Wind Characteristics and Temporal Trends in Eastern Paraná State, Brazil
Abstract
1. Introduction
2. Materials and Methods
2.1. Study Area
2.2. Wind Temporal Series and Graphical Analysis
2.3. Analysis of Meteorological Systems and Nonparametric Tests Applied
2.4. Parametric Tests of Shapiro–Wilk (SW)
3. Results
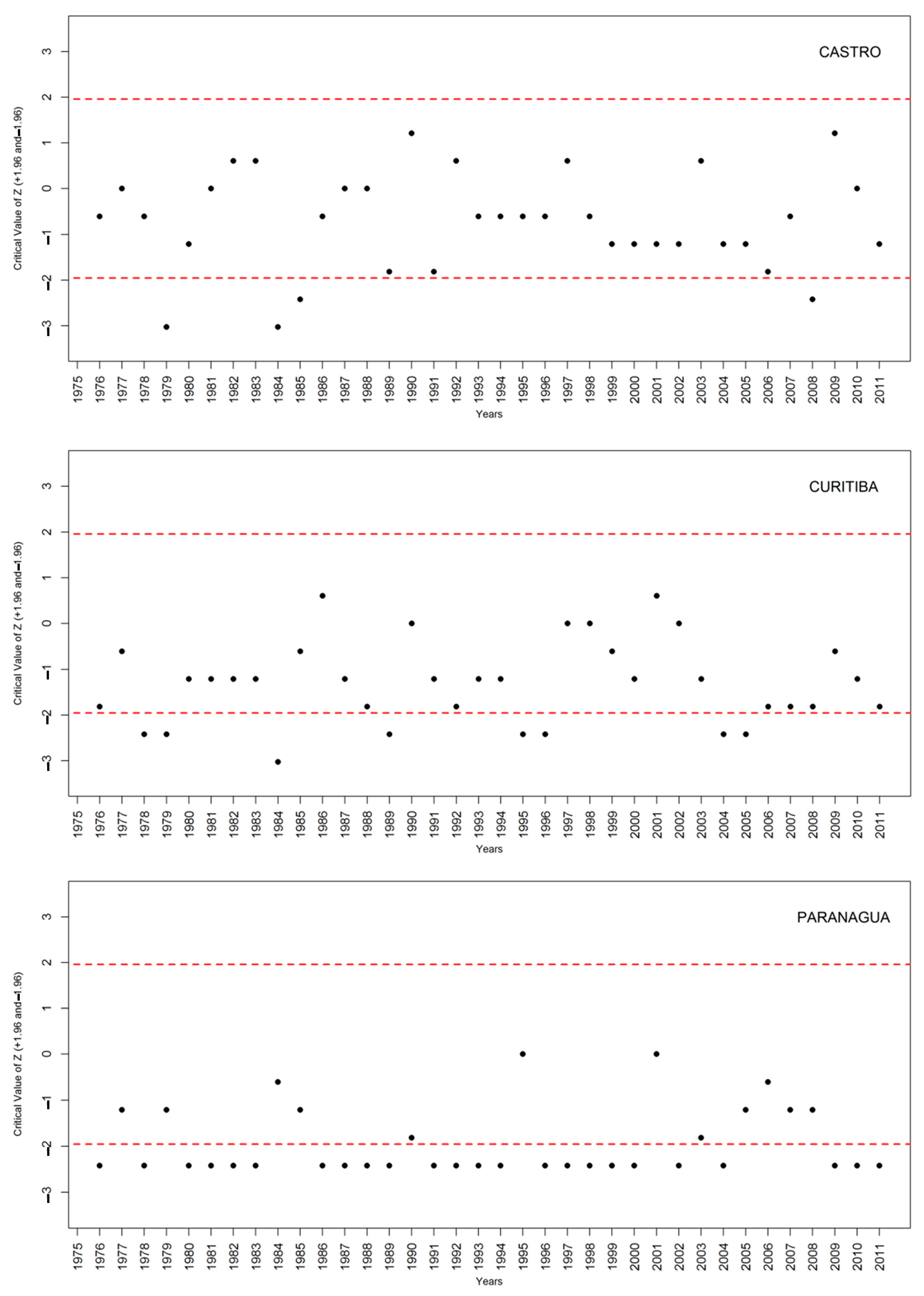
3.1. Spatio-Temporal Characterization
3.2. Temporal Trends
4. Discussion
5. Conclusions
Author Contributions
Funding
Data Availability Statement
Acknowledgments
Conflicts of Interest
References
- Li, F.R.; Zhao, W.Z.; Liu, J.L.; Huang, Z.G. Degraded vegetation and wind erosion influence soil carbon, nitrogen and phosphorus accumulation in sandy grasslands. Plant Soil 2009, 317, 79–92. [Google Scholar] [CrossRef]
- Chi, W.; Zhao, Y.; Kuang, W.; He, H. Impacts of anthropogenic land use/cover changes on soil wind erosion in China. Sci. Total Environ. 2019, 668, 204–215. [Google Scholar] [CrossRef] [PubMed]
- Munhoz, F.C.; Garcia, A. Characterization of the predominant wind speed and wind direction at Ituverava, São Paulo State, Brazil. Rev. Bras. Meteorol. 2008, 23, 30–34. [Google Scholar] [CrossRef]
- Pryor, S.C.; Barthelmie, R.J.; Young, D.T.; Takle, E.S.; Arritt, R.W.; Flory, D.; Gutowski, W.J.; Nunes, A.; Roads, J. Wind speed trends over the contiguous United States. J. Geophys. Res. 2009, 114, D14105. [Google Scholar] [CrossRef]
- de Oliveira Santos, M.; Stosic, T.; Stosic, B.D. Long-term correlations in hourly wind speed records in Pernambuco, Brazil. Physica A 2012, 391, 1546–1552. [Google Scholar] [CrossRef]
- Adami, V.S.; Antunes Júnior, J.A.V.; Sellitto, M.A. Regional industrial policy in the wind energy sector: The case of the State of Rio Grande Do Sul, Brazil. Energ. Policy. 2017, 111, 18–27. [Google Scholar] [CrossRef]
- Wohland, J.; Omrani, N.; Witthaut, D.; Keenlyside, N.S. Inconsistent wind speed trends in current twentieth century reanalyses. J. Geophys. Res-Atmos. 2019, 124, 1931–1940. [Google Scholar] [CrossRef]
- Beruski, G.C.; Leite, M.D.L.; das Virgens Filho, J.S.; Adacheski, P.A.; de Oliveira, A.V. Probabilistic analysis of the average speed andcharacterization of the predominant wind direction in the cityof Lapa/PR. Raega-O Espaço Geográfico Análise 2009, 17. [Google Scholar] [CrossRef]
- Correia Filho, W.L.F.; Souza, P.H.A.; Oliveira-Júnior, J.F.; Santiago, D.B.; Lyra, G.B.; Zeri, M.; Cunha-Zeri, G. The wind regime over the Brazilian Southeast: Spatial and temporal characterization using multivariate analysis. Int. J. Climatol. 2022, 42, 1767–1788. [Google Scholar] [CrossRef]
- Coccia, M. The effects of atmospheric stability with low wind speed and of air pollution on the accelerated transmission dynamics of COVID-19. Int. J. Environ. Stud. 2021, 78, 1–27. [Google Scholar] [CrossRef]
- Gois, G.; Oliveira-Junior, J.F.; da Silva, E.B.; Maia, J.L.M.; Aleluia, I.S.S.; Teodoro, P.E. Carbon monoxide trend in the city of rio de janeiro via Mann-Kendall and cusum tests. Biosci. J. 2017, 33, 1332–1339. [Google Scholar] [CrossRef]
- Correia Filho, W.L.F.; Souza, P.H.A.; Oliveira-Júnior, J.F.; Terassi, P.M.B.; Gois, G.; Silva-Júnior, C.A.; Sobral, B.S.; Rangel, R.H.O.; Pimentel, L.C.G. Investigating the characteristics and predictability of measured wind speed data over Rio de Janeiro, Brazil. Pure Appl. Geophys. 2021, 178, 2333–2355. [Google Scholar] [CrossRef]
- Gilliland, J.M.; Keim, B.D. Position of the South Atlantic Anticyclone and its impact on surface conditions across Brazil. J. Appl. Meteorol. Climatol. 2018, 57, 535–553. [Google Scholar] [CrossRef]
- Gilliland, J.M.; Keim, B.D. Surface Wind speed: Trend and climatology of Brazil from 1980-2014. Int. J. Climatol. 2018, 38, 1060–1073. [Google Scholar] [CrossRef]
- Oliveira-Júnior, J.F.; Terassi, P.M.B.; Gois, G. Study of the wind circulation in Guanabara bay/RJ between 2003 to 2012. Rev. Bras. Climatol. 2017, 21. [Google Scholar] [CrossRef]
- Pimentel, L.C.G.; Marton, E.; da Silva, M.S.; Jourdan, P. Characterization of surface wind regime in the Metropolitan Area of Rio de Janeiro. Eng. Sanit. Ambient. 2014, 19, 121–132. [Google Scholar] [CrossRef]
- Yamartino, R.J. A comparison of several “single-pass” estimators of the standard deviation of wind direction. J. Appl. Meteorol. Clim. 1984, 23, 1362–1366. [Google Scholar] [CrossRef]
- Klink, K. Climatological mean and interannual variance of United States surface wind speed, direction and velocity. Int. J. Climatol. 1999, 19, 471–488. [Google Scholar] [CrossRef]
- Stivari, S.M.S.; Oliveira, A.P.; Soares, J. On the climate impact of the local circulation in the Itaipu Lake area. Clim. Change 2005, 72, 103–121. [Google Scholar] [CrossRef]
- Stivari, S.M.S.; de Oliveira, A.P.; Karam, H.A.; Soares, J. Patterns of local circulation in the Itaipu Lake area: Numerical simulations of lake breeze. J. Appl. Meteorol. 2003, 42, 37–50. [Google Scholar] [CrossRef]
- Oliveira, J.F.; Souza, J.C.S.; Dias, F.O.; Gois, G.; Gonçalves, I.F.S.; Silva, M.S. Characterization of wind regime in Seropedica, Rio de Janeiro State, Brazil (2001-2010). Floresta Ambiente 2013, 20, 447–459. [Google Scholar] [CrossRef]
- Sobral, B.S.; Oliveira-Júnior, J.F.; Gois, G.; Terassi, P.M.B.T.; Pereira, C.R. Wind Regime in Serra do Mar Ridge—Rio de Janeiro, Brazil. Rev. Bras. Meteorol. 2018, 33, 441–451. [Google Scholar] [CrossRef]
- Karl, T.R.; Knight, R.W.; Easterling, D.R.; Quayle, R.G. Indices of climate change for the United States. Bull. Am. Meteorol. Soc. 1996, 77, 279–292. [Google Scholar] [CrossRef]
- Terassi, P.M.B.; Oliveira-Júnior, J.F.; Galvani, E.; Correia Filho, W.L.F.; Gois, G.; Sobral, B.S.; Biffi, V.H.R. Wind regime in Curitiba and Paranaguá, Paraná. Rev. Bras. Climatol. 2019, 25, 241–265. [Google Scholar] [CrossRef]
- Kousari, M.R.; Ahani, H.; Hakimelahi, H. An Investigation of near Surface Wind Speed Trends in Arid and Semiarid Regions of Iran. Theor. Appl. Climatol. 2013, 114, 153–168. [Google Scholar] [CrossRef]
- Azorin-Molina, C.; Vicente-Serrano, S.M.; McVicar, T.R.; Jerez, S.; Sanchez-Lorenzo, A.; López-Moreno, J.-I.; Revuelto, J.; Trigo, R.M.; Lopez-Bustins, J.A.; Espírito-Santo, F. Homogenization and assessment of observed near-surface wind speed trends over Spain and Portugal, 1961-2011. J. Clim. 2014, 27, 3692–3712. [Google Scholar] [CrossRef]
- Azorin-Molina, C.; Rehman, S.; Guijarro, J.A.; McVicar, T.R.; Minola, L.; Chen, D.; Vicente-Serrano, S.M. Recent trends in wind speed across Saudi Arabia, 1978-2013: A break in the stilling. Int. J. Climatol. 2018, 38, e966–e984. [Google Scholar] [CrossRef]
- Lawin, A.E.; Manirakiza, C.; Lamboni, B. Trends and changes detection in rainfall, temperature and wind speed in Burundi. J. Wat. Clim. Change 2019, 10, 852–870. [Google Scholar] [CrossRef]
- Diao, W.; Zhao, Y.; Dong, Y.; Zhai, J.; Wang, Q.; Gui, Y. Spatiotemporal variability of surface wind speed during 1961–2017 in the Jing-Jin-Ji Region, China. J. Meteorol. Res-Prc. 2020, 34, 621–632. [Google Scholar] [CrossRef]
- Troccoli, A.; Muller, K.; Coppin, P.; Davy, R.; Russell, C.; Hirsch, A.L. Long-term wind speed trends over Australia. J. Clim. 2012, 25, 170–183. [Google Scholar] [CrossRef]
- Vanhoni, F.; Mendonça, F. The climate of the coast of the state of Paraná. Rev. Bras. Climatol. 2008, 3, 49–63. [Google Scholar] [CrossRef]
- Zandonadi, L.; Acquaotta, F.; Fratianni, S.; Zavattini, J.A. Changes in precipitation extremes in Brazil (Paraná River Basin). Theor. Appl. Climatol. 2016, 123, 741–756. [Google Scholar] [CrossRef]
- de Mello, Y.R.; Lopes, F.C.A.; Roseghini, W.F.F. Climatic characteristics and rhythmic analysis applied to extreme events of precipitation and temperatura in the city of Paranaguá, Paraná. Rev. Bras. Climatol. 2017, 20, 313–336. [Google Scholar] [CrossRef]
- Fritzons, E.; Mantovani, L.E.; Wrege, M.S.; Chaves Neto, A. Rainfall analysis to define homogeneous pluviometric areas in the State of Paraná. Raega-O Espaço Geográfico em Análise 2011, 23, 555–572. [Google Scholar] [CrossRef]
- Terassi, P.M.B.; Galvani, E. Identification of homogeneous rainfall regions in the eastern watersheds of the State of Paraná, Brazil. Climate 2017, 5, 53. [Google Scholar] [CrossRef]
- Terassi, P.M.B.; Oscar-Júnior, A.C.S.; Galvani, E.; Oliveira-Júnior, J.F.; Sobral, B.S.; Biffi, V.H.R.; Gois, G. Daily Rainfall Intensity and Temporal Trends in Eastern Paraná State—Brazil. Urban. Clim. 2022, 42, 101090. [Google Scholar] [CrossRef]
- Nascimento, E.R.; Salamuni, E.; Santos, L.J.C. Morphostructure of the Serra Do Mar, Paraná State, Brazil. J. Maps. 2016, 12, 63–70. [Google Scholar] [CrossRef][Green Version]
- IBGE (Instituto Brasileiro de Geografia e Estatística). Cidades@. Available online: https://cidades.ibge.gov.br/brasil/pr/curitiba/panorama (accessed on 4 January 2022).
- Monteiro, R.R.; Nagy, A. The cartography of Paraná’s coast: Demography, university access, population density, sex ratio and general themes. Confins 2017, 33. [Google Scholar] [CrossRef]
- INMET—National Institute of Meteorology. Climatological graphics. 2018. Available online: http://www.inmet.gov.br/portal/index.php?r=clima/graficosClimaticos (accessed on 16 February 2018).
- Álvares, C.A.; Stape, J.L.; Sentelhas, P.C.; Moraes Gonçalves, J.L.; Sparovek, G. Köppen’s Climate Classification Map for Brazil. Meteorol. Z. 2013, 22, 711–728. [Google Scholar] [CrossRef]
- Lakes Environmental Software. Wind Rose Plots for Meteorological Data—WRPLOT View. 2017. Available online: http://www.weblakes.com/produts/wrplot/index.html (accessed on 20 March 2018).
- INPE/CPTEC (National Institute for Space Research/ Weather Forecast and Space Research Center). Boletim Climanálise 2018. Available online: www.cptec.inpe.br/products/climanalise (accessed on 18 May 2018).
- Back, Á.J. Aplicação de Análise Estatística Para Identificação de Tendências Climáticas. Pesqui. Agropecu. Bras. 2001, 36, 717–726. [Google Scholar] [CrossRef]
- Teodoro, P.E.; Oliveira-Júnior, J.F.; Cunha, E.R.; Correa, C.C.G.; Torres, F.E.; Bacani, V.M.; Gois, G.; Ribeiro, L.P. Cluster Analysis Applied to the Spatial and Temporal Variability of Monthly Rainfall in Mato Grosso do Sul State, Brazil. Meteorol. Atmos. Phys. 2016, 128, 197–209. [Google Scholar] [CrossRef]
- Vaheddoost, B.; Aksoy, H. Structural characteristics of annual precipitation in Lake Urmia Basin. Theor. Appl. Climatol. 2017, 128, 919–932. [Google Scholar] [CrossRef]
- R Development Core Team. R: A Language and Environment for Statistical Computing; R Foundation for Statistical Computing: Vienna, Austria; ISBN 3-900051-07-0. Available online: https://www.r-project.org (accessed on 13 March 2023).
- Hirsch, R.M.; Slack, J.R. A Nonparametric trend test for seasonal data with serial dependence. Water. Resour. Res. 1984, 20, 727–732. [Google Scholar] [CrossRef]
- Pettitt, A.N. A Non-parametric approach to the change-point problem. Appl. Stat. 1979, 28, 126. [Google Scholar] [CrossRef]
- Castelhano, F.J.; Roseghini, W.F.F. Characterization of wind dynamics in Curitiba-PR. GEOUSP: Espaço Tempo (Online) 2018, 22, 227–240. [Google Scholar] [CrossRef][Green Version]
- Teixeira Nery, J.; Claudia Carfan, A. Re-Analysis of Pluvial Precipitation in Southern Brazil. Atmósfera 2014, 27, 103–115. [Google Scholar] [CrossRef][Green Version]
- Terassi, P.M.B.; de Oliveira-Júnior, J.F.; de Góis, G.; Galvani, E. Standardized Precipitation Index Variability in the Northern Region of Paraná State Associated with the El Niño—Southern Oscillation. Rev. Bras. Meteorol. 2018, 33, 11–25. [Google Scholar] [CrossRef]
- Penalba, O.C.; Rivera, J.A. Precipitation response to El Niño/La Niña events in Southern South America—Emphasis in regional drought occurrences. Adv. Geosci. 2016, 42, 11–25. [Google Scholar] [CrossRef]
- Kohler, M.; Metzger, J.; Kalthoff, N. Trends in temperature and wind speed from 40 years of observations at a 200-m high meteorological tower in Southwest Germany. Int. J. Climatol. 2018, 38, 23–34. [Google Scholar] [CrossRef]
- Reboita, M.S.; Gan, M.A.; da Rocha, R.P.; Ambrizzi, T. Precipitation regimes in South America: A bibliography review. Rev. Bras. Meteorol. 2010, 25, 185–204. [Google Scholar] [CrossRef]
- Silva, D.G.; Lopes, R.P.; Carvalho, D.F. de Characterization of the power wind potential in Seropédica (RJ) region. Energ. Agric. 2013, 28, 185. [Google Scholar] [CrossRef]
- Siefert, C.A.C.; Dombrowski Netto, N.; Marangon, F.H.S.; Schultz, G.B.; Silva, L.M.R.; Fontenelle, T.H.; Santos, I. dos Evaluation of the Wind Speed Time Series from Climate Reanalysis for Brazil. Rev. Bras. Meteorol. 2021, 36, 689–701. [Google Scholar] [CrossRef]
- Truccolo, E.C. Assessment of the wind behavior in the Northern Coast of Santa Catarina. Rev. Bras. Meteorol. 2011, 26, 451–460. [Google Scholar] [CrossRef]
- Oliveira, D.; Borrozzino, E. Trends of wind speed change in the state of Paraná. Agrometeoros 2018, 26, 145–149. [Google Scholar] [CrossRef]
- Cardoso, L.F.N.; Silva, W.L.; da Silva, M.G.A.J. Long-term trends in near-surface wind speed over the Southern Hemisphere: A preliminary analysis. Int. J. Geosci. 2016, 07, 938–943. [Google Scholar] [CrossRef]
- Bichet, A.; Wild, M.; Folini, D.; Schär, C. Causes for decadal variations of wind speed over land: Sensitivity studies with a Global Climate Model. Geophys. Res. Lett. 2012, 39, L11701. [Google Scholar] [CrossRef]
- Laurila, T.K.; Sinclair, V.A.; Gregow, H. Climatology, Variability, and Trends in Near-surface Wind Speeds over the North Atlantic and Europe during 1979–2018 Based on ERA5. Int. J. Climatol. 2021, 41, 2253–2278. [Google Scholar] [CrossRef]
- Romanić, D.; Ćurić, M.; Jovičić, I.; Lompar, M. Long-term trends of the ‘Koshava’ wind during the period 1949-2010. Int. J. Climatol. 2015, 35, 288–302. [Google Scholar] [CrossRef]
- Yan, Z.; Bate, S.; Chandler, R.E.; Isham, V.; Wheater, H. Changes in extreme wind speeds in NW Europe simulated by generalized linear models. Theor. Appl. Climatol. 2006, 83, 121–137. [Google Scholar] [CrossRef]
- Wu, J.; Zha, J.; Zhao, D. Evaluating the effects of land use and cover change on the decrease of surface wind speed over China in recent 30 years using a statistical downscaling method. Clim. Dyn. 2017, 48, 131–149. [Google Scholar] [CrossRef]
- Kim, J.; Paik, K. Recent recovery of surface wind speed after decadal decrease: A focus on South Korea. Clim. Dyn. 2015, 45, 1699–1712. [Google Scholar] [CrossRef]
- You, Q.; Fraedrich, K.; Min, J.; Kang, S.; Zhu, X.; Pepin, N.; Zhang, L. Observed surface wind speed in the Tibetan Plateau since 1980 and its physical causes. Int. J. Climatol. 2014, 34, 1873–1882. [Google Scholar] [CrossRef]
- Tuller, S.E. Measured wind speed trends on the West Coast of Canada. Int. J. Climatol. 2004, 24, 1359–1374. [Google Scholar] [CrossRef]
- Minola, L.; Azorin-Molina, C.; Chen, D. Homogenization and assessment of observed near-surface wind speed trends across Sweden, 1956–2013. J. Clim. 2016, 29, 7397–7415. [Google Scholar] [CrossRef]
- McVicar, T.R.; van Niel, T.G.; Li, L.T.; Roderick, M.L.; Rayner, D.P.; Ricciardulli, L.; Donohue, R.J. Wind Speed Climatology and Trends for Australia, 1975-2006: Capturing the stilling phenomenon and comparison with near-surface reanalysis output. Geophys. Res. Lett. 2008, 35, L20403. [Google Scholar] [CrossRef]
- Jaiswal, R.K.; Lohani, A.K.; Tiwari, H.L. Statistical analysis for change detection and trend assessment in climatological parameters. Environ. Proc. 2015, 2, 729–749. [Google Scholar] [CrossRef]
- Jiang, Y.; Luo, Y.; Zhao, Z.; Tao, S. Changes in wind speed over China during 1956–2004. Theor. Appl. Climatol. 2010, 99, 421–430. [Google Scholar] [CrossRef]
- Zhang, R.; Zhang, S.; Luo, J.; Han, Y.; Zhang, J. Analysis of near-surface wind speed change in China during 1958-2015. Theor. Appl. Climatol. 2019, 137, 2785–2801. [Google Scholar] [CrossRef]
- Xiaomei, Y.; Zongxing, L.; Qi, F.; Yuanqing, H.; Wenlin, A.; Wei, Z.; Weihong, C.; Tengfei, Y.; Yamin, W.; Theakstone, W.H. The decreasing wind speed in southwestern China during 1969–2009, and possible causes. Quatern. Int. 2012, 263, 71–84. [Google Scholar] [CrossRef]
- Li, Z.; Yan, Z.; Tu, K.; Liu, W.; Wang, Y. Changes in wind speed and extremes in Beijing during 1960–2008 based on homogenized observations. Adv. Atmos. Sci. 2011, 28, 408–420. [Google Scholar] [CrossRef]
- Guo, H.; Xu, M.; Hu, Q. Changes in near-surface wind speed in China: 1969-2005. Int. J. Climatol. 2011, 31, 349–358. [Google Scholar] [CrossRef]
- Wever, N. Quantifying trends in surface roughness and the effect on surface wind speed observations. J. Geophys. Res.-Atmos. 2012, 117, D11104. [Google Scholar] [CrossRef]
- Vautard, R.; Cattiaux, J.; Yiou, P.; Thépaut, J.-N.; Ciais, P. Northern hemisphere atmospheric stilling partly attributed to an increase in surface roughness. Nat. Geosci. 2010, 3, 756–761. [Google Scholar] [CrossRef]
- Dadaser-Celik, F.; Cengiz, E. Wind speed trends over Turkey from 1975 to 2006. Int. J. Climatol. 2014, 34, 1913–1927. [Google Scholar] [CrossRef]
- Lin, C.; Yang, K.; Qin, J.; Fu, R. Observed coherent trends of surface and upper-air wind speed over China since 1960. J. Clim. 2013, 26, 2891–2903. [Google Scholar] [CrossRef]
- Fu, G.; Yu, J.; Zhang, Y.; Hu, S.; Ouyang, R.; Liu, W. Temporal variation of wind speed in China for 1961–2007. Theor. Appl. Climatol. 2011, 104, 313–324. [Google Scholar] [CrossRef]
- Pryor, S.C.; Barthelmie, R.J. Climate change impacts on wind energy: A review. Renew. and Sust. Energ. Rev. 2010, 14, 430–437. [Google Scholar] [CrossRef]
- Romanic, D.; Hangan, H.; Ćurić, M. Wind climatology of toronto based on the NCEP/NCAR reanalysis 1 data and its potential relation to solar activity. Theor. Appl. Climatol. 2018, 131, 827–843. [Google Scholar] [CrossRef]
- Tang, B.; Tong, L.; Kang, S.; Zhang, L. Impacts of climate variability on reference evapotranspiration over 58 years in the Haihe river basin of north China. Agric. Water. Manag. 2011, 98, 1660–1670. [Google Scholar] [CrossRef]
- McVicar, T.R.; Roderick, M.L.; Donohue, R.J.; Li, L.T.; van Niel, T.G.; Thomas, A.; Grieser, J.; Jhajharia, D.; Himri, Y.; Mahowald, N.M.; et al. Global review and synthesis of trends in observed terrestrial near-surface wind speeds: Implications for evaporation. J. Hydrol. 2012, 416–417, 182–205. [Google Scholar] [CrossRef]
- Wu, J.; Zha, J.; Zhao, D.; Yang, Q. Changes in terrestrial near-surface wind speed and their possible causes: An overview. Clim. Dyn. 2018, 51, 2039–2078. [Google Scholar] [CrossRef]
- de Lemos, L.O.; Júnior, A.C.O.; Mendonça, F. Urban canyon in the CBD of Rio de Janeiro (Brazil): Thermal profile of Avenida Rio Branco during summer. Atmosphere 2021, 13, 27. [Google Scholar] [CrossRef]







| OMM Code | Meteorological Stations | Distance to the Coastline (km) | Lat. (S) | Lon. (W) | Altitude (m) | Missing Data (%) |
|---|---|---|---|---|---|---|
| 83813 | Castro | 180 | 24.78 | 49.99 | 994.7 | 10.0 |
| 83842 | Curitiba | 75 | 25.43 | 49.26 | 923 | 1.9 |
| 83844 | Paranaguá | 0 | 25.23 | 48.51 | 4.5 | 10.5 |
| Categories | Scales |
|---|---|
| Significant increasing trend | ZMK > +1.64 |
| Non-significant increasing trend | ZMK < +1.64 |
| No trend | ZMK = 0 |
| Non-significant decreasing trend | ZMK > −1.64 |
| Significant decreasing trend | ZMK < −1.64 |
| Years/ Months | January | February | March | April | May | June | July | August | September | October | November | December |
|---|---|---|---|---|---|---|---|---|---|---|---|---|
| 2004 | 1, 2 | 1, 2 | 1, 2, 6 | 1 | 1 | 1, 2 | 1, 2 | 1, 2 | 1, 6 | 1, 3 | 1, 3 | 1, 2 |
| 2005 | 1, 2 | 1, 2, 4 | 1, 2 | 1, 2 | 1, 3 | 1, 5 | 1, 2 | 1, 2, 6 | 1, 6 | 1, 6 | 1, 2 | 1, 2 |
| 2008 | 1, 2 | 1, 6, 7, 8 | 1, 2, 8 | 1, 5, 6, 8 | 1, 6 | 1, 5, 6 | 1, 9 | 1, 9 | 1, 6 | 1, 5 | 1, 8 | 1, 2, 8 |
| 2009 | 1, 8, 9 | 1, 8 | 1, 2, 8 | 1, 2, 8, 9 | 1, 5, 8 | 1, 2, 6 | 1 | 1, 8 | 1, 9 | 1, 5 | 1, 5, 9 | 1, 5, 7 |
| 2010 | 1, 5 | 1, 5 | 1, 8, 9 | 1 | 1, 8 | 1, 5, 8, 9 | 1, 9 | 1, 2 | 1, 5, 8 | 1, 2, 5, 6 | 1, 2, 9 | 1, 5, 7, 9 |
| Meteorological Stations | Mann–Kendall Test | Pettitt Test | |||||
|---|---|---|---|---|---|---|---|
| TAU | p.VA | Annual ZMK | K | POS | p.VA | CPI | |
| Castro | −0.2336 | 0.0500 * | −1.96 | 160 | 20 | 0.0614 + | February—1995 |
| Curitiba | −0.1899 | 0.1117 | −1.59 | 204 | 11 | 0.0070 ** | January—1986 |
| Paranaguá | −0.1361 | 0.2559 | −1.14 | 96 | 31 | 0.5708 | February—2006 |
| Season | Castro | Curitiba | Paranaguá | ||||||
|---|---|---|---|---|---|---|---|---|---|
| Mann–Kendall Test | Mann–Kendall Test | Mann–Kendall Test | |||||||
| TAU | Seasonal ZMK | TAU | Seasonal ZMK | TAU | Seasonal ZMK | ||||
| Summer | −0.0169 | −1.90 + | −0.0003 | −0.07 | −0.0018 | −0.56 | |||
| Autumn | −0.0230 | −2.36 * | −0.0060 | −1.48 | 0.0010 | 0.40 | |||
| Winter | −0.0208 | −1.82 + | −0.0060 | −1.40 | −0.0012 | −0.42 | |||
| Spring | −0.0143 | −1.89 + | −0.0115 | −2.74 ** | −0.0105 | −2.63 ** | |||
| Season | Pettitt test | Pettitt test | Pettitt test | ||||||
| K | p.VA | CPI | K | p.VA | CPI | K | p.VA | CPI | |
| Summer | 117 | 0.3418 | 1997 | 147 | 0.0810 + | 1986 | 102 | 0.6766 | 1999 |
| Autumn | 117 | 0.3378 | 1999 | 177 | 0.0168 * | 1986 | 78 | 0.6842 | 1985 |
| Winter | 124 | 0.2514 | 1996 | 213 | 0.0014 ** | 1988 | 94 | 0.8612 | 2006 |
| Spring | 140 | 0.1258 | 1995 | 227 | 0.0002 *** | 1986 | 162 | 0.0574 + | 1992 |
| Season | Shapiro–Wilk test | Shapiro–Wilk test | Shapiro–Wilk test | ||||||
| W | p.VA | S or NS | W | p.VA | S or NS | W | p.VA | S or NS | |
| Summer | 0.9350 | 0.1452 | NS | 0.7648 | 0.0000 *** | S | 0.8167 | 0.0000 *** | S |
| Autumn | 0.9361 | 0.0426 * | S | 0.8141 | 0.0000 *** | S | 0.7403 | 0.0000 *** | S |
| Winter | 0.9437 | 0.0724 + | S | 0.9793 | 0.7209 | NS | 0.5964 | 0.0000 *** | S |
| Spring | 0.9282 | 0.0248 * | S | 0.8065 | 0.0000 *** | S | 0.7008 | 0.0000 *** | S |
| Month | Castro | Curitiba | Paranaguá | ||||||
|---|---|---|---|---|---|---|---|---|---|
| Mann–Kendall Test | Mann–Kendall Test | Mann–Kendall Test | |||||||
| TAU | Mensal ZMK | TAU | Mensal ZMK | TAU | Mensal ZMK | ||||
| January | −0.0139 | −1.46 | 0.0033 | 0.40 | −0.0040 | −0.80 | |||
| February | −0.0127 | −1.36 | −0.0019 | −0.56 | 0.0006 | 0.08 | |||
| March | −0.0233 | −3.22 ** | 0.0006 | 0.10 | −0.0001 | −0.03 | |||
| April | −0.0224 | −2.07 * | −0.0085 | −1.70 + | 0.0018 | 0.50 | |||
| May | −0.0140 | −1.84 + | −0.0035 | −0.69 | 0.0019 | 0.57 | |||
| June | −0.0147 | −1.85 + | −0.0047 | −0.94 | 0.0037 | 0.83 | |||
| July | −0.0146 | −1.20 | −0.0091 | −1.48 | −0.0001 | −0.01 | |||
| August | −0.0193 | −1.28 | −0.0034 | −0.42 | 0.0003 | 0.10 | |||
| September | −0.0199 | −1.66 + | −0.0022 | −0.46 | −0.0032 | −0.72 | |||
| October | −0.0189 | −1.57 | −0.0133 | −2.66 ** | −0.0131 | −3.91 *** | |||
| November | −0.0106 | −1.43 | −0.0103 | −2.27 * | −0.0068 | −1.38 | |||
| December | −0.0131 | −1.16 | −0.0134 | −3.26 *** | −0.0124 | −3.39 *** | |||
| Month | Pettitt test | Pettitt test | Pettitt test | ||||||
| K | p.VA | CPI | K | p.VA | CPI | K | p.VA | CPI | |
| January | 112 | 0.3992 | 1996 | 120 | 0.2930 | 1987 | 104 | 0.5512 | 1984 |
| February | 99 | 0.6638 | 1997 | 166 | 0.0274 * | 1987 | 77 | 0.7386 | 1990 |
| March | 238 | 0.0001 *** | 1988 | 133 | 0.1698 | 1985 | 64 | 0.3772 | 1981 |
| April | 129 | 0.2066 | 1999 | 123 | 0.2730 | 2002 | 57 | 0.2090 | 1985 |
| May | 118 | 0.3320 | 1995 | 167 | 0.0238 * | 1985 | 50 | 0.0848 + | 1987 |
| June | 127 | 0.2112 | 1997 | 162 | 0.0346 * | 1986 | 80 | 0.8334 | 1994 |
| July | 99 | 0.6618 | 1996 | 184 | 0.0108 * | 1987 | 73 | 0.6280 | 2007 |
| August | 113 | 0.4020 | 1995 | 172 | 0.0224 * | 1989 | 74 | 0.6648 | 2006 |
| September | 119 | 0.3114 | 1995 | 178 | 0.0128 * | 1985 | 115 | 0.3828 | 2005 |
| October | 124 | 0.2490 | 1995 | 200 | 0.0038 ** | 1986 | 222 | 0.0006 *** | 1992 |
| November | 117 | 0.3598 | 1995 | 170 | 0.0230 * | 1986 | 86 | 0.9742 | 1992 |
| December | 70 | 0.5544 | 1987 | 210 | 0.001 *** | 1986 | 235 | 0.0002 *** | 1993 |
| Month | Castro | Curitiba | Paranaguá | ||||||
|---|---|---|---|---|---|---|---|---|---|
| W | p.VA | S or NS | W | p.VA | S or NS | W | p.VA | S or NS | |
| January | 0.962 | 0.240 | NS | 0.845 | 0.000 *** | S | 0.932 | 0.030 * | S |
| February | 0.938 | 0.044 * | S | 0.667 | 0.000 *** | S | 0.869 | 0.001 *** | S |
| March | 0.969 | 0.396 | NS | 0.951 | 0.109 | NS | 0.905 | 0.005** | S |
| April | 0.933 | 0.031 * | S | 0.632 | 0.000 *** | S | 0.819 | 0.000 *** | S |
| May | 0.899 | 0.003 ** | S | 0.849 | 0.000 *** | S | 0.741 | 0.000 *** | S |
| June | 0.924 | 0.016 * | S | 0.957 | 0.179 | NS | 0.850 | 0.000 *** | S |
| July | 0.949 | 0.094 + | S | 0.952 | 0.118 | NS | 0.855 | 0.000 *** | S |
| August | 0.926 | 0.020 * | S | 0.878 | 0.001 *** | S | 0.799 | 0.000 *** | S |
| September | 0.969 | 0.390 | NS | 0.971 | 0.464 | S | 0.314 | 0.000 *** | S |
| October | 0.964 | 0.290 | NS | 0.944 | 0.068 + | S | 0.968 | 0.373 | NS |
| November | 0.947 | 0.081 + | S | 0.415 | 0.000 *** | S | 0.446 | 0.000 *** | S |
| December | 0.879 | 0.001 ** | S | 0.956 | 0.159 | NS | 0.964 | 0.286 | NS |
Disclaimer/Publisher’s Note: The statements, opinions and data contained in all publications are solely those of the individual author(s) and contributor(s) and not of MDPI and/or the editor(s). MDPI and/or the editor(s) disclaim responsibility for any injury to people or property resulting from any ideas, methods, instructions or products referred to in the content. |
© 2023 by the authors. Licensee MDPI, Basel, Switzerland. This article is an open access article distributed under the terms and conditions of the Creative Commons Attribution (CC BY) license (https://creativecommons.org/licenses/by/4.0/).
Share and Cite
de Bodas Terassi, P.M.; Correia Filho, W.L.F.; Galvani, E.; Oscar-Júnior, A.C.d.S.; Sobral, B.S.; de Gois, G.; Biffi, V.H.R.; Oliveira Júnior, J.F.d. Wind Characteristics and Temporal Trends in Eastern Paraná State, Brazil. Climate 2023, 11, 69. https://doi.org/10.3390/cli11030069
de Bodas Terassi PM, Correia Filho WLF, Galvani E, Oscar-Júnior ACdS, Sobral BS, de Gois G, Biffi VHR, Oliveira Júnior JFd. Wind Characteristics and Temporal Trends in Eastern Paraná State, Brazil. Climate. 2023; 11(3):69. https://doi.org/10.3390/cli11030069
Chicago/Turabian Stylede Bodas Terassi, Paulo Miguel, Washington Luiz Félix Correia Filho, Emerson Galvani, Antonio Carlos da Silva Oscar-Júnior, Bruno Serafini Sobral, Givanildo de Gois, Vitor Hugo Rosa Biffi, and José Francisco de Oliveira Júnior. 2023. "Wind Characteristics and Temporal Trends in Eastern Paraná State, Brazil" Climate 11, no. 3: 69. https://doi.org/10.3390/cli11030069
APA Stylede Bodas Terassi, P. M., Correia Filho, W. L. F., Galvani, E., Oscar-Júnior, A. C. d. S., Sobral, B. S., de Gois, G., Biffi, V. H. R., & Oliveira Júnior, J. F. d. (2023). Wind Characteristics and Temporal Trends in Eastern Paraná State, Brazil. Climate, 11(3), 69. https://doi.org/10.3390/cli11030069

