||||||||
| SEPT | 1 | 1 | 23 | 6 | |||||||||||||||
| OCT | 1 | 1 | |||||||||||||||||
| 1936 | MAY | ||||||||||||||||||
| JUN | 3 | 2 | |||||||||||||||||
| JUL | 54 | 11 | 16 | 6 | 1 | 1 | 160 | 22 | |||||||||||
| AUG | 31 | 5 | 10 | 2 | 2 | 1 | 125 | 21 | |||||||||||
| SEPT | |||||||||||||||||||
| OCT | |||||||||||||||||||
| 1937 | MAY | ||||||||||||||||||
| JUN | 2 | 1 | 19 | 6 | |||||||||||||||
| JUL | 99 | 16 | 2 | 1 | 43 | 8 | 5 | 3 | 174 | 24 | 1 | 1 | |||||||
| AUG | 14 | 4 | 1 | 1 | 2 | 1 | 1 | 1 | 117 | 23 | |||||||||
| SEPT | 1 | 1 | 16 | 7 | |||||||||||||||
| OCT | 1 | 1 | |||||||||||||||||
| 1938 | MAY | ||||||||||||||||||
| JUN | 18 | 6 | 6 | 3 | 1 | 1 | 68 | 8 | |||||||||||
| JUL | 44 | 11 | 1 | 1 | 11 | 4 | 1 | 1 | 191 | 29 | |||||||||
| AUG | 36 | 12 | 3 | 2 | 150 | 25 | |||||||||||||
| SEPT | 2 | 2 | 21 | 8 | |||||||||||||||
| OCT | |||||||||||||||||||
| 1939 | MAY | ||||||||||||||||||
| JUN | 4 | 1 | 2 | 1 | 27 | 4 | |||||||||||||
| JUL | 91 | 12 | 4 | 2 | 38 | 5 | 11 | 3 | 170 | 16 | 3 | 2 | |||||||
| AUG | 51 | 7 | 23 | 4 | 3 | 2 | 108 | 13 | |||||||||||
| SEPT | 3 | 2 | 20 | 6 | |||||||||||||||
| OCT | 8 | 2 | |||||||||||||||||
| 1940 | MAY | ||||||||||||||||||
| JUN | 1 | 1 | 1 | 1 | |||||||||||||||
| JUL | 44 | 11 | 12 | 4 | 1 | 1 | 151 | 21 | |||||||||||
| AUG | 11 | 4 | 64 | 11 | |||||||||||||||
| SEPT | |||||||||||||||||||
| OCT | |||||||||||||||||||
| 1941 | MAY | 4 | 1 | ||||||||||||||||
| JUN | 2 | 2 | |||||||||||||||||
| JUL | 64 | 11 | 23 | 6 | 2 | 1 | 153 | 23 | |||||||||||
| AUG | 44 | 8 | 2 | 2 | 22 | 2 | 3 | 2 | 130 | 22 | |||||||||
| SEPT | |||||||||||||||||||
| OCT | |||||||||||||||||||
| 1942 | MAY | 4 | 1 | ||||||||||||||||
| JUN | 24 | 4 | 4 | 1 | 6 | 1 | 66 | 9 | 2 | 1 | |||||||||
| JUL | 19 | 5 | 6 | 1 | 2 | 2 | 83 | 16 | |||||||||||
| AUG | 8 | 4 | 70 | 14 | |||||||||||||||
| SEPT | 12 | 5 | |||||||||||||||||
| OCT | |||||||||||||||||||
| 1943 | MAY | ||||||||||||||||||
| JUN | 2 | 1 | 17 | 4 | |||||||||||||||
| JUL | 23 | 7 | 1 | 1 | 6 | 1 | 2 | 1 | 84 | 14 | |||||||||
| AUG | 35 | 10 | 7 | 3 | 131 | 23 | |||||||||||||
| SEPT | 7 | 4 | 41 | 8 | |||||||||||||||
| OCT | 12 | 3 | |||||||||||||||||
| 1944 | MAY | 4 | 1 | ||||||||||||||||
| JUN | 1 | 1 | 22 | 6 | |||||||||||||||
| JUL | 23 | 6 | 6 | 4 | 80 | 16 | |||||||||||||
| AUG | 6 | 3 | 1 | 1 | 83 | 18 | |||||||||||||
| SEPT | 3 | 2 | 41 | 9 | |||||||||||||||
| OCT | |||||||||||||||||||
| 1945 | MAY | 18 | 5 | ||||||||||||||||
| JUN | 11 | 2 | 5 | 1 | 28 | 7 | |||||||||||||
| JUL | 24 | 4 | 6 | 1 | 9 | 3 | 6 | 1 | 121 | 18 | 1 | 1 | |||||||
| AUG | 130 | 13 | 14 | 6 | 59 | 10 | 23 | 6 | 201 | 19 | 2 | 1 | |||||||
| SEPT | 25 | 5 | |||||||||||||||||
| OCT | |||||||||||||||||||
| 1946 | MAY | ||||||||||||||||||
| JUN | 32 | 10 | |||||||||||||||||
| JUL | 41 | 7 | 17 | 5 | 2 | 1 | 140 | 20 | |||||||||||
| AUG | 40 | 8 | 1 | 1 | 8 | 2 | 1 | 1 | 199 | 26 | 1 | 1 | |||||||
| SEPT | 5 | 2 | 2 | 1 | 66 | 10 | |||||||||||||
| OCT | |||||||||||||||||||
| 1947 | MAY | ||||||||||||||||||
| JUN | 13 | 3 | |||||||||||||||||
| JUL | 29 | 7 | 4 | 2 | 110 | 16 | |||||||||||||
| AUG | 42 | 10 | 6 | 4 | 1 | 1 | 127 | 22 | |||||||||||
| SEPT | |||||||||||||||||||
| OCT | |||||||||||||||||||
| 1948 | MAY | ||||||||||||||||||
| JUN | 2 | 1 | 16 | 4 | |||||||||||||||
| JUL | 5 | 1 | 48 | 9 | |||||||||||||||
| AUG | 21 | 8 | 4 | 3 | 118 | 20 | |||||||||||||
| SEPT | 6 | 1 | |||||||||||||||||
| OCT | |||||||||||||||||||
| 1949 | MAY | ||||||||||||||||||
| JUN | 6 | 2 | |||||||||||||||||
| JUL | 13 | 2 | 2 | 2 | 75 | 13 | |||||||||||||
| AUG | 4 | 1 | 41 | 7 | |||||||||||||||
| SEPT | 2 | 1 | |||||||||||||||||
| OCT | |||||||||||||||||||
| 1950 | MAY | 14 | 2 | ||||||||||||||||
| JUN | 12 | 3 | 5 | 1 | 52 | 9 | |||||||||||||
| JUL | 9 | 4 | 2 | 1 | 149 | 22 | |||||||||||||
| AUG | 13 | 4 | 2 | 1 | 100 | 17 | |||||||||||||
| SEPT | 22 | 7 | |||||||||||||||||
| OCT | |||||||||||||||||||
| 1951 | MAY | ||||||||||||||||||
| JUN | 1 | 1 | 18 | 5 | |||||||||||||||
| JUL | 18 | 5 | 6 | 3 | 90 | 16 | |||||||||||||
| AUG | 68 | 8 | 6 | 2 | 24 | 5 | 10 | 3 | 148 | 18 | 2 | 1 | |||||||
| SEPT | 2 | 1 | 17 | 5 | |||||||||||||||
| OCT | |||||||||||||||||||
| 1952 | MAY | 2 | 2 | ||||||||||||||||
| JUN | 8 | 2 | 39 | 7 | |||||||||||||||
| JUL | 12 | 4 | 56 | 13 | |||||||||||||||
| AUG | 91 | 16 | 7 | 2 | 32 | 7 | 20 | 5 | 224 | 27 | 5 | 2 | |||||||
| SEPT | 27 | 8 | 3 | 2 | 100 | 18 | |||||||||||||
| OCT | |||||||||||||||||||
| 1953 | MAY | ||||||||||||||||||
| JUN | 9 | 5 | |||||||||||||||||
| JUL | 9 | 2 | 1 | 1 | 98 | 20 | |||||||||||||
| AUG | 3 | 2 | 53 | 10 | |||||||||||||||
| SEPT | 3 | 3 | |||||||||||||||||
| OCT | |||||||||||||||||||
| 1954 | MAY | ||||||||||||||||||
| JUN | 2 | 1 | 54 | 11 | |||||||||||||||
| JUL | 51 | 11 | 16 | 4 | 1 | 1 | 144 | 23 | |||||||||||
| AUG | 26 | 8 | 8 | 2 | 119 | 23 | |||||||||||||
| SEPT | 2 | 1 | 15 | 6 | |||||||||||||||
| OCT | |||||||||||||||||||
| 1955 | MAY | 4 | 2 | ||||||||||||||||
| JUN | 1 | 1 | 32 | 7 | |||||||||||||||
| JUL | 15 | 6 | 3 | 2 | 79 | 17 | |||||||||||||
| AUG | 23 | 6 | |||||||||||||||||
| SEPT | |||||||||||||||||||
| OCT | |||||||||||||||||||
| 1956 | MAY | ||||||||||||||||||
| JUN | 4 | 1 | 2 | 1 | 38 | 7 | |||||||||||||
| JUL | 46 | 7 | 4 | 1 | 21 | 2 | 7 | 3 | 115 | 16 | |||||||||
| AUG | 60 | 13 | 1 | 1 | 20 | 6 | 1 | 1 | 174 | 28 | |||||||||
| SEPT | 18 | 3 | 10 | 2 | 41 | 8 | |||||||||||||
| OCT | |||||||||||||||||||
| 1957 | MAY | ||||||||||||||||||
| JUN | 17 | 5 | 2 | 1 | 1 | 1 | 55 | 9 | |||||||||||
| JUL | 12 | 4 | 89 | 21 | |||||||||||||||
| AUG | 62 | 9 | 19 | 5 | 1 | 1 | 134 | 17 | |||||||||||
| SEPT | 1 | 1 | |||||||||||||||||
| OCT | |||||||||||||||||||
| 1958 | MAY | ||||||||||||||||||
| JUN | 6 | 2 | 1 | 1 | 22 | 4 | |||||||||||||
| JUL | 9 | 4 | 101 | 18 | |||||||||||||||
| AUG | 46 | 7 | 1 | 1 | 22 | 3 | 9 | 3 | 133 | 18 | |||||||||
| SEPT | |||||||||||||||||||
| OCT | |||||||||||||||||||
| 1959 | MAY | 3 | 1 | ||||||||||||||||
| JUN | |||||||||||||||||||
| JUL | 5 | 1 | 86 | 17 | |||||||||||||||
| AUG | 49 | 11 | |||||||||||||||||
| SEPT | |||||||||||||||||||
| OCT | |||||||||||||||||||
| 1960 | MAY | 1 | 1 | ||||||||||||||||
| JUN | 20 | 5 | |||||||||||||||||
| JUL | 3 | 3 | 1 | 1 | 86 | 17 | |||||||||||||
| AUG | 10 | 4 | 2 | 2 | 89 | 16 | |||||||||||||
| SEPT | 15 | 6 | |||||||||||||||||
| OCT | |||||||||||||||||||
| 1961 | MAY | 1 | 1 | ||||||||||||||||
| JUN | 3 | 1 | 19 | 4 | |||||||||||||||
| JUL | 11 | 4 | 4 | 4 | 60 | 11 | |||||||||||||
| AUG | 7 | 4 | 81 | 13 | |||||||||||||||
| SEPT | 17 | 3 | |||||||||||||||||
| OCT | |||||||||||||||||||
| 1962 | MAY | ||||||||||||||||||
| JUN | 32 | 9 | |||||||||||||||||
| JUL | 19 | 7 | 1 | 1 | 112 | 16 | |||||||||||||
| AUG | 21 | 6 | 4 | 3 | 179 | 23 | |||||||||||||
| SEPT | 26 | 6 | |||||||||||||||||
| OCT | |||||||||||||||||||
| 1963 | MAY | ||||||||||||||||||
| JUN | 11 | 4 | 57 | 9 | |||||||||||||||
| JUL | 15 | 3 | 1 | 1 | 102 | 16 | |||||||||||||
| AUG | 50 | 7 | 4 | 2 | 17 | 3 | 7 | 2 | 152 | 22 | 2 | 1 | |||||||
| SEPT | 4 | 2 | 1 | 1 | 28 | 5 | |||||||||||||
| OCT | |||||||||||||||||||
| 1964 | MAY | ||||||||||||||||||
| JUN | 1 | 1 | 7 | 3 | |||||||||||||||
| JUL | 2 | 1 | 39 | 10 | |||||||||||||||
| AUG | 3 | 1 | 25 | 6 | |||||||||||||||
| SEPT | 1 | 1 | |||||||||||||||||
| OCT | |||||||||||||||||||
| 1965 | MAY | ||||||||||||||||||
| JUN | 21 | 7 | |||||||||||||||||
| JUL | 33 | 10 | 13 | 2 | 127 | 16 | |||||||||||||
| AUG | 1 | 1 | 37 | 7 | |||||||||||||||
| SEPT | 9 | 4 | |||||||||||||||||
| OCT | |||||||||||||||||||
| 1966 | MAY | ||||||||||||||||||
| JUN | 10 | 2 | |||||||||||||||||
| JUL | 11 | 6 | 2 | 2 | 105 | 19 | |||||||||||||
| AUG | 31 | 11 | 8 | 6 | 151 | 22 | |||||||||||||
| SEPT | |||||||||||||||||||
| OCT | |||||||||||||||||||
| 1967 | MAY | ||||||||||||||||||
| JUN | 4 | 1 | |||||||||||||||||
| JUL | 2 | 1 | 33 | 7 | |||||||||||||||
| AUG | 38 | 9 | 12 | 3 | 1 | 1 | 106 | 18 | |||||||||||
| SEPT | |||||||||||||||||||
| OCT | |||||||||||||||||||
| 1968 | MAY | 3 | 2 | ||||||||||||||||
| JUN | 2 | 1 | 1 | 1 | 30 | 4 | |||||||||||||
| JUL | 21 | 5 | 6 | 3 | 104 | 12 | |||||||||||||
| AUG | 1 | 1 | 28 | 5 | |||||||||||||||
| SEPT | 1 | 1 | 3 | 2 | |||||||||||||||
| OCT | |||||||||||||||||||
| 1969 | MAY | 3 | 1 | 1 | 1 | 11 | 2 | ||||||||||||
| JUN | 2 | 1 | 26 | 4 | |||||||||||||||
| JUL | 7 | 3 | |||||||||||||||||
| AUG | 11 | 3 | 48 | 11 | |||||||||||||||
| SEPT | 1 | 1 | 1 | 1 | 9 | 4 | |||||||||||||
| OCT | |||||||||||||||||||
| 1970 | MAY | ||||||||||||||||||
| JUN | 10 | 5 | |||||||||||||||||
| JUL | 1 | 1 | 60 | 15 | |||||||||||||||
| AUG | 9 | 3 | 3 | 1 | 81 | 17 | |||||||||||||
| SEPT | 3 | 2 | |||||||||||||||||
| OCT | |||||||||||||||||||
| 1971 | MAY | ||||||||||||||||||
| JUN | 3 | 1 | 1 | 1 | 31 | 7 | |||||||||||||
| JUL | 1 | 1 | 37 | 8 | |||||||||||||||
| AUG | 10 | 4 | 87 | 18 | |||||||||||||||
| SEPT | |||||||||||||||||||
| OCT | |||||||||||||||||||
| 1972 | MAY | ||||||||||||||||||
| JUN | 24 | 3 | |||||||||||||||||
| JUL | 6 | 4 | 52 | 11 | |||||||||||||||
| AUG | 10 | 4 | 83 | 13 | |||||||||||||||
| SEPT | 2 | 1 | 3 | 1 | |||||||||||||||
| OCT | |||||||||||||||||||
| 1973 | MAY | 2 | 1 | ||||||||||||||||
| JUN | 9 | 3 | |||||||||||||||||
| JUL | 65 | 9 | 8 | 2 | 21 | 3 | 18 | 4 | 136 | 17 | |||||||||
| AUG | 4 | 1 | |||||||||||||||||
| SEPT | 7 | 2 | |||||||||||||||||
| OCT | |||||||||||||||||||
| 1974 | MAY | ||||||||||||||||||
| JUN | 2 | 2 | 1 | 1 | 20 | 6 | |||||||||||||
| JUL | 13 | 3 | 93 | 14 | |||||||||||||||
| AUG | 3 | 2 | 50 | 13 | |||||||||||||||
| SEPT | 1 | 1 | |||||||||||||||||
| OCT | |||||||||||||||||||
| 1975 | MAY | ||||||||||||||||||
| JUN | 19 | 7 | |||||||||||||||||
| JUL | 15 | 5 | 3 | 2 | 91 | 16 | |||||||||||||
| AUG | 1 | 1 | 19 | 7 | |||||||||||||||
| SEPT | 1 | 1 | 16 | 6 | |||||||||||||||
| OCT | |||||||||||||||||||
| 1976 | MAY | ||||||||||||||||||
| JUN | |||||||||||||||||||
| JUL | 8 | 4 | 28 | 10 | |||||||||||||||
| AUG | 11 | 4 | 1 | 1 | 30 | 8 | |||||||||||||
| SEPT | 1 | 1 | |||||||||||||||||
| OCT | |||||||||||||||||||
| 1977 | MAY | ||||||||||||||||||
| JUN | 28 | 8 | |||||||||||||||||
| JUL | 38 | 9 | 14 | 3 | 1 | 1 | 130 | 20 | |||||||||||
| AUG | 15 | 6 | 1 | 1 | 107 | 19 | |||||||||||||
| SEPT | 1 | 1 | |||||||||||||||||
| OCT | |||||||||||||||||||
| 1978 | MAY | ||||||||||||||||||
| JUN | 11 | 3 | 1 | 1 | 57 | 9 | |||||||||||||
| JUL | 46 | 11 | 9 | 5 | 124 | 17 | |||||||||||||
| AUG | 5 | 1 | 1 | 1 | 34 | 6 | |||||||||||||
| SEPT | |||||||||||||||||||
| OCT | |||||||||||||||||||
| 1979 | MAY | ||||||||||||||||||
| JUN | 6 | 3 | 40 | 6 | |||||||||||||||
| JUL | 32 | 7 | 7 | 3 | 1 | 1 | 80 | 13 | |||||||||||
| AUG | 16 | 3 | 1 | 1 | 1 | 1 | 1 | 1 | 63 | 12 | |||||||||
| SEPT | 1 | 1 | 12 | 3 | |||||||||||||||
| OCT | |||||||||||||||||||
| 1980 | MAY | ||||||||||||||||||
| JUN | 31 | 7 | |||||||||||||||||
| JUL | 31 | 8 | 8 | 1 | 5 | 2 | 9 | 1 | 134 | 20 | 5 | 1 | |||||||
| AUG | 35 | 4 | 1 | 1 | 16 | 3 | 2 | 1 | 74 | 16 | |||||||||
| SEPT | 1 | 1 | |||||||||||||||||
| OCT | |||||||||||||||||||
| 1981 | MAY | ||||||||||||||||||
| JUN | 24 | 3 | 10 | 2 | 57 | 7 | |||||||||||||
| JUL | 7 | 2 | 1 | 1 | 47 | 10 | |||||||||||||
| AUG | 2 | 1 | 47 | 13 | |||||||||||||||
| SEPT | 2 | 2 | |||||||||||||||||
| OCT | |||||||||||||||||||
| 1982 | MAY | 3 | 1 | ||||||||||||||||
| JUN | 38 | 5 | 5 | 1 | 14 | 2 | 8 | 1 | 1 | 1 | 71 | 8 | 1 | 1 | |||||
| JUL | 7 | 3 | 1 | 1 | 62 | 14 | |||||||||||||
| AUG | 18 | 9 | 3 | 2 | 88 | 17 | |||||||||||||
| SEPT | 10 | 3 | 3 | 1 | 21 | 3 | |||||||||||||
| OCT | |||||||||||||||||||
| 1983 | MAY | ||||||||||||||||||
| JUN | 5 | 1 | 7 | 2 | |||||||||||||||
| JUL | 25 | 6 | 4 | 3 | 80 | 17 | |||||||||||||
| AUG | 8 | 3 | 40 | 9 | |||||||||||||||
| SEPT | 4 | 2 | |||||||||||||||||
| OCT | |||||||||||||||||||
| 1984 | MAY | ||||||||||||||||||
| JUN | 9 | 2 | |||||||||||||||||
| JUL | 30 | 7 | 5 | 1 | 90 | 15 | |||||||||||||
| AUG | 1 | 1 | 28 | 7 | |||||||||||||||
| SEPT | 5 | 2 | |||||||||||||||||
| OCT | 1 | 1 | 6 | 4 | |||||||||||||||
| 1985 | MAY | ||||||||||||||||||
| JUN | 3 | 1 | 31 | 7 | |||||||||||||||
| JUL | 16 | 3 | 5 | 3 | 85 | 14 | |||||||||||||
| AUG | 17 | 5 | 4 | 1 | 9 | 1 | 5 | 1 | 96 | 19 | |||||||||
| SEPT | 12 | 3 | |||||||||||||||||
| OCT | |||||||||||||||||||
| 1986 | MAY | ||||||||||||||||||
| JUN | 1 | 1 | 11 | 4 | |||||||||||||||
| JUL | 35 | 9 | 2 | 1 | 92 | 19 | |||||||||||||
| AUG | 36 | 8 | 2 | 2 | 10 | 2 | 2 | 2 | 146 | 29 | |||||||||
| SEPT | 1 | 1 | 27 | 7 | |||||||||||||||
| OCT | |||||||||||||||||||
| 1987 | MAY | ||||||||||||||||||
| JUN | 27 | 6 | 4 | 2 | 75 | 12 | |||||||||||||
| JUL | 86 | 6 | 53 | 8 | 33 | 4 | 65 | 5 | 3 | 3 | 186 | 15 | 33 | 7 | |||||
| AUG | 68 | 12 | 5 | 4 | 22 | 5 | 7 | 4 | 131 | 19 | 1 | 1 | |||||||
| SEPT | 12 | 5 | 56 | 11 | |||||||||||||||
| OCT | |||||||||||||||||||
| 1988 | MAY | ||||||||||||||||||
| JUN | 1 | 1 | 26 | 9 | |||||||||||||||
| JUL | 92 | 14 | 20 | 3 | 36 | 7 | 24 | 4 | 204 | 24 | 9 | 2 | |||||||
| AUG | 36 | 10 | 6 | 3 | 148 | 27 | |||||||||||||
| SEPT | 15 | 4 | 2 | 2 | 32 | 6 | |||||||||||||
| OCT | |||||||||||||||||||
| 1989 | MAY | ||||||||||||||||||
| JUN | 3 | 2 | |||||||||||||||||
| JUL | 8 | 4 | 3 | 2 | 69 | 15 | |||||||||||||
| AUG | 2 | 1 | 108 | 23 | |||||||||||||||
| SEPT | 7 | 3 | |||||||||||||||||
| OCT | |||||||||||||||||||
| 1990 | MAY | 8 | 2 | ||||||||||||||||
| JUN | 13 | 3 | 4 | 1 | 1 | 1 | 41 | 8 | |||||||||||
| JUL | 76 | 11 | 9 | 4 | 26 | 3 | 14 | 7 | 178 | 23 | 3 | 2 | |||||||
| AUG | 6 | 3 | 79 | 16 | |||||||||||||||
| SEPT | 2 | 1 | 1 | 1 | 27 | 7 | |||||||||||||
| OCT | |||||||||||||||||||
| 1991 | MAY | ||||||||||||||||||
| JUN | 1 | 1 | 55 | 11 | |||||||||||||||
| JUL | 18 | 4 | 88 | 15 | |||||||||||||||
| AUG | 32 | 8 | 11 | 4 | 78 | 15 | |||||||||||||
| SEPT | 2 | 1 | |||||||||||||||||
| OCT | 2 | 12 | 2 | ||||||||||||||||
| 1992 | MAY | ||||||||||||||||||
| JUN | 1 | 1 | 15 | 5 | |||||||||||||||
| JUL | 15 | 4 | 1 | 1 | 39 | 7 | |||||||||||||
| AUG | 31 | 10 | 3 | 1 | 10 | 2 | 3 | 1 | 162 | 27 | 1 | 1 | |||||||
| SEPT | 2 | 2 | 16 | 4 | |||||||||||||||
| OCT | |||||||||||||||||||
| 1993 | MAY | 4 | 1 | ||||||||||||||||
| JUN | 8 | 3 | 1 | 1 | 48 | 8 | |||||||||||||
| JUL | 71 | 14 | 19 | 5 | 168 | 23 | |||||||||||||
| AUG | 40 | 5 | 3 | 2 | 18 | 3 | 7 | 3 | 145 | 24 | 1 | 1 | |||||||
| SEPT | 3 | 1 | 22 | 5 | |||||||||||||||
| OCT | 1 | 1 | |||||||||||||||||
| 1994 | MAY | 10 | 4 | 1 | 1 | 40 | 6 | ||||||||||||
| JUN | 9 | 3 | 2 | 2 | 50 | 8 | |||||||||||||
| JUL | 41 | 10 | 1 | 1 | 8 | 3 | 1 | 1 | 117 | 17 | |||||||||
| AUG | 98 | 13 | 8 | 4 | 45 | 4 | 19 | 7 | 212 | 26 | 2 | 2 | |||||||
| SEPT | 4 | 2 | 95 | 19 | |||||||||||||||
| OCT | 3 | 1 | |||||||||||||||||
| 1995 | MAY | ||||||||||||||||||
| JUN | 22 | 7 | 3 | 1 | 5 | 2 | 6 | 3 | 6 | 1 | 5 | 2 | 71 | 15 | 3 | 1 | 5 | 2 | |
| JUL | 33 | 10 | 8 | 4 | 142 | 23 | |||||||||||||
| AUG | 17 | 6 | 2 | 1 | 79 | 18 | |||||||||||||
| SEPT | 2 | 1 | 7 | 3 | |||||||||||||||
| OCT | |||||||||||||||||||
| 1996 | MAY | ||||||||||||||||||
| JUN | 5 | 4 | 52 | 10 | |||||||||||||||
| JUL | 12 | 5 | 1 | 1 | 58 | 10 | |||||||||||||
| AUG | 35 | 10 | 3 | 2 | 120 | 22 | |||||||||||||
| SEPT | 3 | 1 | |||||||||||||||||
| OCT | |||||||||||||||||||
| 1997 | MAY | 2 | 2 | ||||||||||||||||
| JUN | 29 | 9 | 7 | 2 | 90 | 13 | |||||||||||||
| JUL | 29 | 10 | 9 | 3 | 1 | 1 | 128 | 24 | |||||||||||
| AUG | 24 | 8 | 67 | 13 | |||||||||||||||
| SEPT | 3 | 2 | |||||||||||||||||
| OCT | |||||||||||||||||||
| 1998 | MAY | ||||||||||||||||||
| JUN | 18 | 3 | 9 | 2 | 57 | 12 | |||||||||||||
| JUL | 62 | 11 | 20 | 3 | 1 | 1 | 17 | 3 | 20 | 4 | 5 | 1 | 195 | 23 | 14 | 3 | |||
| AUG | 86 | 20 | 27 | 10 | 208 | 28 | |||||||||||||
| SEPT | |||||||||||||||||||
| OCT | |||||||||||||||||||
| 1999 | MAY | ||||||||||||||||||
| JUN | 4 | 4 | 85 | 17 | |||||||||||||||
| JUL | 98 | 20 | 43 | 10 | 2 | 2 | 205 | 28 | |||||||||||
| AUG | 118 | 11 | 24 | 6 | 56 | 4 | 44 | 9 | 215 | 18 | 11 | 5 | |||||||
| SEPT | 6 | 4 | |||||||||||||||||
| OCT | 1 | 1 | |||||||||||||||||
| 2000 | MAY | 1 | 1 | ||||||||||||||||
| JUN | 20 | 5 | 6 | 3 | 103 | 17 | |||||||||||||
| JUL | 93 | 10 | 33 | 6 | 36 | 4 | 38 | 6 | 1 | 1 | 207 | 18 | 21 | 6 | |||||
| AUG | 18 | 6 | 6 | 1 | 1 | 148 | 23 | ||||||||||||
| SEPT | 9 | 4 | 2 | 1 | 43 | 8 | |||||||||||||
| OCT | |||||||||||||||||||
| 2001 | MAY | 3 | 3 | ||||||||||||||||
| JUN | 7 | 1 | 3 | 1 | 50 | 13 | |||||||||||||
| JUL | 141 | 14 | 34 | 11 | 61 | 7 | 50 | 13 | 266 | 25 | 7 | 5 | |||||||
| AUG | 64 | 7 | 12 | 4 | 31 | 1 | 22 | 7 | 190 | 26 | 1 | 1 | |||||||
| SEPT | 2 | 2 | 29 | 8 | |||||||||||||||
| OCT | |||||||||||||||||||
| 2002 | MAY | ||||||||||||||||||
| JUN | 15 | 3 | 4 | 2 | 60 | 11 | |||||||||||||
| JUL | 70 | 16 | 14 | 7 | 202 | 27 | |||||||||||||
| AUG | 20 | 5 | 7 | 2 | 80 | 17 | |||||||||||||
| SEPT | 1 | 1 | |||||||||||||||||
| OCT | |||||||||||||||||||
| 2003 | MAY | 7 | 2 | ||||||||||||||||
| JUN | 10 | 6 | 122 | 20 | |||||||||||||||
| JUL | 58 | 12 | 20 | 4 | 2 | 1 | 189 | 30 | |||||||||||
| AUG | 72 | 15 | 1 | 1 | 14 | 4 | 2 | 1 | 212 | 28 | |||||||||
| SEPT | 15 | 3 | 7 | 1 | 26 | 3 | |||||||||||||
| OCT | |||||||||||||||||||
| 2004 | MAY | ||||||||||||||||||
| JUN | 48 | 13 | 7 | 1 | 20 | 5 | 9 | 3 | 111 | 18 | 1 | 1 | |||||||
| JUL | 130 | 16 | 46 | 7 | 8 | 3 | 59 | 9 | 52 | 9 | 15 | 3 | 216 | 20 | 33 | 6 | 3 | 1 | |
| AUG | 148 | 19 | 18 | 9 | 87 | 12 | 29 | 12 | 1 | 1 | 215 | 26 | 7 | 4 | |||||
| SEPT | 20 | 4 | 1 | 1 | 11 | 3 | 1 | 1 | 32 | 7 | |||||||||
| OCT | |||||||||||||||||||
| 2005 | MAY | ||||||||||||||||||
| JUN | 2 | 2 | 32 | 9 | |||||||||||||||
| JUL | 174 | 13 | 37 | 12 | 85 | 4 | 58 | 17 | 1 | 1 | 254 | 19 | 17 | 8 | |||||
| AUG | 113 | 17 | 33 | 7 | 45 | 7 | 42 | 8 | 4 | 2 | 212 | 26 | 22 | 5 | |||||
| SEPT | 11 | 4 | 4 | 3 | 36 | 9 | |||||||||||||
| OCT | |||||||||||||||||||
| 2006 | MAY | 27 | 4 | 2 | 1 | 13 | 2 | 4 | 2 | 54 | 8 | ||||||||
| JUN | 104 | 6 | 36 | 10 | 40 | 2 | 52 | 9 | 1 | 1 | 157 | 11 | 18 | 6 | |||||
| JUL | 107 | 10 | 24 | 7 | 46 | 6 | 38 | 9 | 157 | 15 | 14 | 5 | |||||||
| AUG | 165 | 8 | 116 | 22 | 1 | 1 | 73 | 3 | 129 | 20 | 14 | 5 | 271 | 17 | 78 | 14 | |||
| SEPT | 19 | 4 | 5 | 1 | 5 | 1 | 34 | 6 | |||||||||||
| OCT | 1 | 1 | |||||||||||||||||
| 2007 | MAY | 7 | 2 | ||||||||||||||||
| JUN | 87 | 9 | 16 | 3 | 36 | 6 | 25 | 4 | 149 | 12 | 13 | 3 | |||||||
| JUL | 112 | 11 | 25 | 7 | 46 | 6 | 36 | 7 | 253 | 24 | 13 | 3 | |||||||
| AUG | 65 | 16 | 25 | 5 | 224 | 28 | |||||||||||||
| SEPT | 12 | 2 | 6 | 1 | 23 | 6 | |||||||||||||
| OCT | |||||||||||||||||||
| 2008 | MAY | 5 | 1 | 3 | 1 | 10 | 2 | ||||||||||||
| JUN | 23 | 5 | 2 | 2 | 115 | 14 | |||||||||||||
| JUL | 69 | 14 | 22 | 7 | 2 | 1 | 197 | 26 | |||||||||||
| AUG | 101 | 17 | 2 | 2 | 32 | 7 | 6 | 4 | 218 | 28 | |||||||||
| SEPT | 18 | 7 | 1 | 1 | 64 | 13 | |||||||||||||
| OCT | |||||||||||||||||||
| 2009 | MAY | 4 | 2 | ||||||||||||||||
| JUN | 9 | 3 | 2 | 1 | 64 | 10 | |||||||||||||
| JUL | 79 | 12 | 2 | 1 | 34 | 6 | 10 | 4 | 209 | 29 | |||||||||
| AUG | 28 | 8 | 4 | 2 | 127 | 25 | |||||||||||||
| SEPT | 10 | 3 | 25 | 5 | |||||||||||||||
| OCT | |||||||||||||||||||
| 2010 | MAY | 6 | 3 | ||||||||||||||||
| JUN | 29 | 6 | 10 | 4 | 69 | 9 | |||||||||||||
| JUL | 91 | 18 | 36 | 7 | 2 | 2 | 207 | 27 | |||||||||||
| AUG | 172 | 20 | 11 | 6 | 80 | 9 | 28 | 10 | 308 | 29 | |||||||||
| SEPT | 11 | 5 | |||||||||||||||||
| OCT | |||||||||||||||||||
| 2011 | MAY | ||||||||||||||||||
| JUN | 2 | 1 | 1 | 1 | 29 | 6 | |||||||||||||
| JUL | 60 | 10 | 14 | 4 | 1 | 1 | 205 | 26 | |||||||||||
| AUG | 32 | 7 | 1 | 1 | 11 | 2 | 1 | 1 | 159 | 26 | |||||||||
| SEPT | 5 | 3 | 95 | 18 | |||||||||||||||
| OCT | |||||||||||||||||||
| 2012 | MAY | ||||||||||||||||||
| JUN | 20 | 6 | 5 | 2 | 145 | 21 | |||||||||||||
| JUL | 180 | 17 | 14 | 8 | 86 | 10 | 34 | 11 | 303 | 26 | 4 | 3 | |||||||
| AUG | 115 | 15 | 4 | 3 | 49 | 8 | 16 | 6 | 236 | 27 | |||||||||
| SEPT | 48 | 13 | |||||||||||||||||
| OCT | 5 | 1 | |||||||||||||||||
| 2013 | MAY | ||||||||||||||||||
| JUN | 5 | 3 | 1 | 1 | 71 | 12 | |||||||||||||
| JUL | 22 | 5 | 9 | 2 | 135 | 21 | |||||||||||||
| AUG | 9 | 4 | 1 | 1 | 140 | 27 | |||||||||||||
| SEPT | 2 | 1 | 11 | 3 | |||||||||||||||
| OCT | |||||||||||||||||||
| 2014 | MAY | ||||||||||||||||||
| JUN | 19 | 2 | 1 | 1 | 6 | 1 | 3 | 1 | 46 | 11 | |||||||||
| JUL | 44 | 13 | 6 | 5 | 133 | 21 | |||||||||||||
| AUG | 98 | 19 | 17 | 7 | 1 | 1 | 193 | 27 | |||||||||||
| SEPT | 6 | 2 | |||||||||||||||||
| OCT | |||||||||||||||||||
| 2015 | MAY | ||||||||||||||||||
| JUN | 22 | 5 | |||||||||||||||||
| JUL | 70 | 10 | 1 | 1 | 33 | 5 | 5 | 2 | 233 | 27 | |||||||||
| AUG | 67 | 17 | 22 | 7 | 191 | 26 | |||||||||||||
| SEPT | 31 | 6 | 8 | 4 | 75 | 14 | |||||||||||||
| OCT | |||||||||||||||||||
| 2016 | MAY | 2 | 1 | ||||||||||||||||
| JUN | 53 | 9 | 1 | 1 | 21 | 4 | 3 | 2 | 1 | 1 | 125 | 16 | 1 | 1 | |||||
| JUL | 43 | 13 | 4 | 3 | 214 | 29 | |||||||||||||
| AUG | 56 | 15 | 10 | 6 | 174 | 23 | |||||||||||||
| SEPT | 6 | 3 | |||||||||||||||||
| OCT | |||||||||||||||||||
| 2017 | MAY | 4 | 2 | ||||||||||||||||
| JUN | 49 | 6 | 5 | 1 | 25 | 4 | 7 | 2 | 94 | 11 | 2 | 1 | |||||||
| JUL | 85 | 9 | 14 | 4 | 36 | 4 | 23 | 5 | 203 | 22 | 7 | 2 | |||||||
| AUG | 62 | 11 | 1 | 1 | 14 | 3 | 3 | 1 | 182 | 24 | |||||||||
| SEPT | 17 | 8 | 1 | 1 | 76 | 17 | |||||||||||||
| OCT | |||||||||||||||||||
| 2018 | MAY | ||||||||||||||||||
| JUN | 22 | 7 | |||||||||||||||||
| JUL | 55 | 16 | 7 | 4 | 184 | 28 | |||||||||||||
| AUG | 14 | 5 | 4 | 2 | 166 | 29 | |||||||||||||
| SEPT | 4 | 2 | 42 | 7 | |||||||||||||||
| OCT | |||||||||||||||||||
| 2019 | MAY | ||||||||||||||||||
| JUN | 14 | 5 | 106 | 16 | |||||||||||||||
| JUL | 72 | 13 | 24 | 7 | 1 | 1 | 190 | 23 | |||||||||||
| AUG | 111 | 16 | 7 | 4 | 40 | 10 | 14 | 4 | 213 | 25 | 1 | 1 | |||||||
| SEPT | 3 | 1 | 1 | 2 | 1 | 1 | 26 | 8 | |||||||||||
| OCT | |||||||||||||||||||
| 2020 | MAY | 22 | 5 | ||||||||||||||||
| JUN | 4 | 1 | 1 | 1 | 28 | 6 | |||||||||||||
| JUL | 54 | 9 | 18 | 3 | 2 | 2 | 184 | 27 | |||||||||||
| AUG | 27 | 8 | 1 | 1 | 6 | 1 | 2 | 1 | 171 | 26 | |||||||||
| SEPT | 7 | 2 | 53 | 13 | |||||||||||||||
| OCT | 2 | 2 | |||||||||||||||||
| 2021 | MAY | 5 | 2 | ||||||||||||||||
| JUN | 66 | 6 | 5 | 2 | 30 | 4 | 10 | 4 | 97 | 8 | 2 | 1 | |||||||
| JUL | 118 | 16 | 10 | 3 | 47 | 8 | 15 | 3 | 270 | 29 | 4 | 2 | |||||||
| AUG | 142 | 19 | 26 | 6 | 44 | 8 | 36 | 5 | 2 | 1 | 285 | 27 | 15 | 4 | |||||
| SEPT | 6 | 2 | 2 | 2 | 32 | 7 | |||||||||||||
| OCT | |||||||||||||||||||
| 2022 | MAY | 4 | 3 | ||||||||||||||||
| JUN | 25 | 8 | 1 | 1 | 106 | 19 | |||||||||||||
| JUL | 87 | 16 | 21 | 6 | 3 | 3 | 202 | 23 | |||||||||||
| AUG | 52 | 10 | 13 | 5 | 155 | 26 | |||||||||||||
| SEPT | 6 | 4 | 36 | 8 | |||||||||||||||
| OCT | |||||||||||||||||||
| 2023 | MAY | ||||||||||||||||||
| JUN | 3 | 2 | 55 | 9 | |||||||||||||||
| JUL | 187 | 15 | 44 | 9 | 68 | 8 | 65 | 12 | 2 | 1 | 340 | 23 | 21 | 7 | |||||
| AUG | 118 | 20 | 41 | 10 | 2 | 2 | 231 | 28 | |||||||||||
| SEPT | 2 | 1 | 30 | 7 | |||||||||||||||
| OCT | |||||||||||||||||||
| 2024 | MAY | ||||||||||||||||||
| JUN | 81 | 19 | 16 | 5 | 3 | 1 | 226 | 27 | |||||||||||
| JUL | 168 | 24 | 7 | 3 | 67 | 10 | 17 | 7 | 352 | 30 | |||||||||
| AUG | 140 | 23 | 48 | 11 | 5 | 3 | 274 | 30 | |||||||||||
| SEPT | 12 | 4 | 3 | 2 | 41 | 10 | |||||||||||||
| OCT | |||||||||||||||||||
Appendix D


References
- Andersen, H.E.; Larsen, S.E.; Hoffman, C.C.; Jensen, T.S.; Rasmussen, E.K. Climate-Change Impacts on Hydrology and Nutrients in a Danish Lowland River Basin. Sci. Total Environ. 2006, 365, 223–237. [Google Scholar] [CrossRef]
- Da, Y.; Xu, Y.; McCarl, B. Effects of Surface Ozone and Climate on Historical (1980–2015) Crop Yields in the United States: Implication for Mid-21st Century Projection. Environ. Resour. Econ. 2022, 81, 355–378. [Google Scholar] [CrossRef]
- Jing, X.; Jiang, S.; Liu, H.; Li, Y.; He, J.S. Complex Relationships and Feedback Mechanisms between Climate Change and Biodiversity. Biodivers. Sci. 2022, 30, 22462. [Google Scholar] [CrossRef]
- Shen, F.; Yang, L.; Zhang, L.; Guo, M.; Huang, H.; Zhou, C. Quantifying the Direct Effects of Long-Term Dynamic Land Use Intensity on Vegetation Change and Its Interacted Effects with Economic Development and Climate Change in Jiangsu, China. J. Environ. Manag. 2023, 325, 116562. [Google Scholar] [CrossRef] [PubMed]
- Alimonti, G.; Mariani, L.; Prodi, F.; Ricci, R.A. A Critical Assessment of Extreme Events Trends in Times of Global Warming. Eur. Phys. J. Plus 2022, 137, 112. [Google Scholar] [CrossRef]
- Clarke, B.; Otto, F.; Stuart-Smith, R.; Harrington, L. Extreme Weather Impacts of Climate Change: An Attribution Perspective. Environ. Res. Clim. 2022, 1, 012001. [Google Scholar] [CrossRef]
- Amirkhani, M.; Ghaemimood, S.; von Schreeb, J.; El-Khatib, Z.; Yaya, S. Extreme Weather Events and Death Based on Temperature and CO2 Emission—A Global Retrospective Study in 77 Low-, Middle- and High-Income Countries from 1999 to 2018. Prev. Med. Rep. 2022, 28, 101846. [Google Scholar] [CrossRef]
- Laino, E.; Iglesias, G. Extreme Climate Change Hazards and Impacts on European Coastal Cities: A Review. Renew. Sustain. Energy Rev. 2023, 184, 113587. [Google Scholar] [CrossRef]
- Laino, E.; Iglesias, G. Scientometric Review of Climate-Change Extreme Impacts on Coastal Cities. Ocean Coast. Manag. 2023, 242, 106709. [Google Scholar] [CrossRef]
- Pachauri, R.K.; Reisinger, A. Climate Change 2007: Synthesis Report. Contribution of Working Groups I, II and III to the Fourth Assessment Report of the Intergovernmental Panel on Climate Change; IPCC: Geneva, Switzerland, 2007. [Google Scholar]
- IPCC. Climate Change 2014: Synthesis Report. Contribution of Working Groups I, II and III to the Fifth Assessment Report of the Intergovernmental Panel on Climate Change; IPCC: Geneva, Switzerland, 2014. [Google Scholar]
- Skendžić, S.; Zovko, M.; Živković, I.P.; Lešić, V.; Lemić, D. The Impact of Climate Change on Agricultural Insect Pests. Insects 2021, 12, 440. [Google Scholar] [CrossRef]
- Nastos, P.T.; Matzarakis, A. Weather Impacts on Respiratory Infections in Athens, Greece. Int. J. Biometeorol. 2006, 50, 358–369. [Google Scholar] [CrossRef]
- He, B.J.; Wang, J.; Liu, H.; Ulpiani, G. Localized Synergies between Heat Waves and Urban Heat Islands: Implications on Human Thermal Comfort and Urban Heat Management. Environ. Res. 2021, 193, 110584. [Google Scholar] [CrossRef]
- Ren, Z.; Fu, Y.; Dong, Y.; Zhang, P.; He, X. Rapid Urbanization and Climate Change Significantly Contribute to Worsening Urban Human Thermal Comfort: A National 183-City, 26-Year Study in China. Urban Clim. 2022, 43, 101154. [Google Scholar] [CrossRef]
- Isinkaralar, K.; Isinkaralar, O.; Bayraktar, E.P. Ecological and Health Risk Assessment in Road Dust Samples from Various Land Use of Düzce City Center: Towards the Sustainable Urban Development. Water Air Soil Pollut. 2024, 235, 84. [Google Scholar] [CrossRef]
- Lin, Z.; Deng, S. A Study on the Thermal Comfort in Sleeping Environments in the Subtropics—Developing a Thermal Comfort Model for Sleeping Environments. Build. Environ. 2008, 43, 70–81. [Google Scholar] [CrossRef]
- Kurmi, R.S.; Gupta, J.K. A Textbook of Refrigeration and Air Conditioning, 1st ed.; Eurasia Publishing House: New Delhi, India, 2006. [Google Scholar]
- Isinkaralar, O.; Isinkaralar, K. Projection of Bioclimatic Patterns via CMIP6 in the Southeast Region of Türkiye: A Guidance for Adaptation Strategies for Climate Policy. Environ. Monit. Assess. 2023, 195, 1448. [Google Scholar] [CrossRef]
- de Freitas, C.R.; Grigorieva, E.A. A Comparison and Appraisal of a Comprehensive Range of Human Thermal Climate Indices. Int. J. Biometeorol. 2015, 61, 487–512. [Google Scholar] [CrossRef]
- McLaughlin, S.; Cooper, J.A.G. A Multi-Scale Coastal Vulnerability Index: A Tool for Coastal Managers? Environ. Hazards 2010, 9, 233–248. [Google Scholar] [CrossRef]
- Rabby, Y.W.; Hossain, M.B.; Hasan, M.U. Social Vulnerability in the Coastal Region of Bangladesh: An Investigation of Social Vulnerability Index and Scalar Change Effects. Int. J. Disaster Risk Reduct. 2019, 41, 101329. [Google Scholar] [CrossRef]
- Tasnuva, A.; Hossain, M.R.; Salam, R.; Islam, A.R.M.T.; Patwary, M.M.; Ibrahim, S.M. Employing Social Vulnerability Index to Assess Household Social Vulnerability of Natural Hazards: An Evidence from Southwest Coastal Bangladesh. Environ. Dev. Sustain. 2021, 23, 10223–10245. [Google Scholar] [CrossRef]
- Pantusa, D.; D’Alessandro, F.; Frega, F.; Francone, A.; Tomasicchio, G.R. Improvement of a Coastal Vulnerability Index and Its Application along the Calabria Coastline, Italy. Sci. Rep. 2022, 12, 21959. [Google Scholar] [CrossRef]
- Kovaleva, O.; Sergeev, A.; Ryabchuk, D. Coastal Vulnerability Index as a Tool for Current State Assessment and Anthropogenic Activity Planning for the Eastern Gulf of Finland Coastal Zone (the Baltic Sea). Appl. Geogr. 2022, 143, 102710. [Google Scholar] [CrossRef]
- Oloyede, M.O.; Williams, A.B.; Ode, G.O.; Benson, N.U. Coastal Vulnerability Assessment: A Case Study of the Nigerian Coastline. Sustainability 2022, 14, 2097. [Google Scholar] [CrossRef]
- Šimac, Z.; Lončar, N.; Faivre, S. Overview of Coastal Vulnerability Indices with Reference to Physical Characteristics of the Croatian Coast of Istria. Hydrology 2023, 10, 14. [Google Scholar] [CrossRef]
- Esmaeili, R.; Gandomkar, A.; Nokhndan, M.H. Assessment of Comfortable Climate in Several Main Iranian Tourism Cities Using Physiologic Equivalence Temperature Index. Phys. Geogr. Res. Q. 2011, 75, 8–10. [Google Scholar] [CrossRef]
- Thom, E.C. The Discomfort Index. Weatherwise 1959, 12, 57–61. [Google Scholar] [CrossRef]
- Masterton, J.M.; Richardson, F.A. Humidex: A Method of Quantifying Human Discomfort Due to Excessive Heat and Humidity; Technical Report No. 45; Atmospheric Environment Service, Environment Canada: Downsview, ON, Canada, 1979. [Google Scholar]
- Steadman, R.G. The Assessment of Sultriness. Part I: A Temperature–Humidity Index Based on Human Physiology and Clothing Science. J. Appl. Meteorol. 1979, 18, 861–873. [Google Scholar] [CrossRef]
- Steadman, R.G. The Assessment of Sultriness. Part II: Effects of Wind, Extra Radiation and Barometric Pressure on Apparent Temperature. J. Appl. Meteorol. 1979, 18, 874–885. [Google Scholar] [CrossRef]
- Rothfusz, L.P. The Heat Index “Equation”; Technical Attachment SR/SSD 90-23; National Weather Service, Southern Region Headquarters: Fort Worth, TX, USA, 1990.
- Yousif, T.A.; Tahir, H.M. The Relationship between Relative Humidity and the Dew Point Temperature in Khartoum State, Sudan. J. Appl. Ind. Sci. 2013, 1, 20–23. [Google Scholar]
- Epstein, Y.; Moran, D.S. Thermal Comfort and the Heat Stress Indices. Ind. Health 2006, 44, 388–398. [Google Scholar] [CrossRef]
- Stathopoulou, M.I.; Cartalis, C.; Keramitsoglou, I.; Santamouris, M. Thermal Remote Sensing of Thom’s Discomfort Index (DI): Comparison with In-Situ Measurements. Remote Sens. 2005, 5983, 131–139. [Google Scholar] [CrossRef]
- Adegoke, O.O.; Dombo, T.P. Geospatial Modeling of Human Thermal Comfort in Akure Metropolis Using Thom’s Discomfort Index. Int. J. Environ. Bioenergy 2019, 14, 40–55. [Google Scholar] [CrossRef]
- Talukdar, M.S.J.; Hossen, M.S.; Baten, M.A. Trends of Outdoor Thermal Discomfort in Mymensingh: An Application of Thom’s Discomfort Index. J. Environ. Sci. Nat. Resour. 2017, 10, 151–156. [Google Scholar] [CrossRef][Green Version]
- Ehsan, S.; Abbas, F.; Ibrahim, M.; Ahmad, B.; Farooque, A.A. Thermal Discomfort Levels, Building Design Concepts, and Some Heat Mitigation Strategies in Low-Income Communities of a South Asian City. Int. J. Environ. Res. Public Health 2021, 18, 2535. [Google Scholar] [CrossRef]
- Monforte, P.; Ragusa, M.A. Evaluation of Bioclimatic Discomfort Trend in a Central Area of the Mediterranean Sea. Climate 2022, 10, 146. [Google Scholar] [CrossRef]
- Maftei, C.; Buta, C. Application of Thermal Discomfort Indices for the Coastal Zone of Black Sea, in Dobrogea Region. Ovidius Univ. Ann. Ser. Civ. Eng. 2017, 19, 87–100. [Google Scholar] [CrossRef]
- Azevedo, P.V.; Bezerra, P.T.C.; Leitão, M.M.V.B.R.; Santos, C.A.C. Thermal Comfort Level Assessment in Urban Area of Petrolina-PE County, Brazil. Rev. Bras. Meteorol. 2017, 32, 555–563. [Google Scholar] [CrossRef][Green Version]
- Diaconescu, E.; Sankare, H.; Chow, K.; Murdock, T.Q.; Cannon, A.J. A Short Note on the Use of Daily Climate Data to Calculate Humidex Heat-Stress Indices. Int. J. Climatol. 2023, 43, 837–849. [Google Scholar] [CrossRef]
- Orimoloye, I.R.; Mazinyo, S.P.; Nel, W.; Iortyom, E.T. Climate Variability and Heat Stress Index Have Increasing Potential Ill-Health and Environmental Impacts in East London, South Africa. Int. J. Appl. Eng. Res. 2017, 12, 6910–6918. [Google Scholar]
- Golbabaei, F.; Heidari, H.; Shamsipour, A. The Assessment of Thermal Conditions Using Humidex in Different Weather Conditions: A Case in Different Climates of Iran. J. Health Sci. Surveill. Syst. 2021, 9, 127–134. [Google Scholar] [CrossRef]
- FallahGhalhari, G.; FarhangDehghan, S.; Asghari, M. Trend Analysis of Humidex as a Heat Discomfort Index Using Mann–Kendall and Sen’s Slope Estimator Statistical Tests. Environ. Health Eng. Manag. J. 2022, 9, 165–176. [Google Scholar] [CrossRef]
- Scoccimarro, E.; Fogli, P.G.; Gualdi, S. The Role of Humidity in Determining Scenarios of Perceived Temperature Extremes in Europe. Environ. Res. Lett. 2017, 12, 114029. [Google Scholar] [CrossRef]
- Středová, H.; Středa, T.; Litschmann, T. Smart Tools of Urban Climate Evaluation for Smart Spatial Planning. Morav. Geogr. Rep. 2015, 23, 47–57. [Google Scholar] [CrossRef]
- Infusino, E.; Caloiero, T.; Fusto, F.; Calderaro, G.; Brutto, A.; Tagarelli, G. Characterization of the 2017 Summer Heat Waves and Their Effects on the Population of an Area of Southern Italy. Int. J. Environ. Res. Public Health 2021, 18, 970. [Google Scholar] [CrossRef]
- Dahl, K.; Licker, R.; Abatzoglou, J.T.; Declet-Barreto, J. Increased Frequency of and Population Exposure to Extreme Heat Index Days in the United States during the 21st Century. Environ. Res. Commun. 2019, 1, 075002. [Google Scholar] [CrossRef]
- Michelozzi, P.; Accetta, G.; De Sario, M.; D’Ippoliti, D.; Marino, C.; Baccini, M.; Biggeri, A.; Anderson, H.R.; Katsouyanni, K.; Ballester, F.; et al. High Temperature and Hospitalizations for Cardiovascular and Respiratory Causes in 12 European Cities. Am. J. Respir. Crit. Care Med. 2009, 179, 383–389. [Google Scholar] [CrossRef] [PubMed]
- Khalaj, B.; Lloyd, G.; Sheppeard, V.; Dear, K. The Health Impacts of Heat Waves in Five Regions of New South Wales, Australia: A Case-Only Analysis. Int. Arch. Occup. Environ. Health 2010, 83, 833–842. [Google Scholar] [CrossRef]
- Kyselý, J.; Kim, J. Mortality during Heat Waves in South Korea, 1991 to 2005: How Exceptional Was the 1994 Heat Wave? Clim. Res. 2009, 38, 105–116. [Google Scholar] [CrossRef]
- Bell, M.L.; O’Neill, M.S.; Ranjit, N.; Borja-Aburto, V.H.; Cifuentes, L.A.; Gouveia, N.C. Vulnerability to Heat-Related Mortality in Latin America: A Case-Crossover Study in São Paulo, Brazil, Santiago, Chile and Mexico City, Mexico. Int. J. Epidemiol. 2008, 37, 796–804. [Google Scholar] [CrossRef]
- Angouridakis, V.E.; Makrogiannis, T.J. The Discomfort-Index in Thessaloniki, Greece. Int. J. Biometeorol. 1982, 26, 53–59. [Google Scholar] [CrossRef]
- Tsitoura, M.; Tsoutsos, T.; Daras, T. Evaluation of Comfort Conditions in Urban Open Spaces. Application in the Island of Crete. Energy Convers. Manag. 2014, 86, 250–258. [Google Scholar] [CrossRef]
- Matzarakis, A.; Mayer, H. Heat Stress in Greece. Int. J. Biometeorol. 1997, 41, 34–39. [Google Scholar] [CrossRef]
- Kambezidis, H.D.; Psiloglou, B.E.; Varotsos, K.V.; Giannakopoulos, C. Climate Change and Thermal Comfort in Greece. Climate 2021, 9, 10. [Google Scholar] [CrossRef]
- Kambezidis, H.D.; Psiloglou, B.E.; Kaskaoutis, D.G.; Karagiannis, D.; Petrinoli, K.; Gavriil, A.; Kavadias, K. Generation of typical meteorological years for 33 locations in Greece: Adaptation to the needs of various applications. Theor. Appl. Clim. 2020, 141, 1313–1330. [Google Scholar] [CrossRef]
- Giles, B.D.; Balafoutis, C.; Maheras, P. Too Hot for Comfort: The Heatwaves in Greece in 1987 and 1988. Int. J. Biometeorol. 1990, 34, 98–104. [Google Scholar] [CrossRef]
- Paliatsos, A.G.; Nastos, P.T. Relation between air pollution episodes and discomfort index in the greater Athens area, Greece. Glob. Nest J. 1999, 1, 91–97. [Google Scholar] [CrossRef]
- Tselepidaki, I.; Santamouris, M.; Moustris, C.; Poulopoulou, G. Analysis of the Summer Discomfort Index in Athens, Greece, for Cooling Purposes. Energy Build. 1992, 18, 51–56. [Google Scholar] [CrossRef]
- Bartzokas, A.; Lolis, C.J.; Kassomenos, P.A.; McGregor, G.R. Climatic Characteristics of Summer Human Thermal Discomfort in Athens and Its Connection to Atmospheric Circulation. Nat. Hazards Earth Syst. Sci. 2013, 13, 3271–3279. [Google Scholar] [CrossRef]
- Matzarakis, A.; Nastos, P.T. Human-biometeorological assessment of heat waves in Athens. Theor. Appl. Climatol. 2011, 105, 99–106. [Google Scholar] [CrossRef]
- Nastos, P.T.; Matzarakis, A. The Effect of Air Temperature and Human Thermal Indices on Mortality in Athens, Greece. Theor. Appl. Climatol. 2012, 108, 591–599. [Google Scholar] [CrossRef]
- Pantavou, K.; Santamouris, M.; Asimakopoulos, D.; Theoharatos, G. Empirical Calibration of Thermal Indices in an Urban Outdoor Mediterranean Environment. Build. Environ. 2014, 80, 283–292. [Google Scholar] [CrossRef]
- Pantavou, K.; Theoharatos, G.; Santamouris, M.; Asimakopoulos, D. Outdoor Thermal Sensation of Pedestrians in a Mediterranean Climate and a Comparison with UTCI. Build. Environ. 2013, 66, 82–95. [Google Scholar] [CrossRef]
- Katavoutas, G.; Founda, D. Intensification of Thermal Risk in Mediterranean Climates: Evidence from the Comparison of Rational and Simple Indices. Int. J. Biometeorol. 2019, 63, 1251–1264. [Google Scholar] [CrossRef] [PubMed]
- International Meteorological Organisation (IMO). Provisional Guide to International Meteorological Instruments and Observing Practice; IMO No. 78 Technical Report, Chapters 1 to 10; International Meteorological Organisation: Lausanne, Switzerland, 1950. [Google Scholar]
- World Meteorological Organization (WMO). Guide to Meteorological Instruments and Methods of Observation, 7th ed.; WMO-No. 8 Technical Report; World Meteorological Organization (WMO): Geneva, Switzerland, 2008. [Google Scholar]
- World Meteorological Organization (WMO). Guide to Meteorological Instruments and Methods of Observation: Volume I—Measurements of Meteorological Variables; WMO-No. 8; World Meteorological Organization (WMO): Geneva, Switzerland, 2024. [Google Scholar]
- Eginitis, D. The Climate of Greece, Part A; P. Sakkelariou Editions: Athens, Greece, 1907; pp. 227–228. (In Greek) [Google Scholar]
- Founda, D.; Kambezidis, H.D.; Petrakis, M.; Zanis, P.; Zerefos, C. A correction of the recent air-temperature record at the historical meteorological station of the National Observatory of Athens (NOA) due to instrument change. Theor. Appl. Climatol. 2009, 97, 385–389. [Google Scholar] [CrossRef]
- McGregor, G.R.; Vanos, J.K. Heat: A primer for public health researchers. Public Health 2018, 161, 138–146. [Google Scholar] [CrossRef]
- Psiloglou, B.E.; Larissi, I.K.; Petrakis, M.; Paliatsos, A.G.; Antoniou, A.; Viras, L.G. Case Studies on Summertime Measurements of O3, NO2, and SO2 with a DOAS System in an Urban Semi-Industrial Region in Athens, Greece. Environ. Monit. Assess. 2013, 185, 6565–6576. [Google Scholar] [CrossRef]
- Kallos, G.; Kassomenos, P.; Pielke, R. Synoptic and mesoscale weather conditions during air pollution episodes in Athens, Greece. Bound. Layer Meteorol. 1993, 62, 163–184. [Google Scholar] [CrossRef]
- Kassomenos, P.; Kotroni, V.; Kallos, G. Analysis of the climatological and air quality observations from Greater Athens Area. Atmos. Environ. 1995, 29, 3671–3688. [Google Scholar] [CrossRef]
- Tung, A. The City of the Gods Besieged. In Preserving the World’s Great Cities: The Destruction and Renewal of the Historic Metropolis; Three Rivers Press: New York, NY, USA, 2001; pp. 260, 263, 265. ISBN 0-609-80815-X. [Google Scholar]
- Hellenic Statistical Authority (ELSTAT). 2021 Population Census (Greek Language PDF); Hellenic Statistical Authority: Athens, Greece, 2021; Available online: https://www.statistics.gr/en/2021-census-pop-hous (accessed on 10 July 2025).
- Hellenic Statistical Authority (ELSTAT). Census 2022 Greece: Population and Housing Census (Greek Language PDF); Hellenic Statistical Authority: Athens, Greece, 2022; Available online: https://elstat-outsourcers.statistics.gr/Census2022_GR.pdf (accessed on 10 July 2025).
- National Centre for Social Research. Panorama of Greek Census Data. Available online: https://panorama.statistics.gr/en/ (accessed on 10 July 2025).
- Athens Social Atlas. Available online: https://www.athenssocialatlas.gr (accessed on 10 July 2025).
- Metaxas, D.A.; Bartzokas, A.; Vitsas, A. Temperature Fluctuations in the Mediterranean Area during the Last 120 Years. Int. J. Climatol. 1991, 11, 897–908. [Google Scholar] [CrossRef]
- Founda, D. Evolution of the Air Temperature in Athens and Evidence of Climatic Change: A Review. Adv. Build. Energy Res. 2011, 5, 7–41. [Google Scholar] [CrossRef]
- American Society of Heating, Refrigeration and Air-Conditioning Engineers (ASHRAE). Heating, Ventilating, Air-Conditioning, Guide No. 33; ASHRAE: New York, NY, USA, 1955. [Google Scholar]
- Thom, E.C. A New Concept for Cooling Degree-Days. Air Cond. Heat. Vent. 1957, 54, 73–80. [Google Scholar]
- Giannakopoulos, C.; Kostopoulou, E.; Varotsos, K.V.; Tziotziou, K.; Plitharas, A. An Integrated Assessment of Climate Change Impacts for Greece in the Near Future. Reg. Environ. Change 2011, 11, 829–843. [Google Scholar] [CrossRef]
- Rana, R.; Kusy, B.; Jurdak, R.; Wall, J.; Hu, W. Feasibility Analysis of Using Humidex as an Indoor Thermal Comfort Predictor. Energy Build. 2013, 64, 17–25. [Google Scholar] [CrossRef]
- Steadman, R.G. A Universal Scale of Apparent Temperature. J. Clim. Appl. Meteorol. 1984, 23, 1674–1687. [Google Scholar] [CrossRef]
- NOAA (National Oceanic and Atmospheric Administration). National Weather Service Glossary. 2009. Available online: http://www.weather.gov/glossary/ (accessed on 12 October 2012).
- Steadman, R.G. Norms of Apparent Temperature in Australia. Aust. Meteorol. Mag. 1994, 43, 1–16. [Google Scholar]
- NWS (National Weather Service). Meteorological Conversions and Calculations: Heat Index Calculator. 2011. Available online: https://www.wpc.ncep.noaa.gov/html/heatindex.shtml (accessed on 12 October 2011).
- NOAA (National Oceanic and Atmospheric Administration). Heat: A Major Killer. 2012. Available online: http://www.nws.noaa.gov/om/heat/index.shtml (accessed on 12 October 2012).
- United States National Weather Service, Pueblo, Colorado. Heat Index. Available online: https://web.archive.org/web/20110629041320/http://www.crh.noaa.gov/pub/heat.php (accessed on 10 July 2025).
- The Intergovernmental Panel on Climate Change (IPCC). Managing the Risks of Extreme Events and Disasters to Advance Climate Change Adaptation (SREX); Field, C.B., Barros, V., Stocker, T.F., Qin, D., Dokken, D.J., Ebi, K.L., Mastrandrea, M.D., Mach, K.J., Plattner, G.K., Allen, S.K., et al., Eds.; Cambridge University Press: New York, NY, USA, 2012; Available online: https://www.ipcc.ch/report/managing-the-risks-of-extreme-events-and-disasters-to-advance-climate-change-adaptation/ (accessed on 28 August 2025).
- World Meteorological Organization & World Health Organization (WMO/WHO). Heatwaves and Health: Guidance on Warning-System Development; WMO No. 114 Technical Report, Chapter 7; McGregor, G.R., Bessemoulin, P., Ebi, K., Menne, B., Eds.; World Meteorological Organization: Geneva, Switzerland, 2015; Available online: https://www.who.int/publications/m/item/heatwaves-and-health--guidance-on-warning-system-development (accessed on 28 August 2025).
- D’Ippoliti, D.; Michelozzi, P.; Marino, C.; de’Donato, F.; Menne, B.; Katsouyanni, K.; Kirchmayer, U.; Analitis, A.; Medina-Ramón, M.; Paldy, A.; et al. The impact of heat waves on mortality in 9 European cities: Results from the EuroHEAT project. Environ. Health 2010, 9, 37. [Google Scholar] [CrossRef] [PubMed]
- Habeeb, D.; Vargo, J.; Stone, B. Rising heat wave trends in large US cities. Nat. Hazards 2015, 76, 1651–1665. [Google Scholar] [CrossRef]
- Spector, J.T.; Masuda, Y.J.; Wolff, N.H.; Calkins, M.; Seixas, N. Heat exposure and occupational injuries: Review of the literature and implications. Curr. Environ. Health Rep. 2019, 6, 286–296. [Google Scholar] [CrossRef] [PubMed]
- Vicedo-Cabrera, A.M.; Scovronick, N.; Sera, F.; Royé, D.; Schneider, R.; Tobias, A.; Astrom, C.; Guo, Y.; Honda, Y.; Hondula, D.M.; et al. The burden of heat-related mortality attributable to recent human-induced climate change. Nat. Med. 2020, 27, 1027–1034. [Google Scholar] [CrossRef]
- Perkins-Kirkpatrick, S.E.; Lewis, S.C. Increasing trends in regional heatwaves. Nat. Commun. 2020, 11, 3357. [Google Scholar] [CrossRef]
- Schwingshackl, C.; Sillmann, J.; Vicedo-Cabrera, A.M.; Sandstad, M.; Aunan, K. Heat stress indicators in CMIP6: Estimating future trends and exceedances of impact-relevant thresholds. Earth’s Future 2021, 9, e2020EF001885. [Google Scholar] [CrossRef]
- Russo, S.; Dosio, A.; Graversen, R.G.; Sillmann, J.; Carrao, H.; Dunbar, M.B.; Vogt, J.V. Magnitude of extreme heat waves in present climate and their projection in a warming world. J. Geophys. Res. Atmos. 2014, 119, 12500–12512. [Google Scholar] [CrossRef]
- Katavoutas, G.; Founda, D.; Varotsos, K.V.; Giannakopoulos, C. Diurnal Temperature Range and Its Response to Heat Waves in 16 European Cities—Current and Future Trends. Sustainability 2023, 15, 12715. [Google Scholar] [CrossRef]











| Range (°C) | Discomfort Level |
|---|---|
| TDI < 21 | No discomfort |
| 21 ≤ TDI < 24 | Under 50% of the population feels discomfort |
| 24 ≤ TDI < 27 | Over 50% of the population feels discomfort |
| 27 ≤ TDI < 29 | Most of the population suffers discomfort |
| 29 ≤ TDI < 32 | Everyone feels severe stress |
| TDI ≥ 32 | State of medical emergency |
| Range (°C) | Discomfort Level |
|---|---|
| HMDX < 20 | No discomfort |
| 20 ≤ HMDX < 30 | Little to no discomfort |
| 30 ≤ HMDX < 38 | Some discomfort |
| 38 ≤ HMDX < 45 | Great discomfort, avoid exertion |
| HMDX ≥ 45 | Dangerous, heat stroke quite possible |
| Range (°C) | Discomfort Level |
|---|---|
| HI < 27 | No effect—temperature and humidity should not have any effect. |
| 27 ≤ HI < 32 | Caution: fatigue is possible with prolonged exposure and activity. Continuing activity could result in heat cramps. |
| 32 ≤ HI <41 | Extreme caution: heat cramps and heat exhaustion are possible. Continuing activity could result in heat stroke. |
| 41 ≤ HI < 54 | Danger: heat cramps and heat exhaustion are likely; heat stroke is probable with continued activity. |
| HI ≥ 54 | Extreme danger: heat stroke is imminent. |
| Month | 1901–1920 | 1921–1940 | 1941–1960 | 1961–1980 | 1981–2000 | 2001–2024 | |
|---|---|---|---|---|---|---|---|
| Number of hours where TDI ≥ 27 °C | JUN | 54 | 82 | 91 | 41 | 242 | 746 |
| JUL | 166 | 551 | 441 | 386 | 991 | 2534 | |
| AUG | 260 | 377 | 741 | 284 | 742 | 2224 | |
| SEP | 16 | 29 | 64 | 10 | 60 | 204 | |
| Total | 496 | 1039 | 1337 | 721 | 2035 | 5708 | |
| Number of hours where HMDX ≥ 38 °C | JUN | 25 | 22 | 26 | 4 | 87 | 344 |
| JUL | 54 | 198 | 145 | 117 | 431 | 1297 | |
| AUG | 95 | 119 | 305 | 75 | 314 | 1077 | |
| SEP | 3 | 5 | 15 | 2 | 8 | 53 | |
| Total | 177 | 344 | 491 | 198 | 840 | 2771 | |
| Number of hours where HI ≥ 32 °C | JUN | 278 | 555 | 543 | 475 | 966 | 2138 |
| JUL | 1267 | 2497 | 1988 | 1659 | 2520 | 5421 | |
| AUG | 1332 | 2212 | 2356 | 1441 | 2361 | 4951 | |
| SEP | 160 | 368 | 407 | 138 | 390 | 858 | |
| Total | 3037 | 5632 | 5294 | 3713 | 6237 | 13,368 |
| Statistical Parameter | Ta | RH | TDI | HMDX | HI |
|---|---|---|---|---|---|
| Number of values | 1,083,876 | 1,082,598 | 1,079,938 | 1,079,938 | 1,079,938 |
| Average | 17.97 | 61.6 | 16.76 | 19.00 | 18.09 |
| Standard deviation | 7.57 | 17.1 | 5.69 | 8.35 | 7.70 |
| Minimum | −5.4 | 8 | −5.4 | −5.4 | −5.4 |
| 1st Quartile (25%) | 12.1 | 49 | 12.5 | 12.3 | 12.2 |
| Median (50%) | 17.5 | 63 | 16.9 | 18.4 | 17.5 |
| 3rd Quartile (75%) | 23.8 | 75 | 21.5 | 25.7 | 23.9 |
| Maximum | 43.8 | 100 | 32.7 | 49.0 | 54.0 |
| 90th Percentile | 28.2 | 84 | 24.0 | 30.3 | 28.6 |
| 99th Percentile | 34.1 | 94 | 27.0 | 36.4 | 34.8 |
Disclaimer/Publisher’s Note: The statements, opinions and data contained in all publications are solely those of the individual author(s) and contributor(s) and not of MDPI and/or the editor(s). MDPI and/or the editor(s) disclaim responsibility for any injury to people or property resulting from any ideas, methods, instructions or products referred to in the content. |
© 2025 by the authors. Licensee MDPI, Basel, Switzerland. This article is an open access article distributed under the terms and conditions of the Creative Commons Attribution (CC BY) license (https://creativecommons.org/licenses/by/4.0/).
Share and Cite
Psiloglou, B.E.; Gkinis, N.; Giannakopoulos, C. High-Resolution Temporal Variation of Thermal Discomfort Indices in the Eastern Mediterranean City of Athens, Greece, Since the Beginning of the 20th Century (1901–2024). Climate 2025, 13, 210. https://doi.org/10.3390/cli13100210
Psiloglou BE, Gkinis N, Giannakopoulos C. High-Resolution Temporal Variation of Thermal Discomfort Indices in the Eastern Mediterranean City of Athens, Greece, Since the Beginning of the 20th Century (1901–2024). Climate. 2025; 13(10):210. https://doi.org/10.3390/cli13100210
Chicago/Turabian StylePsiloglou, Basil E., Nikolas Gkinis, and Christos Giannakopoulos. 2025. "High-Resolution Temporal Variation of Thermal Discomfort Indices in the Eastern Mediterranean City of Athens, Greece, Since the Beginning of the 20th Century (1901–2024)" Climate 13, no. 10: 210. https://doi.org/10.3390/cli13100210
APA StylePsiloglou, B. E., Gkinis, N., & Giannakopoulos, C. (2025). High-Resolution Temporal Variation of Thermal Discomfort Indices in the Eastern Mediterranean City of Athens, Greece, Since the Beginning of the 20th Century (1901–2024). Climate, 13(10), 210. https://doi.org/10.3390/cli13100210

