Effects of Drought and Salinity on Two Commercial Varieties of Lavandula angustifolia Mill
Abstract
1. Introduction
2. Results
2.1. Substrate Analysis
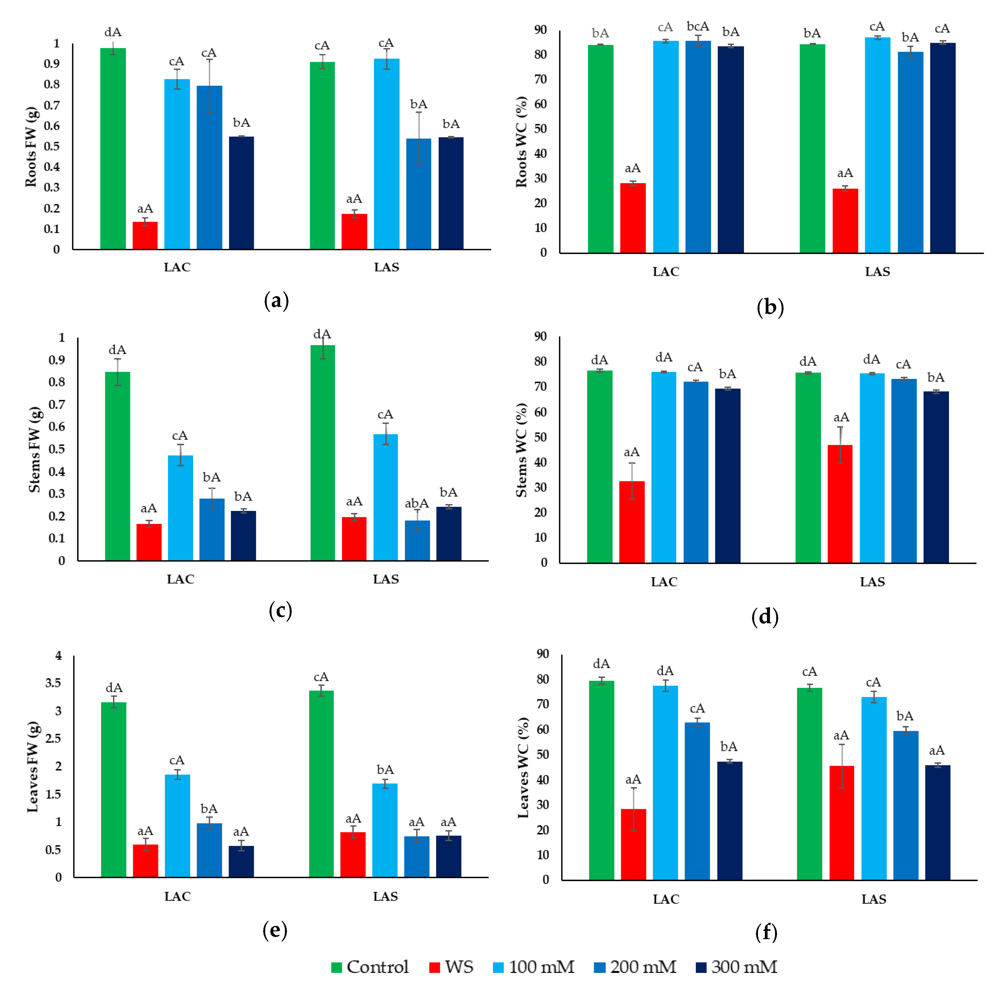
2.2. Plant Growth Analysis
2.3. Photosynthetic Pigments
2.4. Ions Content Variation in Response to Stress
2.5. Osmolyte Levels
2.6. Multivariate Analysis
3. Discussion
3.1. Plant Growth and Photosynthetic Pigments
3.2. Ion Accumulation
3.3. Osmolyte Synthesis
3.4. Comparison between the Two Lavender Varieties
4. Materials and Methods
4.1. Plant Material, Seedling Growth and Stress Treatments
4.2. Plant Growth Parameters
4.3. Photosynthetic Pigments
4.4. Ion Accumulation
4.5. Osmolyte Quantification
4.6. Statistical Analysis
5. Conclusions
Author Contributions
Funding
Acknowledgments
Conflicts of Interest
References
- Fita, A.; Rodríguez-Burruezo, A.; Boscaiu, M.; Prohens, J.; Vicente, O. Breeding and domesticating crops adapted to drought and salinity: A new paradigm for increasing food production. Front. Plant Sci. 2015, 6, 1748. [Google Scholar] [CrossRef] [PubMed]
- Fu, Q.; Li, B.; Hou, Y.; Bi, X.; Zhang, X. Effects of land use and climate change on ecosystem services in Central Asia’s arid regions: A case study in Altay Prefecture, China. Sci. Total Environ. 2017, 607, 633–646. [Google Scholar] [CrossRef] [PubMed]
- Faour-Klingbeil, D.; Todd, E.C.D. The impact of climate change on raw and untreated wastewater use for agriculture, especially in arid regions: A review. Foodborne Pathog. Dis. 2018, 15, 61–72. [Google Scholar] [CrossRef] [PubMed]
- Min, Y.K.; Su, Y.W. Plants responses to drought and shade environments. Afr. J. Biotechnol. 2016, 15, 29–31. [Google Scholar] [CrossRef]
- Avramova, V.; Abdel Gawad, H.; Zhang, Z.; Fotschki, B.; Casadevall, R.; Vergauwen, L.; Knapen, D.; Taleisnik, E.; Guisez, Y.; Asard, H.; et al. Drought induces distinct growth response, protection, and recovery mechanisms in the maize leaf growth zone. Plant Physiol. 2015, 169, 1382–1396. [Google Scholar] [CrossRef]
- Potopová, V.; Boroneanţ, C.; Boincean, B.; Soukup, J. Impact of agricultural drought on main crop yields in the Republic of Moldova. Int. J. Clim. 2015, 36, 2063–2082. [Google Scholar] [CrossRef]
- Kaur, G.; Asthir, B. Molecular responses to drought stress in plants. Biol. Plant. 2016, 61, 201–209. [Google Scholar] [CrossRef]
- Acosta-Motos, J.R.; Ortuño, M.F.; Bernal-Vicente, A.; Diaz-Vivancos, P.; Sánchez-Blanco, M.J.; Hernandez, J.A. Plant responses to salt stress: Adaptive mechanisms. Agronomy 2017, 7, 18. [Google Scholar] [CrossRef]
- Forni, C.; Duca, D.; Glick, B.R. Mechanisms of plant response to salt and drought stress and their alteration by rhizobacteria. Plant Soil 2016, 410, 335–356. [Google Scholar] [CrossRef]
- Yang, Y.; Guo, Y. Elucidating the molecular mechanisms mediating plant salt-stress responses. New Phytol. 2017, 217, 523–539. [Google Scholar] [CrossRef]
- Mittal, N.; Thakur, S.; Verma, H.; Kaur, A. Interactive effect of salinity and ascorbic acid on Brassica rapa L. plants. GJBB 2018, 7, 27–29. [Google Scholar]
- Rao, M.P.N.; Dong, Z.-Y.; Xiao, M.; Li, W.-J. Effect of salt stress on plants and role of microbes in promoting plant growth under salt stress. In Biocontrol of Lepidopteran Pests; Springer: Cham, Germany, 2019; pp. 423–435. [Google Scholar]
- Sun, Z.W.; Ren, L.K.; Fan, J.W.; Li, Q.; Wang, K.J.; Guo, M.M.; Wang, L.; Li, J.; Zhang, G.X.; Yang, Z.Y.; et al. Salt response of photosynthetic electron transport system in wheat cultivars with contrasting tolerance. Plant Soil Environ. 2016, 62, 515–521. [Google Scholar] [CrossRef]
- Zhu, J.-K. Abiotic stress signaling and responses in plants. Cell 2016, 167, 313–324. [Google Scholar] [CrossRef] [PubMed]
- Ahanger, M.A.; Tomar, N.S.; Tittal, M.; Argal, S.; Agarwal, R.M. Plant growth under water/salt stress: ROS production; antioxidants and significance of added potassium under such conditions. Physiol. Mol. Biol. Plants 2017, 23, 731–744. [Google Scholar] [CrossRef] [PubMed]
- Slama, I.; Abdelly, C.; Bouchereau, A.; Flowers, T.; Savoure, A. Diversity, distribution and roles of osmoprotective compounds accumulated in halophytes under abiotic stress. Ann. Bot. 2015, 115, 433–447. [Google Scholar] [CrossRef] [PubMed]
- Nahar, K.; Hasanuzzaman, M.; Fujita, M. Roles of Osmolytes in Plant Adaptation to Drought and Salinity; Springer: New Delhi, India, 2016; pp. 37–68. [Google Scholar]
- Suprasanna, P.; Nikalje, G.; Rai, A.N. Osmolyte Accumulation and Implications in Plant Abiotic Stress Tolerance; Springer: New Delhi, India, 2016; pp. 1–12. [Google Scholar]
- Apel, K.; Hirt, H. Reactive oxygen species: Metabolism, oxidative stress, and signal transduction. Annu. Rev. Plant Boil. 2004, 55, 373–399. [Google Scholar] [CrossRef]
- Al Hassan, M.; Fuertes, M.M.; Sánchez, F.J.R.; Vicente, O.; Boscaiu, M. Effects of salt and water stress on plant growth and on accumulation of osmolytes and antioxidant compounds in cherry tomato. Not. Bot. Horti Agrobot. Cluj-Napoca 2015, 43, 1–11. [Google Scholar] [CrossRef]
- Al Hassan, M.; Chaura, J.; Donat-Torres, M.P.; Boscaiu, M.; Vicente, O. Antioxidant responses under salinity and drought in three closely related wild monocots with different ecological optima. AoB Plants 2017, 9, plx009. [Google Scholar] [CrossRef]
- Fardus, J.; Matin, A.; Hossain, S.; Nath, S.D.; Hossain, A.; Rohman, M.; Hasanuzzaman, M.; Hasanuzzaman, M. Exogenous salicylic acid-mediated physiological responses and improvement in yield by modulating antioxidant defense system of wheat under salinity. Not. Sci. Biol. 2017, 9, 219–232. [Google Scholar] [CrossRef]
- Guo, M.; Liu, J.-H.; Ma, X.; Luo, D.-X.; Gong, Z.-H.; Lu, M.-H. The plant heat stress transcription factors (hsfs): Structure, regulation, and function in response to abiotic stresses. Front. Plant Sci. 2016, 7, 385. [Google Scholar] [CrossRef]
- Zhang, D.; Tong, J.; He, X.; Xu, Z.; Xu, L.; Wei, P.; Huang, Y.; Brestic, M.; Ma, H.; Shao, H. A novel soybean intrinsic protein gene, gmtip2;3, involved in responding to osmotic stress. Front. Plant Sci. 2016, 6, 421. [Google Scholar] [CrossRef] [PubMed]
- Munns, R.; Tester, M. Mechanisms of salinity tolerance. Annu. Rev. Plant Boil. 2008, 59, 651–681. [Google Scholar] [CrossRef] [PubMed]
- The Plant List, Version 1, Published on the Internet. Available online: http://www.theplantlist.org/ (accessed on 27 February 2020).
- Benabdelkader, T.; Zitouni, A.; Guitton, Y.; Jullien, F.; Maitre, D.; Casabianca, H.; Legendre, L.; Kameli, A. Essential oils from wild populations of Algerian Lavandula stoechas L.: Composition, chemical variability, and in vitro biological properties. Chem. Biodivers. 2011, 8, 937–953. [Google Scholar] [CrossRef] [PubMed]
- Koulivand, P.H.; Ghadiri, M.K.; Gorji, A. Lavender and the nervous system. Evid.-Based Complement Altern. Med. 2013, 2013. [Google Scholar] [CrossRef] [PubMed]
- Mokhtarzadeh, S.; Hajyzadeh, M.; Ahmad, H.; Khawar, K.M. The problems in acclimatisation of in vitro multiplied plants of Lavandula angustifolia Miller under field conditions. Acta Hortic. 2013, 988, 71–76. [Google Scholar] [CrossRef]
- Lis-Balchin, M. Lavender. In Handbook of Herbs and Spices; Elsevier: Amsterdam, The Netherlands, 2012; pp. 329–347. [Google Scholar]
- Buchbauer, G.; Jirovetz, L.; Jaeger, W. Aromatherapy: Evidence for sedative effects of the essential oil of lavender after inhalation. Z. Nat. C 1991, 46, 1067–1072. [Google Scholar] [CrossRef] [PubMed]
- Rota, C.; Carramiñana, J.J.; Burillo, J.; Herrera, A. In vitro antimicrobial activity of essential oils from aromatic plants against selected foodborne pathogens. J. Food Prot. 2004, 67, 1252–1256. [Google Scholar] [CrossRef]
- Soylu, E.M.; Soylu, S.; Kurt, S. Antimicrobial activities of the essential oils of various plants against tomato late blight disease agent Phytophthora infestans. Mycopathologia 2006, 161, 119–128. [Google Scholar] [CrossRef]
- Mahboubi, M.; Feizabadi, M.M. Antimicrobial activity of essential oils from 13 different plants against streptococci. J. Essent. Oil Ther. 2009, 3, 40–44. [Google Scholar]
- Hanamanthagouda, M.S.; Kakkalameli, S.B.; Naik, P.; Nagella, P.; Seetharamareddy, H.R.; Murthy, H.N. Essential oils of Lavandula bipinnata and their antimicrobial activities. Food Chem. 2010, 118, 836–839. [Google Scholar] [CrossRef]
- Cantor, M.; Vlas, N.; Szekely-Varga, Z.; Jucan, D.; Zaharia, A. The influence of distillation time and the flowering phenophase on quantity and quality of the essential oil of Lavandula angustifolia cv. ‘Codreanca’. Rom. Biotech. Lett. 2018, 23, 14146. [Google Scholar] [CrossRef]
- Pohrib, E.L.; Nistor, E. Spikes of azure bloom: Lavender-history and stories. Sci. Pap. Ser. A Agron. 2012, 55, 397–405. [Google Scholar]
- Lis-Balchin, M. Lavender: The genus Lavandula; CRC Press: Boca Raton, FL, USA, 2003. [Google Scholar]
- Henter, A.E. Magical lavender. In Journey into a Purple, Fragrant World (Lavanda magică. Călătorie într-o Lume Mov, parfumată); RDT Print Center: Cluj-Napoca, Romania, 2017. [Google Scholar]
- Luncean, E.; Duda, M.M.; Ghețe, A.; Muresan, C.; Simea, Ș. Lavender (Lavandula angustifolia Mill.)—A very valuable plant in the current Romanian landscape. Hop Med. Plants 2018, 26, 30–38. [Google Scholar]
- Hendawy, S.F.; Khalid, K.A. Response of sage (Salvia officinalis L.) plants to zinc application under different salinity levels. J. Appl. Sci. Res. 2005, 1, 147–155. [Google Scholar]
- Hand, M.J.; Taffouo, V.D.; Nouck, A.E.; Nyemene, K.P.; Tonfack, L.B.; Meguekam, T.L.; Youmbi, E. Effects of salt stress on plant growth, nutrient partitioning, chlorophyll content, leaf relative water content, accumulation of osmolytes and antioxidant compounds in pepper (Capsicum annuum L.) cultivars. Not. Bot. Horti Agrobot. Cluj-Napoca 2017, 45, 481–490. [Google Scholar] [CrossRef]
- Al Hassan, M.; Morosan, M.; López-Gresa, M.P.; Prohens, J.; Vicente, O.; Boscaiu, M. Salinity-induced variation in biochemical markers provides insight into the mechanisms of salt tolerance in common (Phaseolus vulgaris) and runner (P. coccineus) beans. Int. J. Mol. Sci. 2016, 17, 1582. [Google Scholar] [CrossRef]
- Morosan, M.; Al Hassan, M.; Naranjo, M.A.; López-Gresa, M.P.; Boscaiu, M.; Vicente, O. Comparative analysis of drought responses in Phaseolus vulgaris (common bean) and P. coccineus (runner bean) cultivars. EuroBiotech J. 2017, 1, 247–252. [Google Scholar] [CrossRef]
- Lansac, A.R.; Zaballos, J.P.; Martin, A. Seasonal water potential changes and proline accumulation in Mediterranean shrubland species. Vegetatio 1994, 113, 141–154. [Google Scholar] [CrossRef]
- Du, B.; Rennenberg, H. Physiological responses of lavender (Lavandula angustifolia Mill.) to water deficit and recovery. S. Afr. J. Bot. 2018, 119, 212–218. [Google Scholar] [CrossRef]
- García-Caparrós, P.; Romero, M.J.; Llanderal, A.; Sacristan, P.C.; Lao, M.T.; Segura, M.L. Effects of drought stress on biomass, essential oil content, nutritional parameters, and costs of production in six Lamiaceae species. Water 2019, 11, 573. [Google Scholar] [CrossRef]
- Marulanda, A.; Porcel, R.; Barea, J.M.; Azcón, R. Drought tolerance and antioxidant activities in lavender plants colonized by native drought-tolerant or drought-sensitive glomus species. Microb. Ecol. 2007, 54, 543–552. [Google Scholar] [CrossRef] [PubMed]
- Cordovilla, M.D.P.; Bueno, M.; Aparicio, C.; Urrestarazu, M. Effects of salinity and the interaction between Thymus vulgaris and Lavandula angustifolia on growth, ethylene production and essential oil contents. J. Plant Nutr. 2014, 37, 875–888. [Google Scholar] [CrossRef]
- Chrysargyris, A.; Laoutari, S.; Vassilis, L.D.; Menelaos, S.C.; Nikolaos, T. Effects of water stress on lavender and sage biomass production, essential oil composition and biocidal properties against Tetranychus urticae (Koch). Sci. Hortic. 2016, 213, 96–103. [Google Scholar] [CrossRef]
- Chrysargyris, A.; Michailidi, E.; Nikolaos, T. Physiological and biochemical responses of Lavandula angustifolia to salinity under mineral foliar application. Front. Plant Sci. 2018, 9, 9. [Google Scholar] [CrossRef]
- Ozturk, A.; Unlukara, A.; Ipek, A.; Gurbuz, B. Effects of salt stress and water deficit on plant growth and essential oil content of lemon balm (Melissa officinalis L.). Pak. J. Bot. 2004, 36, 787–792. [Google Scholar]
- Stępień, P.; Kłbus, G. Water relations and photosynthesis in Cucumis sativus L. leaves under salt stress. Biol. Plant. 2006, 50, 610–616. [Google Scholar] [CrossRef]
- Iqbal, N.; Hussain, S.; Raza, M.A.; Yang, C.-Q.; Safdar, M.E.; Brestic, M.; Aziz, A.; Hayyat, M.S.; Asghar, M.A.; Wang, X.C.; et al. Drought tolerance of soybean (Glycine max L. Merr.) by improved photosynthetic characteristics and an efficient antioxidant enzyme activities under a split-root system. Front. Physiol. 2019, 10, 786. [Google Scholar] [CrossRef]
- Miri-Hesar, K.; Dadkhodaie, A.; Dorostkar, S.; Heidari, B. Differential activity of antioxidant enzymes and physiological changes in wheat (Triticum aestivum L.) under drought stress. Not. Sci. Biol. 2019, 11, 266–276. [Google Scholar] [CrossRef]
- González-Orenga, S.; Llinares, J.V.; Al Hassan, M.; Fita, A.; Collado, F.; Lisón, P.; Vicente, O.; Boscaiu, M. Physiological and morphological characterisation of Limonium species in their natural habitats: Insights into their abiotic stress responses. Plant Soil 2020, 449, 267–284. [Google Scholar] [CrossRef]
- Said-Al Ahl, H.A.H.; Omer, E.A. Medicinal and aromatic plants production under salt stress. A review. Herba Pol. 2011, 57, 72–87. [Google Scholar]
- Kotsiris, G.; Nektarios, P.A.; Paraskevopoulou, A.T. Lavandula angustifolia growth and physiology is affected by substrate type and depth when grown under Mediterranean semi-intensive green roof conditions. Hort Sci. 2012, 47, 311–317. [Google Scholar] [CrossRef]
- Munns, R.; Gilliham, M. Salinity tolerance of crops-what is the cost? New Phytol. 2015, 208, 668–673. [Google Scholar] [CrossRef] [PubMed]
- Gu, M.F.; Li, N.; Shao, T.Y.; Long, X.H.; Brestič, M.; Shao, H.B.; Li, J.B.; Mbarki, S. Accumulation capacity of ions in cabbage (Brassica oleracea L.) supplied with sea water. Plant Soil Environ. 2016, 62, 314–320. [Google Scholar] [CrossRef]
- Greenway, H.; Munns, R. Mechanisms of salt tolerance in nonhalophytes. Annu. Rev. Plant Physiol. 1980, 31, 149–190. [Google Scholar] [CrossRef]
- Rodríguez-Navarro, A. Potassium transport in fungi and plants. Biochim. Biophys. Acta (BBA)-Rev. Biomembr. 2000, 1469, 1–30. [Google Scholar] [CrossRef]
- Almeida, D.M.; Oliveira, M.M.; Saibo, N.J.M. Regulation of Na+ and K+ homeostasis in plants: Towards improved salt stress tolerance in crop plants. Genet. Mol. Biol. 2017, 40, 326–345. [Google Scholar] [CrossRef]
- Al Hassan, M.; Estrelles, E.; Soriano, P.; López-Gresa, M.P.; Bellés, J.M.; Boscaiu, M.; Vicente, O. Unraveling salt tolerance mechanisms in halophytes: A comparative study on four mediterranean Limonium species with different geographic distribution patterns. Front. Plant Sci. 2017, 8, 8. [Google Scholar] [CrossRef]
- Plesa, I.; Al Hassan, M.; Sestras, R.E.; Vicente, O.; Boscaiu, M.; Sestras, R.E. Biochemical markers of salt stress in European larch (Larix decidua). Not. Sci. Biol. 2018, 10, 430–438. [Google Scholar] [CrossRef]
- Koźmińska, A.; Wiszniewska, A.; Hanus-Fajerska, E.; Boscaiu, M.; Al Hassan, M.; Halecki, W.; Vicente, O. Identification of salt and drought biochemical stress markers in several Silene vulgaris populations. Sustainability 2019, 11, 800. [Google Scholar] [CrossRef]
- Valizadeh-Kamran, R.; Mehrabani, L.V.; Pessarakli, M. Effects of foliar application of methanol on some physiological characteristics of Lavandula stoechas L. under NaCl salinity conditions. J. Plant Nutr. 2019, 42, 261–268. [Google Scholar] [CrossRef]
- Rengel, Z. The role of calcium in salt toxicity. Plant. Cell Environ. 1992, 15, 625–632. [Google Scholar] [CrossRef]
- Manishankar, P.; Wang, N.; Köster, P.; Alatar, A.A.; Kudla, J. Calcium signaling during salt stress and in the regulation of ion homeostasis. J. Exp. Bot. 2018, 69, 4215–4226. [Google Scholar] [CrossRef]
- Ashraf, M.; Foolad, M. Roles of glycine betaine and proline in improving plant abiotic stress resistance. Environ. Exp. Bot. 2007, 59, 206–216. [Google Scholar] [CrossRef]
- Sanders, G.J.; Arndt, S. Osmotic adjustment under drought conditions. In Plant Responses to Drought Stress; Springer: Berlin/Heidelberg, Germany, 2012; pp. 199–229. [Google Scholar]
- Hayat, S.; Hayat, Q.; Alyemeni, M.; Wani, A.S.; Pichtel, J.; Ahmad, A. Role of proline under changing environments. Plant Signal. Behav. 2012, 7, 1456–1466. [Google Scholar] [CrossRef] [PubMed]
- Ali, R.; Abbas, H.; Kamal, R. The effects of treatment with polyamines on dry matter, oil and flavonoid contents in salinity stressed chamomile and sweet marjoram. Plant Soil Environ. 2008, 53, 529–543. [Google Scholar] [CrossRef]
- Al-Amier, H.; Craker, L.E.; Janick, J. In Vitro Selection for Stress Tolerant Spearmint, Issues in New Crops and New Uses; Janick, J., Whipkey, A., Alexandria, V.A., Eds.; ASHS: Alexandria, Egypt, 2007; pp. 306–310. [Google Scholar]
- García-Caparrós, P.; Llanderal, A.; Pestana, M.; Correia, P.J.; Lao, M.T. Lavandula multifida response to salinity: Growth, nutrient uptake, and physiological changes. J. Plant Nutr. Soil Sci. 2016, 180, 96–104. [Google Scholar] [CrossRef]
- Mitrofanova, I.V.; Palii, A.E.; Grebennikova, O.A.; Brailko, V.A.; Lesnikova-Sedoshenko, N.P.; Rabotyagov, V.D.; Mitrofanova, O.V. Adaptiveness of promising lavender and lavandin cultivars under in vitro culture and ex situ. Sel’skokhozyaistvennaya Biologiya [Agricul. Biol]. 2018, 53, 539–546. [Google Scholar] [CrossRef]
- Gil, R.; Boscaiu, M.; Lull, C.; Bautista, I.; Lidón, A.; Vicente, O. Are soluble carbohydrates ecologically relevant for salt tolerance in halophytes? Funct. Plant Boil. 2013, 40, 805–818. [Google Scholar] [CrossRef]
- Abd El-Wahab, M.A. The efficiency of using saline and fresh water irrigation as alternating methods of irrigation on the productivity of Foeniculum vulgare Mill. subsp. vulgare var. vulgare under North Sinai conditions. Res. J. Agric. Biol. Sci. 2006, 2, 571–577. [Google Scholar]
- Najafi, F.; Khavari-Nejad, R.A.; Ali, M.S. The effects of salt stress on certain physiological parameters in summer savory (Satureja hortensis L.) plants. J. Stress Physiol. Biochem. 2010, 6, 13–21. [Google Scholar]
- Hoagland, D.R.; Arnon, D.I. The Water-Culture Method for Growing Plants without Soil. In California Agricultural Experiment Station Publications Series; College of Agriculture, University of California: Davis, CA, USA, 1950. [Google Scholar]
- Lichtenthaler, H.K.; Wellburn, A.R. Determinations of total carotenoids and chlorophylls a and b of leaf extracts in different solvents. Biochem. Soc. Trans. 1983, 11, 591–592. [Google Scholar] [CrossRef]
- Weimberg, R. Solute adjustments in leaves of two species of wheat at two different stages of growth in response to salinity. Physiol. Plant. 1987, 70, 381–388. [Google Scholar] [CrossRef]
- Bates, L.S.; Waldren, R.P.; Teare, I.D. Rapid determination of free proline for water stress studies. Plant Soil 1973, 39, 205–207. [Google Scholar] [CrossRef]
- Dubois, M.; Gilles, K.A.; Hamilton, J.K.; Rebers, P.A.; Smith, F. colorimetric method for determination of sugars and related substances. Anal. Chem. 1956, 28, 350–356. [Google Scholar] [CrossRef]








| Parameter | Treatment | Variety | Treatment * Variety |
| Electric conductivity (EC) | 543.28 *** | 0.88 | 0.58 |
| Substrate moisture (SM) | 843.73 *** | 1.98 | 3.23 |
| Root length (RL) | 9.88 *** | 4.23 * | 2.89 * |
| Stem elongation (SE) | 12.78 *** | 0.89 | 0.84 |
| Stem diameter increment (SD) | 49.55 *** | 3.39 | 0.27 |
| Increment in branch number (Bno) | 26.4 *** | 0.26 | 1.10 |
| Root fresh weight (RFW) | 20.01 *** | 0.14 | 1.10 |
| Root water content (RWC) | 122.12 *** | 0.11 | 0.30 |
| Stem fresh weight (SFW) | 44.02 *** | 1.01 | 0.85 |
| Stem water content (SWC) | 60.44 *** | 2.08 | 2.87 * |
| Leaf fresh weight (LFW) | 68.59 *** | 0.39 | 0.80 |
| Leaf water content (LWC) | 23.06 *** | 0.09 | 1.50 |
| Clorophyll a (Chl a) | 9.62 *** | 1.27 | 0.66 |
| Clorophyll b (Chl b) | 7.56 ** | 3.40 | 1.72 |
| Total carotenoids (Caro) | 4.56 ** | 0.54 | 1.01 |
| Sodium in roots (Nar) | 27.77 *** | 0 | 0.97 |
| Sodium in stems (Nas) | 29.67 *** | 0 | 0.10 |
| Sodium in leaves (Nal) | 76.44 *** | 2.54 | 2.85 * |
| Chloride in roots (Clr) | 202.93 *** | 3.54 | 5.40 * |
| Chloride in stems (Cls) | 54.16 *** | 0.89 | 0.97 |
| Chloride in leaves (Cll) | 140.71 *** | 1.53 | 1.63 |
| Potassium in roots (Kr) | 18.59 *** | 0.01 | 0.75 |
| Potassium in stems (Ks) | 9.86 *** | 0.19 | 0.84 |
| Potassium in leaves (Kl) | 2.24 | 0.12 | 0.09 |
| Calcium in roots (Car) | 24.09 *** | 14.19 | 8.49 |
| Calcium in stems (Cas) | 22.69 *** | 2.31 | 0.64 |
| Calcium in leaves (Cal) | 20.20 *** | 2.74 | 0.67 |
| Proline (Pro) | 17.07 *** | 6.36 | 2.89 |
| Total soluble sugars (TSSs) | 0.73 | 0.75 | 1.69 |
© 2020 by the authors. Licensee MDPI, Basel, Switzerland. This article is an open access article distributed under the terms and conditions of the Creative Commons Attribution (CC BY) license (http://creativecommons.org/licenses/by/4.0/).
Share and Cite
Szekely-Varga, Z.; González-Orenga, S.; Cantor, M.; Jucan, D.; Boscaiu, M.; Vicente, O. Effects of Drought and Salinity on Two Commercial Varieties of Lavandula angustifolia Mill. Plants 2020, 9, 637. https://doi.org/10.3390/plants9050637
Szekely-Varga Z, González-Orenga S, Cantor M, Jucan D, Boscaiu M, Vicente O. Effects of Drought and Salinity on Two Commercial Varieties of Lavandula angustifolia Mill. Plants. 2020; 9(5):637. https://doi.org/10.3390/plants9050637
Chicago/Turabian StyleSzekely-Varga, Zsolt, Sara González-Orenga, Maria Cantor, Denisa Jucan, Monica Boscaiu, and Oscar Vicente. 2020. "Effects of Drought and Salinity on Two Commercial Varieties of Lavandula angustifolia Mill" Plants 9, no. 5: 637. https://doi.org/10.3390/plants9050637
APA StyleSzekely-Varga, Z., González-Orenga, S., Cantor, M., Jucan, D., Boscaiu, M., & Vicente, O. (2020). Effects of Drought and Salinity on Two Commercial Varieties of Lavandula angustifolia Mill. Plants, 9(5), 637. https://doi.org/10.3390/plants9050637

