Temporal Variability of Particulate Matter and Black Carbon Concentrations over Greater Cairo and Its Atmospheric Drivers
Abstract
1. Introduction
2. Study Area
3. Materials and Methods
3.1. Datasets Description
3.1.1. Observed Air Quality Data
3.1.2. Reanalysis Air Quality Data
3.1.3. Controlling Variables of Air Pollution (Geopotential Height Field and Wind Direction)
3.2. Validation of Reanalysis Data
3.3. Trend Assessment
3.4. Links of Air Pollution to Environmental Conditions
4. Results and Discussion
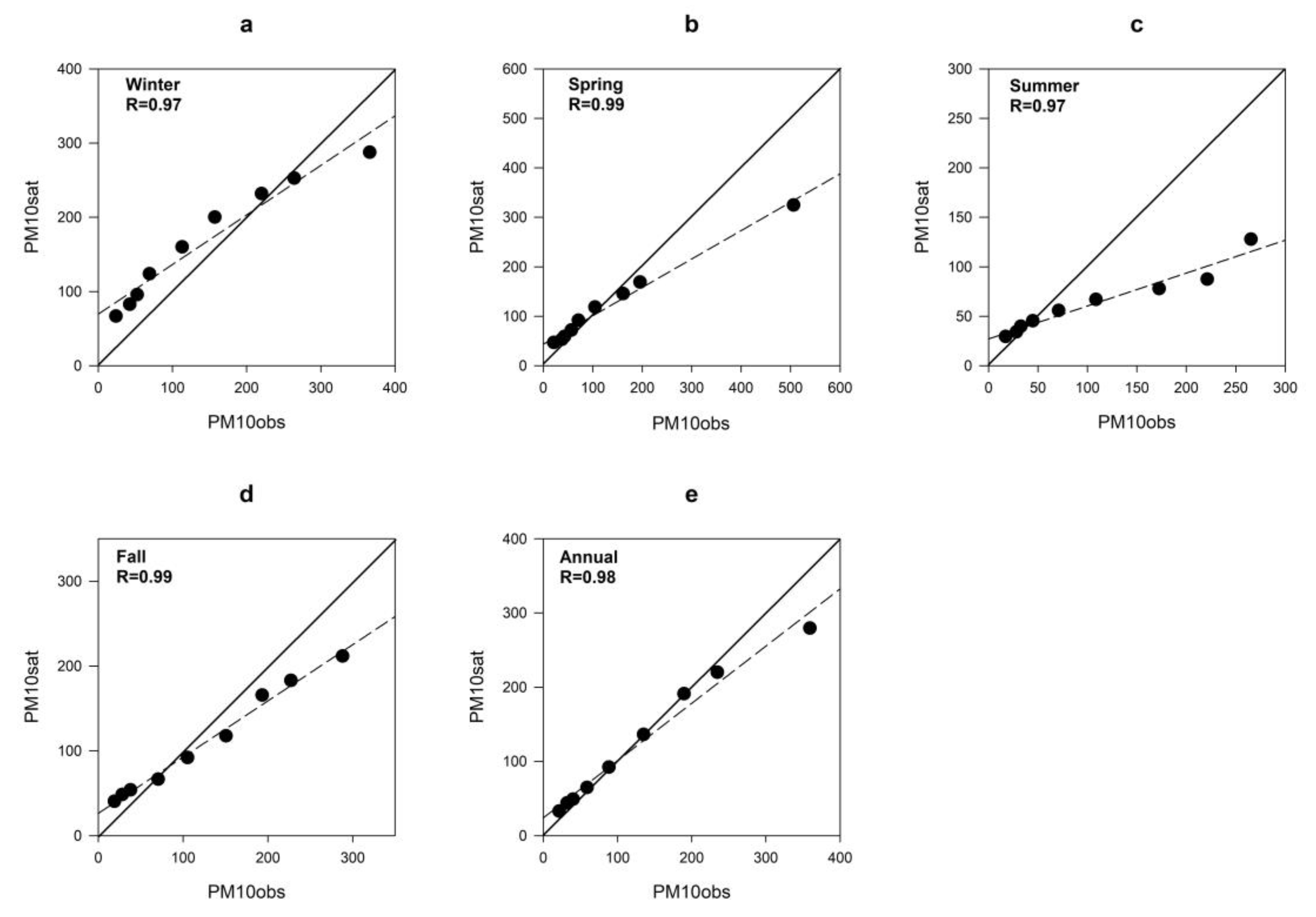
4.1. Accuracy of Reanalysis Data
4.2. Seasonal Climatology of PM and BC Concentrations
4.3. Interannual Variability of PM and BC Concentrations
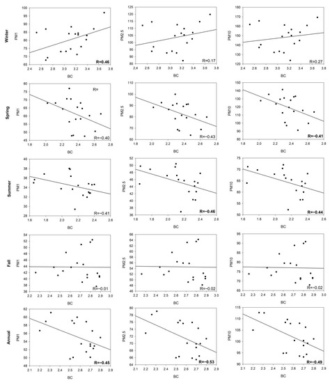
4.4. Association between PM and BC Variability
4.5. Role of Atmospheric Conditions in Seasonal Variability of PM and BC Concentrations
5. Concluding Remarks
- -
- ECWMF possesses the ability to accurately capture the spatiotemporal variability of PM10 across Greater Cairo.
- -
- Particles with diameters smaller than 2.5 microns (µm) could comprise a significant portion of PM10 in the Greater Cairo.
- -
- The concentrations of all PM were significantly higher during colder seasons, specifically winter, in comparison to warmer seasons (i.e., summer and spring).
- -
- There is a substantial and noteworthy increase in PM levels across most seasons between 2003 and 2020, while BC showed a declining trend.
- -
- The interannual variability of PM and BC indicates that spring had the greatest variation (high year-to-year variability) in PM concentrations, while summer was the season with the least variations (more stable conditions). This pattern may be explained by the high frequency of sandstorms during springtime and the dominance of anticyclonic conditions during summertime.
- -
- Except for winter, there was a consistent negative correlation observed between BC and PM levels in all other seasons. Winter was the only season with positive correlations between PM and BC, indicating a strong relationship between BC and PM, particularly for PM1.
- -
- Spring and winter had the highest concentrations of PM10, as well as 1000 and 250 hPa. On the other hand, summer exhibited the lowest concentrations for both.
- -
- PM1 showed the highest correlations with both 1000 hPa and 250 hPa, especially during wintertime.
- -
- The connections between dominant wind directions and the main source regions of pollutants were defined, indicating the main regional trajectories of transport on a seasonal basis.
- -
- Decreased PM levels in Greater Cairo are associated with winds from the northern and northwestern regions, while increased PM and BC levels are linked to advections from the southern and northeastern regions.
- -
- Incorporating knowledge of pollutant sources and their temporal variability is essential for sustainable urban planning and design across the city.
Author Contributions
Funding
Data Availability Statement
Acknowledgments
Conflicts of Interest
References
- Pepper, I.L.; Gerba, C.P.; Brusseau, M.L. Atmospheric pollution. In Environmental and Pollution Science; Elsevier: Amsterdam, The Netherlands, 2019; pp. 293–309. [Google Scholar]
- Manisalidis, I.; Stavropoulou, E.; Stavropoulos, A.; Bezirtzoglou, E. Environmental and health impacts of air pollution: A review. Front. Public Health 2020, 8, 14. [Google Scholar] [CrossRef] [PubMed]
- Kim, K.-H.; Kabir, E.; Kabir, S. A review on the human health impact of airborne particulate matter. Environ. Int. 2015, 74, 136–143. [Google Scholar] [CrossRef]
- Kumar, P.; Patton, A.P.; Durant, J.L.; Frey, H.C. A review of factors impacting exposure to PM2.5, ultrafine particles and black carbon in Asian transport microenvironments. Atmos. Environ. 2018, 187, 301–316. [Google Scholar] [CrossRef]
- Qiu, Z.; Lv, H.; Zhang, F.; Wang, W.; Hao, Y. Pedestrian exposure to PM2. 5, BC and UFP of adults and teens: A case study in Xi’an, China.Sustain. Cities Soc. 2019, 51, 101774. [Google Scholar] [CrossRef]
- Schraufnagel, D.E.; Balmes, J.R.; Cowl, C.T.; De Matteis, S.; Jung, S.H.; Mortimer, K.; Perez-Padilla, R.; Rice, M.B.; Riojas-Rodriguez, H.; Sood, A.; et al. Air pollution and noncommunicable diseases: A review by the Forum of International Respiratory Societies’ Environmental Committee, Part 2: Air pollution and organ systems. Chest 2019, 155, 417–426. [Google Scholar] [CrossRef] [PubMed]
- Yang, F.; Tan, J.; Zhao, Q.; Du, Z.; He, K.; Ma, Y.; Duan, F.; Chen, G. Characteristics of PM 2.5 speciation in representative megacities and across China. Atmos. Chem. Phys. 2011, 11, 5207–5219. [Google Scholar]
- Boucher, O.; Randall, D.; Artaxo, P.; Bretherton, C.; Feingold, G.; Forster, P.; Kerminen, V.M.; Kondo, Y.; Liao, H.; Lohmann, U.; et al. Clouds and Aerosols. In Climate Change 2013: The Physical Science Basis. Contribution of Working Group I to the Fifth Assessment Report of the Intergovernmental Panel on Climate Change; Cambridge University Press: Cambridge, UK, 2013; pp. 571–657. [Google Scholar]
- Cheng, Y.; Yu, Q.-Q.; Liu, J.-M.; Zhu, S.; Zhang, M.; Zhang, H.; Zheng, B.; He, K.-B. Model vs. observation discrepancy in aerosol characteristics during a half-year long campaign in Northeast China: The role of biomass burning. Environ. Pollut. 2021, 269, 116167. [Google Scholar] [CrossRef]
- Osman, T.; Divigalpitiya, P.; Arima, T. Effect of Governmental Housing Regulations on the Egyptian Housing Market: Focusing on Greater Cairo Metropolitan Region; Faculty of Human-Environment Studies; Kyushu University: Fukuoka, Japan, 2015. [Google Scholar]
- Abdelhafiz, A.S.; Mohammed, Z.; Ibrahim, M.E.; Ziady, H.H.; Alorabi, M.; Ayyad, M.; Sultan, E.A. Knowledge, perceptions, and attitude of Egyptians towards the novel coronavirus disease (COVID-19). J. Community Health 2020, 45, 881–890. [Google Scholar] [CrossRef]
- World Health Organization. Air Quality Guidelines: Global Update 2005: Particulate Matter, Ozone, Nitrogen Dioxide, and Sulfur Dioxide; World Health Organization: Geneva, Switzerland, 2006. [Google Scholar]
- Mahmoud, K.; Alfaro, S.; Favez, O.; Wahab, M.A.; Sciare, J. Origin of black carbon concentration peaks in Cairo (Egypt). Atmos. Res. 2008, 89, 161–169. [Google Scholar] [CrossRef]
- Theroux, P. Overland from Cairo to Cape Town. In Dark Star Safari; Houghton Mifflin Harcourt: Boston, MA, USA, 2004. [Google Scholar]
- Seth, S. Difference and Disease: Medicine, Race, and the Eighteenth-Century British Empire; Cambridge University Press: Cambridge, UK, 2018. [Google Scholar]
- Ahmed, S.O.; Mazloum, R.; Abou-Ali, H. Spatiotemporal interpolation of air pollutants in the Greater Cairo and the Delta. Egypt.Environ. Res. 2018, 160, 27–34. [Google Scholar] [CrossRef]
- Hereher, M.; Eissa, R.; Alqasemi, A.; El Kenawy, A.M. Assessment of air pollution at Greater Cairo in relation to the spatial variability of surface urban heat island. Environ. Sci. Pollut. Res. 2022, 29, 21412–21425. [Google Scholar] [CrossRef] [PubMed]
- Monks, P.S.; Archibald, A.T.; Colette, A.; Cooper, O.; Coyle, M.; Derwent, R.; Fowler, D.; Granier, C.; Law, K.S.; Mills, G.E.; et al. Tropospheric ozone and its precursors from the urban to the global scale from air quality to short-lived climate forcer. Atmos. Chem. Phys. 2015, 15, 8889–8973. [Google Scholar] [CrossRef]
- Czernecki, B.; Marosz, M.; Jędruszkiewicz, J. Assessment of machine learning algorithms in short-term forecasting of pm10 and pm2. 5 concentrations in selected polish agglomerations. Aerosol Air Qual. Res. 2021, 21, 200586. [Google Scholar] [CrossRef]
- Kim, B.-Y.; Lim, Y.-K.; Cha, J.W. Short-term prediction of particulate matter (PM10 and PM2. 5) in Seoul, South Korea using tree-based machine learning algorithms. Atmos. Pollut. Res. 2022, 13, 101547. [Google Scholar] [CrossRef]
- Marchetti, S.; Hassan, S.K.; Shetaya, W.H.; El-Mekawy, A.; Mohamed, E.F.; Mohammed, A.M.; El-Abssawy, A.A.; Bengalli, R.; Colombo, A.; Gualtieri, M.; et al. Seasonal variation in the biological effects of PM2. 5 from greater cairo. Int. J. Mol. Sci. 2019, 20, 4970. [Google Scholar] [CrossRef] [PubMed]
- Baklanov, A.; Molina, L.T.; Gauss, M. Megacities, air quality and climate. Atmos. Environ. 2016, 126, 235–249. [Google Scholar] [CrossRef]
- Salem, M.; Tsurusaki, N.; Divigalpitiya, P. Analyzing the driving factors causing urban expansion in the peri-urban areas using logistic regression: A case study of the greater Cairo region. Infrastructures 2019, 4, 4. [Google Scholar] [CrossRef]
- KHALIL, MOSTAFA MOHAMED ASHRAF AHMED MOHAMED. Retrofitting of an existing residential building in Cairo using green facade technology: Understanding the real benefits of a vertical forest concept in Egypt. Master Thesis, Scuola di Architettura Urbanistica Ingegneria delle Costruzioni, Milan, Italy, 2022; 128p. [Google Scholar]
- Forty, G. Desert Rats at War: North Africa. Italy. Northwest Europe; Air Sea Media: Kent, WA, USA, 2014. [Google Scholar]
- Chen, J. Rapid urbanization in China: A real challenge to soil protection and food security. Catena 2007, 69, 1–15. [Google Scholar] [CrossRef]
- Huzayyin, A.S.; Salem, H. Analysis of thirty years evolution of urban growth, transport demand and supply, energy consumption, greenhouse and pollutants emissions in Greater Cairo. Res. Transp. Econ. 2013, 40, 104–115. [Google Scholar] [CrossRef]
- Govender, P.; Sivakumar, V. Application of k-means and hierarchical clustering techniques for analysis of air pollution: A review (1980–2019). Atmos. Pollut. Res. 2020, 11, 40–56. [Google Scholar] [CrossRef]
- Callahan, C.W.; Schnell, J.L.; Horton, D.E. Multi-index attribution of extreme winter air quality in Beijing, China. J. Geophys. Res. Atmos. 2019, 124, 4567–4583. [Google Scholar] [CrossRef]
- Hamed, K.H.; Rao, A.R. A modified Mann-Kendall trend test for autocorrelated data. J. Hydrol. 1998, 204, 182–196. [Google Scholar] [CrossRef]
- Yue, S.; Wang, C.Y. Applicability of prewhitening to eliminate the influence of serial correlation on the Mann-Kendall test. Water Resour. Res 2002, 38, 4-1–4-7. [Google Scholar] [CrossRef]
- Burn, D.H.; Cunderlik, J.M.; Pietroniro, A. Hydrological trends and variability in the Liard River basin/Tendances hydrologiques et variabilité dans le basin de la rivière Liard. Hydrol. Sci. J. 2004, 49, 53–67. [Google Scholar] [CrossRef]
- Peña-Angulo, D.; Vicente-Serrano, S.M.; Domínguez-Castro, F.; Murphy, C.; Reig, F.; Tramblay, Y.; Trigo, R.M.; Luna, M.Y.; Turco, M.; Noguera, I.; et al. Long-term precipitation in Southwestern Europe reveals no clear trend attributable to anthropogenic forcing.Environ. Res. Lett. 2020, 15, 094070. [Google Scholar] [CrossRef]
- Ou, Y.; Li, Z.; Chen, C.; Zhang, Y.; Li, K.; Shi, Z.; Dong, J.; Xu, H.; Peng, Z.; Xie, Y.; et al. Evaluation of MERRA-2 aerosol optical and component properties over China using SONET and PARASOL/GRASP data. Remote Sens. 2022, 14, 821. [Google Scholar] [CrossRef]
- Di, Q.; Amini, H.; Shi, L.; Kloog, I.; Silvern, R.; Kelly, J.; Sabath, M.B.; Choirat, C.; Koutrakis, P.; Lyapustin, A.; et al. An ensemble-based model of PM2. 5 concentration across the contiguous United States with high spatiotemporal resolution. Environ. Int. 2019, 130, 104909. [Google Scholar] [CrossRef] [PubMed]
- Qin, W.; Zhang, Y.; Chen, J.; Yu, Q.; Cheng, S.; Li, W.; Liu, X.; Tian, H. Variation, sources and historical trend of black carbon in Beijing, China based on ground observation and MERRA-2 reanalysis data. Environ. Pollut. 2019, 245, 853–863. [Google Scholar] [CrossRef]
- Srimuruganandam, B.; Nagendra, S.M.S. Analysis and interpretation of particulate matter–PM10, PM2. 5 and PM1 emissions from the heterogeneous traffic near an urban roadway. Atmos. Pollut. Res. 2010, 1, 184–194. [Google Scholar] [CrossRef]
- Gao, J.; Tian, H.; Cheng, K.; Lu, L.; Zheng, M.; Wang, S.; Hao, J.; Wang, K.; Hua, S.; Zhu, C.; et al. The variation of chemical characteristics of PM2. 5 and PM10 and formation causes during two haze pollution events in urban Beijing, China. Atmos. Environ. 2015, 107, 1–8. [Google Scholar] [CrossRef]
- Leão, M.L.P.; Zhang, L.; da Silva Júnior, F.M.R. Effect of particulate matter (PM2. 5 and PM10) on health indicators: Climate change scenarios in a Brazilian metropolis. Environ. Geochem. Health 2023, 45, 2229–2240. [Google Scholar] [CrossRef]
- Wang, Z.; Wang, R.; Wang, J.; Wang, Y.; Donahue, N.M.; Tang, R.; Dong, Z.; Li, X.; Wang, L.; Han, Y.; et al. The seasonal variation, characteristics and secondary generation of PM2. 5 in Xi’an, China, especially during pollution events. Environ. Res. 2022, 212, 113388. [Google Scholar] [CrossRef] [PubMed]
- El Kenawy, A.M.; Hereher, M.; Robaa, S.M.; McCabe, M.F.; Lopez-Moreno, J.I.; Domínguez-Castro, F.; Gaber, I.M.; Al-Awadhi, T.; Al-Buloshi, A.; Al Nasiri, N.; et al. Nocturnal surface urban heat island over Greater Cairo: Spatial morphology, temporal trends and links to land-atmosphere influences. Remote Sens. 2020, 12, 3889. [Google Scholar] [CrossRef]
- Jafari, E.; Rezazadeh, M.; Bazrafshan, O.; Jamshidi, S. Spatiotemporal variability of sand-dust storms and their influencing factors in the MENA region. Theor. Appl. Climatol. 2022, 149, 1357–1371. [Google Scholar] [CrossRef]
- El-Wakil, S.A.; El-Metwally, M.; Gueymard, C. Atmospheric turbidity of urban and desert areas of the Nile Basin in the aftermath of Mt. Pinatubo’s eruption. Theor. Appl. Climatol. 2001, 68, 89–108. [Google Scholar] [CrossRef]
- Abdelhady, S.; Borello, D.; Shaban, A.; Rispoli, F. Viability study of biomass power plant fired with rice straw in Egypt. Energy Procedia 2014, 61, 211–215. [Google Scholar] [CrossRef]
- Zhang, R.; Jing, J.; Tao, J.; Hsu, S.C.; Wang, G.; Cao, J.; Lee, C.S.; Zhu, L.; Chen, Z.; Zhao, Y.; et al. Chemical characterization and source apportionment of PM 2.5 in Beijing: Seasonal perspective.Atmos. Chem. Phys. 2013, 13, 7053–7074. [Google Scholar]
- Jacobson, M.Z.; Von Krauland, A.K.; Burton, Z.F.; Coughlin, S.J.; Jaeggli, C.; Nelli, D.; Nelson, A.J.H.; Shu, Y.; .Smith, M.; Tan, C.; et al. Transitioning all energy in 74 metropolitan areas, including 30 megacities, to 100% clean and renewable wind, water, and sunlight (WWS). Energies 2020, 13, 4934. [Google Scholar] [CrossRef]
- Megahed, Y.; Cabral, P.; Silva, J.; Caetano, M. Land cover mapping analysis and urban growth modelling using remote sensing techniques in Greater Cairo Region—Egypt. ISPRS Int. J. Geo-Inf. 2015, 4, 1750–1769. [Google Scholar] [CrossRef]
- Zou, J.; Sun, J.; Ding, A.; Wang, M.; Guo, W.; Fu, C. Observation-based estimation of aerosol-induced reduction of planetary boundary layer height. Adv. Atmos. Sci. 2017, 34, 1057–1068. [Google Scholar] [CrossRef]
- Wang, L.; Hao, J.; He, K.; Wang, S.; Li, J.; Zhang, Q.; Streets, G.S.; FU, J.S.; Jang, C.Y.; Takekawa, H.; et al. A modeling study of coarse particulate matter pollution in Beijing: Regional source contributions and control implications for the 2008 Summer Olympics. J. Air Waste Manag. Assoc. 2008, 58, 1057–1069. [Google Scholar] [CrossRef] [PubMed]
- Perrone, M.R.; Becagli, S.; Orza, J.G.; Vecchi, R.; Dinoi, A.; Udisti, R.; Cabello, M. The impact of long-range-transport on PM1 and PM2. 5 at a Central Mediterranean site. Atmos. Environ. 2013, 71, 176–186. [Google Scholar] [CrossRef]
- Wang, Y.; Bao, S.; Wang, S.; Hu, Y.; Shi, X.; Wang, J.; Zhao, B.; Jiang, J.; Zheng, M.; Wu, M.; et al. Local and regional contributions to fine particulate matter in Beijing during heavy haze episodes. Sci. Total Environ. 2017, 580, 283–296. [Google Scholar] [CrossRef] [PubMed]
- Creamean, J.M.; Neiman, P.J.; Coleman, T.; Senff, C.J.; Kirgis, G.; Alvarez, R.J.; Yamamoto, A. Colorado air quality impacted by long-range-transported aerosol: A set of case studies during the 2015 Pacific Northwest fires. Atmos. Chem. Phys. 2016, 16, 12329–12345. [Google Scholar] [CrossRef]









| Annual | Winter | Spring | Summer | Fall | |
|---|---|---|---|---|---|
| Bias | 1.55 | 38.86 | 6.42 | −28.94 | −16.03 |
| MAE | 46.41 | 57.03 | 37.04 | 42.85 | 47.86 |
| RMSE | 64.50 | 69.55 | 64.34 | 61.81 | 61.27 |
| Spearman’s rho | 0.46 | 0.63 | 0.50 | 0.16 | 0.39 |
| hPa | PM1 | PM2.5 | PM10 | BC | |
|---|---|---|---|---|---|
| Winter | 1000 hPa | 0.22 | 0.11 | 0.12 | −0.02 |
| 250 hPa | 0.56 | 0.42 | 0.36 | 0.69 | |
| Spring | 1000 hPa | −0.14 | −0.12 | −0.10 | 0.02 |
| 250 hPa | 0.23 | 0.18 | 0.16 | 0.18 | |
| Summer | 1000 hPa | −0.19 | −0.08 | −0.10 | −0.10 |
| 250 hPa | −0.27 | 0.33 | 0.27 | 0.27 | |
| Fall | 1000 hPa | 0.07 | 0.49 | 0.47 | 0.47 |
| 250 hPa | −0.45 | −0.08 | −0.07 | −0.07 | |
| Annual | 1000 hPa | 0.29 | 0.18 | 0.17 | 0.02 |
| 250 hPa | 0.32 | −0.21 | 0.37 | 0.35 |
Disclaimer/Publisher’s Note: The statements, opinions and data contained in all publications are solely those of the individual author(s) and contributor(s) and not of MDPI and/or the editor(s). MDPI and/or the editor(s) disclaim responsibility for any injury to people or property resulting from any ideas, methods, instructions or products referred to in the content. |
© 2023 by the authors. Licensee MDPI, Basel, Switzerland. This article is an open access article distributed under the terms and conditions of the Creative Commons Attribution (CC BY) license (https://creativecommons.org/licenses/by/4.0/).
Share and Cite
Dawoud, W.; El Kenawy, A.M.; Abdel Wahab, M.M.; Oraby, A.H. Temporal Variability of Particulate Matter and Black Carbon Concentrations over Greater Cairo and Its Atmospheric Drivers. Climate 2023, 11, 133. https://doi.org/10.3390/cli11070133
Dawoud W, El Kenawy AM, Abdel Wahab MM, Oraby AH. Temporal Variability of Particulate Matter and Black Carbon Concentrations over Greater Cairo and Its Atmospheric Drivers. Climate. 2023; 11(7):133. https://doi.org/10.3390/cli11070133
Chicago/Turabian StyleDawoud, W., Ahmed M. El Kenawy, M. M. Abdel Wahab, and A. H. Oraby. 2023. "Temporal Variability of Particulate Matter and Black Carbon Concentrations over Greater Cairo and Its Atmospheric Drivers" Climate 11, no. 7: 133. https://doi.org/10.3390/cli11070133
APA StyleDawoud, W., El Kenawy, A. M., Abdel Wahab, M. M., & Oraby, A. H. (2023). Temporal Variability of Particulate Matter and Black Carbon Concentrations over Greater Cairo and Its Atmospheric Drivers. Climate, 11(7), 133. https://doi.org/10.3390/cli11070133

