A Comprehensive AI Approach for Monitoring and Forecasting Medicanes Development
Abstract
1. Introduction
2. Materials and Methods
2.1. Data Products
2.1.1. Atmospheric Reanalysis Data
2.1.2. Meteosat Temperature Observations
2.2. Automated Medicane Center Localization
2.3. CNN-RF Model for Medicanes Prediction

3. Results and Discussion
3.1. Insights into Medicanes Tracking
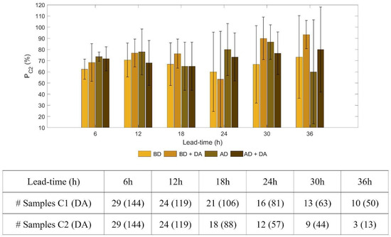
3.2. Exploring CNN-RF Predictions for Extreme Medicanes
4. Conclusions
Author Contributions
Funding
Data Availability Statement
Acknowledgments
Conflicts of Interest
References
- Bhatia, K.T.; Vecchi, G.A.; Knutson, T.R.; Murakami, H.; Kossin, J.; Dixon, K.W.; Whitlock, C.E. Recent increases in tropical cyclone intensification rates. Nat. Commun. 2020, 10, 1–9. [Google Scholar] [CrossRef]
- Hicke, J.A.; Lucatello, S.; Mortsch, L.D.; Dawson, J.; Aguilar, M.D.; Enquist, C.A.F. North America. In Climate Change 2022: Impacts, Adaptation and Vulnerability; Contribution of Working Group II to the Sixth Assessment Report of the Intergovernmental Panel on Climate, Change; Pörtner, H.-O., Roberts, D.C., Tignor, M.M.B., Poloczanska, E., Mintenbeck, K., Alegría, A., Craig, M., Langsdorf, S., Löschke, S., Möller, V., et al., Eds.; Cambridge University: Cambridge, UK; New York, NY, USA, 2022; pp. 1929–2042. [Google Scholar]
- Koseki, S.; Mooney, P.A.; Cabos, W.; Gaertner, M.; de la Vara, A.; González-Alemán, J.J. Modelling a tropical-like cyclone in the Mediterranean Sea under present and warmer climate. Nat. Hazards Earth Syst. Sci. 2021, 21, 53–71. [Google Scholar] [CrossRef]
- Pytharoulis, I. Analysis of a Mediterranean tropical-like cyclone and its sensitivity to the sea surface temperatures. Atmospheric Res. 2018, 208, 167–179. [Google Scholar] [CrossRef]
- Dafis, S.; Claud, C.; Kotroni, V.; Lagouvardos, K.; Rysman, J. Insights into the convective evolution of Mediterranean tropical-like cyclones. Q. J. R. Meteorol. Soc. 2020, 146, 4147–4169. [Google Scholar] [CrossRef]
- Lagouvardos, K.; Karagiannidis, A.; Dafis, S.; Kalimeris, A.; Kotroni, V. Ianos—A Hurricane in the Mediterranean. Bull. Am. Meteorol. Soc. 2021, 103, E1621–E1636. [Google Scholar] [CrossRef]
- Di Muzio, E.; Riemer, M.; Fink, A.H.; Maier-Gerber, M. Assessing the predictability of Medicanes in ECMWF ensemble forecasts using an object-based approach. Q. J. R. Meteorol. Soc. 2019, 145, 1202–1217. [Google Scholar] [CrossRef]
- Nastos, P.; Papadimou, K.K.; Matsangouras, I. Mediterranean tropical-like cyclones: Impacts and composite daily means and anomalies of synoptic patterns. Atmospheric Res. 2018, 208, 156–166. [Google Scholar] [CrossRef]
- Portmann, R.; González-Alemán, J.J.; Sprenger, M.; Wernli, H. How an uncertain short-wave perturbation on the North Atlantic wave guide affects the forecast of an intense Mediterranean cyclone (Medicane Zorbas). Weather. Clim. Dyn. 2020, 1, 597–615. [Google Scholar] [CrossRef]
- Pravia-Sarabia, E.; Gómez-Navarro, J.J.; Jiménez-Guerrero, P.; Montávez, J.P. TITAM (v1.0): The Time-Independent Tracking Algorithm for Medicanes. Geosci. Model Dev. 2020, 13, 6051–6075. [Google Scholar] [CrossRef]
- González-Alemán, J.J.; Pascale, S.; Gutierrez-Fernandez, J.; Murakami, H.; Gaertner, M.A.; Vecchi, G.A. Potential Increase in Hazard From Mediterranean Hurricane Activity With Global Warming. Geophys. Res. Lett. 2019, 46, 1754–1764. [Google Scholar] [CrossRef]
- Ali, E.; Cramer, W.; Carnicer, J.; Georgopoulou, E.; Hilmi, N.J.M.; Cozannet, G.L.; Lionello, P. Cross-Chapter Paper 4: Mediterranean Region. In Climate Change 2022: Impacts, Adaptation and Vulnerability; Contribution of Working Group II to the Sixth Assessment Report of the Intergovernmental Panel on Climate, Change; Pörtner, H.-O., Roberts, D.C., Tignor, M.M.B., Poloczanska, E., Mintenbeck, K., Alegría, A., Craig, M., Langsdorf, S., Löschke, S., Möller, V., et al., Eds.; Cambridge University: Cambridge, UK; New York, NY, USA, 2022; pp. 2233–2272. [Google Scholar]
- Romero, R.; Emanuel, K. Medicane risk in a changing climate. J. Geophys. Res. Atmos. 2013, 118, 5992–6001. [Google Scholar] [CrossRef]
- Flaounas, E.; Davolio, S.; Raveh-Rubin, S.; Pantillon, F.; Miglietta, M.M.; Gaertner, M.A.; Hatzaki, M.; Homar, V.; Khodayar, S.; Korres, G.; et al. Mediterranean cyclones: Current knowledge and open questions on dynamics, prediction, climatology and impacts. Weather. Clim. Dyn. 2022, 3, 173–208. [Google Scholar] [CrossRef]
- Flaounas, E.; Aragão, L.; Bernini, L.; Dafis, S.; Doiteau, B.; Flocas, H.; Gray, S.L.; Karwat, A.; Kouroutzoglou, J.; Lionello, P.; et al. A composite approach to produce reference datasets for extratropical cyclone tracks: Application to Mediterranean cyclones. Weather. Clim. Dyn. 2023, 4, 639–661. [Google Scholar] [CrossRef]
- Dafis, S.; Rysman, J.; Claud, C.; Flaounas, E.; Dafis, S.; Rysman, J.; Claud, C.; Flaounas, E.; Dafis, S.; Rysman, J.; et al. Remote sensing of deep convection within a tropical-like cyclone over the Mediterranean Sea. Atmospheric Sci. Lett. 2018, 19. [Google Scholar] [CrossRef]
- Menna, M.; Martellucci, R.; Reale, M.; Cossarini, G.; Salon, S.; Notarstefano, G.; Mauri, E.; Poulain, P.-M.; Gallo, A.; Solidoro, C. A case study of impacts of an extreme weather system on the Mediterranean Sea circulation features: Medicane Apollo (2021). Sci. Rep. 2023, 13, 1–15. [Google Scholar] [CrossRef]
- Tous, M.; Romero, R. Meteorological environments associated with medicane development. Int. J. Clim. 2012, 33, 1–14. [Google Scholar] [CrossRef]
- Montella, R.; Di Luccio, D.; Ciaramella, A.; Foster, I. StormSeeker: A Machine-Learning based Mediterranean storm tracer. In Internet and Distributed Computing Systems; Montella, R., Ciaramella, A., Fortino, G., Guerrieri, A., Liotta, A., Eds.; Springer: Cham, Switzerland, 2019; Volume 11874, pp. 444–456. [Google Scholar] [CrossRef]
- Cavicchia, L.; von Storch, H.; Gualdi, S. A long-term climatology of medicanes. Clim. Dyn. 2013, 43, 1183–1195. [Google Scholar] [CrossRef]
- Picornell, M.A.; Campins, J.; Jansà, A. Detection and thermal description of medicanes from numerical simulation. Nat. Hazards Earth Syst. Sci. 2014, 14, 1059–1070. [Google Scholar] [CrossRef]
- Listowski, C.; Forestier, E.; Dafis, S.; Farges, T.; De Carlo, M.; Grimaldi, F.; Le Pichon, A.; Vergoz, J.; Heinrich, P.; Claud, C. Remote Monitoring of Mediterranean Hurricanes Using Infrasound. Remote. Sens. 2022, 14, 6162. [Google Scholar] [CrossRef]
- Romero, R. A method for quantifying the impacts and interactions of potential-vorticity anomalies in extratropical cyclones. Q. J. R. Meteorol. Soc. 2008, 134, 385–402. [Google Scholar] [CrossRef]
- Jourdan, A.; Loubière, P. Sensitivity Analysis in TORUS 1 –Toward an Open Resource Using Services; Laffly, D., Ed.; John Wiley & Sons, Ltd: New York, NY, USA, 2020; pp. 107–128. [Google Scholar] [CrossRef]
- Martinez-Amaya, J.; Longépé, N.; Nieves, V.; Muñoz-Marí, J. Improved forecasting of extreme hurricane events by integrating spatio-temporal CNN-RF learning of tropical cyclone characteristics. Front. Earth Sci. 2023, 11, 1223154. [Google Scholar] [CrossRef]
- Cangialosi, J.P.; Blake, E.; DeMaria, M.; Penny, A.; Latto, A.; Rappaport, E.; Tallapragada, V. Recent Progress in Tropical Cyclone Intensity Forecasting at the National Hurricane Center. Weather. Forecast. 2020, 35, 1913–1922. [Google Scholar] [CrossRef]
- Nystrom, R.G.; Zhang, F. Practical Uncertainties in the Limited Predictability of the Record-Breaking Intensification of Hurricane Patricia (2015). Mon. Weather. Rev. 2019, 147, 3535–3556. [Google Scholar] [CrossRef]
- Gupta, U.; Jitkajornwanich, K.; Elmasri, R.; Fegaras, L. Adapting K-means clustering to identify spatial patterns in storms. In Proceedings of the 2016 IEEE International Conference on Big Data (Big Data), Washington, DC, USA, 5–8 December 2016; pp. 2646–2654. [Google Scholar]
- Martinez-Amaya, J.; Radin, C.; Nieves, V. Advanced Machine Learning Methods for Major Hurricane Forecasting. Remote. Sens. 2022, 15, 119. [Google Scholar] [CrossRef]
- Maskey, M.; Ramachandran, R.; Ramasubramanian, M.; Gurung, I.; Freitag, B.; Kaulfus, A.; Bollinger, D.; Cecil, D.J.; Miller, J. Deepti: Deep-Learning-Based Tropical Cyclone Intensity Estimation System. IEEE J. Sel. Top. Appl. Earth Obs. Remote. Sens. 2020, 13, 4271–4281. [Google Scholar] [CrossRef]
- Carmo, A.R.; Longepe, N.; Mouche, A.; Amorosi, D.; Cremer, N. Deep Learning Approach for Tropical Cyclones Classification Based on C-Band Sentinel-1 SAR Images. In Proceedings of the IGARSS 2021–2021 IEEE International Geoscience and Remote Sensing Symposium, Brussels, Belgium, 11–16 July 2021; pp. 3010–3013. [Google Scholar]
- Asif, A.; Dawood, M.; Jan, B.; Khurshid, J.; DeMaria, M.; Minhas, F.U.A.A. PHURIE: Hurricane intensity estimation from infrared satellite imagery using machine learning. Neural Comput. Appl. 2018, 32, 4821–4834. [Google Scholar] [CrossRef]
- Song, J.; Duan, Y.; Klotzbach, P.J. Revisiting the Relationship Between Tropical Cyclone Size and Intensity Over the Western North Pacific. Geophys. Res. Lett. 2020, 47. [Google Scholar] [CrossRef]
- Schimanke, S.; Ridal, M.; Le Moigne, P.; Berggren, L.; Undén, P.; Randriamampianina, R.; Andrea, U.; Bazile, E.; Bertelsen, A.; Brousseau, P.; et al. CERRA sub-daily regional reanalysis data for Europe on single levels from 1984 to present. Copernicus Climate Change Service (C3S) Climate Data Store (CDS). 2021. Available online: https://cds.climate.copernicus.eu/datasets/reanalysis-cerra-single-levels?tab=overview (accessed on 30 November 2023).
- Hersbach, H.; Bell, B.; Berrisford, P.; Biavati, G.; Horányi, A.; Muñoz Sabater, J.; Nicolas, J.; Peubey, C.; Radu, R.; Rozum, I.; et al. ERA5 Hourly Data on Single Levels from 1979 to Present. Copernicus Climate Change Service (C3S) Climate Data Store (CDS). 2018. Available online: https://cds.climate.copernicus.eu/datasets/reanalysis-era5-single-levels?tab=overview (accessed on 30 November 2023).
- Zhang, W.; Villarini, G.; Scoccimarro, E.; Napolitano, F. Examining the precipitation associated with medicanes in the high-resolution ERA-5 reanalysis data. Int. J. Clim. 2020, 41, E126–E132. [Google Scholar] [CrossRef]
- Ferrarin, C.; Pantillon, F.; Davolio, S.; Bajo, M.; Miglietta, M.M.; Avolio, E.; Carrió, D.S.; Pytharoulis, I.; Sanchez, C.; Patlakas, P.; et al. Assessing the coastal hazard of Medicane Ianos through ensemble modelling. Nat. Hazards Earth Syst. Sci. 2023, 23, 2273–2287. [Google Scholar] [CrossRef]
- Knapp, K.R.; Kruk, M.C.; Levinson, D.H.; Diamond, H.J.; Neumann, C.J. The International Best Track Archive for Climate Stewardship (IBTrACS): Unifying tropical cyclone best track data. Bull. Am. Meteorol. Soc. 2010, 91, 363–376. [Google Scholar] [CrossRef]
- Zehr, R.M. Environmental Vertical Wind Shear with Hurricane Bertha (1996). WAF 2003, 18, 345–356. [Google Scholar] [CrossRef]
- Wu, L.; Tian, W.; Liu, Q.; Cao, J.; Knaff, J.A. Implications of the Observed Relationship between Tropical Cyclone Size and Intensity over the Western North Pacific. J. Clim. 2015, 28, 9501–9506. [Google Scholar] [CrossRef]
- Guo, X.; Tan, Z. Tropical cyclone fullness: A new concept for interpreting storm intensity. Geophys. Res. Lett. 2017, 44, 4324–4331. [Google Scholar] [CrossRef]
- Xu, J.; Wang, Y. Dependence of Tropical Cyclone Intensification Rate on Sea Surface Temperature, Storm Intensity, and Size in the Western North Pacific. Weather. Forecast. 2018, 33, 523–537. [Google Scholar] [CrossRef]
- Chen, K.; Chen, G.; Rao, C.; Wang, Z. Relationship of tropical cyclone size change rate with size and intensity over the western North Pacific. Atmospheric Ocean. Sci. Lett. 2021, 14. [Google Scholar] [CrossRef]
- Kwak, G.-H.; Park, C.-W.; Lee, K.-D.; Na, S.-I.; Ahn, H.-Y.; Park, N.-W. Potential of Hybrid CNN-RF Model for Early Crop Mapping with Limited Input Data. Remote. Sens. 2021, 13, 1629. [Google Scholar] [CrossRef]
- Johnson, J.M.; Khoshgoftaar, T.M. Survey on deep learning with class imbalance. J. Big Data 2019, 6, 27. [Google Scholar] [CrossRef]
- Li, Q.; Zhao, C.; He, X.; Chen, K.; Wang, R. The Impact of Partial Balance of Imbalanced Dataset on Classification Performance. Electronics 2022, 11, 1322. [Google Scholar] [CrossRef]
- Joloudari, J.H.; Marefat, A.; Nematollahi, M.A.; Oyelere, S.S.; Hussain, S. Effective Class-Imbalance Learning Based on SMOTE and Convolutional Neural Networks. Appl. Sci. 2023, 13, 4006. [Google Scholar] [CrossRef]
- Dablain, D.; Jacobson, K.N.; Bellinger, C.; Roberts, M.; Chawla, N.V. Understanding CNN fragility when learning with imbalanced data. Mach. Learn. 2023, 113, 4785–4810. [Google Scholar] [CrossRef]
- Mumuni, A.; Mumuni, F. Data augmentation: A comprehensive survey of modern approaches. Array 2022, 16. [Google Scholar] [CrossRef]
- Yamashita, R.; Nishio, M.; Do, R.K.G.; Togashi, K. Convolutional neural networks: An overview and application in radiology. Insights Imaging 2018, 9, 611–629. [Google Scholar] [CrossRef] [PubMed]
- Shorten, C.; Khoshgoftaar, T.M. A survey on Image Data Augmentation for Deep Learning. J. Big Data 2019, 6, 60. [Google Scholar] [CrossRef]
- Carrió, D.S. Improving the predictability of the Qendresa Medicane by the assimilation of conventional and atmospheric motion vector observations. Storm-scale analysis and short-range forecast. Nat. Hazards Earth Syst. Sci. 2023, 23, 847–869. [Google Scholar] [CrossRef]



| Storm Name | Beginning Date | Ending Date | Class |
|---|---|---|---|
| Med1984 | 29 December 1984 | 31 December 1984 | C1 |
| Med19851 | 26 October 1985 | 29 October 1985 | C1 |
| Med19852 | 13 December 1985 | 16 December 1985 | C1 |
| Med1986 | 30 September 1986 | 3 October 1986 | C2 |
| Med1989 | 4 October 1989 | 6 October 1989 | C2 |
| Med19911 | 23 November 1991 | 23 November 1991 | C2 |
| Med19912 | 6 December 1991 | 8 December 1991 | C2 |
| Med1992 | 14 October 1992 | 15 October 1992 | C2 |
| Med1994 | 21 October 1994 | 25 October 1994 | C1 |
| Med19951 | 14 January 1995 | 17 January 1995 | C2 |
| Med19952 | 27 September 1995 | 29 September 1995 | C1 |
| Med19961 | 11 September 1996 | 13 September 1996 | C2 |
| Med19962 (Cornelia) | 6 October 1996 | 11 October 1996 | C2 |
| Med19963 | 8 December 1996 | 11 December 1996 | C2 |
| Med19971 | 23 September 1997 | 27 September 1997 | C1 |
| Med19972 | 28 October 1997 | 31 October 1997 | C2 |
| Med19973 | 5 December 1997 | 8 December 1997 | C1 |
| Med1998 | 25 January 1998 | 27 January 1998 | C2 |
| Med19991 | 25 March 1999 | 28 March 1999 | C1 |
| Med19992 | 9 December 1999 | 11 December 1999 | C1 |
| Med19993 | 19 March 1999 | 20 March 1999 | C1 |
| Med20001 | 7 September 2000 | 9 September 2000 | C1 |
| Med20002 | 7 October 2000 | 9 October 2000 | C1 |
| Med2001 | 10 November 2001 | 12 November 2001 | C2 |
| Med20031 | 25 May 2003 | 26 May 2003 | C1 |
| Med20032 | 17 October 2003 | 19 October 2003 | C2 |
| Med20041 | 19 September 2004 | 20 September 2004 | C1 |
| Med20042 | 3 November 2004 | 5 November 2004 | C1 |
| Med20051 | 13 December 2005 | 16 December 2005 | C2 |
| Med20052 | 15 September 2005 | 16 September 2005 | C1 |
| Med20061 | 31 January 2006 | 2 February 2006 | C2 |
| Med20062 | 25 September 2006 | 28 September 2006 | C1 |
| Med20071 | 15 November 2007 | 16 November 2007 | C2 |
| Med20072 | 19 March 2007 | 22 March 2007 | C2 |
| Med20073 | 16 October 2007 | 18 October 2007 | C1 |
| Med20074 | 25 October 2007 | 26 October 2007 | C2 |
| Med2008 | 2 December 2008 | 4 December 2008 | C2 |
| Med2009 | 27 January 2009 | 29 January 2009 | C1 |
| Med20101 | 12 October 2010 | 14 October 2010 | C2 |
| Med20102 | 2 November 2010 | 3 November 2010 | C1 |
| Med2011 (Rolf) | 6 November 2011 | 9 November 2011 | C2 |
| Med2012 | 13 April 2012 | 14 April 2012 | C2 |
| Med2013 | 18 November 2013 | 22 November 2013 | C2 |
| Med20141 (Ilona) | 19 January 2014 | 21 January 2014 | C2 |
| Med20142 (Qendresa) | 7 November 2014 | 8 November 2014 | C2 |
| Med20143 | 1 December 2014 | 3 December 2014 | C1 |
| Med2016 (Trixie) | 29 October 2016 | 31 October 2016 | C1 |
| Med2017 (Numa) | 17 November 2017 | 19 November 2017 | C1 |
| Med2018 (Zorbas) | 28 September 2018 | 30 September 2018 | C2 |
| Med20191 (Detlef) | 10 November 2019 | 11 November 2019 | C1 |
| Med20192 (Scott) | 24 October 2019 | 26 October 2019 | C1 |
| Med20201 (Ianos) | 15 September 2020 | 20 September 2020 | C2 |
| Med20202 (Elaina) | 14 December 2020 | 16 December 2020 | C1 |
| Med20203 | 20 November 2020 | 24 November 2020 | C1 |
| Med2021 (Apollo) | 25 October 2021 | 29 October 2021 | C1 |
| Med20231 (Helios) | 20 January 2023 | 22 January 2023 | C1 |
| Med20232 (Hannelore) | 08 February 2023 | 10 February 2023 | C1 |
| Med20233 (Juliette) | 27 February 2023 | 02 March 2023 | C1 |
| Variable Name | Description |
|---|---|
| Area (A) | Size of the storm cloud in km2 |
| TempDiff (∆T) | Temperature difference between the outer part and the inner core of the storm cloud in °C |
| Circularity (C) | Feature representing the symmetry of the storm cloud (unit-free) |
| Eccentricity (ε) | Feature representing the eccentricity of the storm cloud (unit-free) |
| HSF CNN (CNN) | High-level spatial feature extracted using the CNN algorithm applied to a 10° × 10° window around the storm’s center in °C |
Disclaimer/Publisher’s Note: The statements, opinions and data contained in all publications are solely those of the individual author(s) and contributor(s) and not of MDPI and/or the editor(s). MDPI and/or the editor(s) disclaim responsibility for any injury to people or property resulting from any ideas, methods, instructions or products referred to in the content. |
© 2024 by the authors. Licensee MDPI, Basel, Switzerland. This article is an open access article distributed under the terms and conditions of the Creative Commons Attribution (CC BY) license (https://creativecommons.org/licenses/by/4.0/).
Share and Cite
Martinez-Amaya, J.; Nieves, V.; Muñoz-Mari, J. A Comprehensive AI Approach for Monitoring and Forecasting Medicanes Development. Climate 2024, 12, 220. https://doi.org/10.3390/cli12120220
Martinez-Amaya J, Nieves V, Muñoz-Mari J. A Comprehensive AI Approach for Monitoring and Forecasting Medicanes Development. Climate. 2024; 12(12):220. https://doi.org/10.3390/cli12120220
Chicago/Turabian StyleMartinez-Amaya, Javier, Veronica Nieves, and Jordi Muñoz-Mari. 2024. "A Comprehensive AI Approach for Monitoring and Forecasting Medicanes Development" Climate 12, no. 12: 220. https://doi.org/10.3390/cli12120220
APA StyleMartinez-Amaya, J., Nieves, V., & Muñoz-Mari, J. (2024). A Comprehensive AI Approach for Monitoring and Forecasting Medicanes Development. Climate, 12(12), 220. https://doi.org/10.3390/cli12120220

