Selenium Uptake by Lettuce (Lactuca sativa L.) and Berseem (Trifolium alexandrinum L.) as Affected by the Application of Sodium Selenate, Soil Acidity and Organic Matter Content
Abstract
1. Introduction
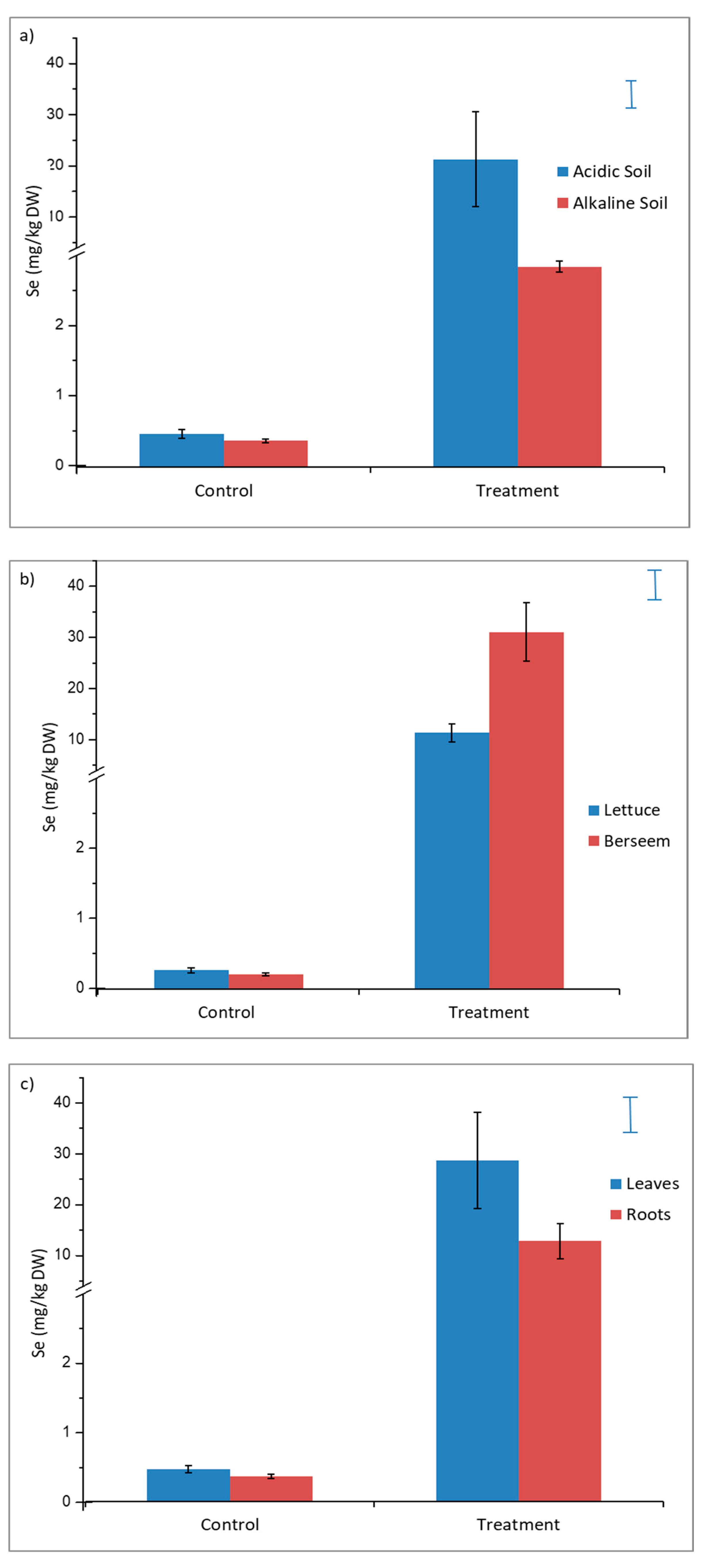
2. Results and Discussion
3. Materials and Methods
4. Conclusions
Author Contributions
Funding
Conflicts of Interest
References
- Broadley, M.; White, P.J.; Bryson, R.J.; Meacham, M.C.; Bowen, H.C.; Johnson, S.E.; Hawkesford, M.J.; McGrath, S.P.; Zhao, F.-J.; Breward, N.; et al. Biofortification of UK food crops with selenium. Proc. Nutr. Soc. 2006, 65, 169–181. [Google Scholar] [CrossRef] [PubMed]
- Kumar, S.B.; Priyadarsini, K.I. Selenium nutrition: How important is it? Biomed. Prev. Nutr. 2014, 4, 333–341. [Google Scholar] [CrossRef]
- Cobo-Angel, C.; Wichtel, J.; Ceballos-Márquez, A. Selenium in milk and human health. Anim. Front. 2014, 4, 38–43. [Google Scholar] [CrossRef]
- Moghadaszadeh, B.; Beggs, A.H. Selenoproteins and their impact on human health through diverse physiological pathways. Physiology 2006, 21, 307–315. [Google Scholar] [CrossRef]
- Oldfield, J.E. Selenium World Atlas, Updated ed.; Selenium-Tellurium Development Association: Grimbergen, Belgium, 2002. [Google Scholar]
- Hartikainen, H. Biogeochemistry of selenium and its impact on food chain quality and human health. J. Trace Elements Med. Biol. 2005, 18, 309–318. [Google Scholar] [CrossRef]
- WHO. Global Health Risks: Mortality and Burden of Disease Attributable to Selected Major Risks. 2009. Available online: https://www.who.int/healthinfo/global_burden_disease/GlobalHealthRisks_report_full.pdf (accessed on 5 April 2019).
- Fernandez-Martinez, A.; Charlet, L. Selenium environmental cycling and bioavailability: A structural chemist point of view. Rev. Environ. Sci. Biotechnol. 2009, 8, 81–110. [Google Scholar] [CrossRef]
- Economou-Eliopoulos, M.; Eliopoulos, D.G. Selenium content of sulfide ores related to ophiolites of Greece. J. Environ. Pathol. Toxicol. Oncol. 1998, 17, 199–204. [Google Scholar]
- Economou-Eliopoulos, M.; Eliopoulos, D.G.; Chryssoulis, S. A comparison of high-Au massive sulfide ores hosted in ophiolite complexes of the Balkan Peninsula with modern analogues: Genetic significance. Ore Geol. Rev. 2008, 33, 81–100. [Google Scholar] [CrossRef]
- Johnsson, L. Selenium uptake by plants as a function of soil type, organic matter content and pH. Plant Soil 1991, 133, 57–64. [Google Scholar] [CrossRef]
- Hasanuzzaman, M.; Hossain, M.A.; Fujita, M. Selenium in higher plants: Physiological role, antioxidant metabolism and abiotic stress tolerance. J. Plant Sci. 2010, 5, 354–375. [Google Scholar] [CrossRef]
- Dhillon, K.; Dhillon, S. Distribution and management of seleniferous soils. Adv. Agron. 2003, 79, 119–184. [Google Scholar] [CrossRef]
- Stephen, R.C.; Saville, D.J.; Watkinson, J.H. The effects of sodium selenate applications on growth and selenium concentration in wheat. New Zealand J. Crop Hortic. Sci. 1989, 17, 229–237. [Google Scholar] [CrossRef]
- Alfthan, G.; Eurola, M.; Ekholm, P.; Venäläinen, E.-R.; Root, T.; Korkalainen, K.; Hartikainen, H.; Salminen, P.; Hietaniemi, V.; Aspila, P.; et al. Effects of nationwide addition of selenium to fertilizers on foods, and animal and human health in Finland: From deficiency to optimal selenium status of the population. J. Trace Elem. Med. Biol. 2015, 31, 142–147. [Google Scholar] [CrossRef] [PubMed]
- Gupta, M.; Gupta, S. An overview of selenium uptake, metabolism, and toxicity in plants. Front. Plant Sci. 2017, 7, 1–14. [Google Scholar] [CrossRef] [PubMed]
- Bratakos, M.S.; Ioannou, P.V. The regional distribution of selenium in Greek cereals. Sci. Total Environ. 1989, 84, 237–247. [Google Scholar] [CrossRef]
- Ramos, S.J.; Faquin, V.; Guilherme, L.R.G.; Castro, E.; Ávila, F.W.; Carvalho, G.; Bastos, C.; Oliveira, C. Selenium biofortification and antioxidant activity in lettuce plants fed with selenate and selenite. Plant Soil Environ. 2010, 56, 584–588. [Google Scholar] [CrossRef]
- Mora, M.L.; Pinilla, L.; Rosas, A.; Cartes, P. Selenium uptake and its influence on the antioxidative system of white clover as affected by lime and phosphorus fertilization. Plant Soil 2008, 303, 139–149. [Google Scholar] [CrossRef]
- Soltanpour, P.N.; Workman, S.M. Use of NH4HCO3-DTPA soil test to assess availability and toxicity of selenium to alfalfa plants. Commun. Soil Sci. Plant Anal. 1980, 11, 1147–1156. [Google Scholar] [CrossRef]
- Bañuelos, G.; Zambrzuski, S.; Mackey, B. Phytoextraction of selenium from soils irrigated with selenium-laden effluent. Plant Soil 2000, 224, 251–258. [Google Scholar] [CrossRef]
- Dimes, L.; Rendig, V.; Besgu, G.; Dong, A. Selenium uptake by subclover, ryegrass, and some Astragalus spp. In Selenium Contents in Animal and Human Food Crops grown in California; CA: Cooperative Extension University of California, Division of Agriculture and Natural Resources USA. Publication 3330, 19-24University of California Salinity/Drainage Task Force: Oakland, CA, USA, 1988. [Google Scholar]
- Zhang, M.; Tang, S.; Huang, X.; Zhang, F.; Pang, Y.; Huang, Q.; Yi, Q. Selenium uptake, dynamic changes in selenium content and its influence on photosynthesis and chlorophyll fluorescence in rice (Oryza sativa L.). Environ. Exp. Bot. 2014, 107, 39–45. [Google Scholar] [CrossRef]
- Puccinelli, M.; Malorgio, F.; Pezzarossa, B. Selenium enrichment of horticultural crops. Molecules 2017, 22, 933. [Google Scholar] [CrossRef] [PubMed]
- Dhillon, K.S.; Rani, N.; Dhillon, S.K. Evaluation of different extractants for the estimation of bioavailable selenium in seleniferous soils of Northwest India. Soil Res. 2005, 43, 639–645. [Google Scholar] [CrossRef]
- Fan, J.; Wang, R.; Hu, H.; Huo, G.; Fu, Q.; Zhu, J. Transformation and bioavailability of selenate and selenite added to a Nicotiana tabacum L. planting soil. Commun. Soil Sci. Plant Anal. 2015, 46, 1362–1375. [Google Scholar] [CrossRef]
- Shahid, M.; Niazi, N.K.; Khalid, S.; Murtaza, B.; Bibi, I.; Rashid, M.I. A critical review of selenium biogeochemical behavior in soil-plant system with an inference to human health. Environ. Pollut. 2018, 234, 915–934. [Google Scholar]
- Krystofova, O.; Adam, V.; Babula, P.; Zehnalek, J.; Beklova, M.; Havel, L.; Kizek, R. Effects of various doses of selenite on stinging nettle (Urtica dioica L.). Int. J. Environ. Res. Public Health 2010, 7, 3804–3815. [Google Scholar] [CrossRef]
- Zhang, Y.; Pan, G.; Chen, J.; Hu, Q. Uptake and transport of selenite and selenate by soybean seedlings of two genotypes. Plant Soil 2003, 253, 437–443. [Google Scholar] [CrossRef]
- Thavarajah, D.; Thavarajah, P.; Vial, E.; Gebhardt, M.; Lacher, C.; Kumar, S.; Combs, G.F. Will lentil (Lens culinaris Medik) yield and seed quality? Front. Plant Sci. 2015, 6, 356. [Google Scholar] [CrossRef]
- Li, Z.; Liang, D.-L.; Peng, Q.; Cui, Z.; Huang, J.; Lin, Z. Interaction between selenium and soil organic matter and its impact on soil selenium bioavailability: A review. Geoderma 2017, 295, 69–79. [Google Scholar] [CrossRef]
- Darcheville, O.; Février, L.; Haichar, F.; Berge, O.; Martin-Garin, A.; Renault, P. Aqueous, solid and gaseous partitioning of selenium in an oxic sandy soil under different microbiological states. J. Environ. Radioact. 2008, 99, 981–992. [Google Scholar] [CrossRef]
- Bruggeman, C.; Maes, A.; Vancluysen, J. The interaction of dissolved Boom Clay and Gorleben humic substances with selenium oxyanions (selenite and selenate). Appl. Geochem. 2007, 22, 1371–1379. [Google Scholar] [CrossRef]
- Jordan, N.; Marmier, N.; Lomenech, C.; Giffaut, E.; Ehrhardt, J.-J. Competition between selenium (IV) and silicic acid on the hematite surface. Chemosphere 2009, 75, 129–134. [Google Scholar] [CrossRef] [PubMed]
- Ferri, T.; Petruzzelli, G.; Pezzarossa, B.; Santaroni, P.; Brunori, C.; Morabito, R. Study of the influence of carboxymethylcellulose on the absorption of selenium (and selected metals) in a target plant. Microchem. J. 2003, 74, 257–265. [Google Scholar] [CrossRef]
- Ylaranta, T. Sorption of selenite and selenate in the soil. Ann. Agr. Fen. 1983, 22, 29–39. [Google Scholar]
- Gissel-Nielsen, G.; Gupta, U.C.; Lamand, M.; Westermarck, T. Selenium in soils and plants and its importance in livestock and human nutrition. Adv. Agron. 1984, 37, 397–460. [Google Scholar] [CrossRef]
- WDEQ-LQD. Guideline No. 1, Soil and Overburden; Herschler Building: 122 West 25th Street, Cheyenne, WY, USA, 1984. [Google Scholar]
- Dhillon, K.; Dhillon, S.; Dogra, R. Selenium accumulation by forage and grain crops and volatilization from seleniferous soils amended with different organic materials. Chemosphere 2010, 78, 548–556. [Google Scholar] [CrossRef]
- Hawkesford, M.J.; Zhao, F.-J. Strategies for increasing the selenium content of wheat. J. Cereal Sci. 2007, 46, 282–292. [Google Scholar] [CrossRef]
- Gasparatos, D.; Roussos, P.; Christofilopoulou, E.; Haidouti, C. Comparative effects of organic and conventional apple orchard management on soil chemical properties and plant mineral content under Mediterranean climate conditions. J. Soil Sci. Plant Nutr. 2011, 11, 105–117. [Google Scholar] [CrossRef]
- Liu, H.; Shi, Z.; Li, J.; Zhao, P.; Qin, S.; Nie, Z. The impact of phosphorus supply on selenium uptake during hydroponics experiment of winter wheat (Triticum aestivum) in China. Front. Plant Sci. 2018, 9, 1–9. [Google Scholar] [CrossRef]
- Kukkonen, S.; Palojärvi, A.; Räkköläinen, M.; Vestberg, M. Peat amendment and production of different crop plants affect earthworm populations in field soil. Soil Biol. Biochem. 2004, 36, 415–423. [Google Scholar] [CrossRef]
- The American Society for Testing and Materials. ASTM D5673-10 Standard Test Method for Elements in Water by Inductively Coupled Plasma-Mass Spectrometry; ASTM International: West Conshohocken, PA, USA, 2010; Available online: www.astm.org (accessed on 1 April 2020).
- Petridis, A.; Gasparatos, D.; Haidouti, C.; Paschalidis, C.; Zamanidis, P. Effects of nitrogen and boron fertilization on lettuce mineral nutrition in a calcareous soil. Commun. Soil Sci. Plant Anal. 2013, 44, 733–740. [Google Scholar] [CrossRef]





| Parameter | Acidic Soil | Alkaline Soil |
|---|---|---|
| Texture | Clay | Clayloam |
| CaCO3 (%) | - | 20.4 |
| Organic matter (%) | 2.1 | 5.0 |
| pH (1:1 s/w) | 6.3 | 8.0 |
| Exchangeable K (cmol(+)kg−1) | 0.33 | 4.58 |
| Exchangeable Ca (cmol(+)kg−1) | 1.73 | 5.35 |
| Exchangeable Mg (cmol(+)kg−1) | 0.16 | 3.70 |
| Available P (mg/kg) | 12 | 65 |
| Available Se (mg/kg) | < 0.004 | < 0.004 |
| Source | Sum of Squares | Df | Mean Square | F-Ratio | p-Value |
|---|---|---|---|---|---|
| MAIN EFFECTS1 | |||||
| A:Cultivation | 617.44 | 1 | 617.44 | 10.32 | 0.0036 |
| B:Soil | 7416.7 | 1 | 7416.7 | 123.97 | 0.0000 |
| C:Treatment | 2597.77 | 1 | 2597.77 | 43.42 | 0.0000 |
| INTERACTIONS | |||||
| AB | 3231.68 | 1 | 3231.68 | 54.02 | 0.0000 |
| AC | 1410.42 | 1 | 1410.42 | 23.57 | 0.0001 |
| BC | 890.53 | 1 | 890.53 | 14.88 | 0.0007 |
| RESIDUAL | 1495.69 | 25 | 59.8275 | ||
| TOTAL (corrected) | 16480.9 | 31 |
| Source | Sum of Squares | Df | Mean Square | F-Ratio | p-Value |
|---|---|---|---|---|---|
| MAIN EFFECTS1 | |||||
| A:Cultivation | 1587.75 | 1 | 1587.75 | 17.06 | 0.0001 |
| B:Soils | 2733.08 | 1 | 2733.08 | 29.37 | 0.0000 |
| C:Tissues | 871.347 | 1 | 871.347 | 9.36 | 0.0035 |
| D:Treatments | 4767.74 | 1 | 4767.74 | 51.23 | 0.0000 |
| INTERACTIONS | |||||
| AB | 1602.0 | 1 | 1602.0 | 17.22 | 0.0001 |
| AC | 603.931 | 1 | 603.931 | 6.49 | 0.0138 |
| AD | 1676.4 | 1 | 1676.4 | 18.01 | 0.0001 |
| BC | 1594.01 | 1 | 1594.01 | 17.13 | 0.0001 |
| BD | 2726.33 | 1 | 2726.33 | 29.30 | 0.0000 |
| CD | 807.767 | 1 | 807.767 | 8.68 | 0.0048 |
| RESIDUAL | 4932.04 | 53 | 93.0574 | ||
| TOTAL (Corrected) | 27369.3 | 63 |
| SOM | Se Content | |
|---|---|---|
| Lettuce | ||
| SOM | 1 | −0.86** |
| Se content | −0.86** | 1 |
| Berseem | ||
| SOM | 1 | −0.97*** |
| Se content | −0.97*** | 1 |
| Soil Type | Cultivation | Soil Organic Matter(%) | Se content(mg/kg DW) |
|---|---|---|---|
| Acidic | Lettuce | 2.4 ± 0.1 | 20.8 ± 3.7 |
| Berseem | 1.4 ± 0.9 | 78.4 ± 7.5 | |
| Alkaline | Lettuce | 8.5 ± 0.3 | 4.8 ± 0.3 |
| Berseem | 4.5 ± 0.2 | 9.4 ± 0.4 |
© 2020 by the authors. Licensee MDPI, Basel, Switzerland. This article is an open access article distributed under the terms and conditions of the Creative Commons Attribution (CC BY) license (http://creativecommons.org/licenses/by/4.0/).
Share and Cite
Tsioubri, M.; Gasparatos, D.; Economou-Eliopoulos, M. Selenium Uptake by Lettuce (Lactuca sativa L.) and Berseem (Trifolium alexandrinum L.) as Affected by the Application of Sodium Selenate, Soil Acidity and Organic Matter Content. Plants 2020, 9, 605. https://doi.org/10.3390/plants9050605
Tsioubri M, Gasparatos D, Economou-Eliopoulos M. Selenium Uptake by Lettuce (Lactuca sativa L.) and Berseem (Trifolium alexandrinum L.) as Affected by the Application of Sodium Selenate, Soil Acidity and Organic Matter Content. Plants. 2020; 9(5):605. https://doi.org/10.3390/plants9050605
Chicago/Turabian StyleTsioubri, Myrto, Dionisios Gasparatos, and Maria Economou-Eliopoulos. 2020. "Selenium Uptake by Lettuce (Lactuca sativa L.) and Berseem (Trifolium alexandrinum L.) as Affected by the Application of Sodium Selenate, Soil Acidity and Organic Matter Content" Plants 9, no. 5: 605. https://doi.org/10.3390/plants9050605
APA StyleTsioubri, M., Gasparatos, D., & Economou-Eliopoulos, M. (2020). Selenium Uptake by Lettuce (Lactuca sativa L.) and Berseem (Trifolium alexandrinum L.) as Affected by the Application of Sodium Selenate, Soil Acidity and Organic Matter Content. Plants, 9(5), 605. https://doi.org/10.3390/plants9050605

