Drought-Induced Responses of Nitrogen Metabolism in Ipomoea batatas
Abstract
1. Introduction
2. Results
2.1. Leaf RWC and Membrane Stability Index (MSI)
2.2. Growth Parameters in the Sweet Potato
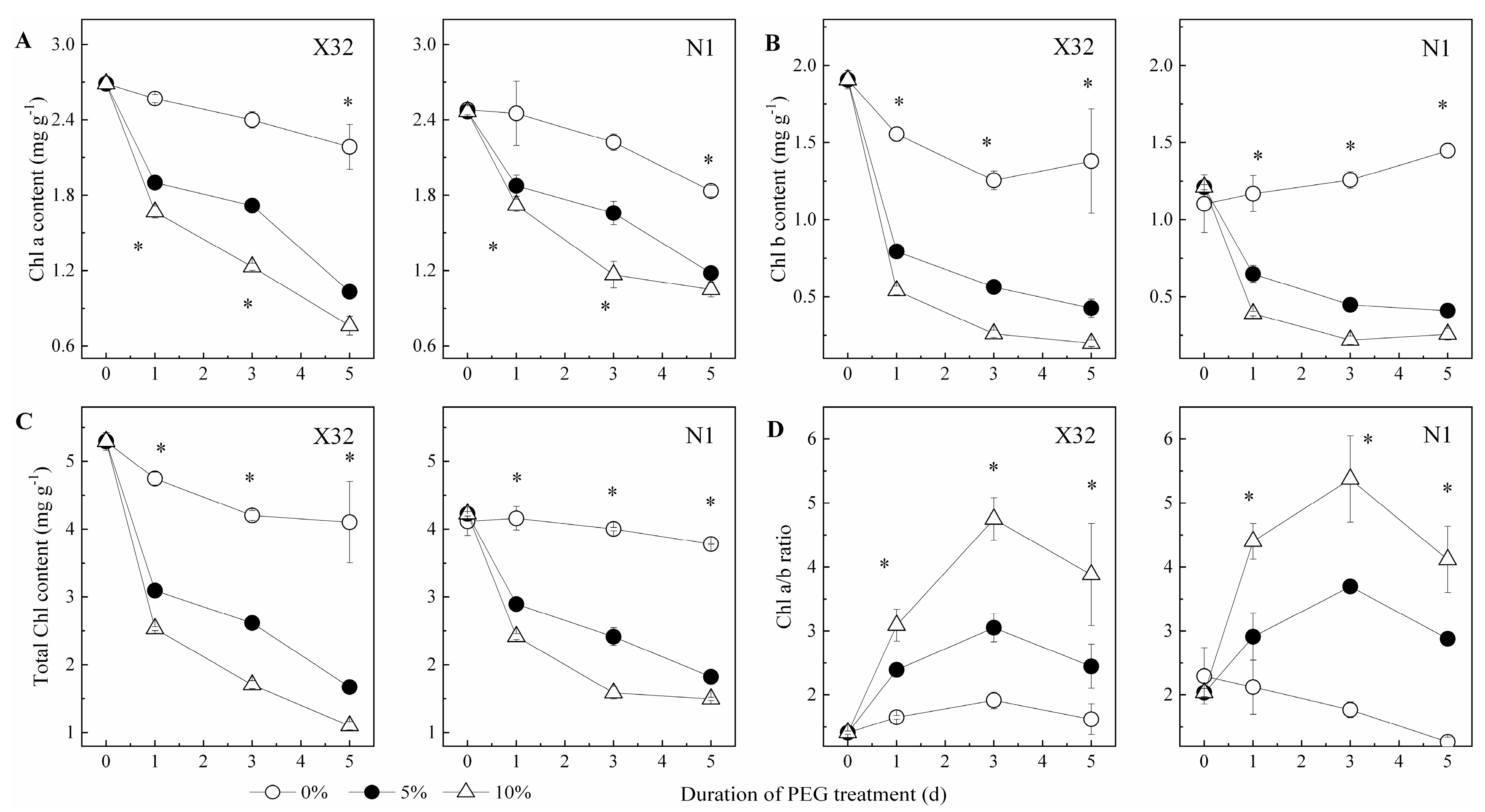
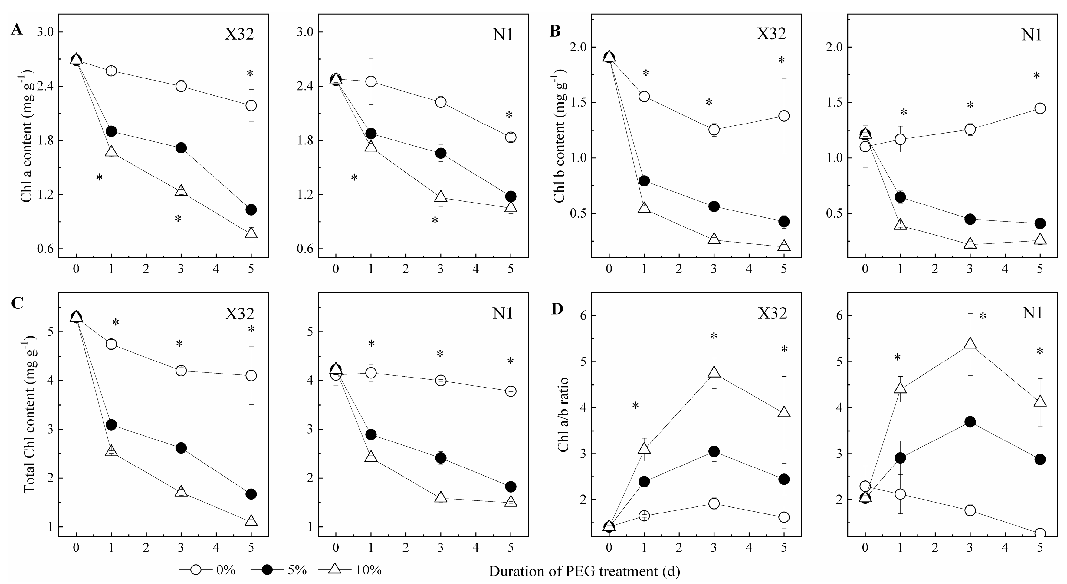
2.3. Chlorophyll Content in Leaves
2.4. NO3−-N and NH4+-N, AA and SP Content in Leaves and Roots
2.5. Changes in N Metabolism Enzymes in Leaves and Roots
2.6. Transcript Abundance Related to N Metabolism Exposed to Drought Stress
3. Discussion
3.1. Changes of Biomass, Chl and Inorganic Nitrogen Exposed to Drought Stress
3.2. Effects of Drought Stress on N Assimilation and Recycling
4. Materials and Methods
4.1. Plant Materials and Drought Treatment
4.2. Leaf RWC and MSI
4.3. Chlorophyll, NO3−-N, NH4+-N and AA Content
4.4. Enzyme Extraction and Analysis
4.5. Transcriptional Level Analysis of Genes
4.6. Statistical Analysis
5. Conclusions
Supplementary Materials
Author Contributions
Funding
Acknowledgments
Conflicts of Interest
References
- Ma, D.; Li, Q.; Cao, Q.; Niu, F.; Xie, Y.; Tang, J.; Li, H. Development and prospect of sweetpotato industry and its technologies in China. Jiangsu J. Agric. Sci. 2012, 28, 969–973. (In Chinese) [Google Scholar]
- Ruan, L.; Chen, L.; Chen, Y.; He, J.; Zhang, W.; Gao, Z.; Zhang, Y. Expression of Arabidopsis HOMEODOMAIN GLABROUS 11 enhances tolerance to drought stress in transgenic sweet potato plants. J. Plant Biol. 2012, 55, 151–158. [Google Scholar] [CrossRef]
- Zhai, H.; Wang, F.; Si, Z.; Huo, J.; Xing, L.; An, Y.; He, S.; Liu, Q. A myo-inositol-1-phosphate synthase gene, IbMIPS1, enhances salt and drought tolerance and stem nematode resistance in transgenic sweet potato. Plant Biotechnol. J. 2016, 14, 592–602. [Google Scholar] [CrossRef] [PubMed]
- Wang, B.Q.; Du, Z.H.; Xie, B.T.; Zhang, H.Y.; Zhang, L.M.; Zhang, W.L. Effects of film mulching on water content in soil and root formation of summer sweet potato seedlings. Shangdong Agric. Sci. 2014, 46, 41–45+51. (In Chinese) [Google Scholar]
- Jiang, Z.; Lv, Y. High yield cultivation technology of sweet potato. Rain Fed Crops 2010, 30, 225–226. (In Chinese) [Google Scholar]
- Chowdhury, S.R.; Singh, R.; Kundu, D.K.; Antony, E.; Thakur, A.K.; Verma, H.N. Growth, dry-matter partitioning and yield of sweet potato (Ipomoea batatas L.) as influenced by soil mechanical impedance and mineral nutrition under different irrigation regimes. Adv. Hortic. Sci. 2002, 16, 25–29. [Google Scholar]
- Liu, X.; Zhang, Y.; Han, W.; Tang, A.; Shen, J.; Cui, Z.; Vitousek, P.; Erisman, J.W.; Goulding, K.; Christie, P.; et al. Enhanced nitrogen deposition over China. Nature 2013, 494, 459–462. [Google Scholar] [CrossRef]
- Boschiero, B.N.; Mariano, E.; Azevedo, R.A.; Ocheuze Trivelin, P.C. Influence of nitrate–ammonium ratio on the growth, nutrition, and metabolism of sugarcane. Plant Physiol. Biochem. 2019, 139, 246–255. [Google Scholar] [CrossRef]
- Nacry, P.; Bouguyon, E.; Gojon, A. Nitrogen acquisition by roots: Physiological and developmental mechanisms ensuring plant adaptation to a fluctuating resource. Plant Soil 2013, 370, 1–29. [Google Scholar] [CrossRef]
- Meng, S.; Zhang, C.; Su, L.; Li, Y.; Zhao, Z. Nitrogen uptake and metabolism of Populus simonii in response to PEG-induced drought stress. Environ. Exp. Bot. 2016, 123, 78–87. [Google Scholar] [CrossRef]
- Duan, J.F.; Tian, H.; Gao, Y.J. Expression of nitrogen transporter genes in roots of winter wheat (Triticum aestivum L.) in response to soil drought with contrasting nitrogen supplies. Crop Pasture Sci. 2016, 67, 128–136. [Google Scholar] [CrossRef]
- Kaiser, W.M.; Huber, S.C. Posttranslational regulation of nitrate reductase in higher plants. Plant Physiol. 1994, 106, 817. [Google Scholar] [CrossRef] [PubMed]
- Amâncio, S.; Stulen, I. Nitrogen Acquisition and Assimilation in Higher Plants; Kluwer Academic Publishers: Dordrecht, The Netherlands, 2004; Volume 3. [Google Scholar]
- Cao, H.; Wang, X.; Zou, Y.; Shu, H. Effects of exogenous nitric oxide on the several enzymes of nitrofen metabolism in Maius hupehensis (Pamp.) rehd seedings under water stress. Acta Hortic. Sin. 2009, 36, 781–786, (In Chinese with English Abstract). [Google Scholar]
- Xu, G.; Fan, X.; Miller, A.J. Plant nitrogen assimilation and use efficiency. Annu. Rev. Plant Biol. 2012, 63, 153–182. [Google Scholar] [CrossRef] [PubMed]
- Cao, X.; Zhong, C.; Zhu, C.; Zhu, L.; Zhang, J.; Wu, L.; Jin, Q. Ammonium uptake and metabolism alleviate PEG-induced water stress in rice seedlings. Plant Physiol. Biochem. 2018, 132, 128–137. [Google Scholar] [CrossRef] [PubMed]
- Chen, T.; Yuan, F.; Song, J.; Wang, B. Nitric oxide participates in waterlogging tolerance through enhanced adventitious root formation in the euhalophyte Suaeda salsa. Funct. Plant Biol. 2016, 43, 244–253. [Google Scholar] [CrossRef]
- Liu, C.; Wang, Y.; Pan, K.; Jin, Y.; Li, W.; Zhang, L. Effects of phosphorus application on photosynthetic carbon and nitrogen metabolism, water use efficiency and growth of dwarf bamboo (Fargesia rufa) subjected to water deficit. Plant Physiol. Biochem. 2015, 96, 20–28. [Google Scholar] [CrossRef]
- Zhang, L.X.; Li, S.X. Effects of application of N and K fertilizers on nitrogen metabolism of two genetype varieties of maize under water-stressed condition. Plant Nutr. Fertil. Sci. 2007, 13, 554–560. (In Chinese) [Google Scholar]
- Wang, R.; Gao, M.; Ji, S.; Wang, S.; Meng, Y.; Zhou, Z. Carbon allocation, osmotic adjustment, antioxidant capacity and growth in cotton under long-term soil drought during flowering and boll-forming period. Plant Physiol. Biochem. 2016, 107, 137. [Google Scholar] [CrossRef]
- Chilundo, M.N.G.; Joel, A.; Wesstrom, I.; Rui, B.; Messing, I. Effects of reduced irrigation dose and slow release fertiliser on nitrogen use efficiency and crop yield in a semi-arid loamy sand. Agric. Water Manag. 2016, 168, 68–77. [Google Scholar] [CrossRef]
- Villordon, A.Q.; Clark, C.A. Variation in virus symptom development and root architecture attributes at the onset of storage root initiation in ‘Beauregard’ sweetpotato plants grown with or without nitrogen. PLoS ONE 2014, 9, e107384. [Google Scholar] [CrossRef] [PubMed]
- Kim, Y.H.; Park, S.C.; Ji, C.Y.; Lee, J.J.; Jeong, J.C.; Lee, H.S.; Kwak, S.S. Diverse antioxidant enzyme levels in different sweetpotato root types during storage root formation. Plant Growth Regul. 2015, 75, 155–164. [Google Scholar] [CrossRef]
- Wang, B.; Zhai, H.; He, S.; Zhang, H.; Ren, Z.; Zhang, D.; Liu, Q. A vacuolar Na+/H+ antiporter gene, IbNHX2, enhances salt and drought tolerance in transgenic sweetpotato. Sci. Hortic. 2016, 201, 153–166. [Google Scholar] [CrossRef]
- Zhang, K.; Wu, Z.; Tang, D.; Luo, K.; Lu, H.; Liu, Y.; Dong, J.; Wang, X.; Lv, C.; Wang, J.; et al. Comparative transcriptome analysis reveals critical function of sucrose metabolism related-enzymes in starch accumulation in the storage root of sweet potato. Front. Plant Sci. 2017, 8, 914. [Google Scholar] [CrossRef]
- Zhang, H.Y.; Xie, B.T.; Wang, B.Q.; Dong, S.X.; Duan, W.X.; Zhang, L.M. Evaluation of drought tolerance and screening for drought-tolerant indicators in sweetpotato cultivars. Acta Agron. Sin. 2019, 49, 419–430. [Google Scholar] [CrossRef]
- Cho, K.-S.; Han, E.-H.; Kwak, S.-S.; Cho, J.-H.; Im, J.-S.; Hong, S.-Y.; Sohn, H.-B.; Kim, Y.-H.; Lee, S.-W. Expressing the sweet potato orange gene in transgenic potato improves drought tolerance and marketable tuber production. C. R. Biol 2016, 339, 207–213. [Google Scholar] [CrossRef]
- Wang, J.; Li, H.; Liu, Q.; Xiang, D. Effects of drought stress on root development and physiological charateristics of sweet potato at seeding stage. Chin. J. Appl. Ecol. 2019, 30, 3155–3163. [Google Scholar]
- Yu, Y.; Xu, T.; Li, X.; Tang, J.; Ma, D.; Li, Z.; Sun, J. NaCl-induced changes of ion homeostasis and nitrogen metabolism in two sweet potato (Ipomoea batatas L.) cultivars exhibit different salt tolerance at adventitious root stage. Environ. Exp. Bot. 2016, 129, 23–36. [Google Scholar] [CrossRef]
- Ming, D.F.; Pei, Z.F.; Naeem, M.S.; Gong, H.J.; Zhou, W.J. Silicon alleviates PEG-induced water-deficit stress in upland rice seedlings by enhancing osmotic adjustment. J. Agron. Crop. Sci. 2012, 198, 14–26. [Google Scholar] [CrossRef]
- Du, Y.; Zhao, Q.; Chen, L.; Yao, X.; Zhang, W.; Zhang, B.; Xie, F. Effect of drought stress on sugar metabolism in leaves and roots of soybean seedlings. Plant Physiol. Biochem. 2020, 146, 1–12. [Google Scholar] [CrossRef]
- Zhang, J.; Liu, W.Q.; Xia, H.Q.; Gao, Y.; Tang, Z.H.; Zhang, J.Y.; Li, Z.Y.; Liu, J.R. Effects of soil drought stress on photosynthesis and yield of sweet potato. J. Jiangsu Norm. Univ. 2019, 37, 21–25. (In Chinese) [Google Scholar]
- Zahoor, R.; Zhao, W.; Abid, M.; Dong, H.; Zhou, Z. Potassium application regulates nitrogen metabolism and osmotic adjustment in cotton (Gossypium hirsutum L.) functional leaf under drought stress. J. Plant Physiol. 2017, 215, 30–38. [Google Scholar] [CrossRef] [PubMed]
- Huang, L.L.; Li, M.J.; Zhou, K.; Sun, T.T.; Hu, L.Y.; Li, C.Y.; Ma, F.W. Uptake and metabolism of ammonium and nitrate in response to drought stress in Malus prunifolia. Plant Physiol. Biochem. 2018, 127, 185–193. [Google Scholar] [CrossRef] [PubMed]
- Obidiegwu, J.; Bryan, G.; Jones, H.; Prashar, A. Coping with drought: Stress and adaptive responses in potato and perspectives for improvement. Front. Plant Sci. 2015, 6, 542. [Google Scholar] [CrossRef] [PubMed]
- Gonzalez-Dugo, V.; Durand, J.-L.; Gastal, F. Water deficit and nitrogen nutrition of crops. A review. Agron. Sustain. Dev. 2010, 30, 529–544. [Google Scholar] [CrossRef]
- Sánchez-Rodríguez, E.; Rubio-Wilhelmi, M.d.M.; Ríos, J.J.; Blasco, B.; Rosales, M.Á.; Melgarejo, R.; Romero, L.; Ruiz, J.M. Ammonia production and assimilation: Its importance as a tolerance mechanism during moderate water deficit in tomato plants. J. Plant Physiol. 2011, 168, 816–823. [Google Scholar] [CrossRef] [PubMed]
- Azedo-Silva, J.; Osorio, J.; Fonseca, F.; Correia, M.J. Effects of soil drying and subsequent re-watering on the activity of nitrate reductase in roots and leaves of Helianthus annuus. Funct. Plant Biol. 2004, 31, 611–621. [Google Scholar] [CrossRef] [PubMed][Green Version]
- Nie, L.L.; Feng, J.J.; Fan, P.X.; Chen, X.Y.; Guo, J.; Lv, S.L.; Bao, H.; Jia, W.T.; Tai, F.; Jiang, P.; et al. Comparative proteomics of root plasma membrane proteins reveals the involvement of calcium signalling in NaCl-facilitated nitrate uptake in Salicornia europaea. J. Exp. Bot. 2015, 66, 4497–4510. [Google Scholar] [CrossRef]
- Li, Y.; Gao, Y.; Ding, L.; Shen, Q.; Guo, S. Ammonium enhances the tolerance of rice seedlings (Oryza sativa L.) to drought condition. Agric. Water Manag. 2009, 96, 1746–1750. [Google Scholar] [CrossRef]
- Sairam, R.K.; Shukla, D.S.; Saxena, D.C. Stress induced injury and antioxidant enzymes in relation to drought tolerance in wheat genotypes. Biol. Plant. 1997, 40, 357–364. [Google Scholar] [CrossRef]
- Arnon, D.I. Copper enzymes in isolated chloroplasts. polyphenoloxidase in Beta vulgaris. Plant Physiol. 1949, 24, 1–15. [Google Scholar] [CrossRef] [PubMed]
- Ruiz, J.M.; Romero, L. Relationship between potassium fertilisation and nitrate assimilation in leaves and fruits of cucumber (Cucumis sativus) plants. Ann. Appl. Biol. 2002, 140, 241–245. [Google Scholar] [CrossRef]
- Weatherburn, M.W. Phenol-hypochlorite reaction for determination of ammonia. Anal. Chem. 1967, 39, 971–974. [Google Scholar] [CrossRef]
- Rosen, H. A modified ninhydrin colorimetric analysis for amino acids. Arch. Biochem. Biophys. 1957, 67, 10–15. [Google Scholar] [CrossRef]
- Liu, J.; Meng, Y.; Lv, F.; Chen, J.; Ma, Y.; Wang, Y.; Chen, B.; Zhang, L.; Zhou, Z. Photosynthetic characteristics of the subtending leaf of cotton boll at different fruiting branch nodes and their relationships with lint yield and fiber quality. Front. Plant Sci. 2015, 6, 747. [Google Scholar] [CrossRef] [PubMed]
- Hu, W.; Zhao, W.; Yang, J.; Oosterhuis, D.M.; Loka, D.A.; Zhou, Z. Relationship between potassium fertilization and nitrogen metabolism in the leaf subtending the cotton (Gossypium hirsutum L.) boll during the boll development stage. Plant Physiol. Biochem. 2016, 101, 113–123. [Google Scholar] [CrossRef]
- Bradford, M.M. A rapid and sensitive method for the quantitation of microgram quantities of protein utilizing the principle of protein-dye binding. Anal. Biochem. 1976, 72, 248–254. [Google Scholar] [CrossRef]
- Barbosa, J.M.; Singh, N.K.; Cherry, J.H.; Locy, R.D. Nitrate uptake and utilization is modulated by exogenous gamma-aminobutyric acid in Arabidopsis thaliana seedlings. Plant Physiol. Biochem. 2010, 48, 443–450. [Google Scholar] [CrossRef]
- Livak, K.J.; Schmittgen, T.D. Analysis of relative gene expression data using real-time quantitative PCR and the 2−ΔΔCT method. Methods 2001, 25, 402–408. [Google Scholar] [CrossRef]
- Park, S.C.; Kim, Y.H.; Ji, C.Y.; Park, S.; Jeong, J.C.; Lee, H.S.; Kwak, S.S. Stable internal reference genes for the normalization of Real-time PCR in different sweetpotato cultivars subjected to abiotic stress conditions. PLoS ONE 2012, 7, 9. [Google Scholar] [CrossRef]














© 2020 by the authors. Licensee MDPI, Basel, Switzerland. This article is an open access article distributed under the terms and conditions of the Creative Commons Attribution (CC BY) license (http://creativecommons.org/licenses/by/4.0/).
Share and Cite
Xia, H.; Xu, T.; Zhang, J.; Shen, K.; Li, Z.; Liu, J. Drought-Induced Responses of Nitrogen Metabolism in Ipomoea batatas. Plants 2020, 9, 1341. https://doi.org/10.3390/plants9101341
Xia H, Xu T, Zhang J, Shen K, Li Z, Liu J. Drought-Induced Responses of Nitrogen Metabolism in Ipomoea batatas. Plants. 2020; 9(10):1341. https://doi.org/10.3390/plants9101341
Chicago/Turabian StyleXia, Houqiang, Tao Xu, Jing Zhang, Ke Shen, Zongyun Li, and Jingran Liu. 2020. "Drought-Induced Responses of Nitrogen Metabolism in Ipomoea batatas" Plants 9, no. 10: 1341. https://doi.org/10.3390/plants9101341
APA StyleXia, H., Xu, T., Zhang, J., Shen, K., Li, Z., & Liu, J. (2020). Drought-Induced Responses of Nitrogen Metabolism in Ipomoea batatas. Plants, 9(10), 1341. https://doi.org/10.3390/plants9101341
 
        

