Evaluation of Gridded Meteorological Data for Crop Sensitivity Assessment to Temperature Changes: An Application with CERES-Wheat in the Mediterranean Basin
Abstract
:1. Introduction
2. Materials and Methods
3. Results
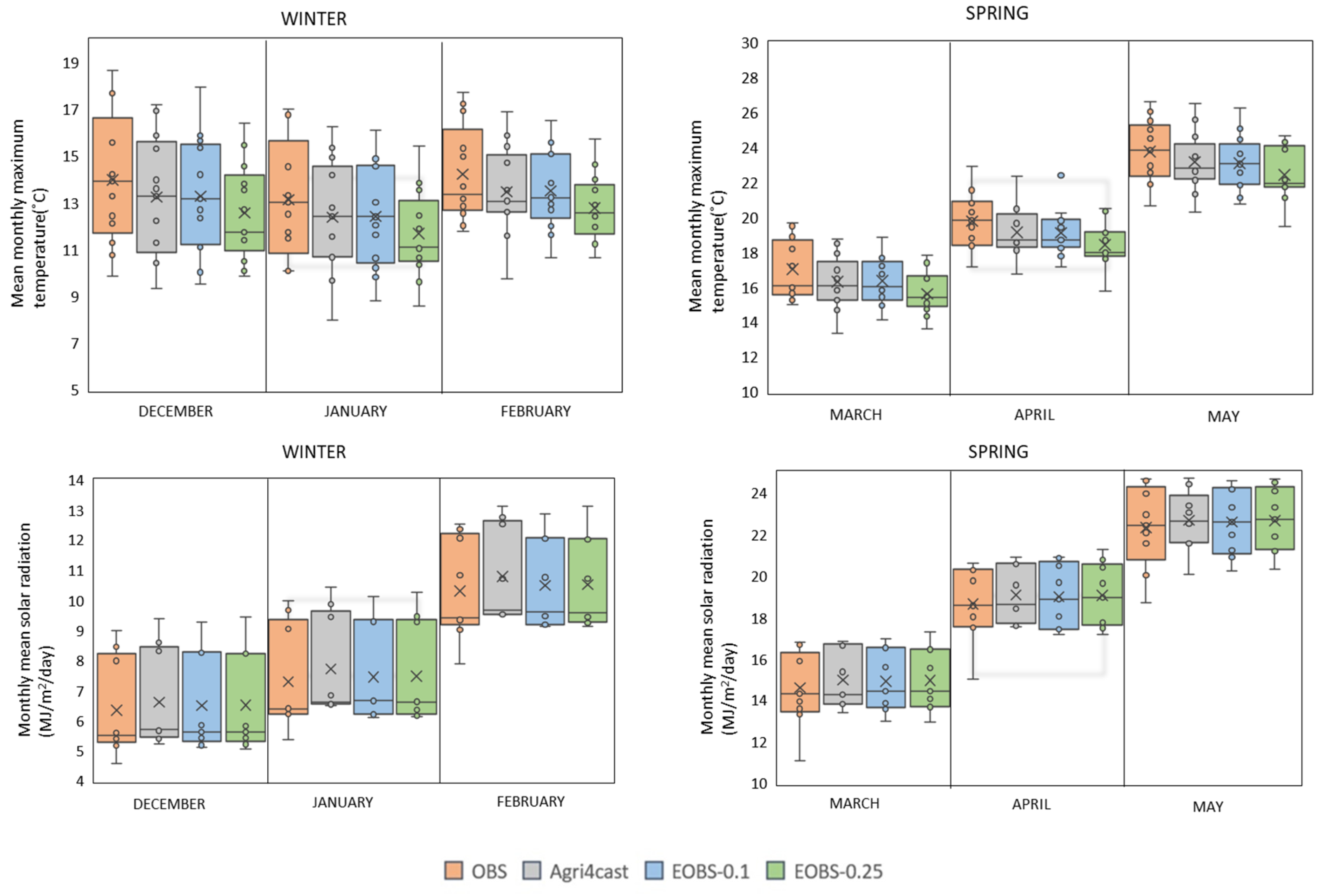
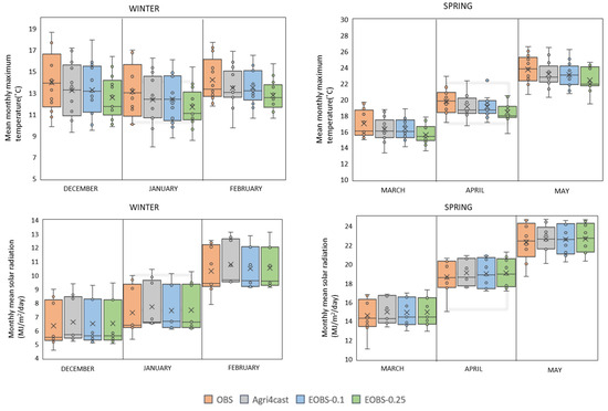
3.1. Comparison of Measured with Gridded Weather Data
3.1.1. Climate Classification
3.1.2. Mean Climate
3.1.3. Extreme Climate Indices
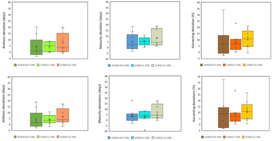
3.2. Comparison of Crop Simulated Wheat Development and Yield with Measured and Gridded Weather Data
3.2.1. Reference Climate
3.2.2. Sensitivity Tests
4. Discussion
- i.
- Agri4Cast and EOBS-0.1, the best products across stations, correctly identified the C-type climates but only partially the B-type climates. EOBS-0.1, the best-gridded product, underestimated the observed monthly means and medians of Tmax, Tmin, and Prec and overestimated QQ. On a station-based seasonal analysis, EOBS-0.1 was closer to the observed means and medians of Tmax and Tmin, followed by Agri4Cast. Its performance, however, varied with the season and statistical measures used. EOBS-0.1 was closer to observed precipitation means at 7 to 9 stations (variable with season), and they presented lower rRMSE and higher associations. With respect to EOBS-0.25-derived solar radiation, EOBS-0.1 was superior in spring and summer and presented lower rRMSE values and higher associations (but lower in relation to precipitation).
- ii.
- The gridded products predicted later anthesis, maturity and overestimated yield production, for the reference period. EOBS-0.1 presented the lower deviations (4.7 days on average for anthesis, 5.7 days on average for maturity, and overestimated yield by 7.7%), and EOBS-0.25 the largest. The yield overestimation by the EOBS-0.1 is primarily due to the delay in simulated EOBS-0.1 anthesis and maturity and thus growing season length, which gives wheat more time to accumulate biomass and yield.
5. Conclusions
- underestimated monthly and seasonal averages of Tmax, Tmin, and Prec, and underestimated related to temperature (days with Tmax > 25 °C, Tmax < 0 °C, Tmin > 20 °C, and Tmin < 0 °C) and precipitation (days with Prec ≥ 0.1 mm, Prec ≥ 1 mm, and the 95th and 99th percentiles) extreme indices.
- presented well below 15% rRMSE in simulation with CERES-Wheat anthesis, maturity, and yield (delays for the development stages and overestimated grain production were found) for the reference period. These deviations, over a wide range of sensitivity tests in Tmax and Tmin, using impact response surfaces, were further reduced in the case of crop development while increasing in most stations in the case of wheat production.
Supplementary Materials
Author Contributions
Funding
Institutional Review Board Statement
Informed Consent Statement
Data Availability Statement
Conflicts of Interest
References
- Walton, D.; Hall, A. An Assessment of High-Resolution Gridded Temperature Datasets over California. J. Clim. 2018, 31, 3789–3810. [Google Scholar] [CrossRef]
- Lawrimore, J.H.; Menne, M.J.; Gleason, B.E.; Williams, C.N.; Wuertz, D.B.; Vose, R.S.; Rennie, J. An Overview of the Global Historical Climatology Network Monthly Mean Temperature Data Set, Version 3. J. Geophys. Res. Atmos. 2011, 116, D19121. [Google Scholar] [CrossRef]
- Pelosi, A.; Terribile, F.; D’Urso, G.; Chirico, G.B. Comparison of ERA5-Land and UERRA MESCAN-SURFEX Reanalysis Data with Spatially Interpolated Weather Observations for the Regional Assessment of Reference Evapotranspiration. Water 2020, 12, 1669. [Google Scholar] [CrossRef]
- Gelaro, R.; McCarty, W.; Suárez, M.J.; Todling, R.; Molod, A.; Takacs, L.; Randles, C.A.; Darmenov, A.; Bosilovich, M.G.; Reichle, R.; et al. The Modern-Era Retrospective Analysis for Research and Applications, Version 2 (MERRA-2). J. Clim. 2017, 30, 5419–5454. [Google Scholar] [CrossRef]
- Kanamitsu, M.; Kumar, A.; Juang, H.-M.H.; Schemm, J.-K.; Wang, W.; Yang, F.; Hong, S.-Y.; Peng, P.; Chen, W.; Moorthi, S.; et al. NCEP Dynamical Seasonal Forecast System 2000. Bull. Am. Meteorol. Soc. 2002, 83, 1019–1037. [Google Scholar] [CrossRef]
- Osborn, T.J.; Jones, P.D.; Lister, D.H.; Morice, C.P.; Simpson, I.R.; Winn, J.P.; Hogan, E.; Harris, I.C. Land Surface Air Temperature Variations Across the Globe Updated to 2019: The CRUTEM5 Data Set. J. Geophys. Res. Atmos. 2021, 126, e2019JD032352. [Google Scholar] [CrossRef]
- Lenssen, N.J.L.; Schmidt, G.A.; Hansen, J.E.; Menne, M.J.; Persin, A.; Ruedy, R.; Zyss, D. Improvements in the GISTEMP Uncertainty Model. J. Geophys. Res. Atmos. 2019, 124, 6307–6326. [Google Scholar] [CrossRef]
- Cos, J.; Doblas-Reyes, F.; Jury, M.; Marcos, R.; Bretonnière, P.-A.; Samsó, M. The Mediterranean Climate Change Hotspot in the CMIP5 and CMIP6 Projections. Earth Syst. Dyn. 2022, 13, 321–340. [Google Scholar] [CrossRef]
- Tuel, A.; Eltahir, E.A.B. Why Is the Mediterranean a Climate Change Hot Spot? J. Clim. 2020, 33, 5829–5843. [Google Scholar] [CrossRef]
- Royo, C.; Soriano, J.M.; Alvaro, F. Wheat: A Crop in the Bottom of the Mediterranean Diet Pyramid. In Mediterranean Identities—Environment, Society, Culture; Fuerst-Bjelis, B., Ed.; InTech: London, UK, 2017; ISBN 978-953-51-3585-2. [Google Scholar]
- Hodson, D.; White, J. GIS and Crop Simulation Modelling Applications in Climate Change Research. In Climate CHANGE and Crop Production; Reynolds, M.P., Ed.; CABI: Wallingford, UK, 2010; pp. 245–262. ISBN 978-1-84593-633-4. [Google Scholar]
- Mavromatis, T.; Voulanas, D. Evaluating ERA-Interim, Agri4Cast, and E-OBS Gridded Products in Reproducing Spatiotemporal Characteristics of Precipitation and Drought over a Data Poor Region: The Case of Greece. Int. J. Climatol. 2021, 41, 2118–2136. [Google Scholar] [CrossRef]
- Toreti, A.; Maiorano, A.; De Sanctis, G.; Webber, H.; Ruane, A.C.; Fumagalli, D.; Ceglar, A.; Niemeyer, S.; Zampieri, M. Using Reanalysis in Crop Monitoring and Forecasting Systems. Agric. Syst. 2019, 168, 144–153. [Google Scholar] [CrossRef] [PubMed]
- Climate Data Online (CDO)—The National Climatic Data Center’s (NCDC) Climate Data Online (CDO) Provides Free Access to NCDC’s Archive of Historical Weather and Climate Data in Addition to Station History Information.|National Climatic Data Center (NCDC). Available online: https://www.ncdc.noaa.gov/cdo-web/ (accessed on 8 July 2023).
- Agri4Cast ToolBox. Available online: https://agri4cast.jrc.ec.europa.eu/ (accessed on 8 July 2023).
- Baruth, B.; Genovese, G.; Le, O. CGMS Version 9.2: User Manual and Technical Documentation; Publications Office: Luxembourg, 2007. [Google Scholar]
- Home European Climate Assessment & Dataset. Available online: https://www.ecad.eu/ (accessed on 8 July 2023).
- Haylock, M.R.; Hofstra, N.; Klein Tank, A.M.G.; Klok, E.J.; Jones, P.D.; New, M. A European Daily High-Resolution Gridded Data Set of Surface Temperature and Precipitation for 1950–2006. J. Geophys. Res. 2008, 113, D20119. [Google Scholar] [CrossRef]
- Klok, E.J.; Klein Tank, A.M.G. Updated and Extended European Dataset of Daily Climate Observations. Int. J. Climatol. 2009, 29, 1182–1191. [Google Scholar] [CrossRef]
- Lavaysse, C.; Camalleri, C.; Dosio, A.; Van Der Schrier, G.; Toreti, A.; Vogt, J. Towards a Monitoring System of Temperature Extremes in Europe. Nat. Hazards Earth Syst. Sci. 2017, 18, 91–104. [Google Scholar] [CrossRef]
- Cornes, R.C.; Van Der Schrier, G.; Van Den Besselaar, E.J.M.; Jones, P.D. An Ensemble Version of the E-OBS Temperature and Precipitation Data Sets. J. Geophys. Res. Atmos. 2018, 123, 9391–9409. [Google Scholar] [CrossRef]
- E-OBS Data Access. Available online: https://surfobs.climate.copernicus.eu/dataaccess/access_eobs.php (accessed on 8 July 2023).
- Hoogenboom, G.; Porter, C.H.; Boote, K.J.; Shelia, V.; Wilkens, P.W.; Singh, U.; White, J.W.; Asseng, S.; Lizaso, J.I.; Moreno, L.P.; et al. The DSSAT Crop Modeling Ecosystem. In Advances in Crop Modelling for a Sustainable Agriculture; Burleigh Dodds Science Publishing: London, UK, 2019; p. 420. ISBN 978-0-429-26659-1. [Google Scholar]
- Jones, J.W.; Hoogenboom, G.; Porter, C.H.; Boote, K.J.; Batchelor, W.D.; Hunt, L.A.; Wilkens, P.W.; Singh, U.; Gijsman, A.J.; Ritchie, J.T. The DSSAT Cropping System Model. Eur. J. Agron. 2003, 18, 235–265. [Google Scholar] [CrossRef]
- Dettori, M.; Cesaraccio, C.; Duce, P. Simulation of Climate Change Impacts on Production and Phenology of Durum Wheat in Mediterranean Environments Using CERES-Wheat Model. Field Crops Res. 2017, 206, 43–53. [Google Scholar] [CrossRef]
- Symeonidis, K.; Mavromatis, T.; Kotzamanidis, S. Investigating with the Ceres-Wheat Model the Impacts of Soil and Climate Factors on Durum Wheat Performance and Earliness in Northern Greece. In Advances in Meteorology, Climatology and Atmospheric Physics; Helmis, C.G., Nastos, P.T., Eds.; Springer Atmospheric Sciences; Springer: Berlin/Heidelberg, Germany, 2013; pp. 743–749. ISBN 978-3-642-29171-5. [Google Scholar]
- Ritchie, J.; Otter, S. Description and Performance of CERES-Wheat: A User-Oriented Wheat Yield Model. USDA-ARS ARS-38 1985, 38, 159–175. [Google Scholar]
- Meteotemplate. Available online: http://www.meteotemplate.com/template/plugins/climateClassification/koppen.php (accessed on 8 July 2023).
- Peel, M.C.; Finlayson, B.L.; McMahon, T.A. Updated World Map of the Köppen-Geiger Climate Classification. Hydrol. Earth Syst. Sci. 2007, 11, 1633–1644. [Google Scholar] [CrossRef]
- World Meteorological Organization. Available online: https://public.wmo.int/en (accessed on 8 July 2023).
- Klein Tank, A.M.G.; Können, G.P. Trends in Indices of Daily Temperature and Precipitation Extremes in Europe, 1946–1999. J. Clim. 2003, 16, 3665–3680. [Google Scholar] [CrossRef]
- Frich, P.; Alexander, L.; Della-Marta, P.; Gleason, B.; Haylock, M.; Klein Tank, A.; Peterson, T. Observed Coherent Changes in Climatic Extremes during the Second Half of the Twentieth Century. Clim. Res. 2002, 19, 193–212. [Google Scholar] [CrossRef]
- Van Ittersum, M.K.; Leffelaar, P.A.; Van Keulen, H.; Kropff, M.J.; Bastiaans, L.; Goudriaan, J. On Approaches and Applications of the Wageningen Crop Models. Eur. J. Agron. 2003, 18, 201–234. [Google Scholar] [CrossRef]
- Wart, J.; Grassini, P.; Cassman, K.G. Impact of Derived Global Weather Data on Simulated Crop Yields. Glob. Change Biol. 2013, 19, 3822–3834. [Google Scholar] [CrossRef] [PubMed]
- Godfray, H.C.J.; Beddington, J.R.; Crute, I.R.; Haddad, L.; Lawrence, D.; Muir, J.F.; Pretty, J.; Robinson, S.; Thomas, S.M.; Toulmin, C. Food Security: The Challenge of Feeding 9 Billion People. Science 2010, 327, 812–818. [Google Scholar] [CrossRef] [PubMed]
- Mereu, V.; Gallo, A.; Spano, D. Optimizing Genetic Parameters of CSM-CERES Wheat and CSM-CERES Maize for Durum Wheat, Common Wheat, and Maize in Italy. Agronomy 2019, 9, 665. [Google Scholar] [CrossRef]
- Pickering, N.B.; Hansen, J.W.; Jones, J.W.; Wells, C.M.; Chan, V.K.; Godwin, D.C. WeatherMan: A Utility for Managing and Generating Daily Weather Data. Agron. J. 1994, 86, 332–337. [Google Scholar] [CrossRef]
- Richardson, C.W.; Wright, D.A. WGEN: A Model for Generating Daily Weather Variables; U.S. Dept. of Agriculture, Agricultural Research Service; National Technical Information Service (NTIS): Washington, DC, USA, 1984; Volume ARS-8.
- IPCC WGI Interactive Atlas. Available online: https://interactive-atlas.ipcc.ch/ (accessed on 8 July 2023).
- Mariotti, A.; Pan, Y.; Zeng, N.; Alessandri, A. Long-Term Climate Change in the Mediterranean Region in the Midst of Decadal Variability. Clim. Dyn. 2015, 44, 1437–1456. [Google Scholar] [CrossRef]
- Zittis, G.; Hadjinicolaou, P.; Klangidou, M.; Proestos, Y.; Lelieveld, J. A Multi-Model, Multi-Scenario, and Multi-Domain Analysis of Regional Climate Projections for the Mediterranean. Reg. Environ. Chang. 2019, 19, 2621–2635. [Google Scholar] [CrossRef]
- Cordex—Coordinated Regional Climate Downscaling Experiment. Available online: https://cordex.org/ (accessed on 8 July 2023).
- Carter, T.R.; Fronzek, S. A Model-Based Response Surface Approach for Evaluating Climate Change Risks and Adaptation Urgency. In Climate Adaptation Modelling; Kondrup, C., Mercogliano, P., Bosello, F., Mysiak, J., Scoccimarro, E., Rizzo, A., Ebrey, R., Ruiter, M.D., Jeuken, A., Watkiss, P., Eds.; Springer Climate; Springer International Publishing: Cham, Switzerland, 2022; pp. 67–75. ISBN 978-3-030-86210-7. [Google Scholar]
- Pirttioja, N.; Palosuo, T.; Fronzek, S.; Räisänen, J.; Rötter, R.P.; Carter, T.R. Using Impact Response Surfaces to Analyse the Likelihood of Impacts on Crop Yield under Probabilistic Climate Change. Agric. For. Meteorol. 2019, 264, 213–224. [Google Scholar] [CrossRef]
- Hinkle, D.E.; Wiersma, W.; Jurs, S.G. Applied Statistics for the Behavioral Sciences, 3rd ed.; Houghton Mifflin: Boston, MA, USA, 1994. [Google Scholar]
- Mourtzinis, S.; Rattalino Edreira, J.I.; Conley, S.P.; Grassini, P. From Grid to Field: Assessing Quality of Gridded Weather Data for Agricultural Applications. Eur. J. Agron. 2017, 82, 163–172. [Google Scholar] [CrossRef]
- Velikou, K.; Lazoglou, G.; Tolika, K.; Anagnostopoulou, C. Reliability of the ERA5 in Replicating Mean and Extreme Temperatures across Europe. Water 2022, 14, 543. [Google Scholar] [CrossRef]
- Voulanas, D.; Mavromatis, T. Evaluation of Five Reanalysis Products in Reproducing the Spatio-Temporal Characteristics of Air Temperature over Greece. In Proceedings of the 15th International Conference on Meteorology, Climatology and Atmospheric Physics—COMECAP 2021, Ioannina, Greece, 26–29 September 2021; pp. 320–323. [Google Scholar]
- My, L.; Di Bacco, M.; Scorzini, A.R. On the Use of Gridded Data Products for Trend Assessment and Aridity Classification in a Mediterranean Context: The Case of the Apulia Region. Water 2022, 14, 2203. [Google Scholar] [CrossRef]
- Kostopoulou, E.; Giannakopoulos, C.; Hatzaki, M.; Tziotziou, K. Climate Extremes in the NE Mediterranean: Assessing the E-OBS Dataset and Regional Climate Simulations. Clim. Res. 2012, 54, 249–270. [Google Scholar] [CrossRef]
- Boilley, A.; Wald, L. Comparison between Meteorological Re-Analyses from ERA-Interim and MERRA and Measurements of Daily Solar Irradiation at Surface. Renew. Energy 2015, 75, 135–143. [Google Scholar] [CrossRef]
- Timsina, J.; Humphreys, E. Performance of CERES-Rice and CERES-Wheat Models in Rice–Wheat Systems: A Review. Agric. Syst. 2006, 90, 5–31. [Google Scholar] [CrossRef]
- Wei, Y.; Ru, H.; Leng, X.; He, Z.; Ayantobo, O.O.; Javed, T.; Yao, N. Better Performance of the Modified CERES-Wheat Model in Simulating Evapotranspiration and Wheat Growth under Water Stress Conditions. Agriculture 2022, 12, 1902. [Google Scholar] [CrossRef]
- Pirttioja, N.; Carter, T.; Fronzek, S.; Bindi, M.; Hoffmann, H.; Palosuo, T.; Ruiz-Ramos, M.; Tao, F.; Trnka, M.; Acutis, M.; et al. Temperature and Precipitation Effects on Wheat Yield across a European Transect: A Crop Model Ensemble Analysis Using Impact Response Surfaces. Clim. Res. 2015, 65, 87–105. [Google Scholar] [CrossRef]
- Ruane, A.C.; McDermid, S.; Rosenzweig, C.; Baigorria, G.A.; Jones, J.W.; Romero, C.C.; DeWayne Cecil, L. Carbon-Temperature-Water Change Analysis for Peanut Production under Climate Change: A Prototype for the AgMIP Coordinated Climate-Crop Modeling Project (C3MP). Glob. Chang. Biol. 2014, 20, 394–407. [Google Scholar] [CrossRef]
- Coppola, E.; Nogherotto, R.; Ciarlo’, J.M.; Giorgi, F.; Meijgaard, E.; Kadygrov, N.; Iles, C.; Corre, L.; Sandstad, M.; Somot, S.; et al. Assessment of the European Climate Projections as Simulated by the Large EURO-CORDEX Regional and Global Climate Model Ensemble. J. Geophys. Res. Atmos. 2021, 126, e2019JD032356. [Google Scholar] [CrossRef]










| Reference Period | |||
|---|---|---|---|
| Station | TMAX/TMIN/PREC | Sol.Rad | Ceres-Wheat |
| MALAGA, SP | 1980–2019 | 1980–2019 | 1980–2019 |
| GRANADA, SP | 1980–2019 | 1980–2019 | 1980–2019 |
| MELILLA, SP | 1980–2019 | 1980–2019 | 1980–2019 |
| LLEIDA, SP | 1980–2019 | 1991–2019 | 1991–2019 |
| PERPIGNAN, FR | 1980–2019 | 1980–2019 | 1980–2019 |
| MONTPELLIER, FR | 1980–2019 | X | |
| MARSEILLES, FR | 1980–2019 | 1980–2019 | 1980–2019 |
| NICE, FR | 1980–2019 | 1980–2017 | 1980–2017 |
| CAGLIARI, IT | 1980–2019 | X | |
| BRINDISI, IT | 1980–2019 | 1980–2017 | 1980–2017 |
| LARISA, GR | 1980–2019 | X | |
| THESSALONIKI, GR | 1980–2019 | 1980–2009 | 1980–2009 |
| LARNACA, CY | 1980–2019 | X | |
| Tmax (°C) | ||||||||
|---|---|---|---|---|---|---|---|---|
| Period | Scenario | Median (°C) | P25 (°C) | P75 (°C) | P10 (°C) | P90 (°C) | P5 (°C) | P95 (°C) |
| Near future (2021–2040) | RCP2.6 | 0.9 | 0.8 | 1.3 | 0.7 | 1.6 | 0.6 | 1.6 |
| RCP4.5 | 0.9 | 0.9 | 1 | 0.8 | 1.4 | 0.8 | 1.5 | |
| RCP8.5 | 1.1 | 1 | 1.2 | 0.8 | 1.6 | 0.8 | 1.6 | |
| Tmin (°C) | ||||||||
| Period | Scenario | Median (°C) | P25 (°C) | P75 (°C) | P10 (°C) | P90 (°C) | P5 (°C) | P95 (°C) |
| Near future (2021–2040) | RCP2.6 | 0.9 | 0.8 | 1.3 | 0.7 | 1.5 | 0.6 | 1.6 |
| RCP4.5 | 0.9 | 0.8 | 0.9 | 0.8 | 1.4 | 0.7 | 1.4 | |
| RCP8.5 | 1.1 | 0.9 | 1.1 | 0.8 | 1.6 | 0.8 | 1.6 | |
| Station | OBS | AGRI4CAST | EOBS–0.1 | EOBS–0.25 |
|---|---|---|---|---|
| MALAGA AEROPUERTO, SP | Csa | Csa | Csa | Csa |
| GRANADA AEROPUERTO, SP | Csa | Csa | Csa | Csa |
| MELILLA, SP | Bsh | Bsk | Bsk | Bsk |
| LLEIDA, SP | Bsk | Bsk | Bsk | Bsk |
| PERPIGNAN, FR | Csa | Csa | Csa | Csa |
| MONTPELLIER AEROPORT, FR | Csa | Csa | Csa | Csa |
| MARSEILLES MARIGNANE, FR | Csa | Csa | Csa | Csa |
| NICE, FR | Csa | Csa | Csa | Csa |
| CAGLIARI, IT | Csa | Csa | Csa | Csa |
| BRINDISI, IT | Csa | Csa | Csa | Csa |
| LARISSA, GR | Bsk | Bsk | Bsk | Bsk |
| THESSALONIKI, GR | Bsk | Bsk | Bsk | Bsk |
| LARNACA, CY | Bsh | Bsh | Bsh | Csa |
Disclaimer/Publisher’s Note: The statements, opinions and data contained in all publications are solely those of the individual author(s) and contributor(s) and not of MDPI and/or the editor(s). MDPI and/or the editor(s) disclaim responsibility for any injury to people or property resulting from any ideas, methods, instructions or products referred to in the content. |
© 2023 by the authors. Licensee MDPI, Basel, Switzerland. This article is an open access article distributed under the terms and conditions of the Creative Commons Attribution (CC BY) license (https://creativecommons.org/licenses/by/4.0/).
Share and Cite
Liakopoulou, K.S.; Mavromatis, T. Evaluation of Gridded Meteorological Data for Crop Sensitivity Assessment to Temperature Changes: An Application with CERES-Wheat in the Mediterranean Basin. Climate 2023, 11, 180. https://doi.org/10.3390/cli11090180
Liakopoulou KS, Mavromatis T. Evaluation of Gridded Meteorological Data for Crop Sensitivity Assessment to Temperature Changes: An Application with CERES-Wheat in the Mediterranean Basin. Climate. 2023; 11(9):180. https://doi.org/10.3390/cli11090180
Chicago/Turabian StyleLiakopoulou, Konstantina S., and Theodoros Mavromatis. 2023. "Evaluation of Gridded Meteorological Data for Crop Sensitivity Assessment to Temperature Changes: An Application with CERES-Wheat in the Mediterranean Basin" Climate 11, no. 9: 180. https://doi.org/10.3390/cli11090180
APA StyleLiakopoulou, K. S., & Mavromatis, T. (2023). Evaluation of Gridded Meteorological Data for Crop Sensitivity Assessment to Temperature Changes: An Application with CERES-Wheat in the Mediterranean Basin. Climate, 11(9), 180. https://doi.org/10.3390/cli11090180

