The Importance of Root Interactions in Field Bean/Triticale Intercrops
Abstract
1. Introduction
2. Results
2.1. Intercrop Performance
2.2. Field Bean
2.2.1. Plant Growth
2.2.2. Root Morphometry
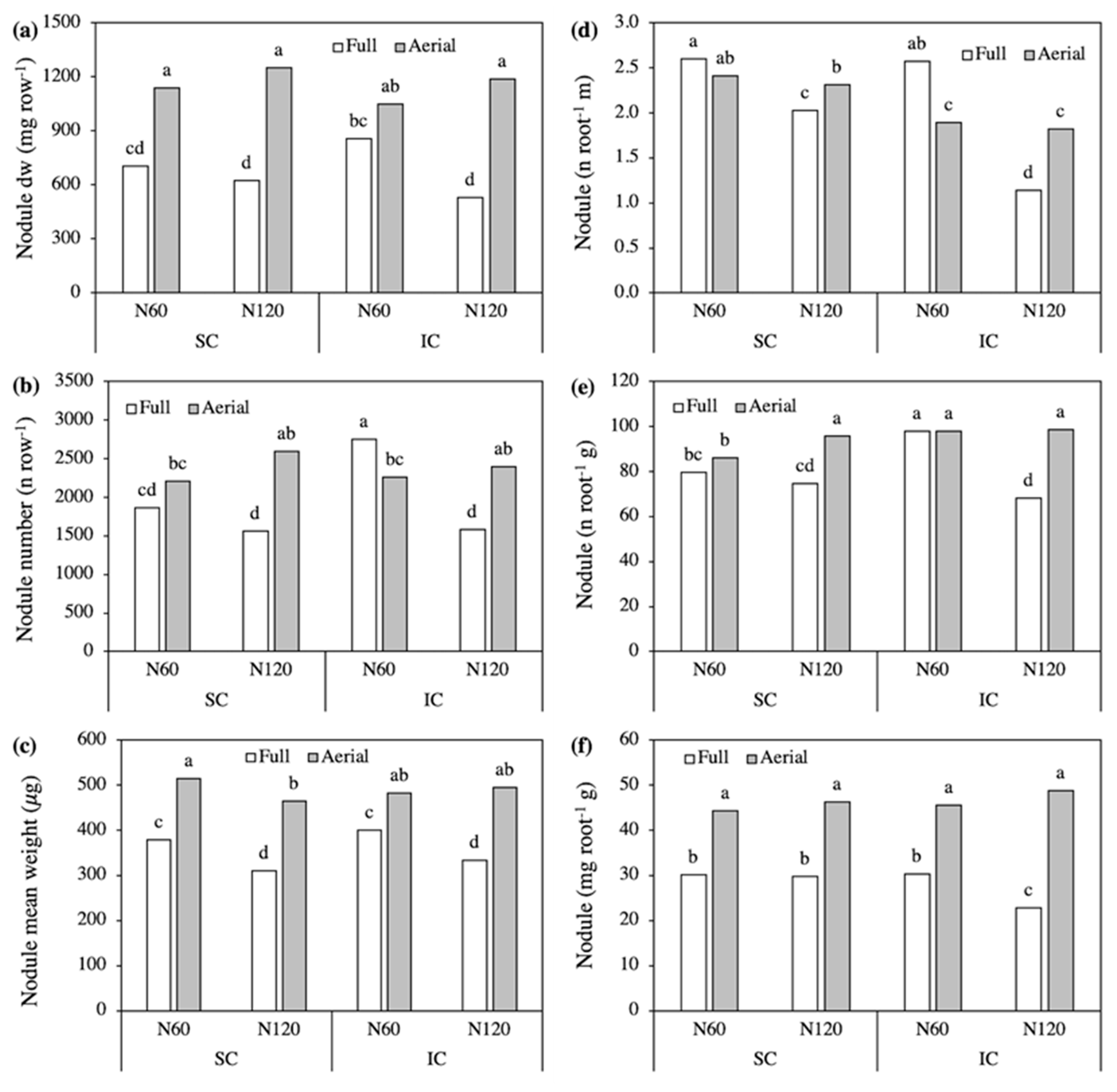
2.2.3. Nodule Initiation and Growth
2.2.4. Nutrient Uptake
2.3. Triticale
2.3.1. Plant Growth
2.3.2. Root Morphometry
2.3.3. Nutrient Uptake
2.4. Soil Enzyme Activity
3. Discussion
4. Materials and Methods
4.1. Experimental Conditions
4.2. Experiment Setup
4.3. Experiment Management
4.4. Shoot Harvest and Measurements
4.5. Root Harvest and Measurements
4.6. Root Image Analysis
4.7. Chemical Analyses
4.8. Soil Enzyme Activities
4.9. Statistical Analysis
5. Conclusions
Author Contributions
Funding
Acknowledgments
Conflicts of Interest
References
- Duchene, O.; Vian, J.F.; Celette, F. Intercropping with legume for agroecological cropping systems: Complementarity and facilitation processes and the importance of soil microorganisms. A review. Agric. Ecosyst. Environ. 2017, 240, 148–161. [Google Scholar] [CrossRef]
- Bybee-Finley, K.; Ryan, M. Advancing intercropping research and practices in industrialized agricultural landscapes. Agriculture 2018, 8, 80. [Google Scholar] [CrossRef]
- Wezel, A.; Casagrande, M.; Celette, F.; Vian, J.F.; Ferrer, A.; Peigné, J. Agroecological practices for sustainable agriculture. A review. Agron. Sustain. Dev. 2014, 34, 1–20. [Google Scholar] [CrossRef]
- Brooker, R.W.; Bennett, A.E.; Cong, W.F.; Daniell, T.J.; George, T.S.; Hallett, P.D.; Hawes, C.; Iannetta, P.P.M.; Jones, H.G.; Karley, A.J.; et al. Improving intercropping: A synthesis of research in agronomy, plant physiology and ecology. New Phytol. 2015, 206, 107–117. [Google Scholar] [CrossRef] [PubMed]
- Li, L.; Tilman, D.; Lambers, H.; Zhang, F.-S. Plant diversity and overyielding: Insights from belowground facilitation of intercropping in agriculture. New Phytol. 2014, 203, 63–69. [Google Scholar] [CrossRef] [PubMed]
- Hauggaard-Nielsen, H.; Jørnsgaard, B.; Kinane, J.; Jensen, E.S. Grain legume–cereal intercropping: The practical application of diversity, competition and facilitation in arable and organic cropping systems. Renew. Agric. Food Syst. 2008, 23, 3–12. [Google Scholar] [CrossRef]
- Cortois, R.; Schröder-Georgi, T.; Weigelt, A.; van der Putten, W.H.; De Deyn, G.B. Plant–soil feedbacks: Role of plant functional group and plant traits. J. Ecol. 2016, 104, 1608–1617. [Google Scholar] [CrossRef]
- Anil, L.; Park, J.; Phipps, R.H.; Miller, F.A. Temperate intercropping of cereals for forage: A review of the potential for growth and utilization with particular reference to the UK. Grass Forage Sci. 1998, 53, 301–317. [Google Scholar] [CrossRef]
- Ehrmann, J.; Ritz, K. Plant: Soil interactions in temperate multi-cropping production systems. Plant Soil 2014, 376, 1–29. [Google Scholar] [CrossRef]
- Hauggaard-Nielsen, H.; Jensen, E.S. Facilitative root interactions in intercrops. Plant Soil 2005, 274, 237–250. [Google Scholar] [CrossRef]
- Li, H.; Ma, Q.; Li, H.; Zhang, F.; Rengel, Z.; Shen, J. Root morphological responses to localized nutrient supply differ among crop species with contrasting root traits. Plant Soil 2014, 376, 151–163. [Google Scholar] [CrossRef]
- Siczek, A.; Frąc, M.; Kalembasa, S.; Kalembasa, D. Soil microbial activity of faba bean (Vicia faba L.) and wheat (Triticum aestivum L.) rhizosphere during growing season. Appl. Soil Ecol. 2018, 130, 34–39. [Google Scholar] [CrossRef]
- Wang, L.; Zhou, T.; Cheng, B.; Du, Y.; Qin, S.; Gao, Y.; Xu, M.; Lu, J.; Liu, T.; Li, S.; et al. Variable light condition improves root distribution shallowness and p uptake of soybean in maize/soybean relay strip intercropping system. Plants 2020, 9, 1204. [Google Scholar] [CrossRef] [PubMed]
- Latati, M.; Blavet, D.; Alkama, N.; Laoufi, H.; Drevon, J.J.; Gérard, F.; Pansu, M.; Ounane, S.M. The intercropping cowpea-maize improves soil phosphorus availability and maize yields in an alkaline soil. Plant Soil 2014, 385, 181–191. [Google Scholar] [CrossRef]
- Xue, Y.; Xia, H.; Christie, P.; Zhang, Z.; Li, L.; Tang, C. Crop acquisition of phosphorus, iron and zinc from soil in cereal/legume intercropping systems: A critical review. Ann. Bot. 2016, 117, 363–377. [Google Scholar] [CrossRef]
- Liu, Y.C.; Yin, X.H.; Zheng, Y. Influences of intercropping and nitrogen supply on flavonoid exudation in wheat roots. J. Plant Nutr. 2020, 0, 1–16. [Google Scholar] [CrossRef]
- Mariotti, M.; Masoni, A.; Ercoli, L.; Arduini, I. Above- and below-ground competition between barley, wheat, lupin and vetch in a cereal and legume intercropping system. Grass Forage Sci. 2009, 64, 401–412. [Google Scholar] [CrossRef]
- Lithourgidis, A.S.; Dordas, C.A. Forage yield, growth rate, and nitrogen uptake of faba bean intercrops with wheat, barley, and rye in three seeding ratios. Crop Sci. 2010, 50, 2148–2158. [Google Scholar] [CrossRef]
- Tosti, G.; Guiducci, M. Durum wheat-faba bean temporary intercropping: Effects on nitrogen supply and wheat quality. Eur. J. Agron. 2010, 33, 157–165. [Google Scholar] [CrossRef]
- Assefa, G.; Ledin, I. Effect of variety, soil type and fertiliser on the establishment, growth, forage yield, quality and voluntary intake by cattle of oats and vetches cultivated in pure stands and mixtures. Anim. Feed Sci. Technol. 2001, 92, 95–111. [Google Scholar] [CrossRef]
- Agegnehu, G.; Ghizaw, A.; Sinebo, W. Yield performance and land-use efficiency of barley and faba bean mixed cropping in Ethiopian highlands. Eur. J. Agron. 2006, 25, 202–207. [Google Scholar] [CrossRef]
- Strydhorst, S.M.; King, J.R.; Lopetinsky, K.J.; Harker, K.N. Forage potential of intercropping barley with faba bean, lupin, or field pea. Agron. J. 2008, 100, 182–190. [Google Scholar] [CrossRef]
- Klimek-Kopyra, A.; Kulig, B.; Oleksy, A.; Zając, T. Agronomic performance of naked oat (Avena nuda L.) and faba bean intercropping. Chil. J. Agric. Res. 2015, 75, 168–173. [Google Scholar] [CrossRef]
- Dhima, K.V.; Lithourgidis, A.S.; Vasilakoglou, I.B.; Dordas, C.A. Competition indices of common vetch and cereal intercrops in two seeding ratio. Field Crop. Res. 2007, 100, 249–256. [Google Scholar] [CrossRef]
- Danso, S.K.A.; Zapata, F.; Hardarson, G.; Fried, M. Nitrogen fixation in fababeans as affected by plant population density in sole or intercropped systems with barley. Soil Biol. Biochem. 1987, 19, 411–415. [Google Scholar] [CrossRef]
- Carr, P.M.; Horsley, R.D.; Poland, W.W. Barley, oat, and cereal-pea mixtures as dryland forages in the northern great plains. Agron. J. 2004, 96, 677–684. [Google Scholar] [CrossRef]
- Dordas, C.A.; Lithourgidis, A.S. Growth, yield and nitrogen performance of faba bean intercrops with oat and triticale at varying seeding ratios. Grass Forage Sci. 2011, 66, 569–577. [Google Scholar] [CrossRef]
- Trydeman Knudsen, M.; Hauggaard-Nielsen, H.; Jørnsgård, B.; Steen Jensen, E. Comparison of interspecific competition and N use in pea–barley, faba bean–barley and lupin–barley intercrops grown at two temperate locations. J. Agric. Sci. 2004, 142, 617–627. [Google Scholar] [CrossRef]
- Gooding, M.J.; Kasyanova, E.; Ruske, R.; Hauggaard-Nielsen, H.; Jensen, E.S.; Dahlmann, C.; Von Fragstein, P.; Dibet, A.; Corre-Hellou, G.; Crozat, Y.; et al. Intercropping with pulses to concentrate nitrogen and sulphur in wheat. J. Agric. Sci. 2007, 145, 469–479. [Google Scholar] [CrossRef]
- Benincasa, P.; Pace, R.; Tosti, G.; Tei, F. Early interspecific interference in the wheat/faba bean (Triticum aestivum/Vicia faba ssp. minor) and rapeseed/squarrosum clover (Brassica napus var. oleifera/Trifolium squarrosum) intercrops. Ital. J. Agron. 2012, 7, 24. [Google Scholar] [CrossRef]
- Heeraman, D.A.; Juma, N.G. A comparison of minirhizotron, core and monolith methods for quantifying barley (Hordeum vulgare L.) and fababean (Vicia faba L.) root distribution. Plant Soil 1993, 148, 29–41. [Google Scholar] [CrossRef]
- Hauggaard-Nielsen, H.; Jensen, E.S. Evaluating pea and barley cultivars for complementarity in intercropping at different levels of soil N availability. F. Crop. Res. 2001, 72, 185–196. [Google Scholar] [CrossRef]
- Li, L.; Sun, J.; Zhang, F.; Guo, T.; Bao, X.; Smith, F.A.; Smith, S.E. Root distribution and interactions between intercropped species. Oecologia 2006, 147, 280–290. [Google Scholar] [CrossRef]
- Martin, M.P.L.D.; Snaydon, R.W. Root and Shoot interactions between barley and field beans when intercropped. J. Appl. Ecol. 1982, 19, 263. [Google Scholar] [CrossRef]
- Li, L.; Tang, C.; Rengel, Z.; Zhang, F. Chickpea facilitates phosphorus uptake by intercropped wheat from an organic phosphorus source. Plant Soil 2003, 248, 297–303. [Google Scholar] [CrossRef]
- Zhang, X.; Huang, G.; Bian, X.; Zhao, Q. Effects of nitrogen fertilization and root interaction on the agronomic traits of intercropped maize, and the quantity of microorganisms and activity of enzymes in the rhizosphere. Plant Soil 2013, 368, 407–417. [Google Scholar] [CrossRef]
- Wang, D.; Marschner, P.; Solaiman, Z.; Rengel, Z. Growth, P uptake and rhizosphere properties of intercropped wheat and chickpea in soil amended with iron phosphate or phytate. Soil Biol. Biochem. 2007, 39, 249–256. [Google Scholar] [CrossRef]
- Sobkowicz, P. Shoot and root competition between spring triticale and field beans during early growth. Acta Sci. Pol. Agric. 2005, 04, 117–126. [Google Scholar]
- Tosti, G.; Thorup-Kristensen, K. Using coloured roots to study root interaction and competition in intercropped legumes and non-legumes. J. Plant Ecol. 2010, 3, 191–199. [Google Scholar] [CrossRef]
- Ramirez-Garcia, J.; Martens, H.J.; Quemada, M.; Thorup-Kristensen, K. Intercropping effect on root growth and nitrogen uptake at different nitrogen levels. J. Plant Ecol. 2015, 8, 380–389. [Google Scholar] [CrossRef]
- Banik, P.; Midya, A.; Sarkar, B.K.; Ghose, S.S. Wheat and chickpea intercropping systems in an additive series experiment: Advantages and weed smothering. Eur. J. Agron. 2006, 24, 325–332. [Google Scholar] [CrossRef]
- Li, Y.Y.; Yu, C.B.; Cheng, X.; Li, C.J.; Sun, J.H.; Zhang, F.S.; Lambers, H.; Li, L. Intercropping alleviates the inhibitory effect of N fertilization on nodulation and symbiotic N2 fixation of faba bean. Plant Soil 2009, 323, 295–308. [Google Scholar] [CrossRef]
- Bargaz, A.; Isaac, M.E.; Jensen, E.S.; Carlsson, G. Intercropping of Faba Bean with wheat under low water availability promotes Faba Bean nodulation and root growth in deeper soil layers. Procedia Environ. Sci. 2015, 29, 111–112. [Google Scholar] [CrossRef]
- Zhao, Y.; Liu, X.; Tong, C.; Wu, Y. Effect of root interaction on nodulation and nitrogen fixation ability of alfalfa in the simulated alfalfa/triticale intercropping in pots. Sci. Rep. 2020, 10, 1–11. [Google Scholar] [CrossRef]
- Cardelli, R.; Esnarriaga, D.N.; Mariotti, M.; Arduini, I. Root Dynamics and Soil-Enzyme Activities in Field Bean/Barley Intercrops. Available online: https://doi.org/10.5194/egusphere-egu2020-21559 (accessed on 30 September 2020).
- Solanki, M.K.; Wang, Z.; Wang, F.-Y.; Li, C.-N.; Lan, T.-J.; Singh, R.K.; Singh, P.; Yang, L.-T.; Li, Y.-R. Intercropping in sugarcane cultivation influenced the soil properties and enhanced the diversity of vital diazotrophic bacteria. Sugar Tec. 2017, 19, 136–147. [Google Scholar] [CrossRef]
- Wahbi, S.; Prin, Y.; Thioulouse, J.; Sanguin, H.; Baudoin, E.; Maghraoui, T.; Oufdou, K.; Le Roux, C.; Galiana, A.; Hafidi, M.; et al. Impact of wheat/faba bean mixed cropping or rotation systems on soil microbial functionalities. Front. Plant Sci. 2016, 7, 1–9. [Google Scholar] [CrossRef]
- Ercoli, L.; Schüßler, A.; Arduini, I.; Pellegrino, E. Strong increase of durum wheat iron and zinc content by field-inoculation with arbuscular mycorrhizal fungi at different soil nitrogen availabilities. Plant Soil 2017, 419, 153–167. [Google Scholar] [CrossRef]
- Jedel, P.E.; Helm, J.H. Forage potential of pulse-cereal mixtures in central Alberta. Can. J. Plant Sci. 1993, 73, 437–444. [Google Scholar] [CrossRef][Green Version]
- Sobkowicz, P. Competition between triticale (Triticosecale Witt.) and field beans (Vicia faba var. minor L.) in additive intercrops. Plant Soil Environ. 2006, 52, 47–54. [Google Scholar] [CrossRef]
- Mariotti, M.; Masoni, A.; Ercoli, L.; Arduini, I. Optimizing forage yield of durum wheat/field bean intercropping through N fertilization and row ratio. Grass Forage Sci. 2012, 67, 243–254. [Google Scholar] [CrossRef]
- Neugschwandtner, R.W.; Kaul, H.P. Nitrogen uptake, use and utilization efficiency by oat-pea intercrops. Field Crop. Res. 2015, 179, 113–119. [Google Scholar] [CrossRef]
- Yang, F.; Liao, D.; Wu, X.; Gao, R.; Fan, Y.; Raza, M.A.; Wang, X.; Yong, T.; Liu, W.; Liu, J.; et al. Effect of aboveground and belowground interactions on the intercrop yields in maize-soybean relay intercropping systems. Field Crop. Res. 2017, 203, 16–23. [Google Scholar] [CrossRef]
- Garnett, T.; Conn, V.; Kaiser, B.N. Root based approaches to improving nitrogen use efficiency in plants. Plant Cell Environ. 2009, 32, 1272–1283. [Google Scholar] [CrossRef]
- Pampana, S.; Masoni, A.; Mariotti, M.; Ercoli, L.; Arduini, I. Nitrogen fixation of grain legumes differs in response to nitrogen fertilisation. Exp. Agric. 2018, 54, 66–82. [Google Scholar] [CrossRef]
- Hauggaard-Nielsen, H.; Ambus, P.; Jensen, E.S. Interspecific competition, N use and interference with weeds in pea-barley intercropping. Field Crop. Res. 2001, 70, 101–109. [Google Scholar] [CrossRef]
- Corre-Hellou, G.; Fustec, J.; Crozat, Y. Interspecific competition for soil N and its interaction with N2 fixation, leaf expansion and crop growth in pea-barley intercrops. Plant Soil 2006, 282, 195–208. [Google Scholar] [CrossRef]
- Morell, F.J.; Cantero-Martínez, C.; Álvaro-Fuentes, J.; Lampurlanés, J. Root growth of barley as affected by tillage systems and nitrogen fertilization in a semiarid Mediterranean agroecosystem. Agron. J. 2011, 103, 1270–1275. [Google Scholar] [CrossRef]
- Castellano, S.D.; Dick, R.P. Cropping and sulfur fertilization influence on sulfur transformations in soil. Soil Sci. Soc. Am. J. 1991, 55, 114–121. [Google Scholar] [CrossRef]
- Knauff, U.; Schulz, M.; Scherer, H.W. Arylsufatase activity in the rhizosphere and roots of different crop species. Eur. J. Agron. 2003, 19, 215–223. [Google Scholar] [CrossRef]
- Chu, H.; Lin, X.; Fujii, T.; Morimoto, S.; Yagi, K.; Hu, J.; Zhang, J. Soil microbial biomass, dehydrogenase activity, bacterial community structure in response to long-term fertilizer management. Soil Biol. Biochem. 2007, 39, 2971–2976. [Google Scholar] [CrossRef]
- Krishnamurthy, L.; Ito, O.; Johansen, C.; Saxena, N.P. Length to weight ratio of chickpea roots under progressively receding soil moisture conditions in a Vertisol. Field Crop. Res. 1998, 58, 177–185. [Google Scholar] [CrossRef]
- Kramer-Walter, K.R.; Bellingham, P.J.; Millar, T.R.; Smissen, R.D.; Richardson, S.J.; Laughlin, D.C. Root traits are multidimensional: Specific root length is independent from root tissue density and the plant economic spectrum. J. Ecol. 2016, 104, 1299–1310. [Google Scholar] [CrossRef]
- Craine, J.M.; Dybzinski, R. Mechanisms of plant competition for nutrients, water and light. Funct. Ecol. 2013, 27, 833–840. [Google Scholar] [CrossRef]
- Watt, M.; Evans, J.R. Phosphorus acquisition from soil by white lupin (Lupinus albus L.) and soybean (Glycine max L.), species with contrasting root development. Plant Soil 2003, 248, 271–283. [Google Scholar] [CrossRef]
- Murphy, G.P.; Dudley, S.A. Above- and below-ground competition cues elicit independent responses. J. Ecol. 2007, 95, 261–272. [Google Scholar] [CrossRef]
- Gersani, M.; Brown, J.S.; O’Brien, E.E.; Maina, G.M.; Abramsky, Z. Tragedy of the commons as a result of root competition. J. Ecol. 2001, 89, 660–669. [Google Scholar] [CrossRef]
- Asaduzzaman, M.; Asao, T. Autotoxicity in beans and their allelochemicals. Sci. Hortic. (Amsterdam) 2012, 134, 26–31. [Google Scholar] [CrossRef]
- Jacoby, R.; Peukert, M.; Succurro, A.; Koprivova, A.; Kopriva, S. The role of soil microorganisms in plant mineral nutrition—current knowledge and future directions. Front. Plant Sci. 2017, 8, 1–19. [Google Scholar] [CrossRef]
- Milla, R.; Forero, D.M.; Escudero, A.; Iriondo, J.M. Growing with siblings: A common ground for cooperation or for fiercer competition among plants? Proc. R. Soc. B Biol. Sci. 2009, 276, 2531–2540. [Google Scholar] [CrossRef]
- Chen, B.J.W.; During, H.J.; Anten, N.P.R. Detect thy neighbor: Identity recognition at the root level in plants. Plant Sci. 2012, 195, 157–167. [Google Scholar] [CrossRef] [PubMed]
- Ercoli, L.; Arduini, I.; Mariotti, M.; Lulli, L.; Masoni, A. Management of sulphur fertiliser to improve durum wheat production and minimise S leaching. Eur. J. Agron. 2012, 38, 74–82. [Google Scholar] [CrossRef]
- Donald, C.M. The interaction of competition for light. Aust. J. Agric. Res. 1958, 9, 421–436. [Google Scholar] [CrossRef]
- Tofinga, M.P.; Paolini, R.; Snaydon, R.W. A study of root and shoot interactions between cereals and peas in mixtures. J. Agric. Sci. 1993, 120, 13–24. [Google Scholar] [CrossRef]
- Thorsted, M.D.; Weiner, J.; Olesen, J.E. Above- and below-ground competition between intercropped winter wheat Triticum aestivum and white clover Trifolium repens. J. Appl. Ecol. 2006, 43, 237–245. [Google Scholar] [CrossRef]
- Meier, U. Growth Stages of Mono and Dicotyledonous Plants; Federal Biological Research Centre for Agriculture and Forestry: Bonn, Germany, 2001; p. 159. [Google Scholar]
- Wilson, J.B. Shoot competition and root competition. J. Appl. Ecol. 1988, 25, 279. [Google Scholar] [CrossRef]
- Birouste, M.; Zamora-Ledezma, E.; Bossard, C.; Pérez-Ramos, I.M.; Roumet, C. Measurement of fine root tissue density: A comparison of three methods reveals the potential of root dry matter content. Plant Soil 2014, 374, 299–313. [Google Scholar] [CrossRef]
- Rose, L. Pitfalls in root trait calculations: How ignoring diameter heterogeneity can lead to overestimation of functional traits. Front. Plant Sci. 2017, 8, 1–5. [Google Scholar] [CrossRef]
- Dick, R.P.; Breakwell, D.P.; Turco, R.F. Soil Enzyme Activities and Biodiversity Measurements as Integrative Microbiological Indicators. In Methods for Assessing Soil Quality; Doran, J., Jones, A., Eds.; SSSA: Madison, WI, USA, 1997; pp. 247–271. [Google Scholar]
- Tabatabai, M.A. Soil Enzymes. In Methods of Soil Analysis Part 2: Microbiological and Biochemical Properties; Wollum, R.W., Art, W., Angle, S., Bottomley, P., Bezdicek, D., Smith, S., Tabatabai, A., Eds.; ACCESS: London, UK, 1994; pp. 775–833. [Google Scholar]
- Eivazi, F.; Tabatabai, M.A. Phosphatases in soils. Soil Biol. Biochem. 1977, 9, 167–172. [Google Scholar] [CrossRef]
- Booth, G.D.; Steel, R.G.D.; Torrie, J.H. Principles and Procedures of Statistics: A Biometrical Approach, 2nd ed.; McGraw-Hill International: Auckland, New Zealand, 1997; Volume 76, p. 672. [Google Scholar]









| N Level | Row Contact | Biomass | N Yield | P Yield |
|---|---|---|---|---|
| kg ha−1 | Land Equivalent Ratio | |||
| 60 | Full | 1.12 a | 1.16 b | 1.06 a |
| Aerial | 0.77 c | 0.85 c | 0.83 b | |
| 120 | Full | 1.01 b | 1.42 a | 1.12 a |
| Aerial | 0.79 c | 1.09 b | 0.94 b | |
| Competitive balance | ||||
| 60 | Full | 0.12 b | −0.12 b | 0.20 a |
| Aerial | 0.23 a | 0.01 a | 0.18 a | |
| 120 | Full | 0.07 b | −0.65 c | −0.24 c |
| Aerial | 0.11 ab | −0.50 c | −0.05 b | |
| Crop System | N Level | Pods | Pods | Seeds | Pod/Shoot |
|---|---|---|---|---|---|
| kg ha−1 | g row−1 | n row−1 | n pod−1 | % | |
| SC | 60 | 33.9 b | 51.6 b | 2.1 ab | 36.0 b |
| 120 | 33.0 b | 49.1 b | 2.0 ab | 36.3 b | |
| IC | 60 | 44.6 a | 66.8 a | 2.2 a | 47.1 a |
| 120 | 33.0 b | 53.0 b | 1.9 b | 39.0 b |
| Crop System | Row Contact | Stems | Pods | Pods | Seeds | Pod/Shoot |
|---|---|---|---|---|---|---|
| g row−1 | g row−1 | n row−1 | n pod−1 | % | ||
| SC | Full | 54.7 b | 28.6 b | 42.8 b | 2.0 a | 34.3 b |
| Aerial | 63.5 a | 38.3 a | 58.0 a | 2.0 a | 37.6 b | |
| IC | Full | 53.1 b | 40.0 a | 59.8 a | 2.2 a | 43.0 a |
| Aerial | 48.6 c | 37.6 a | 60.0 a | 2.0 a | 43.6 a |
| Crop System | N Level | Row Contact | Biomass | Length | Average Diameter | Surface | SRL | RTD |
|---|---|---|---|---|---|---|---|---|
| kg ha−1 | g row−1 | m row−1 | mm | dm2 row−1 | m g−1 | mg cm−3 | ||
| SC | 60 | Full | 15.4 b | 716.8 d | 0.80 ab | 57.7 d | 46.7 d | 34.6 a |
| Aerial | 16.5 b | 917.0 c | 0.76 b | 69.5 c | 55.5 c | 37.4 a | ||
| 120 | Full | 13.0 c | 769.4 d | 0.85 a | 65.0 c | 59.3 c | 26.4 b | |
| Aerial | 15.8 b | 1124.2 b | 0.75 bc | 83.9 b | 71.2 b | 35.9 a | ||
| IC | 60 | Full | 18.9 a | 1069.4 b | 0.79 ab | 84.8 b | 56.7 c | 29.9 b |
| Aerial | 16.3 b | 1192.7 b | 0.83 a | 99.5 a | 73.1 b | 28.0 b | ||
| 120 | Full | 16.3 b | 1382.5 a | 0.69 c | 95.9 a | 84.6 a | 25.8 b | |
| Aerial | 15.7 b | 1318.3 a | 0.77 b | 101.8 a | 84.2 a | 26.7 b |
| Crop System | Row Contact | Culms +Leaves | Spikes | Spikes | Spikelets | Spikes/ Shoot |
|---|---|---|---|---|---|---|
| g row−1 | g row−1 | n row−1 | n spike−1 | % | ||
| SC | Full | 59.5 a | 16.6 b | 40.5 b | 20.8 a | 21.8 b |
| Aerial | 65.0 a | 18.7 a | 48.8 a | 17.4 ab | 22.4 ab | |
| IC | Full | 57.5 ab | 19.0 a | 38.8 b | 19.1 a | 24.8 a |
| Aerial | 45.9 b | 14.0 c | 37.5 b | 15.9 b | 23.4 a |
| N Level | Culms +Leaves | Spikes | Spikes | Spikelets | Spikes/ Shoot |
|---|---|---|---|---|---|
| kg ha−1 | g row−1 | g row−1 | n row−1 | n spike−1 | % |
| 60 | 48.0 b | 12.6 b | 39.6 a | 16.9 b | 20.8 b |
| 120 | 65.9 a | 21.6 a | 43.1 a | 19.7 a | 24.7 a |
| Crop System | N Level | Row Contact | Length | Surface | SRL | RTD |
|---|---|---|---|---|---|---|
| kg ha−1 | km row−1 | dm2 row−1 | m g−1 | mg cm−3 | ||
| SC | 60 | Full | 7.3 cd | 208.8 bcd | 224.4 d | 53.5 a |
| Aerial | 8.9 ab | 298.3 a | 283.7 b | 38.9 b | ||
| 120 | Full | 6.1 ef | 176.7 de | 211.8 d | 46.6 a | |
| Aerial | 8.0 bc | 217.8 bc | 274.9 bc | 46.8 a | ||
| IC | 60 | Full | 6.8 de | 192.7 cde | 309.1 ab | 38.2 b |
| Aerial | 9.1 a | 235.9 b | 342.8 a | 47.2 a | ||
| 120 | Full | 5.3 f | 161.5 e | 232.5 cd | 38.0 b | |
| Aerial | 8.2 abc | 219.0 bc | 280.8 b | 51.2 a |
| Crop System | N Level | Row Contact | Nitrogen | |
|---|---|---|---|---|
| kg ha−1 | mg g−1 | mg row−1 | ||
| SC | 60 | Full | 9.8 bc | 577.8 c |
| Aerial | 8.6 c | 621.8 c | ||
| 120 | Full | 9.1 c | 849.7 bc | |
| Aerial | 8.5 c | 806.8 bc | ||
| IC | 60 | Full | 11.4 b | 708.6 c |
| Aerial | 10.7 bc | 527.1 c | ||
| 120 | Full | 17.4 a | 1582.0 a | |
| Aerial | 15.5 a | 1095.7 b | ||
| Soil Depth | Nitrogen | Phosphorus | ||
|---|---|---|---|---|
| cm | mg g−1 | mg row−1 | mg g−1 | mg row−1 |
| 0–10 | 6.7 c | 12.4 a | 1.0 b | 1.8 a |
| 10–20 | 9.9 a | 4.0 b | 1.2 a | 0.5 b |
| 20–30 | 9.0 b | 4.4 b | 1.1 ab | 0.5 b |
| Crop System | N Level | Row Contact | Shoot | Root | ||
|---|---|---|---|---|---|---|
| kg ha−1 | mg g−1 | mg row−1 | mg g−1 | mg row−1 | ||
| SC | 60 | Full | 2.3 a | 135.7 cd | 1.32 ab | 41.6 a |
| Aerial | 2.1 ab | 152.4 bc | 0.85 cd | 27.3 bc | ||
| 120 | Full | 1.8 b | 166.9 b | 0.68 d | 17.3 e | |
| Aerial | 1.8 b | 175.0 b | 0.72 d | 19.2 de | ||
| IC | 60 | Full | 2.1 ab | 129.3 cd | 1.48 a | 29.5 bc |
| Aerial | 2.3 a | 114.7 d | 1.39 a | 33.2 ab | ||
| 120 | Full | 2.3 a | 208.9 a | 1.11 bc | 25.1 cd | |
| Aerial | 2.4 a | 169.1 b | 1.07 bc | 30.7 bc | ||
| Crop System | N Level | FDA-Ase | Dehydrogenase | Phosphatase |
|---|---|---|---|---|
| kg ha−1 | Fluorescein µg g−1 2h−1 | TPF µg g−1 h−1 | p-nitrophenol µg g−1 h−1 | |
| SC Fb | 60 | 201 ab | 3.90 b | 286 b |
| 120 | 219 a | 4.61 a | 332 a | |
| SC T | 60 | 187 bc | 3.09 d | 263 bc |
| 120 | 170 c | 2.73 d | 260 c | |
| IC | 60 | 187 bc | 3.60 bc | 281 bc |
| 120 | 168 c | 3.22 cd | 268 bc |
Publisher’s Note: MDPI stays neutral with regard to jurisdictional claims in published maps and institutional affiliations. |
© 2020 by the authors. Licensee MDPI, Basel, Switzerland. This article is an open access article distributed under the terms and conditions of the Creative Commons Attribution (CC BY) license (http://creativecommons.org/licenses/by/4.0/).
Share and Cite
Esnarriaga, D.N.; Mariotti, M.; Cardelli, R.; Arduini, I. The Importance of Root Interactions in Field Bean/Triticale Intercrops. Plants 2020, 9, 1474. https://doi.org/10.3390/plants9111474
Esnarriaga DN, Mariotti M, Cardelli R, Arduini I. The Importance of Root Interactions in Field Bean/Triticale Intercrops. Plants. 2020; 9(11):1474. https://doi.org/10.3390/plants9111474
Chicago/Turabian StyleEsnarriaga, Dayana N., Marco Mariotti, Roberto Cardelli, and Iduna Arduini. 2020. "The Importance of Root Interactions in Field Bean/Triticale Intercrops" Plants 9, no. 11: 1474. https://doi.org/10.3390/plants9111474
APA StyleEsnarriaga, D. N., Mariotti, M., Cardelli, R., & Arduini, I. (2020). The Importance of Root Interactions in Field Bean/Triticale Intercrops. Plants, 9(11), 1474. https://doi.org/10.3390/plants9111474

