Changes in an Arbuscular Mycorrhizal Fungi Community Along an Environmental Gradient
Abstract
1. Introduction
2. Results
2.1. Soil Properties
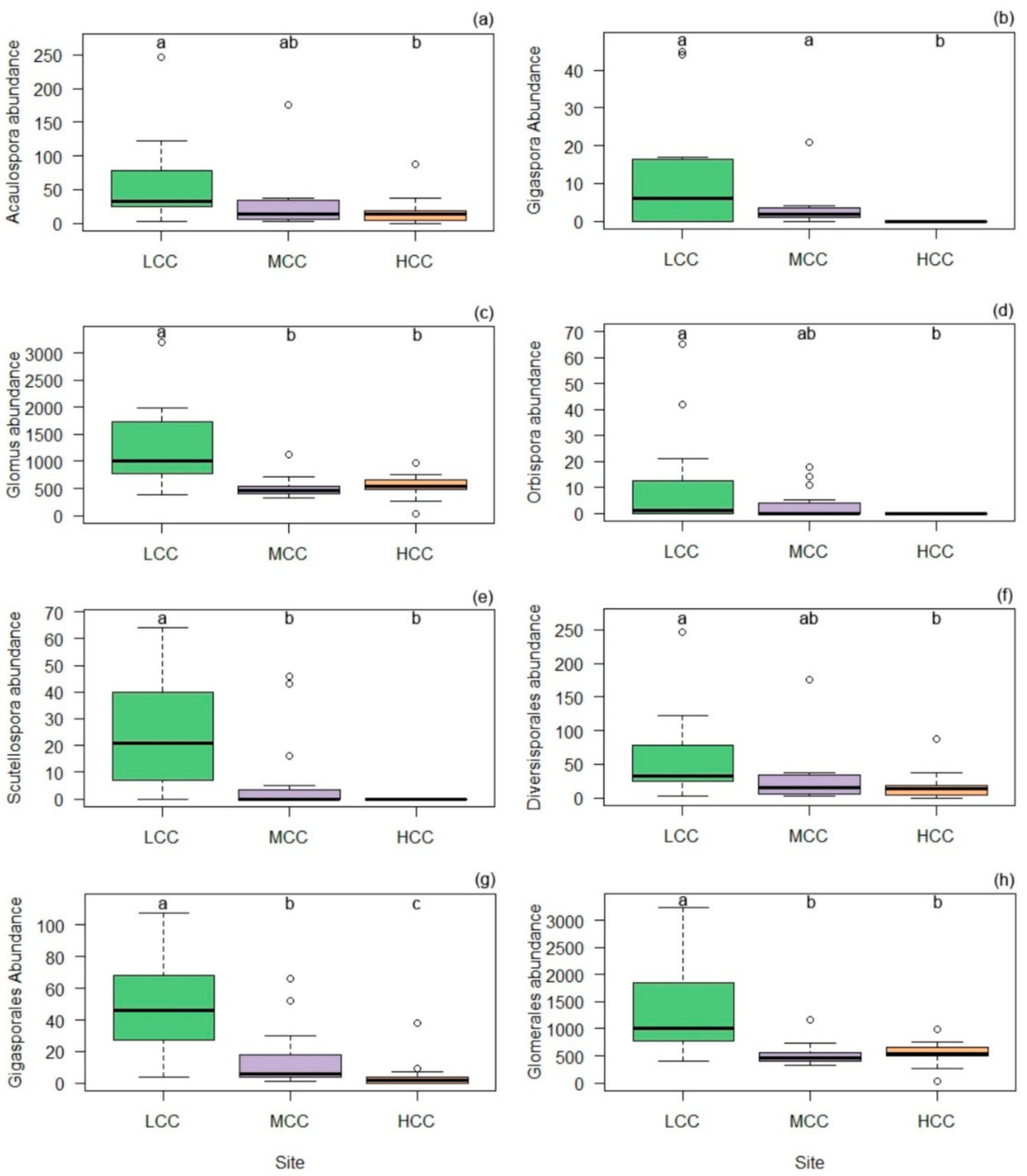
2.2. AMF Richness in the Field
2.3. AMF Richness and Assembly Composition in the Trap Cultures
2.4. Composition of the AMF Assembly from Field Samples
3. Discussion
4. Materials and Methods
4.1. Study Area
4.2. Collection
4.3. Trap Culture
4.4. Spore Extraction and Morphological Identification
4.5. Soil Analyses
4.6. Statistical Analyses
5. Conclusions
Author Contributions
Funding
Acknowledgments
Conflicts of Interest
References
- Smith, S.; Read, D. Mycorrhizal Symbiosis, 3rd ed.; Academic Press: San Diego, CA, USA, 2008; ISBN 978-0-12-370526-6. [Google Scholar]
- Keymer, A.; Pimprikar, P.; Wewer, V.; Huber, C.; Brands, M.; Bucerius, S.L.; Delaux, P.-M.; Klingl, V.; von Röpenack-Lahaye, E.; Wang, T.L.; et al. Lipid transfer from plants to arbuscular mycorrhiza fungi. Elife 2017, 6, 1–33. [Google Scholar] [CrossRef]
- Van Der Heijden, M.G.A.; Klironomos, J.N.; Ursic, M.; Moutoglis, P.; Streitwolf-Engel, R.; Boller, T.; Wiemken, A.; Sanders, I.R. Mycorrhizal fungal diversity determines plant biodiversity, ecosystem variability and productivity. Nature 1998, 396, 69–72. [Google Scholar] [CrossRef]
- Miller, R.M.; Jastrow, J.D. Mycorrhizal Fungi Influence Soil Structure. In Arbuscular Mycorrhizas: Physiology and Function; Kapulnik, Y., Douds, D.D., Jr., Eds.; Springer: Dordrecht, The Netherlands, 2000; pp. 3–18. ISBN 9789401707763. [Google Scholar]
- Johnson, N.C.; Wilson, G.W.T.; Bowker, M.A.; Wilson, J.A.; Miller, R.M. Resource limitation is a driver of local adaptation in mycorrhizal symbioses. Proc. Natl. Acad. Sci. USA 2010, 107, 2093–2098. [Google Scholar] [CrossRef]
- Rillig, M.C.; Mummey, D.L. Mycorrhizas and soil structure. New Phytol. 2006, 171, 41–53. [Google Scholar] [CrossRef]
- Kivlin, S.N.; Hawkes, C.V.; Treseder, K.K. Global diversity and distribution of arbuscular mycorrhizal fungi. Soil Biol. Biochem. 2011, 43, 2294–2303. [Google Scholar] [CrossRef]
- Chaudhary, V.B.; Cuenca, G.; Johnson, N.C. Tropical-temperate comparison of landscape-scale arbuscular mycorrhizal fungal species distributions. Divers. Distrib. 2018, 24, 116–128. [Google Scholar] [CrossRef]
- Johnson, N.C.; Tilman, D.; Wedin, D. Plant and soil controls on mycorrhizal fungal communities. Ecology 1992, 73, 2034–2042. [Google Scholar] [CrossRef]
- Dumbrell, A.J.; Nelson, M.; Helgason, T.; Dytham, C.; Fitter, A.H. Relative roles of niche and neutral processes in structuring a soil microbial community. ISME J. 2009, 4, 337–345. [Google Scholar] [CrossRef] [PubMed]
- Bueno, C.G.; Marín, C.; Silva-Flores, P.; Aguilera, P.; Godoy, R. Think globally, research locally: Emerging opportunities for mycorrhizal research in South America. New Phytol. 2017, 215, 1306–1309. [Google Scholar] [CrossRef] [PubMed]
- Mitchell, J.K.; Soga, K. Fundamental of Soil Behavior, 3rd ed.; John Wiley and Sons, Inc.: Hoboken, NJ, USA, 2005; ISBN 978-0-471-46302-3. [Google Scholar]
- Gehring, C. Introduction: Mycorrhizas and Soil Structure, Moisture, and Salinity. In Mycorrhizal Mediation of Soil: Fertility, Structure, and Carbon Storage; Johnson, N., Gehring, C., Jansa, J., Eds.; Elsevier: Amsterdam, The Netherlands, 2016; pp. 235–240. ISBN 978-0-12-804312-7. [Google Scholar]
- Raven, P.H.; Evert, R.F.; Eichhorn, S.E. Biologia Vegetal, 8th ed.; Guanabara Koogan: Rio de Janeiro, Brazil, 2014; ISBN 978-85-277-2383-1. [Google Scholar]
- Dexter, A.R. Advances in characterization of soil structure. Soil Tillage Res. 1988, 11, 199–238. [Google Scholar] [CrossRef]
- Oehl, F.; Laczko, E.; Bogenrieder, A.; Stahr, K.; Bösch, R.; van der Heijden, M.; Sieverding, E. Soil type and land use intensity determine the composition of arbuscular mycorrhizal fungal communities. Soil Biol. Biochem. 2010, 42, 724–738. [Google Scholar] [CrossRef]
- Torrecillas, E.; del Mar Alguacil, M.; Roldán, A.; Díaz, G.; Montesinos-Navarro, A.; Torres, M.P. Modularity Reveals the Tendency of Arbuscular Mycorrhizal Fungi To Interact Differently with Generalist and Specialist Plant Species in Gypsum Soils. Appl. Environ. Microbiol. 2014, 80, 5457–5466. [Google Scholar] [CrossRef] [PubMed]
- Zhao, H.; Li, X.; Zhang, Z.; Zhao, Y.; Yang, J.; Zhu, Y. Species diversity and drivers of arbuscular mycorrhizal fungal communities in a semi-arid mountain in China. PeerJ 2017, 5, e4155. [Google Scholar] [CrossRef] [PubMed]
- Lekberg, Y.; Koide, R.T.; Rohr, J.R.; Aldrich-Wolfe, L.; Morton, J.B. Role of niche restrictions and dispersal in the composition of arbuscular mycorrhizal fungal communities. J. Ecol. 2007, 95, 95–105. [Google Scholar] [CrossRef]
- Hart, M.M.; Reader, R.J. Taxonomic basis for variation in the colonization strategy of arbuscular mycorrhizal fungi. New Phytol. 2002, 153, 335–344. [Google Scholar] [CrossRef]
- Kohler, J.; Roldán, A.; Campoy, M.; Caravaca, F. Unraveling the role of hyphal networks from arbuscular mycorrhizal fungi in aggregate stabilization of semiarid soils with different textures and carbonate contents. Plant Soil 2017, 410, 273–281. [Google Scholar] [CrossRef]
- Carrenho, R.; Trufem, S.F.B.; Bononi, V.L.R.; Silva, E.S. The effect of different soil properties on arbuscular mycorrhizal colonization of peanuts, sorghum and maize. Acta Bot. Bras. 2007, 21, 723–730. [Google Scholar] [CrossRef]
- Lehmann, A.; Leifheit, E.F.; Rillig, M.C. Mycorrhizas and Soil Aggregation. In Mycorrhizal Mediation of Soil: Fertility, Structure, and Carbon Storage; Johnson, N., Gehring, C., Jansa, J., Eds.; Elsevier: Amsterdam, The Netherlands, 2016; pp. 241–262. ISBN 978-0-12-804312-7. [Google Scholar]
- Moebius-Clune, D.J.; Moebius-Clune, B.N.; van Es, H.M.; Pawlowska, T.E. Arbuscular mycorrhizal fungi associated with a single agronomic plant host across the landscape: Community differentiation along a soil textural gradient. Soil Biol. Biochem. 2013, 64, 191–199. [Google Scholar] [CrossRef]
- Mangalassery, S.; Sjögersten, S.; Sparkes, D.L.; Sturrock, C.J.; Mooney, S.J. The effect of soil aggregate size on pore structure and its consequence on emission of greenhouse gases. Soil Tillage Res. 2013, 132, 39–46. [Google Scholar] [CrossRef]
- Pereira, C.M.R.; da Silva, D.K.A.; Goto, B.T.; Rosendahl, S.; Maia, L.C. Management practices may lead to loss of arbuscular mycorrhizal fungal diversity in protected areas of the Brazilian Atlantic Forest. Fungal Ecol. 2018, 34, 50–58. [Google Scholar] [CrossRef]
- Santos, R.M.; Oliveira-Filho, A.T.; Eisenlohr, P.V.; Queiroz, L.P.; Cardoso, D.B.O.S.; Rodal, M.J.N. Identity and relationships of the Arboreal Caatinga among other floristic units of seasonally dry tropical forests (SDTFs) of north-eastern and Central Brazil. Ecol. Evol. 2012, 2, 409–428. [Google Scholar] [CrossRef] [PubMed]
- Le Stradic, S.; Buisson, E.; Fernandes, G.W. Vegetation composition and structure of some Neotropical mountain grasslands in Brazil. J. Mt. Sci. 2015, 12, 864–877. [Google Scholar] [CrossRef]
- Sousa, N.M.F.; Veresoglou, S.D.; Oehl, F.; Rillig, M.C.; Maia, L.C. Predictors of Arbuscular Mycorrhizal Fungal Communities in the Brazilian Tropical Dry Forest. Microb. Ecol. 2018, 75, 447–458. [Google Scholar] [CrossRef] [PubMed]
- De Assis, D.M.A.; de Melo, M.A.C.; da Silva, D.K.A.; Oehl, F.; da Silva, G.A. Assemblages of arbuscular mycorrhizal fungi in tropical humid and dry forests in the northeast of Brazil. Botany 2018, 96, 859–871. [Google Scholar] [CrossRef]
- Chagnon, P.L.; Bradley, R.L.; Maherali, H.; Klironomos, J.N. A trait-based framework to understand life history of mycorrhizal fungi. Trends Plant Sci. 2013, 18, 484–491. [Google Scholar] [CrossRef]
- Maherali, H.; Klironomos, J.N. Influence of Phylogeny on Fungal Community Assembly and Ecosystem Functioning. Science 2007, 316, 1746–1748. [Google Scholar] [CrossRef]
- Hart, M.; Reader, R. Does percent root length colonization and soil hyphal length reflect the extent of colonization for all AMF? Mycorrhiza 2002, 12, 297–301. [Google Scholar] [CrossRef]
- Veresoglou, S.D.; Caruso, T.; Rillig, M.C. Modelling the environmental and soil factors that shape the niches of two common arbuscular mycorrhizal fungal families. Plant Soil 2013, 368, 507–518. [Google Scholar] [CrossRef]
- Landis, F.C.; Gargas, A.; Givnish, T.J. Relationships among arbuscular mycorrhizal fungi, vascular plants and environmental conditions in oak savannas. New Phytol. 2004, 164, 493–504. [Google Scholar] [CrossRef]
- Da Silva, I.R.; de Mello, C.M.A.; Ferreira Neto, R.A.; da Silva, D.K.A.; de Melo, A.L.; Oehl, F.; Maia, L.C. Diversity of arbuscular mycorrhizal fungi along an environmental gradient in the Brazilian semiarid. Appl. Soil Ecol. 2014, 84, 166–175. [Google Scholar] [CrossRef]
- Eom, A.H.; Hartnett, D.C.; Wilson, G.W.T. Host plant species effects on arbuscular mycorrhizal fungal communities in tallgrass prairie. Oecologia 2000, 122, 435–444. [Google Scholar] [CrossRef] [PubMed]
- Martínez-García, L.B.; Richardson, S.J.; Tylianakis, J.M.; Peltzer, D.A.; Dickie, I.A. Host identity is a dominant driver of mycorrhizal fungal community composition during ecosystem development. New Phytol. 2014, 205, 1565–1576. [Google Scholar] [CrossRef] [PubMed]
- Torrecillas, E.; Alguacil, M.M.; Roldán, A. Host Preferences of Arbuscular Mycorrhizal Fungi Colonizing Annual Herbaceous Plant Species in Semiarid Mediterranean Prairies. Appl. Environ. Microbiol. 2012, 78, 6180–6186. [Google Scholar] [CrossRef]
- Oehl, F.; Schneider, D.; Sieverding, E.; Burga, C.A. Succession of arbuscular mycorrhizal communities in the foreland of the retreating Morteratsch glacier in the Central Alps. Pedobiologia 2011, 54, 321–331. [Google Scholar] [CrossRef]
- Tchabi, A.; Burger, S.; Coyne, D.; Hountondji, F.; Lawouin, L.; Wiemken, A.; Oehl, F. Promiscuous arbuscular mycorrhizal symbiosis of yam (Dioscorea spp.), a key staple crop in West Africa. Mycorrhiza 2009, 19, 375–392. [Google Scholar] [CrossRef] [PubMed]
- Helgason, T.; Fitter, A.H. Natural selection and the evolutionary ecology of the arbuscular mycorrhizal fungi (Phylum Glomeromycota). J. Exp. Bot. 2009, 60, 2465–2480. [Google Scholar] [CrossRef] [PubMed]
- De Andrade, Z.; Furrazola, E.; Cuenca, G. Scutellospora tepuiensis sp. nov. from the highland tepuis of Venezuela. Mycotaxon 2017, 132, 9–18. [Google Scholar] [CrossRef]
- Stürmer, S.L.; Oliveira, L.Z.; Morton, J.B. Gigasporaceae versus Glomeraceae (phylum Glomeromycota): A biogeographic tale of dominance in maritime sand dunes. Fungal Ecol. 2018, 32, 49–56. [Google Scholar] [CrossRef]
- De Souza, F.; Stürmer, S.L.; Carrenho, R.; Trufem, S.F.B. Classificação e taxonomia de fungos micorrízicos arbusculares e sua diversidade e ocorrência no Brasil. In Micorrizas: 30 Anos de Pesquisas No Brasil; Siqueira, J.O., de Souza, F.A., Cardoso, E.J.B.N., Tsai, S.M., Eds.; UFLA: Lavras, Brazil, 2010; pp. 15–73. ISBN 978-85-87692-90-0. [Google Scholar]
- Antoniolli, Z.I.; Facelli, E.; O’Connor, P.; Miller, D.; Ophel-Keller, K.; Smith, S.E. Spore communities of arbuscular mycorrhizal fungi and mycorrhizal associations in different ecosystems, south Australia. Revista Brasileira Ciência Do Solo 2002, 26, 627–635. [Google Scholar] [CrossRef]
- Öpik, M.; Davison, J.; Moora, M.; Zobel, M. DNA-based detection and identification of Glomeromycota: The virtual taxonomy of environmental sequences. Botany 2014, 92, 135–147. [Google Scholar] [CrossRef]
- Oehl, F.; Sieverding, E.; Ineichen, K.; Maeder, P.; Wiemken, A.; Boller, T. Distinct sporulation dynamics of arbuscular mycorrhizal fungal communities from different agroecosystems in long-term microcosms. Agric. Ecosyst. Environ. 2009, 134, 257–268. [Google Scholar] [CrossRef]
- Hart, M.M.; Reader, R.J.; Klironomos, J.N. Life-History Strategies of Arbuscular Mycorrhizal Fungi in Relation to Their Successional Dynamics. Mycologia 2001, 93, 1186. [Google Scholar] [CrossRef]
- De Queiroz, L.P.; Cardoso, D.; Fernandes, M.F.; Moro, M.F. Diversity and Evolution of Flowering Plants of the Caatinga Domain. In Caatinga: The Largest Tropical Dry Forest Region in South America; Da Silva, J.M.C., Leal, I.R., Tabarelli, M., Eds.; Springer: Cham, Switzerland, 2017; pp. 23–63. ISBN 978-3-319-68339-3. [Google Scholar]
- Da Silva, D.G.; de Melo, R.F.T.; de Barros Corrêa, A.C. A influência da densidade de drenagem na interpretação da evolução geomorfológica do Complexo de Tanques do município de Brejo Da Madre De Deus–Pernambuco, Nordeste Do Brasil. Rev. Geogr. 2010, 26, 294–306. [Google Scholar]
- De Souza, M.J.N.; de Oliveira, V.P.V. Os enclaves úmidos e sub-úmidos do semi-árido do nordeste brasileiro. Mercat. Rev. Geogr. UFC 2006, 5, 85–102. [Google Scholar]
- Da Silva, J.M.C.; Barbosa, L.C.F.; Leal, I.R.; Tabarelli, M. The Caatinga: Understanding the Challenges. In Caatinga: The Largest Tropical Dry Forest Region in South America; Da Silva, J.M.C., Leal, I.R., Tabarelli, M., Eds.; Springer: Cham, Switzerland, 2017; pp. 3–19. ISBN 978-3-319-68339-3. [Google Scholar]
- Rodal, M.J.N.; Nascimento, L.M. do Levantamento florístico da floresta serrana da reserva biológica de Serra Negra, microrregião de Itaparica, Pernambuco, Brasil. Acta Bot. Bras. 2002, 16, 481–500. [Google Scholar] [CrossRef]
- Gerdemann, J.W.; Nicolson, T.H. Spores of mycorrhizal Endogone species extracted from soil by wet sieving and decanting. Trans. Br. Mycol. Soc. 1963, 46, 235–244. [Google Scholar] [CrossRef]
- Blaszkowski, J. Glomeromycota; Polish Academy of Sciences: Krakow, Poland, 2012; ISBN 9788389648822. [Google Scholar]
- Da Silva, F.C. Manual de Análises Químicas de Solos, Plantas e Fertilizantes, 2nd ed.; Embrapa Informação Tecnológica: Brasília, Brazil, 2009; ISBN 978-85-7383-430-7. [Google Scholar]
- Tedesco, M.J.; Gianello, C.; Bissani, C.A.; Bohnen, H.; Volkweiss, S.J. Análises de Solo, Plantas e Outros Materiais, 2nd ed.; Universidade Federal do Rio Grande do Sul: Porto Alegre, Brazil, 1995. [Google Scholar]
- Zhang, Y.; Guo, L.-D.; Liu, R.-J. Survey of arbuscular mycorrhizal fungi in deforested and natural forest land in the subtropical region of Dujiangyan, southwest China. Plant Soil 2004, 261, 257–263. [Google Scholar] [CrossRef]
- Brower, J.E.; Zar, J. Community similarity. In Field and Laboratory Methods for General Ecology; Brower, J.E., Zar, J.H., von Ende, C.N., Eds.; W.C. Brown Publishers: Dubuque, IA, USA, 1984; p. 226. ISBN 0697046575. [Google Scholar]
- Dufrene, M.; Legendre, P. Species assemblages and indicator species: The need for a flexible asymmetrical approach. Ecol. Monogr. 1997, 67, 345–366. [Google Scholar] [CrossRef]
- R Core Team. R: A Language and Environment for Statistical Computing; R Foundation for Statistical Computing: Vienna, Austria, 2016. [Google Scholar]
- Oksanen, J.; Blanchet, F.G.; Friendly, M.; Kindt, R.; Legendre, P.; McGlinn, D.; Minchin, P.R.; O’Hara, R.B.; Simpson, G.L.; Solymos, P.; et al. Vegan: Community Ecology Package; R package version 2.5-3. 2019. Available online: https://CRAN.R-project.org/package=vegan (accessed on 26 August 2019).
- Chao, A.; Gotelli, N.J.; Hsieh, T.C.; Sander, E.L.; Ma, K.H.; Colwell, R.K.; Ellison, A.M. Rarefaction and extrapolation with Hill numbers: A framework for sampling and estimation in species diversity studies. Ecol. Monogr. 2014, 84, 45–67. [Google Scholar] [CrossRef]
- De Cáceres, M.; Legendre, P. Associations between species and groups of sites: Indices and statistical inference. Ecology 2009, 90, 3566–3574. [Google Scholar] [CrossRef]





| Site | (%) | ||
|---|---|---|---|
| Sand | Silt | Clay | |
| LCC—Low Clay Content | 55.91a | 28.89a | 15.20c |
| MCC—Medium Clay Content | 47.68b | 27.16a | 25.16b |
| HCC—High Clay Content | 45.12b | 21.48b | 33.40a |
| (Water) | mg dm−3 | Cmolc dm−3 | dS m−1 | g dm−3 | ||||||
|---|---|---|---|---|---|---|---|---|---|---|
| Site | pH | P | K | Na | Mg | Ca | H+Al3+ | Al | EC | TOC |
| LCC | 4.90b | 5.72ab | 0.28b | 0.14a | 5.42b | 0.35b | 5.17a | 2.09a | 0.15b | 27.58a |
| MCC | 5.31a | 5.24b | 0.59a | 0.09a | 6.57ab | 0.84a | 4.29a | 0.75b | 0.16b | 24.61a |
| HCC | 5.31a | 6.49a | 0.70a | 0.08a | 7.73a | 0.70a | 2.87b | 0.43b | 0.19a | 20.24b |
| Heading | Site | IV | P |
|---|---|---|---|
| Order | |||
| Gigasporales | LCC + MCC | 96.6 | 0.001 |
| Family | |||
| Gigasporaceae | LCC + MCC | 87.6 | 0.001 |
| Scutellosporaceae | LCC + MCC | 81.2 | 0.001 |
| Genus | |||
| Scutellospora | LCC | 78.4 | 0.002 |
| Racocetra | MCC | 51.6 | 0.03 |
| Gigaspora | LCC + MCC | 87.6 | 0.001 |
| Orbispora | LCC + MCC | 68.3 | 0.008 |
| Species | |||
| Acaulospora sp. 4 | LCC | 57.7 | 0.008 |
| Scutellospora tepuiensis | LCC | 85.3 | 0.001 |
| Acaulospora sp. 6 | MCC | 51.6 | 0.034 |
| Acaulospora sp. 5 | HCC | 59.0 | 0.04 |
| Cetraspora pellucida | HCC | 51.6 | 0.025 |
| Glomus sp. 9 | HCC | 63.2 | 0.001 |
| Glomus sp. 10 | HCC | 51.6 | 0.022 |
| Gigaspora margarita | LCC + MCC | 81.6 | 0.001 |
| Orbispora pernambucana | LCC + MCC | 68.3 | 0.009 |
| Scutellospora calospora | LCC + MCC | 68.3 | 0.007 |
| Type of spore formation | |||
| Gigasporoid | LCC + MCC | 96.6 | 0.001 |
| Species | Field | Trap Culture | |||||||
|---|---|---|---|---|---|---|---|---|---|
| LCC | MCC | HCC | LCC | MCC | HCC | LCC | MCC | HCC | |
| RA | RA | RA | FO | FO | FO | RA | RA | RA | |
| Acaulospora denticulata | 0.01 | 13.33 | |||||||
| Acaulospora foveata | 0.02 | 0.05 | 0.03 | 26.67 | 20.00 | 26.67 | 0.04 | 0.05 | |
| Acaulospora herrerae | 0.003 | 6.67 | |||||||
| Acaulospora lacunosa | 0.01 | 0.003 | 0.01 | 13.33 | 46.67 | 6.67 | |||
| Acaulospora longula | 0.26 | 0.03 | 0.03 | 60 | 46.67 | 26.67 | 0.31 | 0.07 | |
| Acaulospora mellea | 0.50 | 0.41 | 0.07 | 66.67 | 46.67 | 66.67 | 0.5 | 0.03 | 0.14 |
| Acaulospora morrowiae | 0.14 | 0.18 | 0.33 | 40 | 53.33 | 73.33 | 0.19 | ||
| Acaulospora rehmii | 0.01 | 0.02 | 6.67 | 20 | 0.05 | ||||
| Acaulospora scrobiculata | 0.65 | 0.08 | 0.05 | 60 | 53.33 | 26.67 | 0.12 | 0.04 | 0.04 |
| Acaulospora spinosa | 0.013 | 0.08 | 0.02 | 13.33 | 33.33 | 20 | |||
| Acaulospora spinosissima | 0.01 | 0.003 | 0.01 | 13.33 | 6.67 | 13.33 | 0.03 | 0.03 | |
| Acaulospora spinulifera | 0.25 | 0.05 | 20 | 20 | |||||
| Acaulospora sp. 1 | 0.01 | 0.04 | 13.33 | 13.33 | 0.01 | ||||
| Acaulospora sp. 2 | 0.003 | 0.003 | 6.67 | 6.67 | 0.03 | 0.01 | |||
| Acaulospora sp. 3 | 0.07 | 0.02 | 0.01 | 13.33 | 33.33 | 20 | 0.01 | 0.01 | 0.03 |
| Acaulospora sp. 4 | 0.45 | 33.33 | |||||||
| Acaulospora sp. 5 | 0.03 | 0.02 | 0.14 | 20 | 6.67 | 46.67 | |||
| Acaulospora sp. 6 | 0.08 | 26.67 | 0.01 | 0.01 | |||||
| Acaulospora sp. 7 | 0.01 | 6.67 | |||||||
| Acaulospora sp. 8 | 0.003 | 6.67 | |||||||
| Ambispora appendicula | 0.04 | 0.02 | 0.02 | 33.33 | 20 | 26.67 | 0.80 | 0.62 | 0.16 |
| Ambispora sp. | 0.07 | 6.67 | |||||||
| Archaeospora sp. | 0.003 | 6.67 | |||||||
| Bulbospora minima | 0.12 | 20 | 0.01 | ||||||
| Cetraspora gilmorei | 0.01 | 0.03 | 0.003 | 13.33 | 26.67 | 6.67 | 0.01 | ||
| Cetraspora pellucida | 0.02 | 26.67 | |||||||
| Cetraspora sp. | 0.003 | 6.67 | |||||||
| Claroideoglomus claroideum | 0.01 | ||||||||
| Claroideoglomus etunicatum | 0.08 | 0.01 | 0.01 | 13.33 | 13.33 | 6.67 | 0.04 | 0.03 | 0.01 |
| Dentiscutata cerradensis | 0.02 | 0.02 | 33.33 | 20 | 0.03 | ||||
| Dentiscutata scutata | 0.01 | 6.67 | |||||||
| Dominikia aurea | 0.14 | 0.02 | 0.01 | 13.33 | 6.67 | 6.67 | 0.91 | 0.12 | |
| Dominikia bernensis | 0.51 | 0.03 | 6.67 | 6.67 | |||||
| Entrophospora sp. 1 | 0.01 | 13.33 | |||||||
| Entrophospora sp. 2 | 0.003 | 6.67 | |||||||
| Funneliformis halonatus | 0.15 | 0.21 | 0.26 | 60 | 93.33 | 60 | 0.32 | 0.22 | 0.38 |
| Funneliformis mosseae | 0.003 | 6.67 | 0.01 | ||||||
| Fuscutata savannicola | 0.01 | 0.01 | 0.01 | 13.33 | 13.33 | 20 | |||
| Gigaspora decipiens | 0.02 | 0.01 | 20 | 13.33 | |||||
| Gigaspora gigantea | 0.04 | 0.02 | 26.67 | 20 | |||||
| Gigaspora margarita | 0.40 | 0.11 | 66.67 | 66.67 | 0.07 | 0.05 | |||
| Gigaspora sp. | 0.01 | 6.67 | 0.08 | ||||||
| Glomus brohultii | 16.79 | 4.20 | 3.47 | 100 | 100 | 100 | 7.86 | 5.15 | 9.03 |
| Glomus glomerulatum | 16.47 | 4.62 | 3.62 | 100 | 100 | 100 | 4.65 | 2.14 | 2.08 |
| Glomus macrocarpum | 8.39 | 5.25 | 3.71 | 100 | 100 | 100 | 15.23 | 10.78 | 5.36 |
| Glomus microcarpum | 0.37 | 0.12 | 0.07 | 66.67 | 73.33 | 46.67 | 0.04 | 0.05 | |
| Glomus sp. 1 | 0.03 | 0.02 | 33.33 | 26.67 | |||||
| Glomus sp. 2 | 0.64 | 0.19 | 0.03 | 40 | 73.33 | 33.33 | 0.22 | 0.03 | |
| Glomus sp. 3 | 1.21 | 1.07 | 1.00 | 86.67 | 100 | 100 | 0.45 | 0.5 | 0.65 |
| Glomus sp. 4 | 4.92 | 4.25 | 8.37 | 86.67 | 100 | 100 | 3.16 | 9.57 | 12.97 |
| Glomus sp. 5 | 0.38 | 0.25 | 0.42 | 66.67 | 53.33 | 26.67 | 0.62 | 0.88 | 1.66 |
| Glomus sp. 6 | 0.22 | 0.003 | 6.67 | 6.67 | 0.05 | ||||
| Glomus sp. 7 | 0.01 | 0.003 | 0.01 | 13.33 | 6.67 | 26.67 | |||
| Glomus sp. 8 | 0.53 | 0.11 | 26.67 | 26.67 | |||||
| Glomus sp. 9 | 0.46 | 40 | 0.59 | ||||||
| Glomus sp. 10 | 0.16 | 26.67 | |||||||
| Intraornatospora intraornata | 0.01 | 13.33 | |||||||
| Paradentiscutata bahiana | 0.03 | 0.02 | 13.33 | 6.67 | |||||
| Paradentiscutata maritima | 0.01 | 6.67 | |||||||
| Paradentiscutata sp. | 0.01 | 6.67 | |||||||
| Paraglomus occultum | 0.003 | 6.67 | |||||||
| Paraglomus pernambucanum | 0.003 | 6.67 | |||||||
| Orbispora pernambucana | 0.43 | 0.14 | 53.33 | 40 | 0.01 | 0.03 | |||
| Racocetra beninensis | 0.01 | 6.67 | |||||||
| Racocetra fulgida | 0.003 | 6.67 | |||||||
| Racocetra persica | 0.01 | 6.67 | |||||||
| Racocetra verrucosa | 0.003 | 6.67 | 0.03 | ||||||
| Rhizoglomus clarum | 0.01 | 0.003 | 0.003 | 20 | 6.67 | 6.67 | |||
| Rhizoglomus custos | 0.18 | ||||||||
| Rhizoglomus intraradices | 0.01 | 6.67 | |||||||
| Sacculospora baltica | 0.26 | ||||||||
| Sclerocarpum sp. | 0.01 | 6.67 | |||||||
| Sclerocystis clavispora | 0.02 | 0.01 | 20 | 13.33 | |||||
| Scutellospora alterata | 0.003 | 6.67 | |||||||
| Scutellospora calospora | 0.25 | 0.29 | 60 | 33.33 | |||||
| Scutellospora tepuiensis | 0.73 | 0.01 | 73.33 | 13.33 | 0.07 | ||||
| Scutellospora sp. | 0.003 | 6.67 | |||||||
| Septoglomus constrictum | 0.003 | 0.003 | 6.67 | 6.67 | 0.03 | 0.01 | |||
| Tricispora sp. 1 | 0.01 | 6.67 | |||||||
| Tricispora sp. 2 | 0.01 | 13.33 | |||||||
| Total | 50 | 55 | 42 | 25 | 25 | 23 | |||
| Site | Latitude | Longitude | Altitude | Phytophysiognomy |
|---|---|---|---|---|
| LCC | 8°9′24.65″ S | 36°23′36.05″ W | 1170 | Shrubby |
| MCC | 8°9′47.31″ S | 36°23′14.36″ W | 1030 | Shrubby-arboreal |
| HCC | 8°10′43.53″ S | 36°23′25.61″ W | 900 | Arboreal |
© 2020 by the authors. Licensee MDPI, Basel, Switzerland. This article is an open access article distributed under the terms and conditions of the Creative Commons Attribution (CC BY) license (http://creativecommons.org/licenses/by/4.0/).
Share and Cite
Vieira, L.C.; Silva, D.K.A.d.; Escobar, I.E.C.; Silva, J.M.d.; Moura, I.A.d.; Oehl, F.; Silva, G.A.d. Changes in an Arbuscular Mycorrhizal Fungi Community Along an Environmental Gradient. Plants 2020, 9, 52. https://doi.org/10.3390/plants9010052
Vieira LC, Silva DKAd, Escobar IEC, Silva JMd, Moura IAd, Oehl F, Silva GAd. Changes in an Arbuscular Mycorrhizal Fungi Community Along an Environmental Gradient. Plants. 2020; 9(1):52. https://doi.org/10.3390/plants9010052
Chicago/Turabian StyleVieira, Larissa Cardoso, Danielle Karla Alves da Silva, Indra Elena Costa Escobar, Julyana Maria da Silva, Ingrid Andrêssa de Moura, Fritz Oehl, and Gladstone Alves da Silva. 2020. "Changes in an Arbuscular Mycorrhizal Fungi Community Along an Environmental Gradient" Plants 9, no. 1: 52. https://doi.org/10.3390/plants9010052
APA StyleVieira, L. C., Silva, D. K. A. d., Escobar, I. E. C., Silva, J. M. d., Moura, I. A. d., Oehl, F., & Silva, G. A. d. (2020). Changes in an Arbuscular Mycorrhizal Fungi Community Along an Environmental Gradient. Plants, 9(1), 52. https://doi.org/10.3390/plants9010052

