Use of Nitric Oxide and Hydrogen Peroxide for Better Yield of Wheat (Triticum aestivum L.) under Water Deficit Conditions: Growth, Osmoregulation, and Antioxidative Defense Mechanism
Abstract
1. Introduction
2. Materials and Methods
2.1. Plant Water Relations
2.2. Activities of Enzymatic Antioxidants
2.3. Statistical Analysis
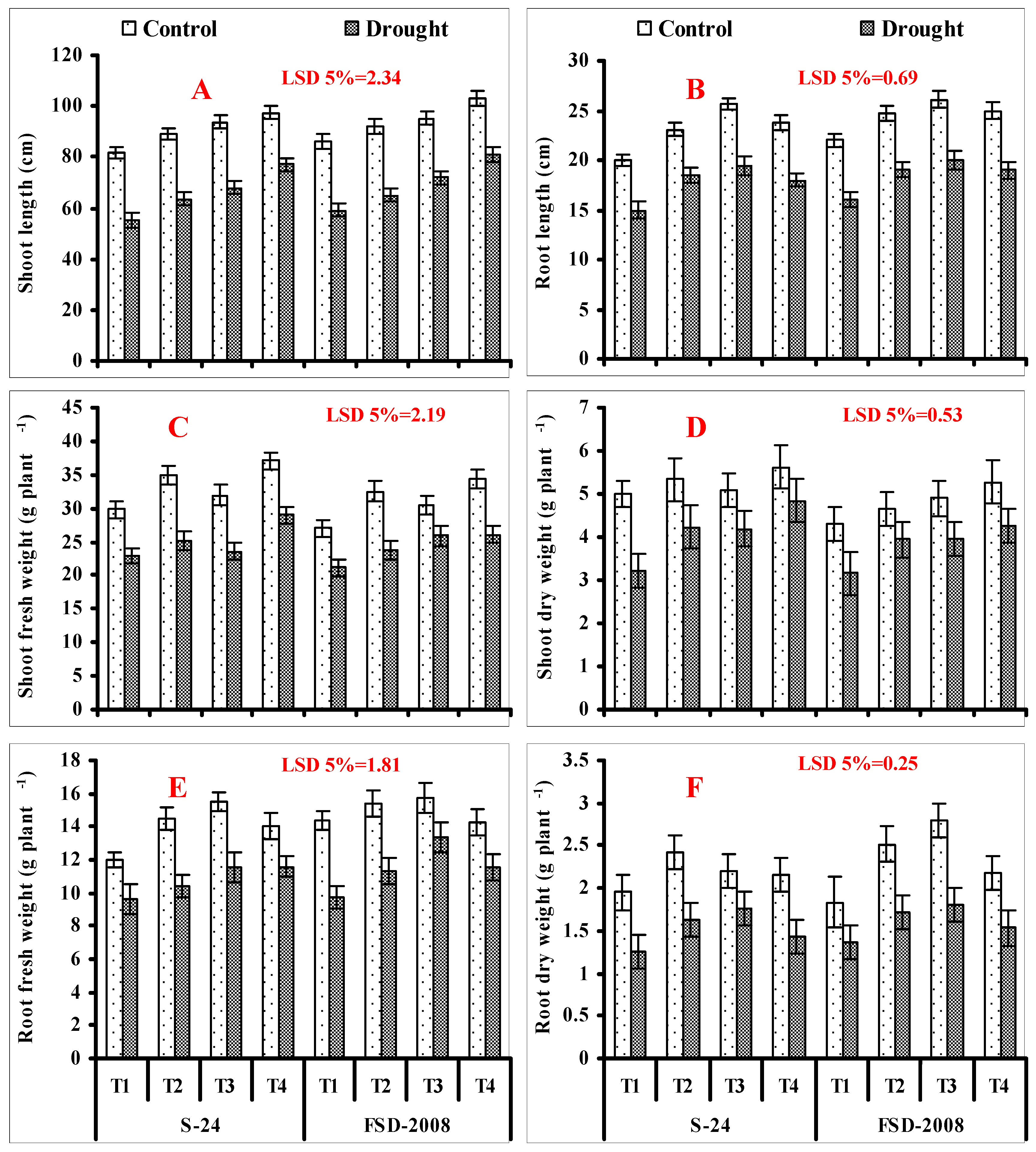
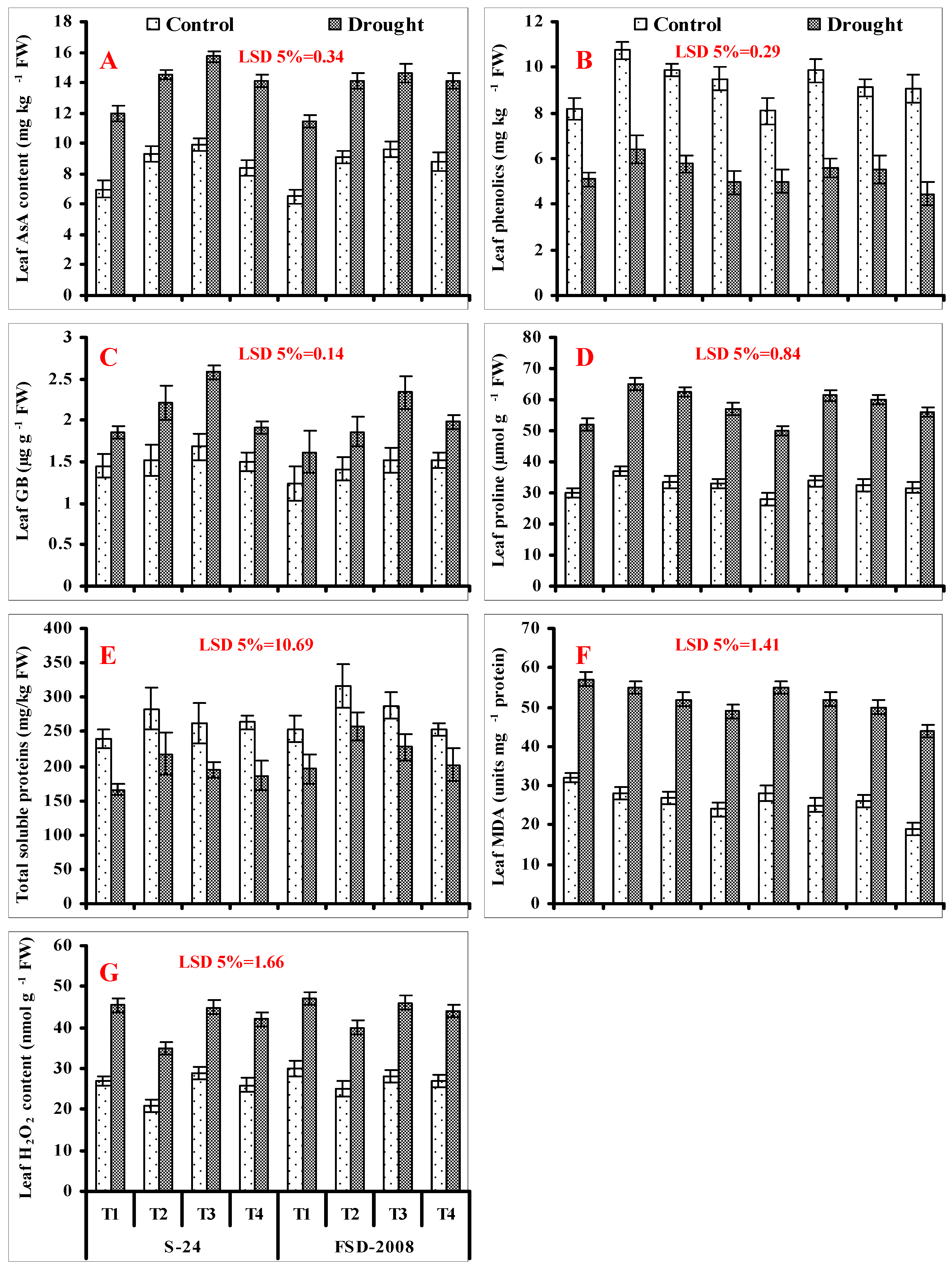
3. Results
3.1. Different Growth Attributes of Water-Stressed Wheat Plants Grown from Seeds Treated with Different Levels of SNP and H2O2
3.2. Photosynthetic Pigments and Activities of Antioxidant Enzymes of Water-Stressed Wheat Plants Grown from Seeds Primed with Different Levels of SNP and H2O2
3.3. Leaf phenolics, AsA, GB, Proline, TSP, MDA, and H2O2 Contents of Water-Stressed Wheat Plants Grown from SNP and H2o2-Treated Seeds
3.4. Plant Water Relations and Yield Attributes of Water-Stressed Wheat Plants Grown from Seeds Primed with Different Levels of SNP and H2O2
3.5. PCA Analysis Extracted from XLSTAT Software of All the Studied Attributes of Wheat Plants Grown Under Water-stressed Conditions from Seeds Primed with Different Levels of SNP and H2O2
4. Discussion
Author Contributions
Funding
Acknowledgments
Conflicts of Interest
References
- Akram, N.A.; Waseem, M.; Ameen, R.; Ashraf, M. Trehalose pretreatment induces drought tolerance in radish (Raphanus sativus L.) plants: Some key physio-biochemical traits. Acta Physiol. Plant. 2016, 38, 1–10. [Google Scholar]
- Cao, P.; Lu, C.; Yu, Z. Historical nitrogen fertilizer use in agricultural ecosystems of the contiguous United States during 1850–2015: Application rate, timing, and fertilizer types. Earth Syst. Sci. Data 2018, 10, 969–984. [Google Scholar] [CrossRef]
- Raza, G.; Ali, K.; Ashraf, M.Y.; Mansoor, S.; Javid, M.T.; Asad, S. Overexpression of an H+-PPase gene from Arabidopsis in sugarcane improves drought tolerance, plant growth, and photosynthetic responses. Turk. J. Biol. 2016, 40, 109–119. [Google Scholar] [CrossRef]
- Richards, S.L.; Wilkins, K.A.; Swarbreck, S.M.; Anderson, A.A.; Habib, N.; Smith, A.G.; McAinsh, M.R.; Davies, J.M. The hydroxyl radical in plants: From seed to seed. J. Exp. Bot. 2015, 66, 37–46. [Google Scholar] [CrossRef]
- Shan, C.; Yan, Z.; Liu, M. Nitric oxide participates in the regulation of the ascorbate-glutathione cycle by exogenous jasmonic acid in the leaves of wheat seedlings under drought stress. Protoplasma 2015, 252, 1397–1405. [Google Scholar] [CrossRef]
- Ashraf, M. Biotechnological approach of improving plant salt tolerance using antioxidants as markers. Biotechnol. Adv. 2009, 27, 84–93. [Google Scholar] [CrossRef]
- Ali, Q.; Ashraf, M. Exogenously applied glycinebetaine enhances seed and seed oil quality of maize (Zea mays L.) under water deficit conditions. Environ. Exp. Bot. 2011, 71, 249–259. [Google Scholar] [CrossRef]
- Habib, N.; Akram, M.S.; Javed, M.T.; Azeem, M.; Ali, Q.; Shaheen, H.L.; Ashraf, M. Nitric oxide regulated improvement in growth and yield of rice plants grown under salinity: Antioxidant defense system. Appl Ecol. Environ. Res. 2016, 14, 91–105. [Google Scholar] [CrossRef]
- Wu, D.; Chu, H.; Jia, L.; Chen, K.; Zhao, L. A feedback inhibition between nitric oxide and hydrogen peroxide in the heat shock pathway in Arabidopsis seedlings. Plant Growth Regul. 2015, 75, 503–509. [Google Scholar] [CrossRef]
- Gill, S.S.; Tuteja, N. Reactive oxygen species and antioxidant machinery in abiotic stress tolerance in crop plants. Plant Physiol. Biochem. 2010, 48, 909–930. [Google Scholar] [CrossRef]
- Ali, Q.; Ali, S.; Iqbal, N.; Javed, M.T.; Rizwan, M.; Khaliq, R.; Shahid, S.; Perveen, R.; Almari, S.A.; Alyemeni, M.N.; et al. Alpha-tocopherol fertigation confers growth physio-biochemical and qualitative yield enhancement in field grown water deficit wheat (Triticum aestivum L.). Sci. Rep. 2019, 9, 1–15. [Google Scholar] [CrossRef] [PubMed]
- Posmyk, M.M.; Bałabusta, M.; Wieczorek, M.; Sliwinska, E.; Janas, K.M. Melatonin applied to cucumber (Cucumis sativus L.) seeds improves germination during chilling stress. J. Pineal Res. 2009, 46, 214–223. [Google Scholar] [CrossRef] [PubMed]
- Ashraf, M.A. Hydrogen peroxide modulates antioxidant system and nutrient relation in maize (Zea mays L.) under water-deficit conditions. Arch. Agron. Soil Sci. 2014, 61, 507–523. [Google Scholar] [CrossRef]
- Ali, Q.; Daud, M.K.; Haider, M.Z.; Ali, S.; Rizwan, M.; Aslam, N.; Ali, N.; Iqbal, N.; Shahzad, F.; Deeba, F.; et al. Seed priming by sodium nitroprusside improves salt tolerance in wheat (Triticum aestivum L.) by enhancing physiological and biochemical parameters. Plant Physiol. Biochem. 2017, 119, 50–58. [Google Scholar] [CrossRef]
- Caverzan, A.; Casassola, A.; Brammer, S.P. Antioxidant responses of wheat plants under stress. Genet. Mol. Biol. 2016, 39, 1–6. [Google Scholar] [CrossRef]
- Din, J.; Khan, S.U.; Ali, I.; Gurmani, A.R. Physiological and agronomic response of canola varieties to drought stress. J. Anim. Plant Sci. 2011, 21, 78–82. [Google Scholar]
- Shafiq, S.; Akram, N.A.; Ashraf, M.; Arshad, A. Synergistic effects of drought and ascorbic acid on growth, mineral nutrients and oxidative defense system in canola (Brassica napus L.) plants. Acta Physiol. Plant 2014, 36, 1539–1553. [Google Scholar] [CrossRef]
- Mafakheri, A.; Siosemardeh, A.F.; Bahramnejad, B.; Struik, P.C.; Sohrabi, Y. Effect of drought stress on yield, proline and chlorophyll contents in three chickpea cultivars. Aust. J. Crop Sci. 2010, 4, 580–585. [Google Scholar]
- Gou, W.; Tian, L.; Ruan, Z.; Zheng, P.; Chen, F.; Zhang, L.; Cui, Z.; Zheng, P.; Li, Z.; Gao, M.; et al. Accumulation of choline and glycinebetaine and drought stress tolerance induced in maize (Zea mays L.) by three plant growth promoting rhizobacteria (PGPR) strains. Pak. J. Bot. 2015, 47, 581–586. [Google Scholar]
- Ali, Q.; Anwar, F.; Ashraf, M.; Saar, N.; Perveen, R. Ameliorating Effects of Exogenously Applied Proline on Seed Composition, Seed Oil Quality and Oil Antioxidant Activity of Maize (Zea mays L.) under Drought Stress. Int. J. Mol. Sci. 2013, 14, 818–835. [Google Scholar] [CrossRef]
- Noman, A.; Ali, Q.; Maqsood, J.; Iqbal, N.; Javed, M.T.; Rasool, N.; Naseem, J. Deciphering physio-biochemical, yield, and nutritional quality attributes of water-stressed radish (Raphanus sativus L.) plants grown from Zn-Lys primed seeds. Chemosphere 2018, 195, 175–189. [Google Scholar] [CrossRef] [PubMed]
- Hatzig, S.; Zaharia, L.; Abrams, S.; Hohmann, M.; Legoahec, L.; Bouchereau, A.; Nesi, N.; Snowdon, R.J. Early osmotic adjustment responses in drought-resistant and drought-sensitive oilseed rape. J. Integr. Plant Biol. 2014, 56, 797–809. [Google Scholar] [CrossRef] [PubMed]
- Wang, Y.; Zhang, J.; Li, J.L.; Ma, X.R. Exogenous hydrogen peroxide enhanced the thermo tolerance of Festucaarundinacea and Loliumperenne by increasing the antioxidative capacity. Acta Physiol. Plant 2014, 36, 2915–2924. [Google Scholar] [CrossRef]
- Hossain, M.A.; Bhattacharjee, S.; Armin, S.M.; Qian, P.; Xin, W.; Li, H.Y.; Burritt, D.J.; Fujita, M.; Tran, L.S. Hydrogen peroxide priming modulates abiotic oxidative stress tolerance: Insights from ROS detoxification and scavenging. Front. Plant Sci. 2015, 6, 1–19. [Google Scholar] [CrossRef]
- Ashfaque, F.; Khan, M.I.R.; Khan, N.A. Exogenously applied H2O2 promotes proline accumulation, water relations, photosynthetic efficiency and growth of wheat (Triticum aestivum L.) under salt stress. Annu. Res. Rev. Biol. 2014, 4, 105–120. [Google Scholar] [CrossRef]
- Sun, S.J.; Qi, G.N.; Gao, Q.F.; Wang, H.Q.; Yao, F.Y.; Hussain, J.; Wang, Y.F. Protein kinase OsSAPK8 functions as an essential activator of S-type anion channel OsSLAC1, which is nitrate-selective in rice. Planta 2016, 243, 489–500. [Google Scholar] [CrossRef]
- Wen, Y.; Wang, H.; Kho, S.; Rinkiko, S.; Sheng, X.; Shen, H.; Zhu, Y. Hydrogen sulfide protects HUVECs against hydrogen peroxide induced mitochondrial dysfunction and oxidative stress. PLoS ONE 2013, 8, 1–10. [Google Scholar] [CrossRef]
- Habib, N.; Ashraf, M.; Shahbaz, M. Effect of exogenously applied nitric oxide on some key physiological attributes of rice (Oryza sativa L.) plants under salt stress. Pak. J. Bot. 2013, 45, 1563–1569. [Google Scholar]
- Ishibashi, Y.; Yamaguchi, H.; Yuasa, T.; Iwaya-Inoue, M.; Arima, S.; Zheng, S.H. Hydrogen peroxide spraying alleviates drought stress in soyabean plants. J. Plant Physiol. 2011, 168, 1562–1567. [Google Scholar] [CrossRef]
- Liao, W.B.; Zhang, M.L.; Huang, G.B.; Yu, J.H. Ca2+ and Ca Mare involved in NO and H2O2-induced adventitious root development in marigold. J. Plant Growth Regul. 2012, 31, 253–264. [Google Scholar] [CrossRef]
- Savvides, A.; Ali, S.; Tester, M.; Fotopoulos, V. Chemical priming of plants against multiple abiotic stresses: Mission possible? Trends Plant Sci. 2016, 21, 329–340. [Google Scholar] [CrossRef] [PubMed]
- Liu, B.; Larsson, L.; Caballero, A.; Hao, X.; Oling, D.; Grantham, J.; Nyström, T. The polarisome is required for segregation and retrograde transport of protein aggregates. Cell 2010, 140, 257–267. [Google Scholar] [CrossRef] [PubMed]
- Hossain, M.A.; Hoque, M.A.; Burritt, D.J.; Fujita, M. Proline Protects Plants Against Abiotic Oxidative Stress: Biochemical and Molecular Mechanisms. In Oxidative Damage to Plants; Academic Press: Cambridge, MA, USA, 2014; pp. 477–522. [Google Scholar]
- Xiong, J.; Zhang, L.; Fu, G.; Yang, Y.; Zhu, C.; Tao, L. Drought-induced proline accumulation is uninvolved with increased nitric oxide, which alleviates drought stress by decreasing transpiration in rice. J. Plant Res. 2012, 125, 155–164. [Google Scholar] [CrossRef] [PubMed]
- Liao, W.B.; Huang, G.B.; Yu, J.H.; Zhang, M.L.; Shi, X.L. Nitric oxide and hydrogen peroxide are involved in indole-3-butyric acid-induced adventitious root development in marigold. J. Hortic. Sci. Biotech. 2011, 86, 159–165. [Google Scholar] [CrossRef]
- Zhao, X.; Wang, J.; Yuan, J.; Wang, X.L.; Zhao, Q.P.; Kong, P.T.; Zhang, X. Nitric oxide-associated protein1 (atnoa1) is essential for salicylic acid- induced root waving in Arabidopsis thaliana. New Phytol. 2015, 207, 211–224. [Google Scholar] [CrossRef]
- Habib, N.; Ashraf, M. Effect of exogenously applied nitric oxide on water relations and ionic composition of rice (Oryza sativa L.) plants under salt stress. Pak. J. Bot. 2014, 46, 111–116. [Google Scholar]
- Liu, W.W.; Chen, H.B.; Lu, X.Y.; Rahman, M.J.; Zhong, S.; Zhou, B.Y. Identification of nitric oxide responsive genes in the floral buds of Litchi chinensis. Biol. Plant. 2015, 59, 115–122. [Google Scholar] [CrossRef]
- Fan, H.F.; Du, C.X.; Ding, L.; Xu, Y.L. Effects of nitric oxide on the germination of cucumber seeds and antioxidant enzymes under salinity stress. Acta Physiol. Plant 2013, 35, 2707–2719. [Google Scholar] [CrossRef]
- Wang, P.; Zhu, J.K.; Lang, Z. Nitric oxide suppresses the inhibitory effect of abscisic acid on seed germination by s-nitrosylation of snrk2 proteins. Plant Signal. Behav. 2015, 10, 1–3. [Google Scholar] [CrossRef]
- Shi, K.; Li, X.; Zhang, H.; Zhang, G.; Liu, Y.; Zhou, Y.; Xia, X.; Chen, Z.; Yu, J. Guard cell hydrogen peroxide and nitric oxide mediate elevated CO2-induced stomatal movement in tomato. New Phytol. 2015, 208, 342–353. [Google Scholar] [CrossRef]
- Laspina, N.V.; Groppa, M.D.; Tomaro, M.L.; Benavides, M.P. Nitric oxide protects sunflower leaves against Cd-induced oxidative stress. Plant Sci. 2005, 169, 323–330. [Google Scholar] [CrossRef]
- Zhang, F.; Wang, Y.; Yang, Y.; Wu, H.; Wang, D.; Liu, J. Involvement of hydrogen peroxide and nitric oxide in salt resistance in the calluses from Populus euphratica. Plant Cell Environ. 2007, 30, 775–785. [Google Scholar] [CrossRef] [PubMed]
- Dong, Y.; Xu, L.; Wang, Q.; Fan, Z.; Kong, J.; Bai, X. Effects of exogenous nitric oxide on photosynthesis, antioxidative ability, and mineral element contents of perennial ryegrass under copper stress. J Plant Interact 2014, 9, 402–411. [Google Scholar] [CrossRef]
- Kausar, F.; Shahbaz, M.; Ashraf, M. Protective role of foliar-applied nitric oxide in Triticum aestivum under saline stress. Turk. J. Bot. 2013, 37, 1155–1165. [Google Scholar] [CrossRef]
- Kovacs, E.; Zorn, J.A.; Huang, Y.; Barros, T.; Kuriyan, J. A structural perspective on the regulation of the epidermal growth factor receptor. Annu. Rev. Biochem. 2015, 84, 739–764. [Google Scholar] [CrossRef]
- Fan, Y.; Shabala, S.; Ma, Y.; Xu, R.; Zhou, M. Using QTL mapping to investigate the relationships between abiotic stress tolerance (drought and salinity) and agronomic and physiological traits. BMC Genom. 2015, 16, 1–11. [Google Scholar] [CrossRef]
- Jday, A.; Rejeb, K.B.; Slama, I.; Saadallah, K.; Bordenave, M.; Planchais, S.; Saouvre, A.; Abdelly, C. Effects of exogenous nitric oxide on growth, proline accumulation and antioxidant capacity in Cakile maritima seedlings subjected to water deficit stress. Funct. Plant Biol. 2016, 43, 939–948. [Google Scholar] [CrossRef]
- Lu, Z.; Cheng, B.; Hu, Y.; Zhang, Y.; Zou, G. Complexation of resveratrol with cyclodextrins: Solubility and antioxidant activity. Food Chem. 2009, 113, 17–20. [Google Scholar] [CrossRef]
- Luna, C.M.; Pastori, G.M.; Driscoll, S.; Groten, K.; Bernard, S.; Foyer, C.H. Drought controls on H2O2 accumulation, catalase (CAT) activity and CAT gene expression in wheat. J. Exp. Bot. 2005, 56, 417–423. [Google Scholar] [CrossRef]
- Neill, S.; Barros, R.; Bright, J.; Desikan, R.; Hancock, J.; Harrison, J.; Morris, P.; Ribeiro, D.; Wilson, I. Nitric oxide, stomatal closure and abiotic stress. J. Exp. Bot. 2008, 59, 165–176. [Google Scholar] [CrossRef]
- Zeng, C.L.; Liu, L.; Wang, B.R.; Wu, X.M.; Zhu, Y. Physiological effects of exogenous nitric oxide on Brassica juncea seedlings under NaCl stress. Biol. Plant. 2011, 55, 345–348. [Google Scholar] [CrossRef]
- Zhang, X.Y.; Tan, Y.L.; Cao, L.Y.; Wu, G.Y.; Xu, Q.; Shen, Y.; Zhou, D.F. Antioxidant enzymes and lipid peroxidation in different forms of schizophrenia treated with typical and atypical antipsychotics. Schizophr. Res. 2006, 81, 291–300. [Google Scholar] [CrossRef] [PubMed]
- Lin, A.; Wang, Y.; Tang, J.; Xue, P.; Li, C.; Liu, L.; Hu, B.; Yang, F.; Loake, G.J.; Chu, C. Nitric oxide and protein S-nitrosylation are integral to hydrogen peroxide induced: Leaf cell death in rice. Plant Physiol. 2012, 158, 451–464. [Google Scholar] [CrossRef] [PubMed]
- Tan, J.; Wang, C.; Xiang, B.; Han, R.; Guo, Z. Hydrogen peroxide and nitric oxide mediated cold and dehydration induced myo-inositol phosphate synthase that confers multiple resistances to abiotic stresses. Plant Cell Environ. 2013, 36, 288–299. [Google Scholar] [CrossRef] [PubMed]
- Moussa, H.R.; Mohamed, M.A.E.H. Role of nitric acid or H2O2 in antioxidant defense system of Pisum sativum L. under drought stress. Nat. Sci. 2011, 9, 211–216. [Google Scholar]
- Jones, M.M.; Turner, N.C. Osmotic adjustment in leaves of sorghum in response to water deficits. Plant Physiol. 1978, 61, 122–126. [Google Scholar] [CrossRef]
- Arnon, D.I. Copper enzyme in isolated chloroplasts. Polyphenoloxidase in Beta vulgaris. Plant Physiol. 1949, 24, 1–15. [Google Scholar] [CrossRef]
- Giannopolitis, C.N.; Ries, S.K. Superoxide dismutases: I. Occurrence in higher plants. Plant Physiol. 1977, 59, 309–314. [Google Scholar] [CrossRef]
- Chance, B.; Maehly, A.C. Assay of catalases and peroxidases. Methods Enzymol. 1955, 2, 764–775. [Google Scholar]
- Mukherjee, S.P.; Choudhuri, M.A. Implications of water stress-induced changes in the levels of endogenous ascorbic acid and hydrogen peroxide in Vigna seedlings. Physiol. Plant. 1983, 58, 166–170. [Google Scholar] [CrossRef]
- Julkunen-Tiitto, R. Phenolic constituents in the leaves of northern willows: Methods for the analysis of certain phenolics. J. Agric. Food Chem. 1985, 33, 213–217. [Google Scholar] [CrossRef]
- Bates, L.S.; Waldren, R.P.; Teare, I.D. Rapid determination of free proline for water stress studies. Plant Soil 1973, 39, 205–207. [Google Scholar] [CrossRef]
- Grieve, C.M.; Grattan, S.R. Rapid assay for determination of water soluble quaternary ammonium compounds. Plant Soil 1983, 70, 303–307. [Google Scholar] [CrossRef]
- Bradford, M.M. A rapid and sensitive method for the quantitation of microgram quantities of protein utilizing the principle of protein-dye binding. Anal. Biochem. 1976, 72, 248–254. [Google Scholar] [CrossRef]
- Velikova, V.; Yordanov, I.; Edreva, A. Oxidative stress and some antioxidant systems in acid rain-treated bean plants: Protective role of exogenous polyamines. Plant Sci. 2000, 151, 59–66. [Google Scholar] [CrossRef]
- Cakmak, I.; Horst, W.J. Effect of aluminium on lipid peroxidation, superoxide dismutase, catalase, and peroxidase activities in root tips of soybean (Glycine max). Physiol. Plant. 1991, 83, 463–468. [Google Scholar] [CrossRef]
- Jamil, S.; Ali, Q.; Iqbal, M.; Javed, M.T.; Iftikhar, W.; Shahzad, F.; Perveen, R. Modulations in plant water relations and tissue-specific osmoregulation by foliar-applied ascorbic acid and the induction of salt tolerance in maize plants. Braz. J. Bot. 2015, 38, 527–538. [Google Scholar] [CrossRef]
- Quan, Z.; Cao, L.; Tang, Y.; Yan, Y.; Oliver, S.G.; Zhang, N. The yeast GSK-3 homologue Mck1 is a key controller of quiescence entry and chronological lifespan. PLoS Genet. 2015, 11, 1–15. [Google Scholar] [CrossRef]
- Abid, M.; Ali, S.; Qi, L.K.; Zahoor, R.; Tian, Z.; Jiang, D.; Snider, J.L.; Dai, T. Physiological and biochemical changes during drought and recovery periods at tillering and jointing stages in wheat (Triticum aestivum L.). Sci. Rep. 2018, 8, 4615. [Google Scholar] [CrossRef]
- Teng, K.; Li, J.; Liu, L.; Han, Y.; Du, Y.; Zhang, J.; Sun, H.; Zhao, Q. Exogenous ABA induces drought tolerance in upland rice: The role of chloroplast and ABA biosynthesis-related gene expression on photosystem II during PEG stress. Acta Physiol. Plant 2014, 36, 2219–2227. [Google Scholar] [CrossRef]
- Wang, Y.; Li, J.; Wang, J.; Li, Z. Exogenous H2O2 improves the chilling tolerance of manilagrass and mascarenegrass by activating the antioxidative system. Plant Growth Regul. 2010, 61, 195–205. [Google Scholar] [CrossRef]
- Taize, L.; Zeiger, E.; Moller, I.M.; Murphy, A. Plant Physiology and Development, 6th ed.; Sinauer Associates, Inc. Publishers: Sunderland, MA, USA, 2015. [Google Scholar]
- Ashraf, M.A.; Ashraf, M. Salt-induced variation in some potential physiological attribute of two genetically diverse spring wheat (Triticum aestivum L.) cultivars: Photosynthesis and photosystem II efficiency. Pak. J. Bot. 2012, 44, 53–64. [Google Scholar]
- Orabi, S.A.; Hussein, M.M.; Zaki, S.S.; Sharara, F.A. Influence of hydrogen peroxide on growth, yield and biochemical constituents of canola plants grown under different irrigation intervals. Curr. Sci. Int. 2018, 7, 407–418. [Google Scholar]
- Gao, Y.; Guo, Y.K.; Lin, S.H.; Fang, Y.Y.; Bai, J.G. Hydrogen peroxide pretreatment alters the activity of antioxidant enzymes and protects chloroplast ultrastructure in heat-stressed cucumber leaves. Sci. Hortic. 2010, 126, 20–26. [Google Scholar] [CrossRef]
- Fan, Q.J.; Liu, J.H. Nitric oxide is involved in dehydration/drought tolerance in Poncirus trifoliata seedlings through regulation of antioxidant systems and stomatal response. Plant Cell Rep. 2012, 31, 145–154. [Google Scholar] [CrossRef]
- Munns, R. Chapter 1—Plant Adaptations to Salt and Water Stress: Differences and Commonalities. Adv. Bot. Res. 2011, 57, 1–32. [Google Scholar]
- Stiven, G.; Sanaratna, T. Salicylic acid induced physiological and biochemical changes in wheat seedlings under water stress. Plant Growth Regul. 2006, 39, 137–141. [Google Scholar]
- AzevedoNeto, A.D.; Prisco, J.T.; Enéas-Filho, J.; Medeiros, J.V.R.; Gomes-Filho, E. Hydrogen peroxide pre-treatment induces salt-stress acclimation in maize plants. J. Plant Physiol. 2005, 162, 1114–1122. [Google Scholar] [CrossRef]
- Ali, Q.; Javed, M.T.; Noman, A.; Haider, M.Z.; Waseem, M.; Iqbal, N.; Wasim, M.; Shah, M.S.; Shahzad, F.; Perveen, R. Assessment of drought tolerance in mung bean cultivars/lines as depicted by the activities of germination enzymes, seedling’s antioxidative potential and nutrient acquisition. Arch. Agron. Soil Sci. 2018, 64, 84–102. [Google Scholar] [CrossRef]
- Nahar, K.; Hasanuzzaman, M.; Alam, M.M.; Rahman, A.; Mahmud, J.A.; Suzuki, T.; Fujita, M. Insights into spermine-induced combined high temperature and drought tolerance in mung bean: Osmoregulation and roles of antioxidant and glyoxalase system. Protoplasma 2017, 254, 445–460. [Google Scholar] [CrossRef]
- Demiral, H.; Baykul, E.; Gezer, M.D.; Erkoç, S.; Engin, A.; Baykul, M.C. Preparation and characterization of activated carbon from chestnut shell and its adsorption characteristics for lead. Sep. Sci. Technol. 2014, 49, 2711–2720. [Google Scholar] [CrossRef]
- Cirulis, J.T.; Scott, J.A.; Ross, G.M. Management of oxidative stress by microalgae. Can. J. Physiol. Pharmacol. 2013, 91, 15–21. [Google Scholar] [CrossRef] [PubMed]
- Mittler, R.; Vanderauwera, S.; Gollery, M.; Van Breusegem, F. Reactive oxygen gene network of plants. Trends Plant Sci. 2004, 9, 490–498. [Google Scholar] [CrossRef] [PubMed]
- Bai, X.J.; Liu, L.J.; Zhang, C.H.; Ge, Y.; Cheng, W.D. Effect of H2O2 pretreatment on Cd tolerance of different rice cultivars. Rice Sci. 2011, 18, 29–35. [Google Scholar] [CrossRef]
- Ishibashi, Y.; Yamamoto, K.; Tawaratusmida, T.; Yuasa, T.; Iwaya-Inoue, M. Hydrogen peroxide scavenging regulates germination ability during wheat (Triticum aestivum L.) seed maturation. Plant Signal. Behav. 2008, 3, 183–188. [Google Scholar] [CrossRef]
- Habib, N.; Ashraf, M.; Ali, Q.; Perveen, R. Response of salt stressed okra (Abelmoschus esculentus Moench.) plants to foliar-applied glycine betaine and glycine betaine containing sugarbeet extract. S. Afr. J. Bot. 2012, 83, 151–158. [Google Scholar] [CrossRef]
- Kavi Kishor, P.B.; Sangam, S.; Amrutha, R.N.; Laxmi, P.S.; Naidu, K.R.; Rao, K.R.S.S.; Rao, S.; Reddy, K.J.; Theriappan, P.; Sreenivasulu, N. Regulation of proline biosynthesis, degradation, uptake and transport in higher plants: Its implications in plant growth and abiotic stress tolerance. Curr. Sci. 2005, 88, 424–438. [Google Scholar]
- Ahmad, P.; Abdel Latef, A.A.; Hashem, A.; Abd-Allah, E.F.; Gucel, S.; Tran, L.S.P. Nitric oxide mitigates salt stress by regulating levels of osmolytes and antioxidant enzymes in chickpea. Front Plant Sci 2016, 7, 347. [Google Scholar] [CrossRef]
- Hayat, S.; Hayat, Q.; Alyemeni, M.N.; Wani, A.S.; Pichtel, J.; Ahmad, A. Role of proline under changing environments: A review. Plant Signal. Behav. 2012, 7, 1456–1466. [Google Scholar] [CrossRef]
- Kausar, F.; Shahbaz, M. Interactive effect of foliar application of nitric oxide (NO) and salinity on wheat (Triticum aestivum). Pak. J. Bot. 2013, 45, 67–73. [Google Scholar]
- Alia, A.; Mohanty, P.; Matysik, J. Effect of proline on the production of singlet oxygen. Amino Acids 2001, 21, 195–200. [Google Scholar] [PubMed]
- Arasimowicz-Jelonek, M.; Floryszak-Wieczorek, J.; Kubis, J. Involvement of nitric oxide in water stress-induced responses of cucumber roots. Plant Sci. 2009, 177, 682–690. [Google Scholar] [CrossRef]
- Shi, H.T.; Li, R.J.; Cai, W.; Liu, W.; Wang, C.L.; Lu, Y.T. Increasing nitric oxide content in Arabidopsis thaliana by expressing rat neuronal nitric oxide synthase resulted in enhanced stress tolerance. Plant Cell Physiol. 2012, 53, 344–357. [Google Scholar] [CrossRef] [PubMed]





| SOV | df | SFW | SDW | RFW | RDW | SL | RL | Yield/Plant |
| Stress (S) | 1 | 183.39 *** | 2.830 ** | 43.99 ** | 0.507 ** | 2440 *** | 129.62 *** | 141.50 *** |
| Cultivars CV) | 1 | 11.27 * | 0.628 * | 2.584 * | 0.131 * | 45.76 ** | 4.45 ** | 0.39 * |
| Treatments (T) | 3 | 44.65 ** | 1.312 * | 4.464 * | 0.600 ** | 258.98 *** | 14.74 *** | 2.13 ** |
| S × CV | 1 | 1.54 ns | 0.047 ns | 0.066 ns | 6.20 ns | 0.01 ns | 0.275 ns | 0.005ns |
| S × T | 3 | 5.94 ns | 0.012 ns | 0.400 ns | 0.045 ns | 6.510 ns | 0.201 ns | 0.130 ns |
| CV × T | 3 | 2.32 ns | 0.062 ns | 0.245 ns | 0.039 ns | 1.462 ns | 0.162 ns | 0.042 ns |
| Error | 22 | 0.94 | 0.055 | 0.648 | 0.012 | 1.077 | 0.093 | 0.023 |
| SOV | df | 100 Grain wt. | No. of Tillers | LRWC | Leaf Ψs | Leaf Ψw | Leaf Ψp | Chl. a |
| Stress (S) | 1 | 9.672 *** | 2.788 *** | 676 *** | 1.404 *** | 2.059 *** | 0.0289 *** | 1.274 *** |
| Cultivars CV) | 1 | 0.050 * | 0.476* | 81 *** | 0.044 *** | 0.062 ** | 0.0025 ** | 0.014 * |
| Treatments (T) | 3 | 0.526 *** | 1.5113 ** | 112 *** | 0.088 *** | 0.054 ** | 0.0069 *** | 0.050 ** |
| S × CV | 1 | 0.004 ns | 0.090 ns | 2.25 ns | 2.250e-4 ns | 0.0012 ns | 1.00e-4 ns | 9.22e-4 ns |
| S × T | 3 | 0.011 ns | 0.009 ns | 2.83 ns | 0.009 ** | 0.005 ns | 6.17e-4 ** | 0.004 ns |
| CV × T | 3 | 0.010 ns | 0.010 ns | 1.83 ns | 0.003 * | 0.006 ns | 1.17e-4 ns | 0.005 ns |
| Error | 22 | 0.002 | 0.016 ns | 0.42 | 1.75e-4 | 8.417e-4 | 1.67e-5 | 7.31e-4 ns |
| SOV | df | Chl. b | Total Chl. | Leaf AsA | Phenolics | GB | Proline | TSP |
| Stress (S) | 1 | 0.285 *** | 2.332 *** | 110.14 *** | 62.52 *** | 1.276 *** | 2608 *** | 16320 *** |
| Cultivars CV) | 1 | 0.021 ** | 0.049 * | 0.448 * | 0.916 ** | 0.093 * | 17.49 ** | 2047 ** |
| Treatments (T) | 3 | 0.015 ** | 0.049 * | 7.713 *** | 1.860 ** | 0.162 ** | 64.58 *** | 2249 ** |
| S × CV | 1 | 0.009 * | 0.038 * | 0.144ns | 0.018 ns | 0.006 ns | 0.16 ns | 203.0 6ns |
| S × T | 3 | 0.002 ns | 0.011 ns | 0.071ns | 0.426 * | 0.044 * | 8.93 ** | 3.56 ns |
| CV × T | 3 | 3.10e-4 ns | 0.005 ns | 0.16ns | 0.092 ns | 0.017ns | 0.87 ns | 215.06 * |
| Error | 22 | 3.18e-4 | 0.004 | 0.023 | 0.016 | 0.003 | 0.14 | 22.56 |
| SOV | df | POD | CAT | SOD | MDA | H2O2 | ||
| Stress (S) | 1 | 493.83 *** | 109.15 *** | 29.42 *** | 2626 *** | 1080 *** | ||
| Cultivars CV) | 1 | 1.7755 ** | 0.60 ** | 6.32 ** | 39.06 ** | 17.28 * | ||
| Treatments (T) | 3 | 5.3091 *** | 0.77 ** | 10.99 ** | 6.062 *** | 42.85 ** | ||
| S × CV | 1 | 0.262 * | 0.08 ns | 0.04ns | 0.062 ns | 0.432 ns | ||
| S × T | 3 | 2.378 ** | 0.24 * | 3.155 ** | 1.229 ns | 1.913 ns | ||
| CV × T | 3 | 0.130 ns | 0.02 ns | 0.233 ns | 2.062 ns | 3.479 ns | ||
| Error | 22 | 0.020 | 0.012 | 0.08055 | 0.396 | 0.546 |
| Variables | SFW | SDW | RFW | RDW | SL | RL | GY | 100 GW | NOT |
|---|---|---|---|---|---|---|---|---|---|
| SFW | 1 | 0.910 *** | 0.735 *** | 0.629 *** | 0.861 *** | 0.786 *** | 0.798 *** | 0.842 *** | 0.767 *** |
| SDW | 0.910 *** | 1 | 0.658 *** | 0.593 *** | 0.815 *** | 0.745 *** | 0.719 *** | 0.761 *** | 0.695 *** |
| RFW | 0.735 *** | 0.658 *** | 1 | 0.760 *** | 0.885 *** | 0.959 *** | 0.879 *** | 0.878 *** | 0.708 *** |
| RDW | 0.629 *** | 0.593 *** | 0.760 *** | 1 | 0.597 *** | 0.773 *** | 0.555 *** | 0.673 *** | 0.574 *** |
| SL | 0.861 *** | 0.815 *** | 0.885 *** | 0.597 *** | 1 | 0.923 *** | 0.900 *** | 0.872 *** | 0.646 *** |
| RL | 0.786 *** | 0.745 *** | 0.959*** | 0.773 *** | 0.923 *** | 1 | 0.912 *** | 0.925 *** | 0.740 *** |
| GY | 0.798 *** | 0.719 *** | 0.879 *** | 0.555 *** | 0.900 *** | 0.912 *** | 1 | 0.976 *** | 0.837 *** |
| 100 GW | 0.842 *** | 0.761 *** | 0.878 *** | 0.673 *** | 0.872 *** | 0.925 *** | 0.976 *** | 1 | 0.903 *** |
| NOT | 0.767 *** | 0.695 *** | 0.708 *** | 0.574 *** | 0.646 *** | 0.740 *** | 0.837 *** | 0.903 *** | 1 |
| RWC | 0.678 *** | 0.697 *** | 0.822 *** | 0.672 *** | 0.718 *** | 0.862 *** | 0.852 *** | 0.882 *** | 0.822 *** |
| O P | −0.737 *** | −0.595 *** | −0.884 *** | −0.689 *** | −0.817 *** | −0.917 *** | −0.928 *** | −0.956 *** | −0.833 *** |
| W P | −0.757 *** | −0.698 *** | −0.800 *** | −0.520 *** | −0.812 *** | −0.856 *** | −0.977 *** | −0.972 *** | −0.892 *** |
| T P | 0.690 *** | 0.693 *** | 0.854 *** | 0.739 *** | 0.737 *** | 0.859 *** | 0.806 *** | 0.843 *** | 0.770 *** |
| Chl a | 0.742 *** | 0.715 *** | 0.881 *** | 0.592 *** | 0.861 *** | 0.925 *** | 0.962 *** | 0.944 *** | 0.803 *** |
| Chl b | 0.679 *** | 0.517 *** | 0.869 *** | 0.641 *** | 0.796 *** | 0.879 *** | 0.895 *** | 0.911 *** | 0.763 *** |
| T Chl | 0.718 *** | 0.641 *** | 0.916 *** | 0.589 *** | 0.903 *** | 0.952 *** | 0.953 *** | 0.917 *** | 0.706 *** |
| AsA | −0.479 *** | −0.312 * | −0.582 *** | −0.079 ns | −0.653 *** | −0.574 *** | −0.797 *** | −0.692 *** | −0.514 *** |
| TPC | 0.790 *** | 0.677 *** | 0.837 *** | 0.589 *** | 0.809 *** | 0.874 *** | 0.967 *** | 0.981 *** | 0.905 *** |
| GB | −0.445 ** | −0.248 ns | −0.500 *** | −0.040 ns | −0.583 *** | −0.486 *** | −0.674 *** | −0.595 *** | −0.440 ** |
| Proline | −0.596 *** | −0.443 ** | −0.724 *** | −0.248 ns | −0.786 *** | −0.720 *** | −0.872 *** | −0.783 *** | −0.566 *** |
| TSP | 0.645 *** | 0.512 *** | 0.846 *** | 0.724 *** | 0.729 *** | 0.860 *** | 0.841 *** | 0.879 *** | 0.793 *** |
| POD | −0.640 *** | −0.482 *** | −0.768 *** | −0.339 * | −0.803 *** | −0.767 *** | −0.906 *** | −0.836 *** | −0.632 *** |
| CAT | −0.618 *** | −0.473 *** | −0.783 *** | −0.371 ** | −0.791 *** | −0.791 *** | −0.925 *** | −0.864 *** | −0.676 *** |
| SOD | −0.613 *** | −0.478 *** | −0.650 *** | −0.184 ns | −0.734 *** | −0.655 *** | −0.850 *** | −0.767 *** | −0.597 *** |
| MDA | −0.802 *** | −0.702 *** | −0.879 *** | −0.515 *** | −0.961 *** | −0.909 *** | −0.961 *** | −0.916 *** | −0.698 *** |
| H2O2 | −0.772 *** | −0.682 *** | −0.756 *** | −0.469 *** | −0.805 *** | −0.810 *** | −0.961 *** | −0.954 *** | −0.879 *** |
© 2020 by the authors. Licensee MDPI, Basel, Switzerland. This article is an open access article distributed under the terms and conditions of the Creative Commons Attribution (CC BY) license (http://creativecommons.org/licenses/by/4.0/).
Share and Cite
Habib, N.; Ali, Q.; Ali, S.; Javed, M.T.; Zulqurnain Haider, M.; Perveen, R.; Shahid, M.R.; Rizwan, M.; Abdel-Daim, M.M.; Elkelish, A.; et al. Use of Nitric Oxide and Hydrogen Peroxide for Better Yield of Wheat (Triticum aestivum L.) under Water Deficit Conditions: Growth, Osmoregulation, and Antioxidative Defense Mechanism. Plants 2020, 9, 285. https://doi.org/10.3390/plants9020285
Habib N, Ali Q, Ali S, Javed MT, Zulqurnain Haider M, Perveen R, Shahid MR, Rizwan M, Abdel-Daim MM, Elkelish A, et al. Use of Nitric Oxide and Hydrogen Peroxide for Better Yield of Wheat (Triticum aestivum L.) under Water Deficit Conditions: Growth, Osmoregulation, and Antioxidative Defense Mechanism. Plants. 2020; 9(2):285. https://doi.org/10.3390/plants9020285
Chicago/Turabian StyleHabib, Noman, Qasim Ali, Shafaqat Ali, Muhammad Tariq Javed, Muhammad Zulqurnain Haider, Rashida Perveen, Muhammad Rizwan Shahid, Muhammad Rizwan, Mohamed M. Abdel-Daim, Amr Elkelish, and et al. 2020. "Use of Nitric Oxide and Hydrogen Peroxide for Better Yield of Wheat (Triticum aestivum L.) under Water Deficit Conditions: Growth, Osmoregulation, and Antioxidative Defense Mechanism" Plants 9, no. 2: 285. https://doi.org/10.3390/plants9020285
APA StyleHabib, N., Ali, Q., Ali, S., Javed, M. T., Zulqurnain Haider, M., Perveen, R., Shahid, M. R., Rizwan, M., Abdel-Daim, M. M., Elkelish, A., & Bin-Jumah, M. (2020). Use of Nitric Oxide and Hydrogen Peroxide for Better Yield of Wheat (Triticum aestivum L.) under Water Deficit Conditions: Growth, Osmoregulation, and Antioxidative Defense Mechanism. Plants, 9(2), 285. https://doi.org/10.3390/plants9020285

