Enhancing Efficiency: Halton Draws in the Generalized True Random Effects Model
Abstract
1. Introduction
2. Methods
2.1. Halton Sequences
2.2. The Generalized True Random Effects Model
2.3. Bias and Noise of Simulated Estimators
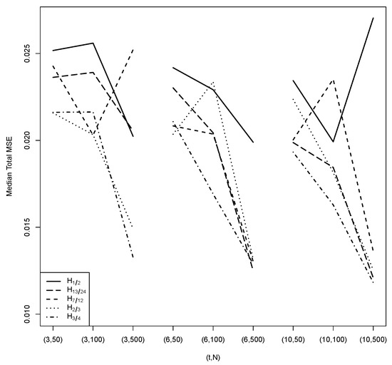
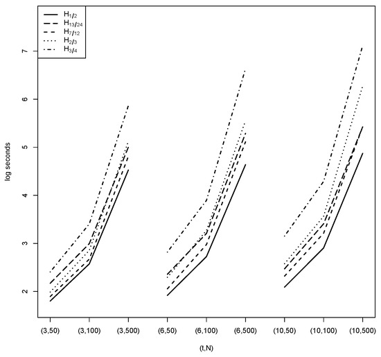
3. Simulation Results
4. Empirical Exercise
4.1. Production Function Application
5. Conclusions
Funding
Data Availability Statement
Acknowledgments
Conflicts of Interest
Appendix A
| Persistent | Transient | Total | |
|---|---|---|---|
| N = 100, t = 3 | 0.014 *** | 0.003 *** | 0.017 *** |
| (0.0004) | (0.0002) | (0.0005) | |
| N = 100, t = 6 | 0.003 *** | 0.001 *** | 0.003 *** |
| (0.0004) | (0.0002) | (0.0004) | |
| N = 50, t = 10 | −0.006 *** | 0.003 *** | −0.003 *** |
| (0.0004) | (0.0002) | (0.0004) | |
| N = 50, t = 3 | 0.005 *** | 0.006 *** | 0.011 *** |
| (0.0004) | (0.0003) | (0.001) | |
| N = 50, t = 6 | −0.003 *** | 0.003 *** | 0.0004 |
| (0.0004) | (0.0002) | (0.0005) | |
| N = 500, t = 10 | 0.001 *** | −0.001 *** | 0.001 * |
| (0.0003) | (0.0002) | (0.0004) | |
| N = 500, t = 3 | 0.015 *** | −0.0001 | 0.015 *** |
| (0.0003) | (0.0002) | (0.0004) | |
| N = 500, t = 6 | −0.0003 | −0.001 *** | −0.001 *** |
| (0.0003) | (0.0002) | (0.0004) | |
| −0.006 *** | −0.00004 | −0.006 *** | |
| (0.0003) | (0.0002) | (0.0004) | |
| −0.005 *** | −0.0002 | −0.006 *** | |
| (0.0003) | (0.0002) | (0.0004) | |
| −0.013 *** | −0.0003 * | −0.014 *** | |
| (0.0003) | (0.0002) | (0.0003) | |
| −0.015 *** | −0.0002 | −0.016 *** | |
| (0.0003) | (0.0002) | (0.0003) | |
| 0.022 *** | −0.008 *** | 0.015 *** | |
| (0.0002) | (0.0002) | (0.0003) | |
| 0.033 *** | −0.019 *** | 0.014 *** | |
| (0.0004) | (0.0002) | (0.0004) | |
| 0.064 *** | 0.0004 *** | 0.065 *** | |
| (0.0002) | (0.0001) | (0.0003) | |
| 0.042 *** | 0.001 *** | 0.042 *** | |
| (0.0003) | (0.0002) | (0.0004) | |
| 0.004 *** | 0.034 *** | 0.039 *** | |
| (0.0002) | (0.0002) | (0.0003) | |
| 0.010 *** | 0.022 *** | 0.032 *** | |
| (0.0003) | (0.0002) | (0.0004) | |
| Constant | −0.054 *** | −0.009 *** | −0.064 *** |
| (0.0004) | (0.0003) | (0.001) | |
| Observations | 720,000 | 720,000 | 720,000 |
| R2 | 0.155 | 0.117 | 0.116 |
| Adjusted R2 | 0.155 | 0.117 | 0.116 |
| Residual Std. Error (df = 719981) | 0.076 | 0.047 | 0.092 |
| F Statistic (df = 18; 719981) | 7347 *** | 5287 *** | 5229 *** |
| Base case average | 0.016 | 0.0069 | 0.0226 |
| Persistent | Transient | Total | |
|---|---|---|---|
| N = 100, t = 3 | 0.067 *** | 0.032 *** | 0.045 *** |
| (0.002) | (0.001) | (0.001) | |
| N = 100, t = 6 | 0.014 *** | 0.009 *** | 0.009 *** |
| (0.002) | (0.001) | (0.001) | |
| N = 50, t = 10 | −0.017 *** | 0.023 *** | −0.004 *** |
| (0.002) | (0.001) | (0.001) | |
| N = 50, t = 3 | 0.033 *** | 0.064 *** | 0.038 *** |
| (0.002) | (0.001) | (0.001) | |
| N = 50, t = 6 | 0.007 *** | 0.034 *** | 0.008 *** |
| (0.002) | (0.001) | (0.001) | |
| N = 500, t = 10 | 0.012 *** | −0.016 *** | −0.0004 |
| (0.002) | (0.001) | (0.001) | |
| N = 500, t = 3 | 0.037 *** | −0.004 *** | 0.030 *** |
| (0.002) | (0.001) | (0.001) | |
| N = 500, t = 6 | −0.004 ** | −0.014 *** | −0.008 *** |
| (0.002) | (0.001) | (0.001) | |
| −0.033 *** | 0.001 | −0.020 *** | |
| (0.001) | (0.001) | (0.001) | |
| −0.025 *** | 0.0003 | −0.018 *** | |
| (0.001) | (0.001) | (0.001) | |
| −0.064 *** | 0.0002 | −0.044 *** | |
| (0.001) | (0.001) | (0.001) | |
| −0.072 *** | 0.001 | −0.048 *** | |
| (0.001) | (0.001) | (0.001) | |
| 0.012 *** | 0.031 *** | 0.052 *** | |
| (0.001) | (0.001) | (0.001) | |
| −0.038 *** | 0.042 *** | 0.039 *** | |
| (0.002) | (0.001) | (0.001) | |
| 0.220 *** | −0.037 *** | 0.161 *** | |
| (0.001) | (0.001) | (0.001) | |
| 0.103 *** | −0.076 *** | 0.068 *** | |
| (0.001) | (0.001) | (0.001) | |
| −0.016 *** | 0.031 *** | 0.100 *** | |
| (0.001) | (0.001) | (0.001) | |
| −0.038 *** | 0.022 *** | 0.099 *** | |
| (0.001) | (0.001) | (0.001) | |
| Constant | 0.436 *** | 0.497 *** | 0.313 *** |
| (0.002) | (0.002) | (0.002) | |
| Observations | 720,000 | 720,000 | 720,000 |
| R2 | 0.080 | 0.016 | 0.086 |
| Adjusted R2 | 0.080 | 0.016 | 0.086 |
| Residual Std. Error (df = 719981) | 0.334 | 0.276 | 0.282 |
| F Statistic (df = 18; 719981) | 3460 *** | 636 *** | 3742 *** |
| Base case average | 0.5674 | 0.5214 | 0.5337 |
| Persistent | Transient | Total | |
|---|---|---|---|
| N = 100, t = 3 | −0.084 *** | −0.052 *** | −0.038 *** |
| (0.001) | (0.0003) | (0.001) | |
| N = 100, t = 6 | −0.030 *** | −0.015 *** | −0.017 *** |
| (0.001) | (0.0002) | (0.001) | |
| N = 50, t = 10 | 0.004 *** | 0.002 *** | −0.010 *** |
| (0.001) | (0.0002) | (0.001) | |
| N = 50, t = 3 | −0.066 *** | −0.066 *** | −0.046 *** |
| (0.001) | (0.0004) | (0.001) | |
| N = 50, t = 6 | −0.033 *** | −0.015 *** | −0.025 *** |
| (0.001) | (0.0002) | (0.001) | |
| N = 500, t = 10 | −0.0003 | 0.0001 | 0.021 *** |
| (0.001) | (0.0001) | (0.001) | |
| N = 500, t = 3 | −0.073 *** | −0.044 *** | −0.021 *** |
| (0.001) | (0.0002) | (0.001) | |
| N = 500, t = 6 | −0.007 *** | −0.011 *** | 0.014 *** |
| (0.001) | (0.0001) | (0.001) | |
| 0.015 *** | 0.002 *** | 0.006 *** | |
| (0.001) | (0.0002) | (0.0004) | |
| 0.007 *** | 0.001 *** | 0.005 *** | |
| (0.001) | (0.0002) | (0.0004) | |
| 0.022 *** | 0.001 *** | 0.010 *** | |
| (0.001) | (0.0002) | (0.0004) | |
| 0.029 *** | 0.002 *** | 0.014 *** | |
| (0.001) | (0.0002) | (0.0004) | |
| 0.137 *** | −0.049 *** | −0.176 *** | |
| (0.001) | (0.0002) | (0.0003) | |
| 0.295 *** | −0.082 *** | −0.032 *** | |
| (0.001) | (0.0003) | (0.001) | |
| 0.172 *** | 0.046 *** | 0.130 *** | |
| (0.0005) | (0.0002) | (0.0003) | |
| 0.557 *** | 0.079 *** | 0.444 *** | |
| (0.001) | (0.0002) | (0.0005) | |
| 0.097 *** | 0.335 *** | 0.167 *** | |
| (0.001) | (0.0002) | (0.0004) | |
| 0.190 *** | 0.728 *** | 0.483 *** | |
| (0.001) | (0.0002) | (0.0004) | |
| Constant | −0.065 *** | 0.143 *** | 0.256 *** |
| (0.001) | (0.0003) | (0.001) | |
| Observations | 720,000 | 720,000 | 720,000 |
| R2 | 0.696 | 0.965 | 0.828 |
| Adjusted R2 | 0.696 | 0.965 | 0.828 |
| Residual Std. Error (df = 719981) | 0.177 | 0.052 | 0.116 |
| F Statistic (df = 18; 719981) | 91,686 *** | 1,097,208 *** | 192,541 *** |
| Base case average | 0.3666 | 0.4681 | 0.5274 |
| x | TE-p | TE-tr | Hours | log ℓ | |||||
|---|---|---|---|---|---|---|---|---|---|
| Original | |||||||||
| 50 | 60 | 1.38 *** | 0.57 *** | 0.81 *** | 0.63 *** | 0.63 | 0.73 | 0.57 | −2707.63 |
| 55 | 90 | 1.39 *** | 0.57 *** | 0.82 *** | 0.49 *** | 0.69 | 0.73 | 0.63 | −2717.54 |
| 60 | 136 | 1.40 *** | 0.57 *** | 0.72 *** | 0.47 *** | 0.70 | 0.73 | 0.77 | −2690.55 |
| 65 | 204 | 1.39 *** | 0.57 *** | 0.74 *** | 0.46 *** | 0.71 | 0.73 | 1.02 | −2688.93 |
| 70 | 306 | 1.39 *** | 0.57 *** | 0.81 *** | 0.00 | 1.00 | 0.73 | 1.18 | −2688.94 |
| 75 | 461 | 1.39 *** | 0.57 *** | 0.81 *** | 0.00 | 1.00 | 0.73 | 2.11 | −2690.57 |
| 77 | 537 | 1.41 *** | 0.57 *** | 0.74 *** | 0.29 *** | 0.80 | 0.73 | 2.51 | −2673.41 |
| 80 | 693 | 1.41 *** | 0.57 *** | 0.73 *** | 0.34 * | 0.77 | 0.73 | 4.07 | −2674.24 |
| 85 | 1043 | 1.40 *** | 0.57 *** | 0.73 *** | 0.24 *** | 0.83 | 0.73 | 5.81 | −2667.48 |
| 90 | 1569 | 1.40 *** | 0.57 *** | 0.73 *** | 0.24 *** | 0.83 | 0.73 | 7.20 | −2668.59 |
| 95 | 2361 | 1.40 *** | 0.57 *** | 0.67 *** | 0.39 *** | 0.75 | 0.73 | 10.79 | −2655.32 |
| 100 | 3553 | 1.40 *** | 0.57 *** | 0.67 *** | 0.41 *** | 0.74 | 0.73 | 21.48 | −2656.65 |
| 105 | 5348 | 1.40 *** | 0.57 *** | 0.67 *** | 0.40 *** | 0.74 | 0.73 | 20.91 | −2657.81 |
| Original and discards | |||||||||
| 50 | 60 | 1.33 *** | 0.56 *** | 0.75 *** | 0.34 *** | 0.77 | 0.73 | 0.50 | −2665.92 |
| 55 | 90 | 1.39 *** | 0.57 *** | 0.74 *** | 0.25 *** | 0.82 | 0.73 | 0.54 | −2657.04 |
| 60 | 136 | 1.39 *** | 0.57 *** | 0.74 *** | 0.20 *** | 0.86 | 0.73 | 0.81 | −2663.08 |
| 65 | 204 | 1.38 *** | 0.57 *** | 0.73 *** | 0.20 *** | 0.86 | 0.73 | 0.93 | −2661.53 |
| 70 | 306 | 1.39 *** | 0.57 *** | 0.74 *** | 0.23 *** | 0.84 | 0.73 | 1.23 | −2662.50 |
| 75 | 461 | 1.39 *** | 0.57 *** | 0.74 *** | 0.21 *** | 0.85 | 0.73 | 1.81 | −2664.80 |
| 77 | 537 | 1.39 *** | 0.57 *** | 0.74 *** | 0.22 *** | 0.84 | 0.73 | 2.25 | −2665.28 |
| 80 | 693 | 1.39 *** | 0.57 *** | 0.74 *** | 0.21 *** | 0.85 | 0.73 | 3.41 | −2666.52 |
| 85 | 1043 | 1.40 *** | 0.57 *** | 0.74 *** | 0.20 ** | 0.86 | 0.73 | 4.29 | −2667.67 |
| 90 | 1569 | 1.40 *** | 0.57 *** | 0.68 *** | 0.33 *** | 0.78 | 0.73 | 6.68 | −2654.69 |
| 95 | 2361 | 1.40 *** | 0.57 *** | 0.67 *** | 0.39 *** | 0.75 | 0.73 | 10.56 | −2655.53 |
| 100 | 3553 | 1.40 *** | 0.57 *** | 0.67 *** | 0.39 *** | 0.74 | 0.73 | 13.62 | −2656.49 |
| 105 | 5348 | 1.40 *** | 0.57 *** | 0.67 *** | 0.38 *** | 0.75 | 0.73 | 18.78 | −2657.66 |
| Original and discards and antithetic draws | |||||||||
| 50 | 60 | 1.31 *** | 0.56 *** | 0.71 *** | 0.05 | 0.96 | 0.73 | 1.03 | −2663.30 |
| 55 | 90 | 1.38 *** | 0.57 *** | 0.72 *** | 0.18 | 0.87 | 0.73 | 0.88 | −2656.84 |
| 60 | 136 | 1.38 *** | 0.57 *** | 0.71 *** | 0.16 ** | 0.88 | 0.73 | 1.24 | −2660.55 |
| 65 | 204 | 1.38 *** | 0.57 *** | 0.71 *** | 0.22 * | 0.84 | 0.73 | 1.80 | −2658.58 |
| 70 | 306 | 1.39 *** | 0.57 *** | 0.72 *** | 0.21 *** | 0.85 | 0.73 | 3.27 | −2659.19 |
| 75 | 461 | 1.39 *** | 0.57 *** | 0.72 *** | 0.21 *** | 0.85 | 0.73 | 4.14 | −2660.35 |
| 77 | 537 | 1.39 *** | 0.57 *** | 0.72 *** | 0.20 *** | 0.85 | 0.73 | 5.58 | −2660.92 |
| 80 | 693 | 1.39 *** | 0.57 *** | 0.72 *** | 0.20 *** | 0.85 | 0.73 | 6.00 | −2662.10 |
| 85 | 1043 | 1.39 *** | 0.57 *** | 0.72 *** | 0.21 ** | 0.85 | 0.73 | 6.94 | −2663.24 |
| 90 | 1569 | 1.40 *** | 0.57 *** | 0.70 *** | 0.22 ** | 0.84 | 0.73 | 11.86 | -2656.61 |
| 95 | 2361 | 1.40 *** | 0.57 *** | 0.70 *** | 0.24 | 0.83 | 0.73 | 20.52 | −2657.83 |
| 100 | 3553 | 1.40 *** | 0.57 *** | 0.65 *** | 0.37 *** | 0.76 | 0.73 | 28.32 | −2652.80 |
| 105 | 5348 | 1.40 *** | 0.57 *** | 0.66 *** | 0.37 *** | 0.76 | 0.73 | 47.28 | −2653.92 |
| 1 | Full information on maximum likelihood estimation can be complex to implement and time-consuming for the GTRE. |
| 2 | With 399,000 results for “stochastic frontier analysis” on Google Scholar (conducted on 9 October 2024), the field is mature and very broadly applied. For the four-component model, Martini et al. (2024) measured persistent and transient productive efficiency in the African airline industry, Badunenko and Kumbhakar (2017) measured the effects of regulation in the banking sector, and Bernstein (2020) measured persistent and transient efficiency in the electricity sector. As the four-component model has been developed and coded more recently, the scope of stochastic frontier models can more readily be seen in earlier models of the Aigner et al. (1977) variety. In the cross-sectional (and pooled-cross-sectional) realm, there are many examples of applications of stochastic frontier analysis. For instance, Cullinane and Song (2006) estimated the technical efficiency of container ports in the United Kingdom, Mastromarco and Ghosh (2009) measured the technical efficiency of real GDP in developing countries, Lin and Long (2015) measured the energy efficiency of China’s chemical industry, Fenn et al. (2008) measured the efficiency of European insurance companies, Charoenrat and Harvie (2014) measured the efficiency of small- and medium-sized enterprises in the Thai manufacturing sector, Kraft and Tırtıroğlu (1998) measured bank efficiency in Croatia, D’Errico (2024) measured environmental–economic efficiency in OECD countries, Lamb and Tee (2024) applied stochastic frontier methods in modeling investment performance of the FTSE, S&P, and FTSE, and Last and Wetzel (2010) measured the efficiency of German public theaters. Last and Wetzel (2010) also estimated the true random effects panel data model, with and without the Mundlak formulation. The broad scope of these cross-sectional examples could readily be applied to panel models, assuming data availability. See Parmeter and Kumbhakar (2014) and Kumbhakar et al. (2020) for a review of recent advances. |
| 3 | is defined as the ceiling operator. |
| 4 | Andor et al. (2019) discusses issues surrounding upward bias from a regulatory perspective. |
| 5 | Halton draws are selected herein, as utilized by Filippini and Greene (2016); however, other quasi-random sequences could be examined, including the Sobol sequences or Hammersley sets. |
| 6 | |
| 7 | The Halton sequences are generated via the halton call in the randtoolbox package for R (R Core Team 2024). The sequences are then passed through the qnorm call via the stats package, as explained in the halton call R Documentation, and the absolute value is taken for the ’s, as shown in Equation (4). This approach follows Filippini and Greene (2016), as they note on page 192. An anonymous referee pointed out that a more direct approach would be to transform the Halton draws via the half-normal quantile function as a way to possibly reduce clustering of the “folded” draws and to potentially improve performance. The benefits of this approach are explored in Section 4. |
| 8 | This integration is implemented via the ptmvnorm call in the tmvtnorm package. Equation (5) is the panel analogue to the cross-sectional approach of Battese and Coelli (1995). |
| 9 | Computations were conducted in R, in a simulation version of the sfm() package. The general package is available at https://github.com/davidhbernstein/sfm. |
| 10 | The total implied run-time for the 720,000 simulations herein was 3.99 years, of which took 47 percent of the time. These simulations were generally run in parallel with at least eight cores and on multiple machines, dramatically decreasing the overall time to obtain these results. The results for ran with a slightly different setup, causing it to take more time than expected. |
| 11 | These percentage estimates were significant at the 0.01 percent level in each regression with 720,000 observations. The log-linear regression coefficients in Table 2 are transformed viz for more precise percentage interpretations in the text. |
| 12 | The correlation was taken after was transformed to standard normal draws and was transformed to half-normal draws via , which was implemented via the erfinv command in the pracma package. |
| 13 | These enhancements are now implemented into version 4.0 of the sfm package for the GTRE model. The random samples are generated from the base R sample command. |
| 14 | |
| 15 | |
| 16 | No model runs required more than one million function evaluations. |
| 17 | The confidence intervals are computed in the usual way via . For in the enhanced case, standard errors were not calculable (as omitted from Figure 4) from the numerical Hessian for and the intercept. Bootstrap methods could be utilized to compute standard errors in practice, but are not utilized herein. |
| 18 | These additional parameter plots are omitted, as they are very similar to the ln NG case, but they are available upon request. |
| 19 |
References
- Aigner, Dennis, C. A. Knox Lovell, and Perter Schmidt. 1977. Formulation and estimation of stochastic frontier production models. Journal of Econometrics 6: 21–37. [Google Scholar] [CrossRef]
- Andor, Mark A., Christopher Parmeter, and Sommer Stephan. 2019. Combining uncertainty with uncertainty to get certainty? Efficiency analysis for regulation purposes. European Journal of Operational Research 274: 240–52. [Google Scholar] [CrossRef]
- Andor, Mark A., David H. Bernstein, Christopher F. Parmeter, and Sommer Stephan. 2023. Internal Meta-Analysis for Monte Carlo Simulations. Essen: RUHR Economic Papers. [Google Scholar]
- Badunenko, Oleg, and Subal C. Kumbhakar. 2016. When, where and how to estimate persistent and transient efficiency in stochastic frontier panel data models. European Journal of Operational Research 255: 272–87. [Google Scholar] [CrossRef]
- Badunenko, Oleg, and Subal C. Kumbhakar. 2017. Economies of scale, technical change and persistent and time-varying cost efficiency in Indian banking: Do ownership, regulation and heterogeneity matter? European Journal of Operational Research 260: 789–803. [Google Scholar] [CrossRef]
- Battese, George E., and Timothy J. Coelli. 1995. A model for technical inefficiency effects in a stochastic frontier production function for panel data. Empirical Economics 20: 325–32. [Google Scholar] [CrossRef]
- Bernstein, David H. 2020. An updated assessment of technical efficiency and returns to scale for U.S. electric power plants. Energy Policy 147: 111896. [Google Scholar] [CrossRef]
- Butler, John S., and Robert Moffitt. 1982. A Computationally Efficient Quadrature Procedure for the One-Factor Multinomial Probit Model. Econometrica 50: 761–64. [Google Scholar] [CrossRef]
- Charoenrat, Teerawat, and Charles Harvie. 2014. The efficiency of SMEs in Thai manufacturing: A stochastic frontier analysis. Economic Modelling 43: 372–93. [Google Scholar] [CrossRef]
- Colombi, Roberto. 2010. A skew normal stochastic frontier model for panel data. In Proceedings of the 45-th Scientific Meeting of the Italian Statistical Society. Padua: CLEUP. [Google Scholar]
- Colombi, Roberto, Gianmaria Martini, and Giorgio Vittadini. 2011. A Stochastic Frontier Model with Short-Run and Long-Run Inefficiency Random Effects. Working Paper Series; Bergamo: Department of Economics and Technology Management, University of Bergamo. [Google Scholar]
- Colombi, Roberto, Subal C. Kumbhakar, Gianmaria Martini, and Giorgio Vittadini. 2014. Closed-Skew Normality in Stochastic Frontiers with Individual Effects and Long/Short-Run Efficiency. Journal of Productivity Analysis 42: 123–36. [Google Scholar] [CrossRef]
- Cullinane, Kevin, and Dong-Wook Song. 2006. Estimating the Relative Efficiency of European Container Ports: A Stochastic Frontier Analysis. Research in Transportation Economics 16: 85–115. [Google Scholar] [CrossRef]
- D’Errico, Maria Chiara. 2024. Sustainable economic growth and energy security nexus: A stochastic frontier analysis across OECD countries. Energy Economics 132: 107447. [Google Scholar] [CrossRef]
- Fenn Paul, Dev Vencappa, Stephen Diacon, Paul Klumpes, and Chris O’Brien. 2008. Market structure and the efficiency of European insurance companies: A stochastic frontier analysis. Journal of Banking & Finance 32: 86–100. [Google Scholar]
- Filippini, Massimo, and William Greene. 2016. Persistent and transient productive inefficiency: A maximum simulated likelihood approach. Journal of Productivity Analysis 45: 187–96. [Google Scholar] [CrossRef]
- Greene, William. 2003. Simulated Likelihood Estimation of the Normal-Gamma Stochastic Frontier Function. Journal of Productivity Analysis 19: 179–90. [Google Scholar] [CrossRef]
- Halton, John H. 1960. On the efficiency of certain quasi-random sequences of points in evaluating multi-dimensional integrals. Numerische Mathematik 2: 84–90. [Google Scholar] [CrossRef]
- Kraft, Evan, and Doğan Tırtıroğlu. 1998. Bank Efficiency in Croatia: A Stochastic-Frontier Analysis. Journal of Comparative Economics 26: 282–300. [Google Scholar] [CrossRef]
- Kumbhakar, Subal C., Christopher F. Parmeter, and Valentin Zelenyuk. 2020. Stochastic Frontier Analysis: Foundations and Advances I. In Handbook of Production Economics. Singapore: Springer, pp. 1–40. [Google Scholar]
- Kumbhakar, Subal C., Gudbrand Lien, and J. Brian Hardaker. 2014. Technical Efficiency in Competing Panel Data Models: A Study of Norwegian Grain Farming. Journal of Productivity Analysis 41: 321–37. [Google Scholar] [CrossRef]
- Lamb, John D., and Kai-Hong Tee. 2024. Using stochastic frontier analysis instead of data envelopment analysis in modelling investment performance. Annals of Operations Research 332: 891–907. [Google Scholar] [CrossRef]
- Last, Anne-Kathrin, and Heike Wetzel. 2010. The efficiency of German public theaters: A stochastic frontier analysis approach. Journal of Cultural Economics 34: 89–110. [Google Scholar] [CrossRef]
- Lee, Lung-Fei. 1992. On Efficiency of Methods of Simulated Moments and Maximum Simulated Likelihood Estimation of Discrete Response Models. Econometric Theory 8: 518–52. [Google Scholar] [CrossRef]
- Lin, Boqiang, and Houyin Long. 2015. A stochastic frontier analysis of energy efficiency of China’s chemical industry. Journal of Cleaner Production 87: 235–44. [Google Scholar] [CrossRef]
- Martini, Gianmaria, Flavio Porta, and Davide Scotti. 2024. Persistent and transient productive efficiency in the African airline industry. Journal of Productivity Analysis 61: 259–78. [Google Scholar] [CrossRef] [PubMed]
- Mastromarco, Camilla, and Sucharita Ghosh. 2009. Foreign Capital, Human Capital, and Efficiency: A Stochastic Frontier Analysis for Developing Countries. World Development 37: 489–502. [Google Scholar] [CrossRef]
- McFadden, Daniel. 1989. A Method of Simulated Moments for Estimation of Discrete Response Models without Numerical Integration. Econometrica 57: 995–1026. [Google Scholar] [CrossRef]
- Meeusen, Wim, and Julien van Den Broeck. 1977. Efficiency estimation from Cobb-Douglas production functions with composed error. International Economic Review 18: 435–44. [Google Scholar] [CrossRef]
- Parmeter, Christopher F., and Subal C. Kumbhakar. 2014. Efficiency Analysis: A Primer on Recent Advances. Foundations and Trends in Econometrics 7: 191–385. [Google Scholar] [CrossRef]
- R Core Team. 2024. R: A Language and Environment for Statistical Computing. Vienna: R Core Team. [Google Scholar]
- Train, Kenneth E. 2009. Discrete Choice Methods with Simulation. Cambridge, MA: Cambridge University Press, vol. 2. [Google Scholar]





| Scenario | |||||||
|---|---|---|---|---|---|---|---|
| 1 | 1 | 1 | 1 | ||||
| 2 | 1 | 5 | |||||
| 3 | 5 | 1 | 5 | ||||
| 4 | 5 | 5 | 1 | ||||
| 5 | 1 | 1 | |||||
| 6 | 1 | 1 | |||||
| 7 | 5 | 5 | |||||
| 8 | 5 | 1 | 1 | ||||
| 9 | 1 | 1 | |||||
| 10 | 5 | ||||||
| 11 | 1 | 1 | 5 | ||||
| 12 | 1 | 5 | 1 | ||||
| 13 | 1 | ||||||
| 14 | 1 | ||||||
| 15 | 1 | 5 | |||||
| 16 | 1 | 1 | 1 |
| Persistent | Transient | Total | |
|---|---|---|---|
| N = 100, t = 3 | 0.265 *** | 0.430 *** | 0.259 *** |
| (0.006) | (0.005) | (0.005) | |
| N = 100, t = 6 | 0.106 *** | 0.154 *** | 0.104 *** |
| (0.006) | (0.005) | (0.005) | |
| N = 50, t = 10 | 0.148 *** | 0.097 *** | 0.142 *** |
| (0.006) | (0.005) | (0.005) | |
| N = 50, t = 3 | 0.353 *** | 0.589 *** | 0.401 *** |
| (0.006) | (0.005) | (0.005) | |
| N = 50, t = 6 | 0.244 *** | 0.275 *** | 0.245 *** |
| (0.006) | (0.005) | (0.005) | |
| N = 500, t = 10 | −0.167 *** | −0.156 *** | −0.198 *** |
| (0.005) | (0.004) | (0.005) | |
| N = 500, t = 3 | 0.054 *** | 0.171 *** | −0.013 ** |
| (0.006) | (0.005) | (0.005) | |
| N = 500, t = 6 | −0.131 *** | −0.048 *** | −0.161 *** |
| (0.005) | (0.004) | (0.005) | |
| −0.030 *** | −0.011 *** | −0.040 *** | |
| (0.004) | (0.004) | (0.004) | |
| 0.003 | −0.011 *** | −0.020 *** | |
| (0.005) | (0.004) | (0.004) | |
| −0.016 *** | −0.017 *** | −0.050 *** | |
| (0.004) | (0.004) | (0.004) | |
| −0.033 *** | −0.021 *** | −0.063 *** | |
| (0.004) | (0.004) | (0.004) | |
| 1.167 *** | −1.257 *** | −0.070 *** | |
| (0.004) | (0.003) | (0.003) | |
| 2.208 *** | −2.563 *** | 0.305 *** | |
| (0.005) | (0.003) | (0.004) | |
| −0.316 *** | 0.532 *** | −0.043 *** | |
| (0.004) | (0.003) | (0.003) | |
| −1.025 *** | 1.154 *** | −0.653 *** | |
| (0.005) | (0.003) | (0.004) | |
| 0.358 *** | −0.694 *** | 0.003 | |
| (0.004) | (0.003) | (0.003) | |
| 0.845 *** | −1.406 *** | −0.349 *** | |
| (0.004) | (0.003) | (0.004) | |
| Constant | −6.782 *** | −4.741 *** | −4.905 *** |
| (0.007) | (0.005) | (0.006) | |
| Observations | 720,000 | 720,000 | 720,000 |
| R2 | 0.197 | 0.337 | 0.118 |
| Adjusted R2 | 0.197 | 0.337 | 0.118 |
| Residual Std. Error (df = 719981) | 1.200 | 0.955 | 1.040 |
| F Statistic (df = 18; 719981) | 9827 *** | 20,372 *** | 5342 *** |
| Base case average | 0.0095 | 0.0049 | 0.0117 |
| Y | K | L | Oil | NG | |
|---|---|---|---|---|---|
| units | kWh/103 | MW (h) | employees | barrels/103 | Mcf/103 |
| mean | 483,178 | 432 | 26 | 76 | 6072 |
| sd | 576,553 | 421 | 28 | 619 | 10,965 |
| min | 1018 | 6 | 1 | 0 | 2 |
| max | 2,145,656 | 2764 | 214 | 24,331 | 154,002 |
| Observations (unbalanced panel) | |||||
| x | TE-p | TE-tr | Hours | log ℓ | |||||
|---|---|---|---|---|---|---|---|---|---|
| Original | |||||||||
| 50 | 60 | 1.38 *** | 0.57 *** | 0.81 *** | 0.63 *** | 0.63 | 0.73 | 0.57 | −2707.63 |
| 55 | 90 | 1.39 *** | 0.57 *** | 0.82 *** | 0.49 *** | 0.69 | 0.73 | 0.63 | −2717.54 |
| 60 | 136 | 1.40 *** | 0.57 *** | 0.72 *** | 0.47 *** | 0.70 | 0.73 | 0.77 | −2690.55 |
| 65 | 204 | 1.39 *** | 0.57 *** | 0.74 *** | 0.46 *** | 0.71 | 0.73 | 1.02 | −2688.93 |
| 70 | 306 | 1.39 *** | 0.57 *** | 0.81 *** | 0.00 | 1.00 | 0.73 | 1.18 | −2688.94 |
| 75 | 461 | 1.39 *** | 0.57 *** | 0.81 *** | 0.00 | 1.00 | 0.73 | 2.11 | −2690.57 |
| 77 | 537 | 1.41 *** | 0.57 *** | 0.74 *** | 0.29 *** | 0.80 | 0.73 | 2.51 | −2673.41 |
| 80 | 693 | 1.41 *** | 0.57 *** | 0.73 *** | 0.34 * | 0.77 | 0.73 | 4.07 | −2674.24 |
| 85 | 1043 | 1.40 *** | 0.57 *** | 0.73 *** | 0.24 *** | 0.83 | 0.73 | 5.81 | −2667.48 |
| 90 | 1569 | 1.40 *** | 0.57 *** | 0.73 *** | 0.24 *** | 0.83 | 0.73 | 7.20 | −2668.59 |
| 95 | 2361 | 1.40 *** | 0.57 *** | 0.67 *** | 0.39 *** | 0.75 | 0.73 | 10.79 | −2655.32 |
| 100 | 3553 | 1.40 *** | 0.57 *** | 0.67 *** | 0.41 *** | 0.74 | 0.73 | 21.48 | −2656.65 |
| 105 | 5348 | 1.40 *** | 0.57 *** | 0.67 *** | 0.40 *** | 0.74 | 0.73 | 20.91 | −2657.81 |
| Original and Enhancements | |||||||||
| 50 | 60 | 1.28 *** | 0.56 *** | 0.71 *** | 0.32 *** | 0.78 | 0.74 | 0.90 | −2661.90 |
| 55 | 90 | 1.36 *** | 0.57 *** | 0.73 *** | 0.12 ** | 0.91 | 0.73 | 0.79 | −2656.36 |
| 60 | 136 | 1.39 *** | 0.57 *** | 0.74 *** | 0.00 | 1.00 | 0.73 | 0.90 | −2662.65 |
| 65 | 204 | 1.40 *** | 0.57 *** | 0.73 *** | 0.08 | 0.94 | 0.73 | 1.58 | −2660.55 |
| 70 | 306 | 1.40 *** | 0.57 *** | 0.73 *** | 0.07 | 0.95 | 0.73 | 2.32 | −2661.22 |
| 75 | 461 | 1.40 *** | 0.57 *** | 0.74 *** | 0.00 | 1.00 | 0.73 | 3.72 | −2663.09 |
| 77 | 537 | 1.39 *** | 0.57 *** | 0.72 *** | 0.20 * | 0.86 | 0.73 | 5.04 | −2661.04 |
| 80 | 693 | 1.40 *** | 0.57 *** | 0.73 *** | 0.11 * | 0.92 | 0.73 | 6.18 | −2663.44 |
| 85 | 1043 | 1.40 *** | 0.57 *** | 0.73 *** | 0.14 ** | 0.90 | 0.73 | 6.73 | −2664.02 |
| 90 | 1569 | 1.40 *** | 0.57 *** | 0.72 *** | 0.14 * | 0.90 | 0.73 | 12.43 | −2657.93 |
| 95 | 2361 | 1.41 *** | 0.57 *** | 0.70 *** | 0.21 ** | 0.85 | 0.73 | 16.31 | −2657.61 |
| 100 | 3553 | 1.40 *** | 0.57 *** | 0.68 *** | 0.30 *** | 0.80 | 0.73 | 27.60 | −2654.04 |
| 105 | 5348 | 1.40 *** | 0.57 *** | 0.70 | 0.00 | 1.00 | 0.73 | 38.64 | −2655.33 |
Disclaimer/Publisher’s Note: The statements, opinions and data contained in all publications are solely those of the individual author(s) and contributor(s) and not of MDPI and/or the editor(s). MDPI and/or the editor(s) disclaim responsibility for any injury to people or property resulting from any ideas, methods, instructions or products referred to in the content. |
© 2024 by the author. Licensee MDPI, Basel, Switzerland. This article is an open access article distributed under the terms and conditions of the Creative Commons Attribution (CC BY) license (https://creativecommons.org/licenses/by/4.0/).
Share and Cite
Bernstein, D.H. Enhancing Efficiency: Halton Draws in the Generalized True Random Effects Model. Econometrics 2024, 12, 32. https://doi.org/10.3390/econometrics12040032
Bernstein DH. Enhancing Efficiency: Halton Draws in the Generalized True Random Effects Model. Econometrics. 2024; 12(4):32. https://doi.org/10.3390/econometrics12040032
Chicago/Turabian StyleBernstein, David H. 2024. "Enhancing Efficiency: Halton Draws in the Generalized True Random Effects Model" Econometrics 12, no. 4: 32. https://doi.org/10.3390/econometrics12040032
APA StyleBernstein, D. H. (2024). Enhancing Efficiency: Halton Draws in the Generalized True Random Effects Model. Econometrics, 12(4), 32. https://doi.org/10.3390/econometrics12040032
