Identification, Association of Natural Variation and Expression Analysis of ZmNAC9 Gene Response to Low Phosphorus in Maize Seedling Stage
Abstract
1. Introduction
2. Results
2.1. Basic Molecular Information of ZmNAC’s Gene Family
2.2. Phylogenetic Tree from Different Species
2.3. Gene Structure, Domain and Chromosomal Location of ZmNAC9 and Their Homologous Genes in Maize
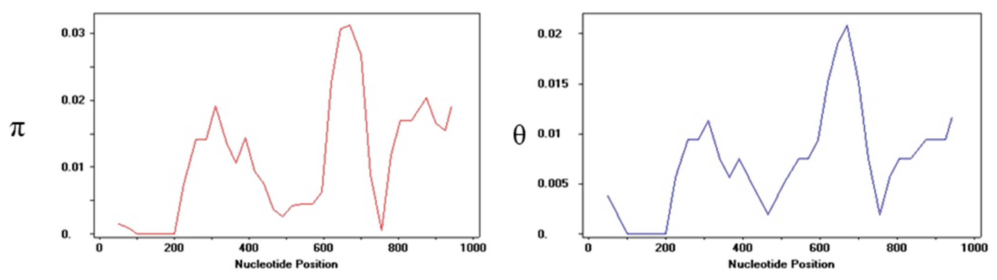
2.4. Sequence Polymorphism and Nucleotide Diversity of ZmNAC9 Gene
2.5. Linkage Disequilibrium (LD) Analysis in the Coding Sequence of ZmNAC9 Gene
2.6. Association Analysis of Low-P Tolerant Traits with ZmNAC9 Gene
2.7. Haplotypes Diversity in the Coding Sequence of ZmNAC9 Gene
2.8. Expression Pattern of ZmNAC9 Gene in Low-P Tolerant and P-Sensitive Inbred Lines by qRT-PCR
2.9. Subcellular Localization of ZmNAC9 Gene
3. Discussion
4. Materials and Methods
4.1. Plant Materials, Growth Conditions and Phenotyping
4.2. Bioinformatics Analysis of NAC TFs Family Members in Maize
4.3. Sequencing Polymorphism, Nucleotide Diversity and LD of ZmNAC9 Candidate Gene
4.4. Candidate ZmNAC9 Gene Association Analysis
4.5. Low-P Stress Treatments, RNA Extraction and Expression Pattern of Candidate ZmNAC9 Gene
4.6. Subcellular Localization of ZmNAC9 Gene
5. Conclusions
Supplementary Materials
Author Contributions
Funding
Conflicts of Interest
References
- Blümmel, M.; Grings, E.; Erenstein, O. Potential for dual-purpose maize varieties to meet changing maize demands: Synthesis. Field Crop. Res. 2013, 153, 107–112. [Google Scholar] [CrossRef]
- Ramakrishnan, M.; Ceasar, S.A.; Duraipandiyan, V.; Ignacimuthu, S. Efficient plant regeneration from shoot apex explants of maize (Zea mays) and analysis of genetic fidelity of regenerated plants by ISSR markers. Plant Cell Tissue Organ Cult. 2014, 119, 183–196. [Google Scholar] [CrossRef]
- Prado, S.A.; López, C.G.; Senior, M.L.; Borrás, L. The genetic architecture of maize (Zea mays L.) kernel weight determination. G3 Genes Genomes Genet. 2014, 4, 1611–1621. [Google Scholar]
- Lobell, D.B.; Wolfram, S.; Justin, C.R. Climate trends and global crop production since 1980. Science 2011, 333, 616–620. [Google Scholar] [CrossRef]
- Shao, H.B.; Chu, L.Y.; Jaleel, C.A.; Manivannan, P.; Panneerselvam, R.; Shao, M.A. Understanding water deficit stress-induced changes in the basic metabolism of higher plants—Biotechnologically and sustainably improving agriculture and the ecoenvironment in arid regions of the globe. Crit. Rev. Biotechnol. 2009, 29, 131. [Google Scholar] [CrossRef]
- Zhu, J.K. Plant salt tolerance. Trends Plant Sci. 2001, 6, 66–71. [Google Scholar] [CrossRef]
- Khalid, M.H.B.; Raza, M.A.; Yu, H.Q.; Khan, I.; Sun, F.A.; Feng, L.Y.; Qu, J.T.; Fu, F.L.; Li, W.C. Expression, Subcellular Localization, and Interactions of CPK Family Genes in Maize. Int. J. Mol. Sci. 2019, 20, 6173. [Google Scholar] [CrossRef]
- Schachtman, D.P.; Reid, R.J.; Ayling, S.M. Phosphorus Uptake by Plants: From Soil to Cell. Plant Physiol. 1998, 116, 447–453. [Google Scholar] [CrossRef]
- Zhang, Y.; Peng, Y.U.; Yun-Feng, P.E.N.G.; Xue-Xian, L.I.; Fan-Jun, C.H.E.N.; Chun-Jian, L.I. Fine Root Patterning and Balanced Inorganic Phosphorus Distribution in the Soil Indicate Distinctive Adaptation of Maize Plants to Phosphorus Deficiency. Pedosphere 2012, 22, 870–877. [Google Scholar] [CrossRef]
- Cordell, D.; Drangert, J.O.; White, S. The story of phosphorus: Global food security and food for thought. Glob. Environ. Chang. 2009, 19, 292–305. [Google Scholar] [CrossRef]
- Jianbo, S.; Lixing, Y.; Junling, Z.; Haigang, L.; Zhaohai, B.; Xinping, C.; Weifeng, Z.; Fusuo, Z. Phosphorus dynamics: From soil to plant. Plant Physiol. 2011, 156, 997–1005. [Google Scholar]
- Schröder, J.J.; Smit, A.L.; Cordell, D.; Rosemarin, A. Improved phosphorus use efficiency in agriculture: A key requirement for its sustainable use. Chemosphere 2011, 84, 822–831. [Google Scholar] [CrossRef]
- Raghothama, K.G.; Karthikeyan, A.S. Phosphate acquisition. Plant Soil 2005, 274, 37. [Google Scholar] [CrossRef]
- Rausch, C.; Bucher, M. Molecular mechanisms of phosphate transport in plants. Planta 2002, 216, 23–37. [Google Scholar] [CrossRef]
- Péret, B.; Clément, M.; Nussaume, L.; Desnos, T. Root developmental adaptation to phosphate starvation: Better safe than sorry. Trends Plant Sci. 2011, 16, 442–450. [Google Scholar] [CrossRef]
- Williamson, L.; Ribrioux, S.P.C.P.; Fitter, A.H.; Leyser, H.M.O. Phosphate Availability Regulates Root System Architecture in Arabidopsis. Plant Physiol. 2001, 126, 875–882. [Google Scholar] [CrossRef]
- Lambers, H.; Colmer, T.D. Root Physiology—From Gene to Function. Plant Soil 2005, 274, 7–15. [Google Scholar] [CrossRef]
- Hurley, B.A.; Tran, H.T.; Marty, N.J.; Park, J.; Snedden, W.A.; Mullen, R.T.; Plaxton, W.C. The Dual-Targeted Purple Acid Phosphatase Isozyme AtPAP26 Is Essential for Efficient Acclimation of Arabidopsis to Nutritional Phosphate Deprivation. Plant Physiol. 2010, 153, 1112–1122. [Google Scholar] [CrossRef]
- Dionisio, G.; Madsen, C.K.; Holm, P.B.; Welinder, K.G.; Jorgensen, M.M.; Stoger, E.; Arcalis, E.; Brinchpedersen, H. Cloning and Characterization of Purple Acid Phosphatase Phytases from Wheat, Barley, Maize, and Rice. Plant Physiol. 2011, 156, 1087–1100. [Google Scholar] [CrossRef]
- Chiou, T.J.; Shui, L. Signaling Network in Sensing Phosphate Availability in Plants. Annu. Rev. Plant Biol. 2011, 62, 185–206. [Google Scholar] [CrossRef]
- Yang, X.J.; Finnegan, P.M. Regulation of phosphate starvation responses in higher plants. Ann. Bot. 2010, 105, 513–526. [Google Scholar] [CrossRef] [PubMed]
- Secco, D.; Wang, C.; Arpat, B.A.; Wang, Z.; Poirier, Y.; Tyerman, S.D.; Wu, P.; Shou, H.; Whelan, J. The emerging importance of the SPX domain-containing proteins in phosphate homeostasis. New Phytol. 2012, 193, 842–851. [Google Scholar] [CrossRef]
- Li, Z.; Qiang, G.; Liu, Y.; He, C.; Zhang, X.; Zhang, J. Erratum to: Overexpression of transcription factor ZmPTF1 improves low phosphate tolerance of maize by regulating carbon metabolism and root growth. Planta 2011, 233, 1145. [Google Scholar] [CrossRef]
- Poirier, Y.; Thoma, S.; Somerville, C.; Schiefelbein, J. Mutant of Arabidopsis deficient in xylem loading of phosphate. Plant Physiol. 1991, 97, 1087–1093. [Google Scholar] [CrossRef] [PubMed]
- Dirk, H.; Enea, R.; Jean, M.D.C.P.; Chris, S.; Yves, P. Identification and characterization of the Arabidopsis PHO1 gene involved in phosphate loading to the xylem. Plant Cell 2002, 14, 889–902. [Google Scholar]
- Yang, X.; Yan, J.; Zheng, Y.; Li, J. Reviews of Association Analysis for Quantitative Traits in Plants. Acta Agron. Sin. 2007, 33, 523. [Google Scholar]
- Gupta, P.K.; Rustgi, S.; Kulwal, P.L. Linkage disequilibrium and association studies in higher plants: Present status and future prospects. Plant Mol. Biol. 2005, 57, 461–485. [Google Scholar] [CrossRef]
- Flint-Garcia, S.A.; Thornsberry, J.M.; Th, B.E. Structure of linkage disequilibrium in plants. Annu. Rev. Plant Biol. 2003, 54, 357–374. [Google Scholar] [CrossRef]
- Flintgarcia, S.; Thuillet, A.; Yu, J.; Pressoir, G.; Romero, S.M.; Mitchell, S.E.; Doebley, J.; Kresovich, S.; Goodman, M.M.; Buckler, E.S. Maize association population: A high-resolution platform for quantitative trait locus dissection. Plant J. 2005, 44, 1054–1064. [Google Scholar] [CrossRef]
- Caldwell, K.S.; Joanne, R.; Peter, L.; Wayne, P. Extreme population-dependent linkage disequilibrium detected in an inbreeding plant species, Hordeum vulgare. Genetics 2006, 172, 557–567. [Google Scholar] [CrossRef]
- Mohlke, K.L.; Lange, E.M.; Valle, T.T.; Ghosh, S.; Magnuson, V.L.; Silander, K.; Watanabe, R.M.; Chines, P.S.; Bergman, R.N.; Tuomilehto, J. Linkage Disequilibrium Between Microsatellite Markers Extends Beyond 1 cM on Chromosome 20 in Finns. Genome Res. 2001, 11, 1221–1226. [Google Scholar] [CrossRef] [PubMed][Green Version]
- Buckler, E.S.; Gaut, B.S.; Mcmullen, M.D. Molecular and functional diversity of maize. Curr. Opin. Plant Biol. 2006, 9, 172–176. [Google Scholar] [CrossRef] [PubMed]
- Buckler, E.S.; Thornsberry, J.M. Plant molecular diversity and applications to genomics. Curr. Opin. Plant Biol. 2002, 5, 107–111. [Google Scholar] [CrossRef]
- Mcmullen, M.D.; Stephen, K.; Hector Sanchez, V.; Peter, B.; Huihui, L.; Qi, S.; Sherry, F.G.; Jeffry, T.; Charlotte, A.; Christopher, B. Genetic properties of the maize nested association mapping population. Science 2009, 325, 737–740. [Google Scholar] [CrossRef] [PubMed]
- Tian, F.; Bradbury, P.J.; Brown, P.J.; Hung, H.; Sun, Q.; Flintgarcia, S.; Rocheford, T.; Mcmullen, M.D.; Holland, J.B.; Buckler, E.S. Genome-wide association study of leaf architecture in the maize nested association mapping population. Nat. Genet. 2011, 43, 159–162. [Google Scholar] [CrossRef]
- Luo, B.; Ma, P.; Nie, Z.; Zhang, X.; He, X.; Ding, X.; Feng, X.; Lu, Q.; Ren, Z.; Lin, H. Metabolite profiling and genome-wide association studies reveal response mechanisms of phosphorus deficiency in maize seedling. Plant J. 2019, 97, 947–969. [Google Scholar] [CrossRef]
- Kage, U.; Kumar, A.; Dhokane, D.; Karre, S.; Kushalappa, A.C. Functional molecular markers for crop improvement. Crit. Rev. Biotechnol. 2016, 36, 917–930. [Google Scholar] [CrossRef]
- Assenov, B.; Andjelkovic, V.; Ignjatovic-Micic, D.; Vancetovic, J.; Todorovska, E. Identification of SNP Mutations in MYBE-1 Gene Involved in Drought Stress Tolerance in Maize. Bulg. J. Agric. Sci. 2013, 19, 181–185. [Google Scholar]
- Chai, Y.; Hao, X.; Yang, X.; Allen, W.B.; Li, J.; Yan, J.; Shen, B.; Li, J. Validation of DGAT1-2 polymorphisms associated with oil content and development of functional markers for molecular breeding of high-oil maize. Mol. Breed. 2012, 29, 939–949. [Google Scholar] [CrossRef]
- Nuruzzaman, M.; Sharoni, A.M.; Kikuchi, S. Roles of NAC transcription factors in the regulation of biotic and abiotic stress responses in plants. Front. Microbiol. 2013, 4, 248. [Google Scholar] [CrossRef] [PubMed]
- Aida, M.; Ishida, T.; Fukaki, H.; Fujisawa, H.; Tasaka, M. Genes involved in organ separation in Arabidopsis: An analysis of the cup-shaped cotyledon mutant. Plant Cell 1997, 9, 841–857. [Google Scholar] [CrossRef]
- Souer, E.; Houwelingen, A.V.; Kloos, D.; Mol, J.; Koes, R. The No Apical Meristem Gene of Petunia Is Required for Pattern Formation in Embryos and Flowers and Is Expressed at Meristem and Primordia Boundaries. Cell 1996, 85, 159–170. [Google Scholar] [CrossRef]
- Rushton, P.J.; Bokowiec, M.S.; Zhang, H.; Brannock, J.F.; Chen, X.; Laudeman, T.W.; Timko, M.P. Tobacco transcription factors: Novel insights into transcriptional regulation in the solanaceae. Plant Physiol. 2008, 147, 280–295. [Google Scholar] [CrossRef]
- Fan, K.; Wang, M.; Miao, Y.; Ni, M.; Bibi, N.; Yuan, S.; Li, F.; Wang, X. Molecular Evolution and Expansion Analysis of the NAC Transcription Factor in Zea mays. PLoS ONE 2014, 9, e111837. [Google Scholar] [CrossRef]
- Shiriga, K.; Sharma, R.; Kumar, K.; Yadav, S.K.; Hossain, F.; Thirunavukkarasu, N. Genome-wide identification and expression pattern of drought-responsive members of the NAC family in maize. Meta Gene 2014, 2, 407–417. [Google Scholar] [CrossRef]
- Zhu, Y.; Yan, J.; Liu, W.; Liu, L.; Sheng, Y.; Sun, Y.; Li, Y.; Scheller, H.V.; Jiang, M.; Hou, X. Phosphorylation of a NAC transcription factor by ZmCCaMK regulates abscisic acid-induced antioxidant defense in maize. Plant Physiol. 2016, 171, 1651. [Google Scholar] [CrossRef]
- Peng, X.; Zhao, Y.; Xiaoming, L.I.; Min, W.U.; Chai, W.; Sheng, L.; Wang, Y.U.; Dong, Q.; Jiang, H.; Cheng, B. Genomewide identification, classification and analysis of NAC type gene family in maize. J. Genet. 2015, 94, 377–390. [Google Scholar] [CrossRef]
- Olsen, A.N.; Ernst HALeggio, L.L.; Skriver, K. NAC transcription factors: Structurally distinct, functionally diverse. Trends Plant Sci. 2005, 10, 79–87. [Google Scholar] [CrossRef]
- Nilsson, L.; Müller, R.; Nielsen, T.H. Dissecting the plant transcriptome and the regulatory responses to phosphate deprivation. Physiol. Plant. 2010, 139, 129–143. [Google Scholar] [CrossRef]
- Waters, B.M.; Uauy, C.; Dubcovsky, J.; Grusak, M.A. Wheat (Triticum aestivum) NAM proteins regulate the translocation of iron, zinc, and nitrogen compounds from vegetative tissues to grain. J. Exp. Bot. 2009, 60, 4263–4274. [Google Scholar] [CrossRef]
- Chin-Sheng, Y.; Chih-Wen, C.; Wen-Chi, S.; Kuei-Chung, C.; Shao-Wei, H.; Jenn-Kang, H.; Chih-Hao, L. CELLO2GO: A web server for protein subCELlular LOcalization prediction with functional gene ontology annotation. PLoS ONE 2014, 9, e99368. [Google Scholar]
- Sahito, J.H.; Zheng, F.; Tang, H.; He, X.; Luo, B.; Zhang, X.; Ma, P.; Ding, X.; Liu, D.; Wu, L.; et al. Identification, association, and expression analysis of ZmNAC134 gene response to phosphorus deficiency tolerance traits in maize at seedling stage. Euphytica 2020, 216, 100. [Google Scholar] [CrossRef]
- Yu, J.; Buckler, E.S. Genetic association mapping and genome organization of maize. Curr. Opin. Biotechnol. 2006, 17, 155–160. [Google Scholar] [CrossRef]
- Sara, F.; Thorpe, F.L.; Julia, E.; Jessika, A.; Xue, D.; Liron, S.K.; Justin, G.; Franziska, T. Tissue-specific expression of FLOWERING LOCUS T in Arabidopsis is maintained independently of polycomb group protein repression. Plant Cell 2011, 23, 3204–3214. [Google Scholar]
- Shengxue, L.; Xianglan, W.; Hongwei, W.; Haibo, X.; Xiaohong, Y.; Jianbing, Y.; Jiansheng, L.; Lam-Son Phan, T.; Kazuo, S.; Kazuko, Y.S. Genome-wide analysis of ZmDREB genes and their association with natural variation in drought tolerance at seedling stage of Zea mays L. Plos Genet. 2013, 9, e1003790. [Google Scholar]
- Strable, J.; Scanlon, M.J. Maize (Zea mays): A Model Organism for Basic and Applied Research in Plant Biology. Cold Spring Harb. Protoc. 2009, 2009, pdb-emo132. [Google Scholar] [CrossRef]
- Wu, F.; Liu, Z.; Xu, J.; Gao, S.; Lin, H.; Liu, L.; Liu, Y.; Lu, Y. Molecular Evolution and Association of Natural Variation inZmARF31with Low Phosphorus Tolerance in Maize. Front. Plant Sci. 2016, 7, 1076. [Google Scholar] [CrossRef]
- Ooka, H.; Satoh, K.; Doi, K.; Nagata, T.; Otomo, Y.; Murakami, K.; Matsubara, K.; Osato, N.; Kawai, J.; Carninci, P. Comprehensive analysis of NAC family genes in Oryza sativa and Arabidopsis thaliana. Dna Res. Int. J. Rapid Publ. Rep. Genes Genomes 2003, 10, 239. [Google Scholar] [CrossRef]
- Tian, F.; Stevens, N.M.; Buckler, E.S. Tracking footprints of maize domestication and evidence for a massive selective sweep on chromosome 10. Proc. Natl. Acad. Sci. USA 2009, 106, 9979–9986. [Google Scholar] [CrossRef]
- Tenaillon, M.I.; Sawkins, M.C.; Long, A.D.; Gaut, R.L.; Doebley, J.F.; Gaut, B.S. Patterns of DNA sequence polymorphism along chromosome 1 of maize (Zea mays ssp. mays L.). Proc. Natl. Acad. Sci. USA 2001, 98, 9161–9166. [Google Scholar] [CrossRef]
- Ching, A.; Caldwell, K.S.; Jung, M.; Dolan, M.; Smith, O.S.; Tingey, S.; Morgante, M.; Rafalski, A.J. SNP frequency, haplotype structure and linkage disequilibrium in elite maize inbred lines. BMC Genet. 2002, 3, 19. [Google Scholar] [CrossRef]
- Li, Q.; Yang, X.; Bai, G.; Warburton, M.L.; Mahuku, G.; Gore, M.; Dai, J.; Li, J.; Yan, Y. Cloning and characterization of a putative GS3 ortholog involved in maize kernel development. Tag. Theor. Appl. Genet.Theor. Angew. Genet. 2010, 120, 753–763. [Google Scholar]
- Su, Z.; Li, X.; Hao, Z.; Xie, C.; Li, M.; Weng, J.; Zhang, D.; Liang, X.; Wang, Z.; Gao, J. Association Analysis of the nced and rab28 Genes with Phenotypic Traits Under Water Stress in Maize. Plant Mol. Biol. Report. 2011, 29, 714–722. [Google Scholar] [CrossRef]
- Clark, R.M.; Eric, L.; Joachim, M.; Doebley, J.F. Pattern of diversity in the genomic region near the maize domestication gene tb1. Proc. Natl. Acad. Sci. USA 2004, 101, 700–707. [Google Scholar] [CrossRef]
- Venugopal Rao, K.; Peng, Y.; Sadanandam, A.; Zhen, Z.; Pavan, U. Subcellular localization of proteins of Oryza sativa L. in the model tobacco and tomato plants. Plant Signal. Behav. 2010, 5, 1336–1341. [Google Scholar]
- Wang, D.; Yu, Y.; Liu, Z.; Li, S.; Wang, Z.; Xiang, F. Membrane-bound NAC transcription factors in maize and their contribution to the oxidative stress response. Plant Sci. 2016, 250, 30–39. [Google Scholar] [CrossRef]
- Zhang, X.; Zhang, H.; Li, L.; Lan, H.; Ren, Z.; Liu, D.; Wu, L.; Liu, H.; Jaqueth, J.; Li, B. Characterizing the population structure and genetic diversity of maize breeding germplasm in Southwest China using genome-wide SNP markers. BMC Genom. 2016, 17, 697. [Google Scholar] [CrossRef]
- Hochholdinger, F.; Tuberosa, R. Genetic and genomic dissection of maize root development and architecture. Curr. Opin. Plant Biol. 2009, 12, 172–177. [Google Scholar] [CrossRef]
- Kumar, S.; Stecher, G.; Tamura, K. MEGA7: Molecular Evolutionary Genetics Analysis Version 7.0 for Bigger Datasets. Mol. Biol. Evol. 2016, 33, 1870. [Google Scholar] [CrossRef]
- Wu, X.; Yang, H.; Qu, C.; Xu, Z.; Li, W.; Hao, B.; Yang, C.; Sun, G.; Liu, G. Sequence and expression analysis of the AMT gene family in poplar. Front. Plant Sci. 2015, 6, 337. [Google Scholar] [CrossRef]
- Guo, A.Y.; Zhu, Q.H.; Xin, C. GSDS:a gene structure display server. Hereditas 2007, 29, 1023–1026. [Google Scholar]
- Porebski, S.; Bailey, L.G.; Baum, B.R. Modification of a CTAB DNA extraction protocol for plants containing high polysaccharide and polyphenol components. Plant Mol. Biol. Report. 1997, 15, 8–15. [Google Scholar] [CrossRef]
- Thompson, J.D.; Gibson, T.J.; Higgins, D.G. Multiple Sequence Alignment Using ClustalW and ClustalX. Curr Protoc Bioinform. 2002. [Google Scholar] [CrossRef]
- Bradbury, P.; Zhang, Z.; Kroon, D.; Casstevens, T.Y.; Buckler, E. TASSEL: Software for association mapping of complex traits in diverse samples. Bioinformatics 2007, 23, 2633–2635. [Google Scholar] [CrossRef]
- Librado, P.; Rozas, J. DnaSP v5: A software for comprehensive analysis of DNA polymorphism data. Bioinformatics 2009, 25, 1451–1452. [Google Scholar] [CrossRef]
- Yang, N.; Lu, Y.; Yang, X.; Huang, J.; Zhou, Y.; Ali, F.; Wen, W.; Liu, J.; Li, J.; Yan, J. Genome Wide Association Studies Using a New Nonparametric Model Reveal the Genetic Architecture of 17 Agronomic Traits in an Enlarged Maize Association Panel. PLoS Genet. 2014, 10, e1004573. [Google Scholar] [CrossRef]
- Livak, K.J.; Schmittgen, T.D. Analysis of relative gene expression data using real-time quantitative PCR and the 2(-Delta Delta C(T)) Method. Methods 2001, 25, 402–408. [Google Scholar] [CrossRef]
- Andersen, J.R.; Lubberstedt, T. Functional markers in plants. Trends Plant Sci. 2003, 8, 554–560. [Google Scholar] [CrossRef]
- Domon, E.; Yanagisawa, T.; Saito, A.; Takeda, K. Single nucleotide polymorphism genotyping of the barley waxy gene by polymerase chain reaction with confronting two-pair primers. Plant Breed. 2004, 123, 225–228. [Google Scholar] [CrossRef]
- Fang, Y.; Liao, K.; Du, H.; Xu, Y.; Song, H.; Li, X.; Xiong, L. A stress-responsive NAC transcription factor SNAC3 confers heat and drought tolerance through modulation of reactive oxygen species in rice. J. Exp. Bot. 2015, 66, 6803–6817. [Google Scholar] [CrossRef]









| Gene Names | Accession Number | CDSbp | Amino Acids | Ch | T | kDa | pI | GRAVY | Subcellular Location |
|---|---|---|---|---|---|---|---|---|---|
| ZmNAC9 | Zm00001d011969 | 780 | 259 | 8 | 2 | 25,390.81 | 9.70 | −0.327 | N |
| ZmNAC | Zm00001d032208 | 1053 | 350 | 3 | 1 | 39,270.58 | 5.70 | −0.680 | N |
| ZmNAC90 | Zm00001d042288 | 741 | 246 | 2 | 3 | 26,239.40 | 8.21 | −0.510 | N |
| ZmNAC35 | Zm00001d006106 | 783 | 260 | 7 | 1 | 28,013.65 | 10.07 | −0.582 | N |
| ZmNAC63 | Zm00001d021069 | 750 | 249 | 7 | 2 | 27,645.22 | 10.07 | −0.752 | N |
| ZmNAC75 | Zm00001d049860 | 687 | 228 | 4 | 1 | 24,313.91 | 10.46 | −0.288 | N |
| ZmNAC48 | Zm00001d031655 | 594 | 197 | 1 | 3 | 21,592.24 | 10.64 | −0.178 | M/C/P |
| TF | Coding Region | SNP/InDels | Nucleotide Diversity | Nucleotide Polymorphic Sites | Haplotypes | Haplotypes Diversity (Hd) | Tajima’s D | Fu and Li’s D * |
|---|---|---|---|---|---|---|---|---|
| ZmNAC9 | 780 bp | 32/10 | Pi(π)0.01055 | 35 | 16 | 0.861 | 1.47198 | 1.73019 ** |
| Site No. | Loci Name | Position in Gene (bp) | SNPs | Minor Allele Frequency | MLM(Q+K) Number of Significant Traits | |||
|---|---|---|---|---|---|---|---|---|
| T/CK Index | T | CK | –log10 P Value | |||||
| 1 | S41 | 41 | C/G | 0.05405 | 3 | 0 | 0 | ns |
| 2 | S239 | 239 | C | 0.17117 | 1 | 3 | 1 | * |
| 3 | S242 | 242 | C | 0.10909 | 6 | 10 | 5 | *** |
| 4 | S257 | 257 | C/T | 0.10811 | 2 | 5 | 1 | ** |
| 5 | S258 | 258 | G/A | 0.3964 | 4 | 3 | 5 | ** |
| 6 | S276 | 276 | T | 0.14414 | 4 | 5 | 1 | *** |
| 7 | S288 | 288 | A/T | 0.47748 | 5 | 1 | 1 | ** |
| 8 | S296 | 296 | T/A | 0.09009 | 4 | 3 | 1 | ** |
| 9 | S327 | 327 | C | 0.40541 | 13 | 3 | 10 | *** |
| 10 | S348 | 348 | G/A | 0.45946 | 2 | 2 | 5 | ** |
| 11 | S367 | 367 | G/C | 0.10811 | 2 | 4 | 0 | * |
| 12 | S409 | 409 | G/A | 0.24324 | 2 | 5 | 3 | ** |
| 13 | S434 | 434 | T/A | 0.24324 | 2 | 5 | 3 | ** |
| 14 | S513 | 513 | G/A | 0.26415 | 16 | 11 | 10 | *** |
| 15 | S513 | 513 | G | 0.26415 | 0 | 0 | 0 | ns |
| 16 | S514 | 514 | C/A | 0.26415 | 14 | 5 | 11 | *** |
| 17 | S520 | 520 | C/T | 0.25773 | 11 | 5 | 18 | *** |
| 18 | S520 | 520 | 0/3 | 0.10834 | 0 | 0 | 0 | ns |
| 19 | S521 | 521 | G/C | 0.28866 | 6 | 10 | 5 | *** |
| 20 | S524 | 524 | G/C | 0.11712 | 7 | 3 | 3 | ** |
| 21 | S565 | 565 | C/T | 0.09009 | 4 | 3 | 0 | ** |
| 22 | S631 | 631 | T/C | 0.09009 | 4 | 3 | 0 | ** |
| 23 | S633 | 633 | A/T | 0.12613 | 5 | 3 | 8 | *** |
| 24 | S656 | 656 | T/G | 0.37838 | 5 | 2 | 0 | ** |
| 25 | S657 | 657 | G/T | 0.37838 | 5 | 2 | 0 | ** |
| 26 | S662 | 662 | A/G | 0.2973 | 6 | 5 | 1 | *** |
| 27 | S663 | 663 | T/C | 0.2973 | 6 | 5 | 1 | *** |
| 28 | S673 | 673 | G | 0.2973 | 6 | 5 | 1 | *** |
| 29 | S683 | 683 | C/A | 0.23423 | 1 | 0 | 0 | ns |
| 30 | S698 | 698 | T/G | 0.25225 | 3 | 4 | 0 | ** |
| 31 | S813 | 813 | A/G | 0.48649 | 3 | 1 | 2 | ** |
| 32 | S814 | 814 | G/C | 0.48649 | 3 | 1 | 2 | ** |
| 33 | S824 | 824 | A/G | 0.0991 | 6 | 6 | 2 | *** |
| 34 | S827 | 827 | A | 0.12037 | 9 | 7 | 5 | *** |
| 35 | S836 | 836 | G/A | 0.48649 | 3 | 1 | 2 | ** |
| 36 | S839 | 839 | G/A | 0.28261 | 11 | 4 | 20 | *** |
| 37 | S839 | 839 | A | 0.28261 | 1 | 0 | 0 | ns |
| 38 | S920 | 920 | G/A | 0.21622 | 3 | 0 | 0 | ns |
| 39 | S929 | 929 | T/C | 0.26126 | 3 | 0 | 2 | ** |
| 40 | S932 | 932 | C/T | 0.26126 | 3 | 0 | 2 | *** |
| 41 | S950 | 950 | T/C | 0.27027 | 2 | 0 | 1 | ** |
| Haplotypes | Lines | S327 | S513 | S514 | S520 | S524 | S827 |
|---|---|---|---|---|---|---|---|
| Hap1 | 25 | C | T | G | C | G | 0 bp |
| Hap2 | 23 | C | T | G | T | G | 0 bp |
| Hap3 | 13 | C | A | G | C | C | 0 bp |
| Hap4 | 12 | C | T | G | C | G | 0 bp |
| Hap5 | 10 | C | T | G | C | C | 16 |
Publisher’s Note: MDPI stays neutral with regard to jurisdictional claims in published maps and institutional affiliations. |
© 2020 by the authors. Licensee MDPI, Basel, Switzerland. This article is an open access article distributed under the terms and conditions of the Creative Commons Attribution (CC BY) license (http://creativecommons.org/licenses/by/4.0/).
Share and Cite
Sahito, J.H.; Zhang, X.; Zhong, H.; He, X.; Zhen, C.; Ma, P.; Luo, B.; Liu, D.; Wu, L.; Khalid, M.H.B.; et al. Identification, Association of Natural Variation and Expression Analysis of ZmNAC9 Gene Response to Low Phosphorus in Maize Seedling Stage. Plants 2020, 9, 1447. https://doi.org/10.3390/plants9111447
Sahito JH, Zhang X, Zhong H, He X, Zhen C, Ma P, Luo B, Liu D, Wu L, Khalid MHB, et al. Identification, Association of Natural Variation and Expression Analysis of ZmNAC9 Gene Response to Low Phosphorus in Maize Seedling Stage. Plants. 2020; 9(11):1447. https://doi.org/10.3390/plants9111447
Chicago/Turabian StyleSahito, Javed Hussain, Xiao Zhang, Haixu Zhong, Xuan He, Chen Zhen, Peng Ma, Bowen Luo, Dan Liu, Ling Wu, Muhammad Hayder Bin Khalid, and et al. 2020. "Identification, Association of Natural Variation and Expression Analysis of ZmNAC9 Gene Response to Low Phosphorus in Maize Seedling Stage" Plants 9, no. 11: 1447. https://doi.org/10.3390/plants9111447
APA StyleSahito, J. H., Zhang, X., Zhong, H., He, X., Zhen, C., Ma, P., Luo, B., Liu, D., Wu, L., Khalid, M. H. B., Sahito, H. A., Ghulam Nabi Gishkori, Z., Ali, A., & Gao, S. (2020). Identification, Association of Natural Variation and Expression Analysis of ZmNAC9 Gene Response to Low Phosphorus in Maize Seedling Stage. Plants, 9(11), 1447. https://doi.org/10.3390/plants9111447

