Thermodynamic Conditions during August 2022 in Catalonia: The Monthly Record of Hail Days, Hail Size and the Differences in the Climatic Values
Abstract
:1. Introduction
2. Materials and Methods
3. Results
3.1. Quality Control
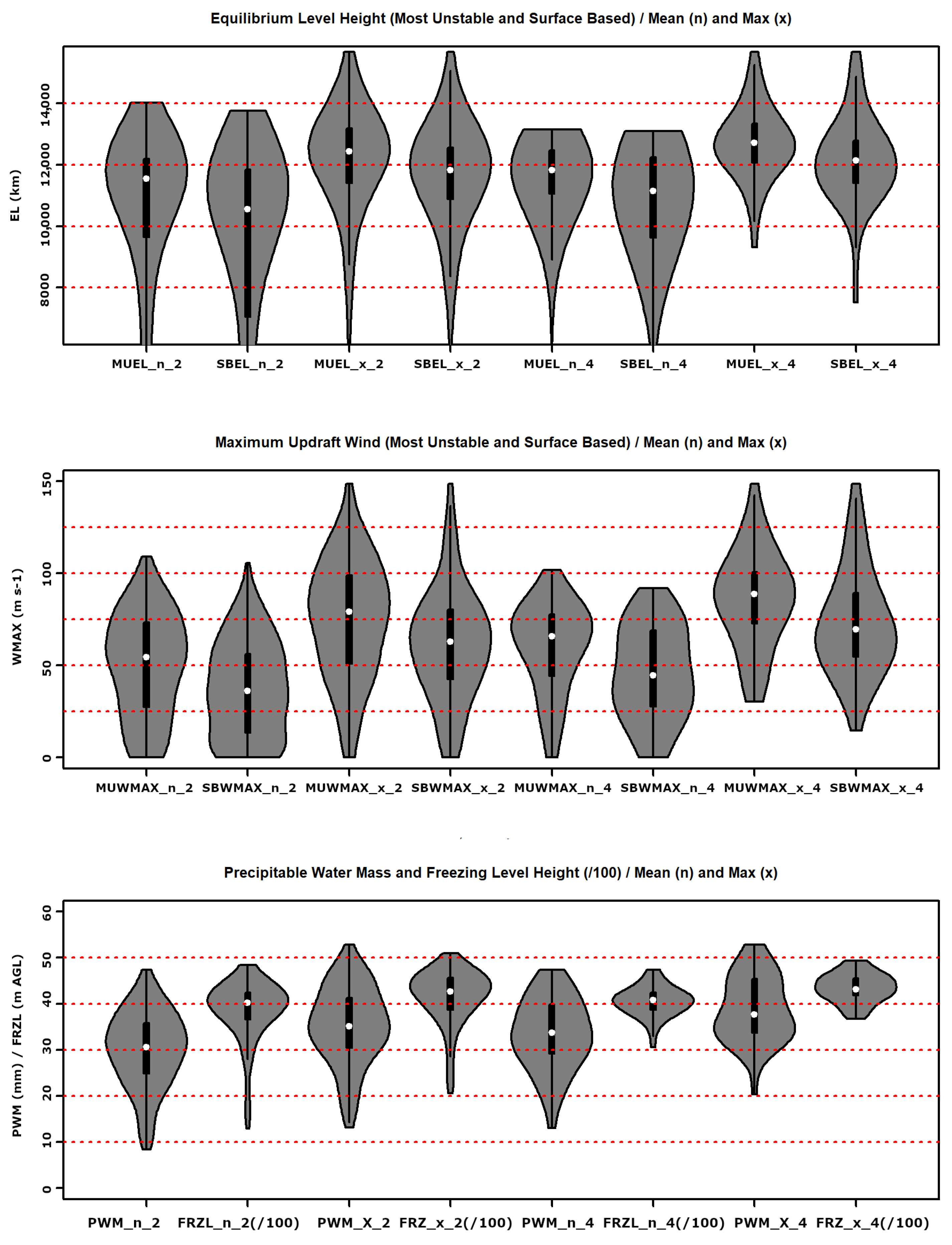
3.2. Parameters Values in Hail Days
3.3. Trends of the Thermodynamic Parameters
3.4. Was the August 2022 the Most Unstable Month of the Period?
4. Discussion and Conclusions
- 1
- Thermodynamic variables provide helpful information for understanding atmospheric conditions. This fact also happens in a region with a high topographic influence, as in the case of Catalonia. The equilibrium and freezing level heights, the maximum updraft speed, and the precipitable water mass can forecast an environment prone to hail storms. However, these conditions are necessary but not always enough for hail occurrence. The other hail-occurring modelling element corresponds with micro-physical factors, which are more unpredictable and can inhibit hail production.
- 2
- The selection of the variables is highly dependent on the region. It is crucial to know the thermodynamic conditions of the zone. It is advisable to carry out a preliminary study or, on the other hand, to consider the previous bibliography if it exists. Furthermore, some of them (with high similitude) can provide very different results. This circumstance is the case of the MU EL or the SB EL.
- 3
- The selected variables have adequately described the changes in the hail occurrence in the region in this research. However, these results do not agree with different analyses in other zones. This point concludes that the sea contribution is relevant in the Catalan case, but the Mediterranean Sea effects could be different in other basin points.
- 4
- The PWM has provided the best correlation with the hail occurrence, followed by the MUEL and the MUWMAX. On the contrary, the FRZL provided the worst results compared with the hail events. Then, the relation between FRZL rise and the decrease in the number of cases observed in other areas can be counteracted mainly by the increase in the PWM.
- 5
- The positive trend observed in all analysed variables has shown different slopes, with more relevant increases in MUEL, MUWMAX and PWM. On the contrary, the FRZL and SB variables increased slightly over the period.
- 6
- The PWM was the variable with the more relevant values during the August 2022 episode, compared with the global registers of the studied period. This variable broke the previous record, with values never estimated in the analysed period. This fact could partially explain the exceptional hail events of that month.
- -
- From the physical point of view, the variables with values exceeding the 25-years period were the freezing level height and the precipitable water mass. On the contrary, the equilibrium level and the maximum updraft speed had values over the third quartile but were far from the historical record. FRZL indicates the altitude at which the particles start to change to a solid state. Although their values were exceptional and should be an inhibitor factor of the hail generation [7,15], they were balanced by the high quantities of moisture in the atmosphere and the intense vertical updrafts.
- -
- From the climatic point of view, the positive trend of all the analysed variables agrees with most of the previous studies [7,8,10,16,24,37]. However, the contribution of the PWM looks more relevant than in other regions. This point could explain why the hail events number has risen in Catalonia in the last few years. Finally, it is crucial to note that thermodynamics cannot explain all factors and that it is necessary to combine it with other elements, such as synoptic studies [18].
Funding
Institutional Review Board Statement
Informed Consent Statement
Data Availability Statement
Acknowledgments
Conflicts of Interest
Abbreviations
| CAPE | Convective Available Potential Energy |
| ASL | Above Sea Level |
| NE | North-East |
| LI | Lifted Index |
| PWC | Precipitable Water Content |
| QC | Quality Control |
| UTC | Universal Time Coordinate |
| MU | Most-unstable |
| EL | Equilibrium Level |
| SB | Surface-based |
| WMAX | Maxim updraft speed |
| PWM | Precipitable Water Mass |
| FRZL | Freezing Level Height |
| AGL | Above Ground Level |
| SMC | Servei Meteorològic de Catalunya |
| SWDB | Severe Weather Database |
| RSD | Radio-sounding base location |
References
- Rigo, T.; Rius, A. Inform about the Estimation of the Hit Area by the Hailstorm of the 30 August 2022. Technical Report Online. 2022. Available online: https://residus.gencat.cat/web/.content/aux_/comunes/docs/informe_area_afectacio_pedra_20220830.pdf (accessed on 21 December 2022). (In Catalan).
- Farnell, C.; Rigo, T.; Heymsfield, A. Shape of hail and its thermodynamic characteristics related to records in Catalonia. Atmos. Res. 2022, 271, 106098. [Google Scholar] [CrossRef]
- Rigo, T.; Farnell, C. A Summary of Hail Events during the Summer of 2022 in Catalonia: A Comparison with the Period of 2013–2021. Remote Sens. 2023, 15, 1012. [Google Scholar] [CrossRef]
- Papavasileiou, G.; Kotroni, V.; Lagouvardos, K.; Giannaros, T.M. Observational and numerical study of a giant hailstorm in Attica, Greece, on 4 October 2019. Atmos. Res. 2022, 278, 106341. [Google Scholar] [CrossRef]
- Montopoli, M.; Picciotti, E.; Baldini, L.; Di Fabio, S.; Marzano, F.; Vulpiani, G. Gazing inside a giant-hail-bearing Mediterranean supercell by dual-polarization Doppler weather radar. Atmos. Res. 2021, 264, 105852. [Google Scholar] [CrossRef]
- Púčik, T.; Castellano, C.; Groenemeijer, P.; Kühne, T.; Rädler, A.T.; Antonescu, B.; Faust, E. Large hail incidence and its economic and societal impacts across Europe. Mon. Weather Rev. 2019, 147, 3901–3916. [Google Scholar] [CrossRef]
- Allen, J.T.; Giammanco, I.M.; Kumjian, M.R.; Jurgen Punge, H.; Zhang, Q.; Groenemeijer, P.; Kunz, M.; Ortega, K. Understanding hail in the earth system. Rev. Geophys. 2020, 58, e2019RG000665. [Google Scholar] [CrossRef]
- Dessens, J. Hail in southwestern France. I: Hailfall characteristics and hailstorm environment. J. Appl. Meteorol. Climatol. 1986, 25, 35–47. [Google Scholar] [CrossRef]
- Marcos, J.; Sánchez, J.; Merino, A.; Melcón, P.; Mérida, G.; García-Ortega, E. Spatial and temporal variability of hail falls and estimation of maximum diameter from meteorological variables. Atmos. Res. 2021, 247, 105142. [Google Scholar] [CrossRef]
- Hermida, L.; Sánchez, J.L.; López, L.; Berthet, C.; Dessens, J.; García-Ortega, E.; Merino, A. Climatic trends in hail precipitation in France: Spatial, altitudinal, and temporal variability. Sci. World J. 2013, 2013, 494971. [Google Scholar] [CrossRef]
- Tuovinen, J.P.; Rauhala, J.; Schultz, D.M. Significant-hail-producing storms in Finland: Convective-storm environment and mode. Weather Forecast. 2015, 30, 1064–1076. [Google Scholar] [CrossRef]
- Mohr, S.; Kunz, M. Recent trends and variabilities of convective parameters relevant for hail events in Germany and Europe. Atmos. Res. 2013, 123, 211–228. [Google Scholar] [CrossRef]
- Kumjian, M.R.; Lebo, Z.J.; Ward, A.M. Storms producing large accumulations of small hail. J. Appl. Meteorol. Climatol. 2019, 58, 341–364. [Google Scholar] [CrossRef]
- Punge, H.; Bedka, K.; Kunz, M.; Reinbold, A. Hail frequency estimation across Europe based on a combination of overshooting top detections and the ERA-INTERIM reanalysis. Atmos. Res. 2017, 198, 34–43. [Google Scholar] [CrossRef]
- Sanchez, J.; Merino, A.; Melcón, P.; García-Ortega, E.; Fernández-González, S.; Berthet, C.; Dessens, J. Are meteorological conditions favoring hail precipitation change in Southern Europe? Analysis of the period 1948–2015. Atmos. Res. 2017, 198, 1–10. [Google Scholar] [CrossRef]
- Johnson, A.W.; Sugden, K.E. Evaluation of sounding-derived thermodynamic and wind-related parameters associated with large hail events. E-J. Sev. Storms Meteorol. 2014, 9, 1–42. [Google Scholar] [CrossRef]
- Merino, A.; García-Ortega, E.; López, L.; Sánchez, J.; Guerrero-Higueras, A. Synoptic environment, mesoscale configurations and forecast parameters for hailstorms in Southwestern Europe. Atmos. Res. 2013, 122, 183–198. [Google Scholar] [CrossRef]
- Aran, M.; Pena, J.; Torà, M. Atmospheric circulation patterns associated with hail events in Lleida (Catalonia). Atmos. Res. 2011, 100, 428–438. [Google Scholar] [CrossRef]
- Knight, C.A.; Knight, N.C. Hailstorms. In Severe Convective Storms; Springer: Berlin/Heidelberg, Germany, 2001; pp. 223–254. [Google Scholar]
- Groenemeijer, P.; Van Delden, A. Sounding-derived parameters associated with large hail and tornadoes in The Netherlands. Atmos. Res. 2007, 83, 473–487. [Google Scholar] [CrossRef]
- Edwards, R.; Thompson, R.L. Nationwide comparisons of hail size with WSR-88D vertically integrated liquid water and derived thermodynamic sounding data. Weather Forecast. 1998, 13, 277–285. [Google Scholar] [CrossRef]
- Gibergans-Báguena, J.; Llasat, M. Improvement of the analog forecasting method by using local thermodynamic data. Application to autumn precipitation in Catalonia. Atmos. Res. 2007, 86, 173–193. [Google Scholar] [CrossRef]
- Rodríguez, O.; Bech, J. Sounding-derived parameters associated with tornadic storms in Catalonia. Int. J. Climatol. 2018, 38, 2400–2414. [Google Scholar] [CrossRef]
- Farnell, C.; Llasat, M.d.C. Proposal of three thermodynamic variables to discriminate between storms associated with hail and storms with intense rainfall in Catalonia. Tethys 2013, 10, 25–34. [Google Scholar] [CrossRef]
- Rigo, T.; Farnell Barqué, C. Evaluation of the Radar Echo Tops in Catalonia: Relationship with Severe Weather. Remote Sens. 2022, 14, 6265. [Google Scholar] [CrossRef]
- Llasat, M.; Llasat-Botija, M.; Rodriguez, A.; Lindbergh, S. Flash floods in Catalonia: A recurrent situation. Adv. Geosci. 2010, 26, 105–111. [Google Scholar] [CrossRef]
- Bech, J.; Pineda, N.; Rigo, T.; Aran, M. Remote sensing analysis of a Mediterranean thundersnow and low-altitude heavy snowfall event. Atmos. Res. 2013, 123, 305–322. [Google Scholar] [CrossRef]
- Rodríguez, O.; Bech, J.; Arús, J.; Castán, S.; Figuerola, F.; Rigo, T. An overview of tornado and waterspout events in Catalonia (2000–2019). Atmos. Res. 2021, 250, 105415. [Google Scholar] [CrossRef]
- R Core Team. R: A Language and Environment for Statistical Computing; R Foundation for Statistical Computing: Vienna, Austria, 2022. [Google Scholar]
- Czernecki, B.; Taszarek, M.; Szuster, P. Thunder: Computation and Visualisation of Atmospheric Convective Parameters, R Package Version 0.9.8. 2023.
- Abellán, E.; Aran, M.; Codina, B.; Cunillera, J. Complex quality control of Barcelona radiosounding database. In Proceedings of the 6th European Conference on Severe Storms (ECSS), Palma de Mallorca, Spain, 3–7 October 2011; pp. 1–2. [Google Scholar]
- Doswell, C.A., III; Rasmussen, E.N. The effect of neglecting the virtual temperature correction on CAPE calculations. Weather Forecast. 1994, 9, 625–629. [Google Scholar] [CrossRef]
- Sherburn, K.D.; Parker, M.D. Climatology and ingredients of significant severe convection in high-shear, low-CAPE environments. Weather Forecast. 2014, 29, 854–877. [Google Scholar] [CrossRef]
- Farnell, C.; Rigo, T.; Pineda, N. Lightning jump as a nowcast predictor: Application to severe weather events in Catalonia. Atmos. Res. 2017, 183, 130–141. [Google Scholar] [CrossRef]
- Farnell, C.; Rigo, T. The Lightning Jump, the 2018 “Picking up Hailstones” Campaign and a Climatological Analysis for Catalonia for the 2006–2018 Period. Tethys 2020, 17, 10–20. [Google Scholar] [CrossRef]
- Taszarek, M.; Allen, J.T.; Púčik, T.; Hoogewind, K.A.; Brooks, H.E. Severe convective storms across Europe and the United States. Part II: ERA5 environments associated with lightning, large hail, severe wind, and tornadoes. J. Clim. 2020, 33, 10263–10286. [Google Scholar] [CrossRef]
- Gutierrez, R.E.; Kumjian, M.R. Environmental and radar characteristics of gargantuan hail–producing storms. Mon. Weather Rev. 2021, 149, 2523–2538. [Google Scholar] [CrossRef]








| Variable | Description/Purpose |
|---|---|
| MUEL (m AGL) | Height of the equilibrium level, derived from the most-unstable parcel (highest theta-e between surface and 3 km AGL). Determine the vertical thunderstorm MU development. |
| MUWMAX (m ) | the maximum updraft speed in a thunderstorm (a square root of two times CAPE), derived from the most-unstable parcel (highest theta-e between surface and 3 km AGL). Calculate the strength of the updraft in the most-unstable case. |
| SBEL (m AGL) | Height of the equilibrium level, derived from the surface-based parcel. Determine the vertical thunderstorm SB development. |
| SBWMAX (m ) | The maximum updraft speed in a thunderstorm (a square root of two times CAPE), derived from the surface-based parcel. Estimate the strength of the updraft in the most-unstable case. |
| PWM (mm) | Precipitable water mass (entire column). Equivalent to Precipitable Water Content. Measure the water quantity available. for freezing. |
| FRZL (m AGL) | Height of freezing level (0 C) as a first available level counting from the surface. Determine the melting path length of hailstones. |
| Category | N Cases | % |
|---|---|---|
| No sounding | 1280 | 6.8 |
| Correct sounding | 14,312 | 76.2 |
| Sounding with minor anomalies | 2178 | 11.6 |
| Not valid sounding | 1014 | 5.4 |
| Variable | P50th | P90th |
|---|---|---|
| MUEL | 0.82 | 0.47 |
| SBEL | 0.34 | 0.11 |
| FRZL | 0.01 | 0.06 |
| MUWMAX | 1.41 | 1.58 |
| SBWMAX | 0.24 | 0.34 |
| PWM | 0.42 | 1.01 |
Disclaimer/Publisher’s Note: The statements, opinions and data contained in all publications are solely those of the individual author(s) and contributor(s) and not of MDPI and/or the editor(s). MDPI and/or the editor(s) disclaim responsibility for any injury to people or property resulting from any ideas, methods, instructions or products referred to in the content. |
© 2023 by the author. Licensee MDPI, Basel, Switzerland. This article is an open access article distributed under the terms and conditions of the Creative Commons Attribution (CC BY) license (https://creativecommons.org/licenses/by/4.0/).
Share and Cite
Rigo, T. Thermodynamic Conditions during August 2022 in Catalonia: The Monthly Record of Hail Days, Hail Size and the Differences in the Climatic Values. Climate 2023, 11, 185. https://doi.org/10.3390/cli11090185
Rigo T. Thermodynamic Conditions during August 2022 in Catalonia: The Monthly Record of Hail Days, Hail Size and the Differences in the Climatic Values. Climate. 2023; 11(9):185. https://doi.org/10.3390/cli11090185
Chicago/Turabian StyleRigo, Tomeu. 2023. "Thermodynamic Conditions during August 2022 in Catalonia: The Monthly Record of Hail Days, Hail Size and the Differences in the Climatic Values" Climate 11, no. 9: 185. https://doi.org/10.3390/cli11090185
APA StyleRigo, T. (2023). Thermodynamic Conditions during August 2022 in Catalonia: The Monthly Record of Hail Days, Hail Size and the Differences in the Climatic Values. Climate, 11(9), 185. https://doi.org/10.3390/cli11090185
