Global Solar Radiation and Its Interactions with Atmospheric Substances and Their Effects on Air Temperature Change in Ankara Province
Abstract
1. Introduction
2. Data and Methodology
2.1. Observations and Data Selection
2.2. Development of Empirical Model of Global Solar Radiation
2.3. Development and Validation of the Empirical Model of Global Solar Radiation
3. Results
3.1. Variations in Global Solar Radiation and Their Losses in the Atmosphere
3.2. Seasonal Variations in Global Solar Radiation and the Losses in the Atmosphere
3.3. Sensitivity Analysis
3.4. Relationships between Wind Speed and Atmospheric GLPs (S/G)
3.5. Albedos at the TOA and the Surface
3.6. Normalized Absorbing Energy and Its Potential Roles
4. Discussion
4.1. Relationships between T and S/G and Its Mechanism
4.2. The Losses of G and Their Potential İnfluencing Factors
4.3. Common Laws of Responses of G to Its Influencing Factors at Some Typical Sites
4.4. Essential Connections of the Atmospheric Components and Their Potential Influences
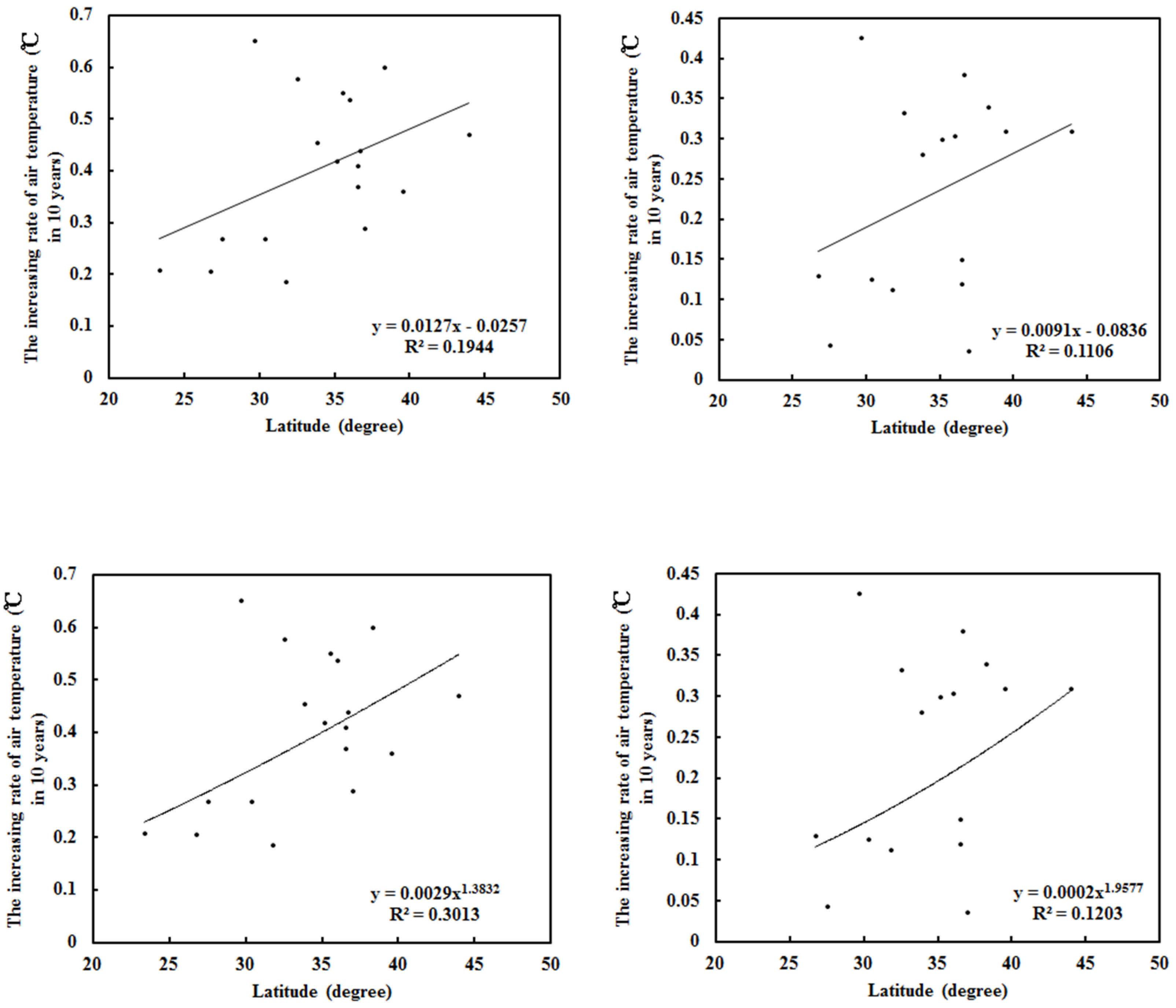
4.5. Other Evidence in Air Temperature Increase and Above Mechanisms
| Site/Region | Latitude (N) | Time Period | ΔT in Winter | ΔT in Summer | Station Number | Reference |
|---|---|---|---|---|---|---|
| Yining | 43.95 | 1952–2015 | 0.47 | 0.31 | Ablat, 2020 [83] | |
| Loess Plateau | 32°–41° | 1960–2013 | 0.41 | 0.15 | 114 | Zhang et al., 2020 [84] |
| Yinchuan | 38.28 | 1960–3019 | 0.60 | 0.34 | Zhang et al., 2012 [85] | |
| Qilianshan | 37°17′–42°48′ | 1965–2018 | 0.36 | 0.31 | Jing et al., 2022 [86] | |
| Jiyang | 37 | 1962–2020 | 0.289 | 0.037 | Wang et al., 2021 [87] | |
| Yutian | 36.51 | 1968–2018 | 0.37 | 0.12 | Aizaitiyuemaier and Yu, 2020 [88] | |
| Xining | 36°37′ (old) 36°44′ (new) | 1954–2016 | 0.44 | 0.38 | Zhu et al., 2021 [89] | |
| Guyuan | 36 | 1961–2021 | 0.537 | 0.304 | Chen et al., 2022 [90] | |
| Lanzhou | 35.52 | 2004–2021 | 0.552 | Yang et al., 2023 [91] | ||
| Wudaoliang | 35.15 | 1961–2019 | 0.42 | 0.30 | Wu et al., 2020 [92] | |
| Sanjiangyuan | 31°39′–36°12′ | 1961–2016 | 0.455 | 0.281 | 23 | Han, 2020 [93] |
| Mianyang | 30°42′–33°03′ | 1954–2016 | 0.186 | 0.112 | Huang, 2021 [94] | |
| Zaduo | 32.53 | 1961–2018 | 0.578 | 0.332 | Han, 2020 [93] | |
| Chengdu | 30.35 | 1961–2019 | 0.268 | 0.126 | Li and Zhang, 2021 [95] | |
| Lasa | 29.67 | 1970–2018 | 0.652 | 0.426 | Lei et al., 2021 [96] | |
| Xinyu | 27.5 | 1959–2019 | 0.27 | 0.043 | Yuan et al., 2022 [97] | |
| Guizhou | 24°30′–29°13′ | 1960–2018 | 0.207 | 0.130 | 34 | Zhao et al., 2021 [98] |
| Tiandong | 23.36 | 1960–2019 | 0.209 | Tan, 2021 [99] |
5. Conclusions
Author Contributions
Funding
Data Availability Statement
Acknowledgments
Conflicts of Interest
Nomenclature List
| G | global solar radiation (MJ m−2 and W m−2) |
| D | direct normal radiation (MJ m−2 and W m−2) |
| S | diffuse solar radiation (MJ m−2 and W m−2) |
| S/G | scattering factor |
| SZA | solar zenith angle (degree) |
| T | temperature (℃) |
| RH | relative humidity (%) |
| E | water vapor pressure (hPa) |
| Io | solar constant (Wm−2) |
| m | optical air mass (dimensionless) |
| w | precipitable water (mm) |
| △S′ | global solar radiation absorbed by water vapor (W m−2) |
| k | mean absorption coefficient of water vapor (μm) |
| n | sample number |
| R | correlation coefficient |
| R2 | coefficient of determination |
| δ | relative error (%) |
| mean absolute value of relative error (%) | |
| σ | standard deviation |
| GLA | absorbing losses caused by atmospheric GLPs (MJ m−2 and W m−2) |
| GLS | scattering losses (MJ m−2 and W m−2) |
| GL | total losses (MJ m−2 and W m−2) |
| RLA | absorbing losses to the total loss (%) |
| RLS | scattering losses to the total loss (%) |
| v | wind speed (m s−1) |
| p | air pressure (hPa) |
Formulas of δ, , σ, MAD, RMSE, and NMSE
| δ = | |
| σ = | |
| MAD = | |
| RMSE = | |
| NMSE = | |
| n | sample number |
| calculated value | |
| observed value | |
| average of calculated value | |
| average of observed value | |
References
- Guenther, A.; Hewitt, C.N.; Erickson, D.; Fall, R.; Geron, C.; Graedel, T.; Harley, P.; Klinger, L.; Lerdau, M.; McKay, W.A.; et al. A global model of natural volatile organic compound emissions. J. Geophys. Res. 1995, 100, e8873–e8892. [Google Scholar] [CrossRef]
- Sekiyama, T.T.; Kiyotaka, S.; Deushi, M.; Kodera, K.; Lean, J. Stratospheric ozone variation induced by the 11-year solar cycle: Recent 22-year simulation using 3-D chemical transport model with reanalysis data. Geophys. Res. Lett. 2006, 33, L17812. [Google Scholar] [CrossRef]
- Bai, J.H.; Leeuw G de van der, A.R.; Smedt, I.; De Theys, N.; Van Roozendael, M.; Sogacheva, L.; Chai, W.H. Variations and photochemical transformations of atmospheric constituents in North China. Atmos. Environ. 2018, 189, 213–226. [Google Scholar] [CrossRef]
- Madronich, S.; Flocke, S. The Role of Solar Radiation in Atmospheric Chemistry. In Environmental Photochemistry, Vol. 2/2L of the Handbook of Environmental Chemistry; Boule, P., Ed.; Springer: Berlin/Heidelberg, Germany, 1999; pp. 1–26. [Google Scholar]
- Solanki, S.K. Solar variability and climate change is there a link. Harold Jeffreys Lect. 2002, 43, 5. [Google Scholar] [CrossRef]
- Elminir, H.K. Relative influence of weather conditions and air pollutants on solar radiation—Part 2: Modification of solar radiation over urban and rural sites. Meteorol. Atmos. Phys. 2007, 96, 257–264. [Google Scholar] [CrossRef]
- Trenberth, K.E.; Fasullo, J.T.; Kiehl, J. Earth’s global energy budget. Bull. Am. Meteorol. Soc. 2009, 90, 311–323. [Google Scholar] [CrossRef]
- Lean, J.; Rind, D. Climate forcing by changing solar radiation. J. Clim. 2010, 11, 3069–3094. [Google Scholar] [CrossRef]
- Andreae, M.O.; Ramanathan, V. Climate’s Dark Forcings. Sciences 2013, 340, 280–281. [Google Scholar] [CrossRef]
- Rosenfeld, D.; Sherwood, S.; Wood, R.; Donner, L. Climate Effects of Aerosol-Cloud Interactions. Sciences 2014, 343, 379–380. [Google Scholar] [CrossRef]
- Calabrò, E.; Magazù, S. Correlation between Increases of the Annual Global Solar Radiation and the Ground Albedo Solar Radiation due to Desertification—A Possible Factor Contributing to Climatic Change. Climate 2016, 4, 64. [Google Scholar] [CrossRef]
- Glower, J.; McGulloch, J.S.G. The empirical relation between solar radiation and hours of sunshine. Quart. JR. Met. Soc. 1958, 84, 172–175. [Google Scholar]
- Atwater, M.A.; Ball, J.T. A numerical solar radiation model based on standard meteorological observations. Sol. Energy 1978, 21, 163–170, Erratum in Sol. Energy 1978, 123, 275. [Google Scholar] [CrossRef]
- Bird, R.E. A simple solar spectral model for direct-normal and diffuse horizontal irradiance. Sol. Energy 1984, 32, 461–471. [Google Scholar] [CrossRef]
- Gueymard, C.A. Critical analysis and performance assessment of clear sky solar irradiance models using theoretical and measured data. Sol. Energy 1993, 51, 121–138. [Google Scholar] [CrossRef]
- Gueymard, C.A. Clear-Sky Radiation Models and Aerosol Effects. Sol. Resour. Mapp. 2019, 137–182. [Google Scholar] [CrossRef]
- Myers, D.R. Solar radiation modeling and measurements for renewable energy applications data and model quality. Energy 2005, 30, 1517–1531. [Google Scholar] [CrossRef]
- Badescu, V.; Gueymard, C.A.; Cheval, S.; Oprea, C.; Baciu, M.; Dumitrescu, A.; Iacobescu, F.; Milos, I.; Rada, C. Accuracy analysis for fifty-four clear-sky solar radiation models using routine hourly global irradiance measurements in Romania. Renew. Energy 2013, 55, 85–103. [Google Scholar] [CrossRef]
- Besharat, F.; Dehghan, A.A.; Faghih, A. Empirical models for estimating global solar radiation: A review and case study. Renew. Sust. Energ. Rev. 2013, 21, 798–821. [Google Scholar] [CrossRef]
- Bayrakc, H.C.; Demircan, C.; Keceba, A. The development of empirical models for estimating global solar radiation on horizontal surface: A case study. Renew. Sust. Energ. Rev. 2018, 81, 2771–2782. [Google Scholar] [CrossRef]
- Antonanzas-Torres, F.; Urraca, R.; Polo, J.; Perpinan-Lamigueiro, O.; Escobar, R. Clear sky solar irradiance models: A review of seventy models. Renew. Sust. Energ. Rev. 2019, 107, 374–387. [Google Scholar] [CrossRef]
- Kosmopoulos, P.G.; Kazadzis, S.; Lagouvardos, K.; Kotroni, V.; Bais, A. Solar energy prediction and verification using operational model forecasts and ground-based solar measurements. Energy 2015, 93, 1918–1930. [Google Scholar] [CrossRef]
- Zang, H.X.; Jiang, X.; Cheng, L.L.; Zhang, F.C.; Wei, Z.N.; Sun, G.Q. Combined empirical and machine learning modeling method for estimation of daily global solar radiation for general meteorological observation stations. Renew. Energy 2022, 195, 795–808. [Google Scholar] [CrossRef]
- Aras, H.; Balli, O.; Hepbasli, A. Estimating the horizontal diffuse solar radiation over the Central Anatolia Region of Turkey. Energy Convers. Manag. 2006, 47, 2240–2249. [Google Scholar] [CrossRef]
- Ülgen, K.; Hepbasli, A. Diffuse solar radiation estimation models for Turkey’s big cities. Energy Convers. Manag. 2009, 50, 149–156. [Google Scholar] [CrossRef]
- Bai, J.; Zong, X. Global Solar Radiation Transfer and its Loss in the Atmosphere. Appl. Sci. 2021, 11, 2651. [Google Scholar] [CrossRef]
- Salmon, A.; Marzo, A.; Polo, J.; Ballestrín, J.; Carra, E.; Alonso-Montesinos, J. World map of low-layer atmospheric extinction values for solar power tower plants projects. Renew. Energy 2022, 201, 876–888. [Google Scholar] [CrossRef]
- Bilbao, J.S.; Vill’an, D.M.; de M Castrillo, A. Analysis and cloudiness influence on UV total irradiation. J. Climatol. 2011, 31, 451–460. [Google Scholar]
- Bai, J.H. Analysis of ultraviolet radiation in clear skies in Beijing and its affecting factors. Atmos. Environ. 2011, 45, 6930–6937. [Google Scholar] [CrossRef]
- Bai, J.H. Photosynthetically active radiation loss in the atmosphere in North China. Atmos. Pollut. Res. 2013, 4, 411–419. [Google Scholar] [CrossRef]
- Bai, J.H. UV extinction in the atmosphere and its spatial variation in North China. Atmos. Environ. 2017, 154, 318–330. [Google Scholar] [CrossRef]
- Du, J.; Huang, L.; Min, Q.; Zhu, L. The Influence of Water Vapor Absorption in the 290–350 nm Region on Solar Radiance: Laboratory Studies and Model Simulation. Geophys. Res. Lett. 2013, 40, 4788–4792. [Google Scholar] [CrossRef]
- Li, S.P.; Matthews, J.; Sinha, A. Atmospheric hydroxyl radical production from electronically excited NO2 and H2O. Science 2008, 319, 1657–1660. [Google Scholar] [CrossRef]
- Matthews, J.; Sinha, A.; Francisco, J.S. The importance of weak absorption features in promoting tropospheric radical production. Proc. Natl. Acad. Sci. USA 2005, 102, 7449–7452. [Google Scholar] [CrossRef]
- Wilson, E.M.; Wenger, J.C.; Venables, D.S. Upper limits for absorption by water vapor in the near-UV. J. Quantitat. Spectrosc. Radiat. Transf. 2016, 170, 194–199. [Google Scholar] [CrossRef]
- Kondratyev, K. Solar Energy; Science Press: Beijing, China, 1962; pp. 123–132. [Google Scholar]
- Bai, J.H.; Zong, X.M.; Ma, Y.M.; Wang, B.B.; Zhao, C.F.; Yang, Y.K.; Guang, J.; Cong, Z.Y.; Li, K.L.; Song, T. Long-term variations in global solar radiation and its interaction with atmospheric substances at Qomolangma. Int. J. Environ. Res. Public Health 2022, 19, 8906. [Google Scholar] [CrossRef]
- Tariq, S.; Zeydan, Ö.; Nawaz, H.; Mehmood, U.; ul-Haq, Z. Impact of land use/land cover (LULC) changes on latent/sensible heat flux and precipitation over Türkiye. Theor. Appl. Climatol. 2023, 153, 1237–1256. [Google Scholar] [CrossRef]
- Yang, S.; Wang, X.L.; Wild, M. Causes of Dimming and Brightening in China Inferred from Homogenized Daily Clear-Sky and All-Sky in situ Surface Solar Radiation Records (1958–2016). J. Clim. 2019, 32, 5901–5913. [Google Scholar] [CrossRef]
- Bai, J.H.; Guenther, A.; Turnipseed, A.; Duhl, T.; Greenberg, J. Seasonal and interannual variations in whole-ecosystem BVOC emissions from a subtropical plantation in China. Atmos. Environ. 2017, 161, 176–190. [Google Scholar] [CrossRef]
- Carlton, A.G.; Wiedinmyer, C.; Kroll, J.H. A review of secondary organic aerosol (SOA) formation from isoprene. Atmos. Chem. Phys. 2009, 9, 4987–5005. [Google Scholar] [CrossRef]
- Horowitz, A.; Meller, R.; Moortgat, G.K. The UV-VIS absorption cross sections of the a- dicarbonyl compounds: Pyruvic acid, biacetyl and glyoxal. J. Photochem. Photobiol. A Chem. 2001, 146, 19–27. [Google Scholar] [CrossRef]
- Hansel, A.K.; Ehrenhauser, F.S.; Richards-Henderson, N.K.; Anastasio, C.; Valsaraj, K.T. Aqueous-phase oxidation of green leaf volatiles by hydroxyl radical as a source of SOA: Product identification from methyl jasmonate and methyl salicylate oxidation. Atmos. Environ. 2015, 102, 43–51. [Google Scholar] [CrossRef]
- Jacobson, M. Isolating nitrated and aromatic aerosols and nitrated aromatic gases as sources of ultraviolet light absorption. J. Geophys. Res. 1999, 104, 3527–3542. [Google Scholar] [CrossRef]
- Jonsson, Å.M.; Hallquist, M.; Ljungström, E. Influence of OH Scavenger on the Water Effect on Secondary Organic Aerosol Formation from Ozonolysis of Limonene, Δ3-Carene, and α-Pinene. Environ. Sci. Technol. 2008, 42, 5938–5944. [Google Scholar] [CrossRef]
- Zeydan, Ö.; Tariq, S.; Qayyum, F.; Mehmood, U.; Ul-Haq, Z. Investigating the long-term trends in aerosol optical depth and its association with meteorological parameters and enhanced vegetation index over Turkey. Environ. Sci. Pollut. Res. 2022, 30, 20337–20356. [Google Scholar] [CrossRef]
- Bai, J.H.; Zong, X.M.; Lanconelli, C.; Lupi, A.; Driemel, A.; Vitale, V.; Li, K.L.; Song, T. Long-Term Variations of Global Solar Radiation and Its Potential Effects at Dome C (Antarctica). Int. J. Environ. Res. Public Health 2022, 19, 3084. [Google Scholar] [CrossRef]
- Bai, J.; Heikkilä, A.; Zong, X. Long-Term Variations of Global Solar Radiation and Atmospheric Constituents at Sodankylä in the Arctic. Atmosphere 2021, 12, 749. [Google Scholar] [CrossRef]
- Dickinson, R.E. Land surface processes and climate surface albedos and energy balance. Adv. Geophys. 1983, 25, 305–353. [Google Scholar]
- Psiloglou, B.E.; Kambezidis, H.D. Estimation of the ground albedo for the Athens area, Greece. J. Atmos. Solar-Terr. Phys. 2009, 71, 943–954. [Google Scholar] [CrossRef]
- Loeb, N.G.; Doelling, D.R.; Wang, H.; Su, W.; Nguyen, C.; Corbett, J.G.; Liang, L.; Mitrescu, C.; Rose, F.G.; Kato, S. Clouds and the Earth’s Radiant Energy System (CERES) Energy Balanced and Filled (EBAF) Top-of-Atmosphere (TOA) Edition 4.0 Data Product. J. Clim. 2018, 31, 895–918. [Google Scholar] [CrossRef]
- Kato, S.; Rose, F.G.; Rutan, D.A.; Thorsen, T.J.; Loeb, N.G.; Doelling, D.R.; Huang, X.; Smith, W.L.; Su, W.; Ham, S.H. Surface Irradiances of Edition 4.0 Clouds and the Earth’s Radiant Energy System (CERES) Energy Balanced and Filled (EBAF) Data Product. J. Clim. 2018, 31, 4501–4527. [Google Scholar] [CrossRef]
- Sun, Y.J.; Wang, Z.H.; Qin, Q.M.; Han, G.H.; Ren, H.Z.; Huang, J.F. Retrieval of surface albedo based on GF-4geostationary satellite image data. J. Remote Sens. 2018, 22, 220–233. [Google Scholar]
- Chen, C.; Park, T.; Wang, X.; Piao, S.; Xu, B.; Chaturvedi, R.K.; Fuchs, R.; Brovkin, V.; Ciais, P.; Fensholt, R.; et al. China and India lead in greening of the world through land-use management. Nat. Sustain. 2019, 2, 122–129. [Google Scholar] [CrossRef]
- Claeys, M.; Graham, B.; Vas, G.; Wang, W.; Vermeylen, R.; Pashynska, V.; Cafmeyer, J.; Guyon, P.; Andreae, M.O.; Artaxo, P.; et al. Formation of secondary organic aerosols through photooxidation of isoprene. Science 2004, 303, 1173–1176. [Google Scholar] [CrossRef]
- Shen, Z.B.; Wang, Y.Q.; Wang, W.H.; Wu, J.Z. The attenuation of solar radiation in the polluted urban atmosphere. Plateau Meteoro. 1982, 1, 74–83. [Google Scholar]
- Sweerts, B.; Pfenninger, S.; Yang, S.; Folini, D.; van der Zwaan, B.; Wild, M. Estimation of losses in solar energy production from air pollution in China since 1960 using surface radiation data. Nat. Energy 2019, 4, 657–663. [Google Scholar] [CrossRef]
- von Schuckmann, K.; Palmer, M.D.; Trenberth, K.E.; Cazenave, A.; Chambers, D.; Champollion, N.; Hansen, J.; Josey, S.A.; Loeb, N.; Mathieu, P.-P.; et al. An imperative to monitor Earth’s energy imbalance. Nat. Clim. Change 2016, 6, 138–144. [Google Scholar] [CrossRef]
- Sun, Y.; Jiang, Q.; Xu, Y.; Ma, Y.; Zhang, Y.; Liu, X.; Li, W.; Wang, F.; Li, J.; Wang, P.; et al. Aerosol characterization over the North China Plain: Haze life cycle and biomass burning impacts in summer. J. Geophys. Res. 2016, 121, 2508–2521. [Google Scholar] [CrossRef]
- Valero, F.P.J.; Pope, S.K.; Bush, B.C.; Nguyen, Q.; Marsden, D.; Cess, R.D.; Simpson-Leitner, A.S.; Bucholtz, A.; Udelhofen, P.M. Absorption of solar radiation by the clear and cloudy atmosphere during the Atmospheric Radiation Measurement Enhanced Shortwave Experiments (ARESE) I and II: Observations and models. J. Geophys. Res. Atmos. 2003, 108, 4016. [Google Scholar] [CrossRef]
- Xu, W.; Xie, C.; Karnezi, E.; Zhang, Q.; Wang, J.; Pandis, S.N.; Sun, Y. Summertime aerosol volatility measurements in Beijing, China. Atmos. Chem. Phys. 2019, 19, 10205–10216. [Google Scholar] [CrossRef]
- Zavalishin, N.N. Reasons for Modern Warming: Hypotheses and Facts. J. Atmos. Sci. Res. 2022, 5, 11–17. [Google Scholar]
- Kambezidis, H.D. The Solar Radiation Climate of Greece. Climate 2021, 9, 183. [Google Scholar] [CrossRef]
- Atkinson, R. Atmospheric chemistry of VOCs and NOx. Atmos. Environ. 2000, 34, 2063–2101. [Google Scholar] [CrossRef]
- Chu, B.; Kerminen, V.M.; Bianchi, F.; Yan, C.; Petäjä, T.; Kulmala, M. Atmospheric new particle formation in China. Atmos. Chem. Phys. 2019, 19, 115–138. [Google Scholar] [CrossRef]
- Dunne, E.M.; Gordon, H.; Kürten, A.; Almeida, J.; Duplissy, J.; Williamson, C.; Ortega, I.K.; Pringle, K.J.; Adamov, A.; Baltensperger, U.; et al. Global atmospheric particle formation from CERN CLOUD. Science 2016, 354, 1119–1124. [Google Scholar] [CrossRef]
- Ehn, M.; Thornton, J.A.; Kleist, E.; Sipilä, M.; Junninen, H.; Pullinen, I.; Springer, M.; Rubach, F.; Tillmann, R.; Lee, B.; et al. A large source of low-volatility secondary organic aerosol. Nature 2014, 506, 476–479. [Google Scholar] [CrossRef]
- Hoffer, A.; Gelencs, A.; Guyon, P.; Kiss, G.; Schmid, O.; Frank, G.P.; Artaxo, P.; Andreae, M.O. Optical properties of humic-like substances (HULIS) in biomass burning aerosols. Atmos. Chem. Phys. 2006, 6, 3563–3570. [Google Scholar] [CrossRef]
- Kiendler-Scharr, A.; Wildt, J.; Dal Maso, M.; Hohaus, T.; Kleist, E.; Mentel, T.F.; Tillmann, R.; Uerlings, R.; Schurr, U.; Wahner, A. New particle formation in forests inhibited by isoprene emissions. Nature 2009, 461, 381–384. [Google Scholar] [CrossRef]
- Kirchstetter, T.W.; Novakov, T.; Hobbs, P.V. Evidence that the spectral dependence of light absorption by aerosols is affected by organic carbon. J. Geophys. Res. 2004, 109, D21208. [Google Scholar] [CrossRef]
- McVay, R.C.; Zhang, X.; Aumont, B.; Valorso, R.; Camredon, M.; La, Y.Y.S.; Wennberg, P.O.; Seinfeld, J.H. SOA formation from the photooxidation of α-pinene: Systematic exploration of the simulation of chamber data. Atmos. Chem. Phys. 2016, 16, 2785–2802. [Google Scholar] [CrossRef]
- Mielonen, T.; Hienola, A.; Kühn, T.; Merikanto, J.; Lipponen, A.; Bergman, T.; Korhonen, H.; Kolmonen, P.; Sogacheva, L.; Ghent, D.; et al. Summertime Aerosol Radiative Effects and Their Dependence on Temperature over the Southeastern USA. Atmosphere 2018, 9, 180. [Google Scholar] [CrossRef]
- Penuelas, J.; Llusia, J. BVOCs: Plant defense against climate warming? Trends Plant Sci. 2003, 8, 105–109. [Google Scholar] [CrossRef]
- Guyon, P.; Graham, B.; Roberts, G.C.; Mayol-Bracero, O.L.; Maenhaut, W.; Artaxo, P.; Andreae, M.O. Sources of optically active aerosol particles over the Amazon forest. Atmos. Environ. 2004, 38, 1039–1051. [Google Scholar] [CrossRef]
- Fuglestvedt, J.; Lund, M.T.; Kallbekken, S.; Samset, B.H.; Lee, D.S. A “greenhouse gas balance” for aviation in line with the Paris Agreement. WIREs Clim. Change 2023, 14, e839. [Google Scholar] [CrossRef]
- Bai, J.H. A calibration method of solar radiometers. Atmos. Pollut. Res. 2019, 10, 1365–1373. [Google Scholar] [CrossRef]
- Shen, B.B.; Song, S.F.; Zhang, L.J.; Wang, Z.Q.; Ren, C.; Li, Y.S. Changes in global air temperature from 1981 to 2019, 2021. Acta Geogr. Sinaca 2021, 76, 2660–2672. [Google Scholar]
- Vaughan, D.G.; Marshall, G.J.; Connolley, W.M.; King, J.C.; Mulvaney, R. Climate Change: Devil in the Detail. Science 2001, 293, 1777–1779. [Google Scholar] [CrossRef]
- Vaughan, D.; Marshall, G.J.; Connolley, W.M.; Parkinson, C.; Mulvaney, R.; Hodgson, D.A.; King, J.C.; Pudsey, C.J.; Turner, J. Recent Rapid Regional ClimateWarming on the Antarctic Peninsula. Clim. Chang. 2003, 60, 243–274. [Google Scholar] [CrossRef]
- Vaughan, D.G. British Antarctic Survey; Natural Environment Research Council, Madingley Road, Cambridge CB3 0ET, United Kingdom. 2007. Available online: http://www.homepages.ed.ac.uk/shs/Climatechange/Data%20sources/antarctic_peninsula.php.htm (accessed on 17 January 2022).
- Turner, J.; Colwell, S.R.; Marshall, G.J.; Lachlan-Cope, T.A.; Carleton, A.M.; Jones, P.D.; Lagun, V.; Reid, P.A.; Iagovkina, S.V. Antarctic climate change during the last 50 years. Int. J. Climatol. 2005, 25, 279–294. [Google Scholar] [CrossRef]
- Bai, J.H.; Wang, G.C. Correlation between temperature and surface radiation budget: Analysis of observational data from Yucheng and Luancheng stations. Meteorol. Mon. 2013, 39, 1437–1444. [Google Scholar]
- Ablat, R. Analysis on the characteristics of temperature and precipitation changes in Yining, Xinjiang from 1952 to 2015. Shaanxi Water Resour. 2020, 12, 20–25. [Google Scholar]
- Zhang, Y.Z.; Zhang, B.; Liu, Y.Y.; Zhang, D.Y. Response of variability of temperature in the Loess Plateau to the Hiatus in the process of global warming in the period from 1960 and 2013. Res. Soil Water Conserv. 2020, 27, 213–219. [Google Scholar]
- Zhang, Y.Q.; Xiao, G.J.; Chen, M.J. Analysis on the characteristics of temperature change in Yinchuan in recent 60 years. J. Chengdu Univ. Inf. Technol. 2012, 36, 680–686. [Google Scholar]
- Jing, W.M.; Ren, X.F.; Zhao, W.J. Spatio-temporal Pattern variations of temperature and precipitation in northern parts of the Qilian Mountains and the nearby regions from 1965 to 2018. Plateau Meteorol. 2022, 41, 876–886. [Google Scholar] [CrossRef]
- Wang, H.; Wang, G.H.; Lu, Q. Analysis of temperature variation characteristics in jiyang, shandong province in recent 59 years. J. Agric. Catastropholgy 2021, 11, 53–55. [Google Scholar]
- Aizaitiyuemaier, D.; Yu, Y.H. Change of Mean Temperature and extreme temperature in yutian in the past 50 years. J. Henan Sci. Technol. 2020, 702, 137–141. [Google Scholar]
- Zhu, B.W.; Zhang, L.Z.; Xie, Q.Y.; Zhang, C. Characteristics of temperature change in Xining city from 1954 to 2016. Meteorol. Hudrological Mar. Instrum. 2021, 4, 117–120. [Google Scholar]
- Chen, W.; Yang, W.H.; Jing, B. Characteristics of climate change and its effects on apricot growth in Yuanzhou District, Guyuan in recent 61 years. Agric. Sci.-Technol. Inf. 2022, 22, 51–54. [Google Scholar]
- Yang, T.; Liang, Y.P.; Tao, Y.Y. Analysis on the characteristics of temperature change in Lanzhou city in recent 18 years. J. Lanzhou Petrochem. Polytech. 2023, 23, 24–28. [Google Scholar]
- Wu, S.G.; Han, T.F.; Zhang, D.Q.; Li, J.F. Climate change analysis of wudaolıang area 1961–2019. Qinghai Pratacult. 2020, 29, 48–58. [Google Scholar]
- Han, F.X. Variation characteristics of temperature in Sanjiangyuan area in 1961–2016. Qinghai Prataculture 2020, 29, 38–44. [Google Scholar]
- Huang, X. Analysis of characteristics of climate change in mianyang city in recent 60 years. Henan Sci. Technol. 2021, 758, 104–109. [Google Scholar]
- Li, Q.S.; Zhang, J.H. Analysis of temperature variation characteristics in shuangliu district from 1961 to 2019. J. Agric. Catastropholgy 2021, 11, 112–114. [Google Scholar]
- Lei, Y.; Wang, H.B.; Lu, T.S.; Liu, L.L.; Fu, W.X.; Wei, D. Characteristics of air temperature variation in lhasa city over the past 49 years. Earth Environ. 2021, 49, 492–503. [Google Scholar]
- Yuan, C.; Li, H.H.; Ma, Z.Y.; Li, X.J.; Xiao, Y. Analysis of temperature Cchange Ttrend in Xinyu City in recent 60 Years. Jiangxi Sci. 2022, 40, 498–501. [Google Scholar] [CrossRef]
- Zhao, Z.L.; Luo, Y.; Yang, S.T.; Yu, J.L.; Liu, Y.; Shi, C.M.; Xue, X. Characteristics of temperature spatiotemporal variations in Guizhou Plateau from 1960 to 2018 based on homogenized sequence. J. Water Resour. Water Eng. 2021, 32, 81–89. [Google Scholar]
- Tan, X.T. Analysis of temperature variation characteristics in tiandong county in recent 60 years. J. Agric. Catastropholgy 2021, 11, 77–80. [Google Scholar]















| A1 | A2 | A0 | R2 | δavg | NMSE | σcal | σobs | MAD | RMSE | ||
|---|---|---|---|---|---|---|---|---|---|---|---|
| (MJ m−2) | (%) | (MJ m−2) | (%) | ||||||||
| 3.587 | 2.977 | −2.013 | 0.916 | 27.14 | 0.025 | 0.914 | 0.955 | 0.199 | 11.38 | 0.265 | 15.14 |
| Year | δavg | n | NMSE | σcal | σobs | MAD | RMSE | ||
|---|---|---|---|---|---|---|---|---|---|
| MJ m−2 | % | MJ m−2 | % | ||||||
| 2019 | 189.6 | 4323 | 0.065 | 1.10 | 1.05 | 0.243 | 18.47 | 0.327 | 24.82 |
| 2017–2019 | 184.0 | 12,681 | 0.061 | 1.12 | 1.06 | 0.241 | 18.01 | 0.324 | 24.20 |
| Season | GLA MJm−2 | GLS MJm−2 | GL MJm−2 | GLA Wm−2 | GLS Wm−2 | GL Wm−2 | RLA % | RLS % | E hPa | S/G |
|---|---|---|---|---|---|---|---|---|---|---|
| Spring | 1.92 | 1.26 | 3.18 | 532.30 | 350.16 | 882.46 | 60.95 | 39.05 | 7.96 | 0.61 |
| Summer | 1.86 | 0.94 | 2.80 | 517.51 | 261.11 | 778.62 | 67.43 | 32.57 | 12.27 | 0.43 |
| Autumn | 2.31 | 1.07 | 3.38 | 640.79 | 297.81 | 938.60 | 69.96 | 30.04 | 8.00 | 0.50 |
| Winter | 2.58 | 1.52 | 4.11 | 717.18 | 423.09 | 1140.3 | 63.82 | 36.18 | 5.90 | 0.77 |
| Average | 2.17 | 1.20 | 3.37 | 601.94 | 333.04 | 934.99 | 65.54 | 34.46 | 8.50 | 0.58 |
| E (%) | S/G (%) | |||||||||||||
|---|---|---|---|---|---|---|---|---|---|---|---|---|---|---|
| +20 | +40 | +80 | +160 | −20 | −40 | −80 | +20 | +40 | +80 | +160 | −20 | −40 | −80 | −100 |
| −1.97 | −3.72 | −6.76 | −11.64 | 2.27 | 4.97 | 13.38 | −13.35 | −24.91 | −43.71 | −69.29 | 15.47 | 33.46 | 78.93 | 107.66 |
| Station | E hPa | S/G | E +20% | S/G +20% | E +80% | S/G +80% | mE | m(S/G) | m2E | m2(S/G) |
|---|---|---|---|---|---|---|---|---|---|---|
| QYZ | 23.96 | 0.71 | −2.48 | −4.41 | −8.53 | −14.39 | 32.65 | 0.97 | 44.47 | 1.32 |
| Ankara | 8.90 | 0.47 | −1.97 | −13.35 | −6.76 | −43.71 | 15.62 | 0.82 | 27.41 | 1.45 |
| Sodankylä | 8.55 | 0.50 | −1.25 | −10.03 | −4.31 | −33.37 | 14.84 | 0.86 | 25.75 | 1.49 |
| Dome C | 0.19 | 0.14 | −0.48 | −0.893 | −1.66 | −3.423 | 0.40 | 0.29 | 0.85 | 0.61 |
Disclaimer/Publisher’s Note: The statements, opinions and data contained in all publications are solely those of the individual author(s) and contributor(s) and not of MDPI and/or the editor(s). MDPI and/or the editor(s) disclaim responsibility for any injury to people or property resulting from any ideas, methods, instructions or products referred to in the content. |
© 2024 by the authors. Licensee MDPI, Basel, Switzerland. This article is an open access article distributed under the terms and conditions of the Creative Commons Attribution (CC BY) license (https://creativecommons.org/licenses/by/4.0/).
Share and Cite
Bai, J.; Wan, X.; Arslan, E.; Zong, X. Global Solar Radiation and Its Interactions with Atmospheric Substances and Their Effects on Air Temperature Change in Ankara Province. Climate 2024, 12, 35. https://doi.org/10.3390/cli12030035
Bai J, Wan X, Arslan E, Zong X. Global Solar Radiation and Its Interactions with Atmospheric Substances and Their Effects on Air Temperature Change in Ankara Province. Climate. 2024; 12(3):35. https://doi.org/10.3390/cli12030035
Chicago/Turabian StyleBai, Jianhui, Xiaowei Wan, Erhan Arslan, and Xuemei Zong. 2024. "Global Solar Radiation and Its Interactions with Atmospheric Substances and Their Effects on Air Temperature Change in Ankara Province" Climate 12, no. 3: 35. https://doi.org/10.3390/cli12030035
APA StyleBai, J., Wan, X., Arslan, E., & Zong, X. (2024). Global Solar Radiation and Its Interactions with Atmospheric Substances and Their Effects on Air Temperature Change in Ankara Province. Climate, 12(3), 35. https://doi.org/10.3390/cli12030035

