Next Article in Journal
A Polyamine Oxidase from Selaginella lepidophylla (SelPAO5) can Replace AtPAO5 in Arabidopsis through Converting Thermospermine to Norspermidine instead to Spermidine
Next Article in Special Issue
Different Roles of Heat Shock Proteins (70 kDa) During Abiotic Stresses in Barley (Hordeum vulgare) Genotypes
Previous Article in Journal
Bacillus Spp.: Efficient Biotic Strategy to Control Postharvest Diseases of Fruits and Vegetables
Previous Article in Special Issue
Towards an Understanding of the Molecular Basis of Nickel Hyperaccumulation in Plants
 
 
Font Type:
Arial Georgia Verdana
Font Size:
Aa Aa Aa
Line Spacing:
Column Width:
Background:
Article

Morphological and Transcriptome Analysis of Wheat Seedlings Response to Low Nitrogen Stress

1
College of Resources and Environmental Sciences, Nanjing Agricultural University, Nanjing 210095, China
2
Eco-Environmental Protection Research Institute, Shanghai Academy of Agricultural Sciences, Shanghai 201403, China
3
Shanghai Scientific Observation and Experimental Station for Agricultural Environment and Land Conservation, Shanghai Academy of Agricultural Sciences, Shanghai 201403, China
4
Shanghai Environmental Protection Monitoring Station of Agriculture, Shanghai Academy of Agricultural Sciences, Shanghai 201403, China
5
Shanghai Engineering Research Center of Low-Carbon Agriculture (SERLA), Shanghai Academy of Agricultural Sciences, Shanghai 201403, China
6
Shanghai Key Laboratory of Protected Horticultural Technology, Shanghai Academy of Agricultural Sciences, Shanghai 201403, China
*
Authors to whom correspondence should be addressed.
These authors contributed equally to this work.
Plants 2019, 8(4), 98; https://doi.org/10.3390/plants8040098
Submission received: 23 February 2019 / Revised: 29 March 2019 / Accepted: 2 April 2019 / Published: 15 April 2019

Abstract

:
Nitrogen (N) is one of the essential macronutrients that plays an important role in plant growth and development. Unfortunately, low utilization rate of nitrogen has become one of the main abiotic factors affecting crop growth. Nevertheless, little research has been done on the molecular mechanism of wheat seedlings resisting or adapting to low nitrogen environment. In this paper, the response of wheat seedlings against low nitrogen stress at phenotypic changes and gene expression level were studied. The results showed that plant height, leaf area, shoot and root dry weight, total root length, and number under low nitrogen stress decreased by 26.0, 28.1, 24.3, 38.0, 41.4, and 21.2 percent, respectively compared with plants under normal conditions. 2265 differentially expressed genes (DEGs) were detected in roots and 2083 DEGs were detected in leaves under low nitrogen stress (N-) compared with the control (CK). 1688 genes were up-regulated and 577 genes were down-regulated in roots, whilst 505 genes were up-regulated and 1578 were down-regulated in leaves. Among the most addressed Gene Ontology (GO) categories, oxidation reduction process, oxidoreductase activity, and cell component were mostly represented. In addition, genes involved in the signal transduction, carbon and nitrogen metabolism, antioxidant activity, and environmental adaptation were highlighted. Our study provides new information for further understanding the response of wheat to low nitrogen stress.

1. Introduction

Wheat is one of the most widely grown cereal crops all over the world [1]. However, low utilization rate of nitrogen (N) fertilizer severely limits the yield and quality of wheat [2]. Excessive application of nitrogen fertilizer is one of the main ways to ensure crop yield and quality, yet plants can only use about 30% to 40% of the applied nitrogen fertilizer. No less than 40% of the nitrogen fertilizer applied is lost by leaching into the groundwater, lakes, rivers and atmosphere, giving rise to severe pollution [3]. In order to solve this problem, the technology of ‘reducing fertilizer and increasing efficiency’ has been popularized in our country. Recent studies have shown that insufficient nutrient supply has a serious impact on plant growth [4,5,6]. Evidence from Jeuffroy et al. indicated that nitrogen deficiency of winter wheat generally can result in slow growth, fewer tillers, and yellowish leaves [7]. The negative effects of low nitrogen on the formation of wheat root morphology have been discussed, including the decreased root length, root number, root surface area, and root dry weight [2,8]. Furthermore, Rose et al. suggested that the developed root architecture has stronger nitrogen uptake capacity, such as greater root length and root surface area [9]. Understanding the morphological response characteristics of wheat seedlings under low nitrogen stress is of critical importance for agricultural fertilization and selection of resistant varieties.
In recent years, transcriptome profiling using next-generation sequencing technologies has been used to study the transcription of genes and the regulation of transcriptional at the overall level [10]. Transcriptome analysis based on Illumina’s RNA-sequencing platform in order to explore gene expression in response to nitrogen nutrition stress in plants has been carried out. Wan et al. revealed that wheat amino acid transporters play a vital role in nitrogen transport, response to abiotic stress, and development based on transcriptome analysis [11]. Dai et al. studied how the accumulation of wheat grain storage protein is regulated during grain development in response to nitrogen supply by using transcriptome profiling [12]. Asparagine is considered to be an ideal nitrogen transport molecule, as it plays a major in nitrogen uptake by plant roots [13]. Previous works have found asparagine synthetase genes (AsnS) in Arabidopsis [14] and maize [15]. Curci et al. showed that AsnS genes were down-regulated in durum wheat roots and leaves under nitrogen stress [1]. In addition, when plants grow nitrogen-free condition, the genes involved in nitrogen compound metabolism, carbon metabolism, amino acid metabolism, and photosynthesis were down-regulated in roots and leaves [16,17].
Although great progress has been done on the adaptation mechanisms of plants to abiotic stress, little research is available on wheat seedlings response to low nitrogen stress. In this work, besides studying morphological changes between low nitrogen stress and control samples, we focused on transcriptome analysis of wheat seedlings under low nitrogen stress using high-throughput sequencing. Our results provide a basis for understanding wheat’s response to low nitrogen stress and the molecular mechanisms that underlie it.

2. Results

2.1. Low Nitrogen Stress Affects Wheat Seedlings Morphology

Wheat seedlings exposure to N- produced a significant growth inhibition compared to control (CK), as observed on plant height, leaf area, shoot dry weight, root dry weight, total root length, and total root number. N- led to a significant (p < 0.05) decrease in plant height, leaf area, shoot dry weight, root dry weight, total root length, and total root number by 26.0, 28.1, 24.3, 38.0, 41.4 and 21.2 percent, respectively, compared to CK (Table 1). These results suggest that wheat seedlings are highly sensitive to low nitrogen environments, and low nitrogen stress seriously affected the growth of wheat.

2.2. Overview of Transcriptome Sequencing Results

The genome-wide transcriptional response to low nitrogen stress in wheat seedlings was investigated by high-throughput RNA-seq. Seedling samples, CK and N-, were sequenced using an Illumina HiSeq platform. Approximately 40.83 to 45.10 million 150 bp paired-end clean reads were obtained from leaf CK and N- samples, respectively, while root CK and N- samples engendered 40.73 to 43.72 million reads, respectively, after adapter trimming and filtering low-quality reads (Table 2). The average leaf Q20, Q30, and GC (Base G + Base C) contents were 95.39%, 89.06%, and 55.00%, respectively. Similarly, the average root Q20, Q30, and GC contents were 95.12%, 88.67%, and 54.00% respectively, with the clean reads of Q20 occupying over 95% of the total reads. These findings attest to the fine quality of the sequencing results. The respective mapped reads information between CK and N- leaf samples was: 84.43% and 84.03% total mapped; 8.06% and 6.50% multiple mapped; 91.94% and 93.50% uniquely mapped, respectively. Between CK and N- root samples 71.01% and 77.41% were total mapped, 6.76% and 5.64% were multiple mapped, while 93.24% and 94.36% were uniquely mapped (Table 2). The transcriptome data was deemed suitable for subsequent analysis.

2.3. Low Nitrogen Stress Affects Genes Expression in Wheat Seedlings

Compared with the control, a total of 2265 DEGs were found in roots under low nitrogen stress, of which 1688 genes were up-regulated and 577 genes were down-regulated (Figure 1, Table S1). In a total of 2083 DEGs in leaf transcripts, 505 genes were up-regulated and 1578 genes were down-regulated (Figure 1, Table S2). We observed that a larger number of genes were up-regulated in roots, and a larger number of genes were down-regulated in leaves. Overall, the total number of DEGs in roots were higher than in leaves.

2.4. GO Enrichment Analysis of DEGs

Gene ontology (GO) enrichment analysis was carried out to further characterize the main biological functions of DEGs in wheat seedlings under low nitrogen stress. All the DEGs can be divided into three categories, including biological process, molecular function, and cellular component. Furthermore, the three categories could further be divided into 45 subcategories in the leaf, of which 28 subcategories were significantly (p < 0.05) enriched (Figure 2; Table S3). There were ten, ten, and six enriched subcategories belonging to the categories of biological process, molecular function and cellular component, respectively. In biological process, the ‘oxidation reduction process’ was the most enriched subcategory. ‘Oxidoreductase activity’ was the most enriched subcategory in the molecular function. Among the cellular components, the three most enriched subcategories were ‘cell’, ‘cell part’, and ‘organelle’. Other significantly enriched subcategories are shown in Table S3.
Moreover, these three categories could be further divided into 38 subcategories in the root, of which 20 subcategories were significantly (p < 0.05) enriched (Figure 3; Table S4). There were ten and nine enriched subcategories belonging to the categories of biological process and molecular function, respectively. Only the ‘extracellular region’ was significantly enriched in the cellular component. ‘Organic acid catabolic process’ and ‘carbon-nitrogen lyase activity’ were the most highly enriched in each of the biological process and molecular function categories, respectively. Other significantly enriched subcategories are shown in Table S4.

2.5. Kyoto Encyclopedia of Genes and Genomes (KEGG) Enrichment Analysis of DEGs

In order to assign DEGs to cellular pathways, pathway enrichment analysis based on KEGG was performed. The DEGs significantly enriched pathways were calculated using hypergeometric distribution based on the whole genome. There are five KEGG pathway categories: Cellular processes, environmental information processing, genetic information processing, metabolism, and organismal systems. ‘Signal transduction’ was the only item enriched in environmental information processing in the leaf. In regard to metabolism, ‘carbohydrate metabolism’ was the most highly overrepresented, followed by ‘metabolism of terpenoids and polyketides’, ‘amino acid metabolism’, ‘lipid metabolism’, ‘energy metabolism’, ‘metabolism of cofactors and vitamins’, ‘biosynthesis of other secondary metabolites’, and ‘metabolism of other amino acids’. ‘Environmental adaptation’ and ‘nervous system’ were the only items enriched in organismal systems. No enrichment was found in cellular processes and genetic information processing (Figure 4).
Similar KEGG pathway enrichments were found in roots. ‘signal transduction’ was the only enriched process in environmental information processing. In the category of metabolism, most of the pathways were highly overrepresented, including ‘biosynthesis of other secondary metabolites’, ‘amino acid metabolism’, ‘lipid metabolism’, ‘energy metabolism’, ‘xenobiotics biodegradation and metabolism’, ‘metabolism of other amino acids’, ‘carbohydrate metabolism’ and ‘metabolism of terpenoids and polyketides’. In the category of organismal systems, ‘environmental adaptation’ was the mostly overrepresented, followed by ‘nervous system’, ‘endocrine system’, ‘sensory system’, and ‘digestive system’. No significant enrichment was found in cellular processes and genetic information processing (Figure 5).

2.6. Validation of RNA Sequencing Data by Quantitative Real-Time PCR

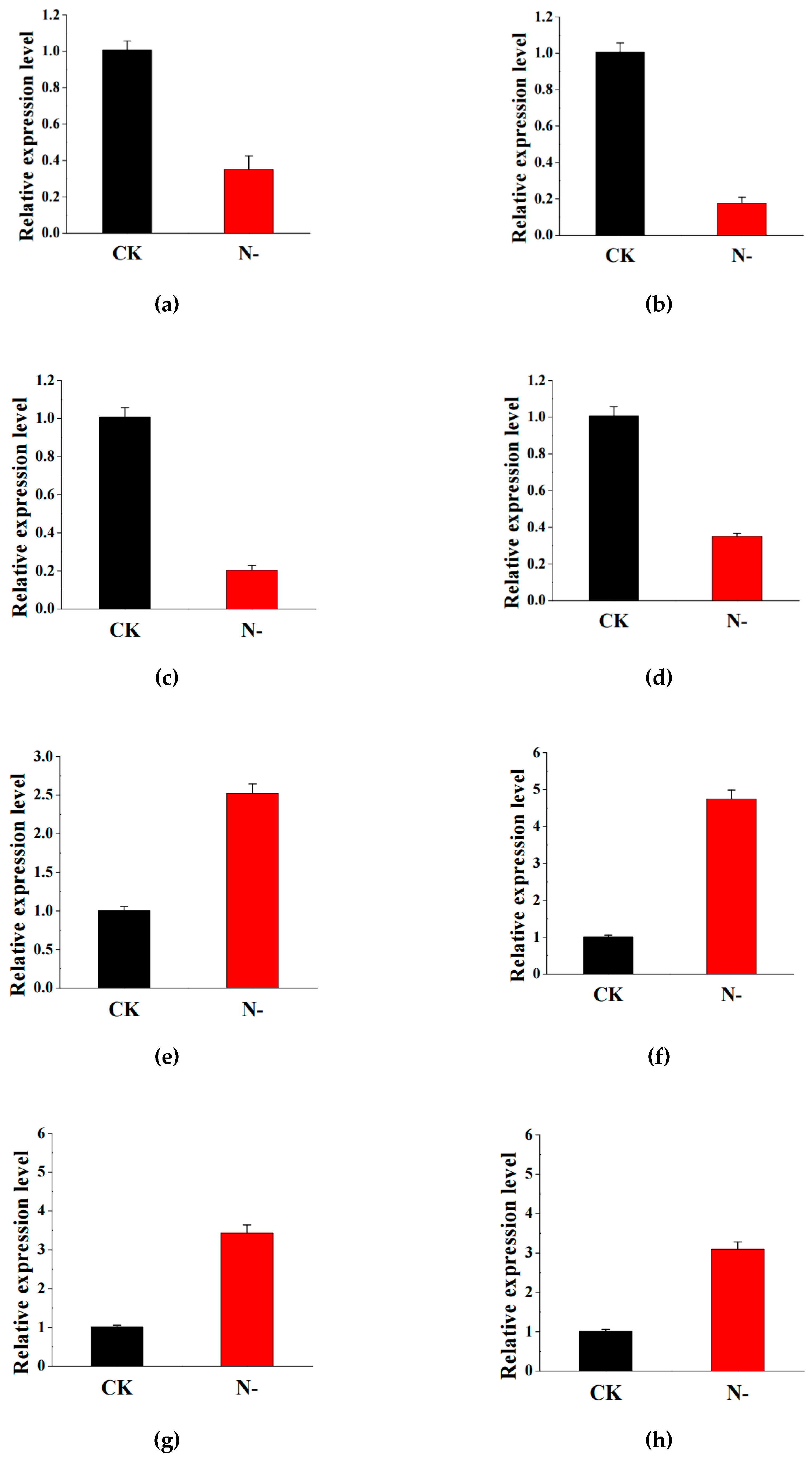
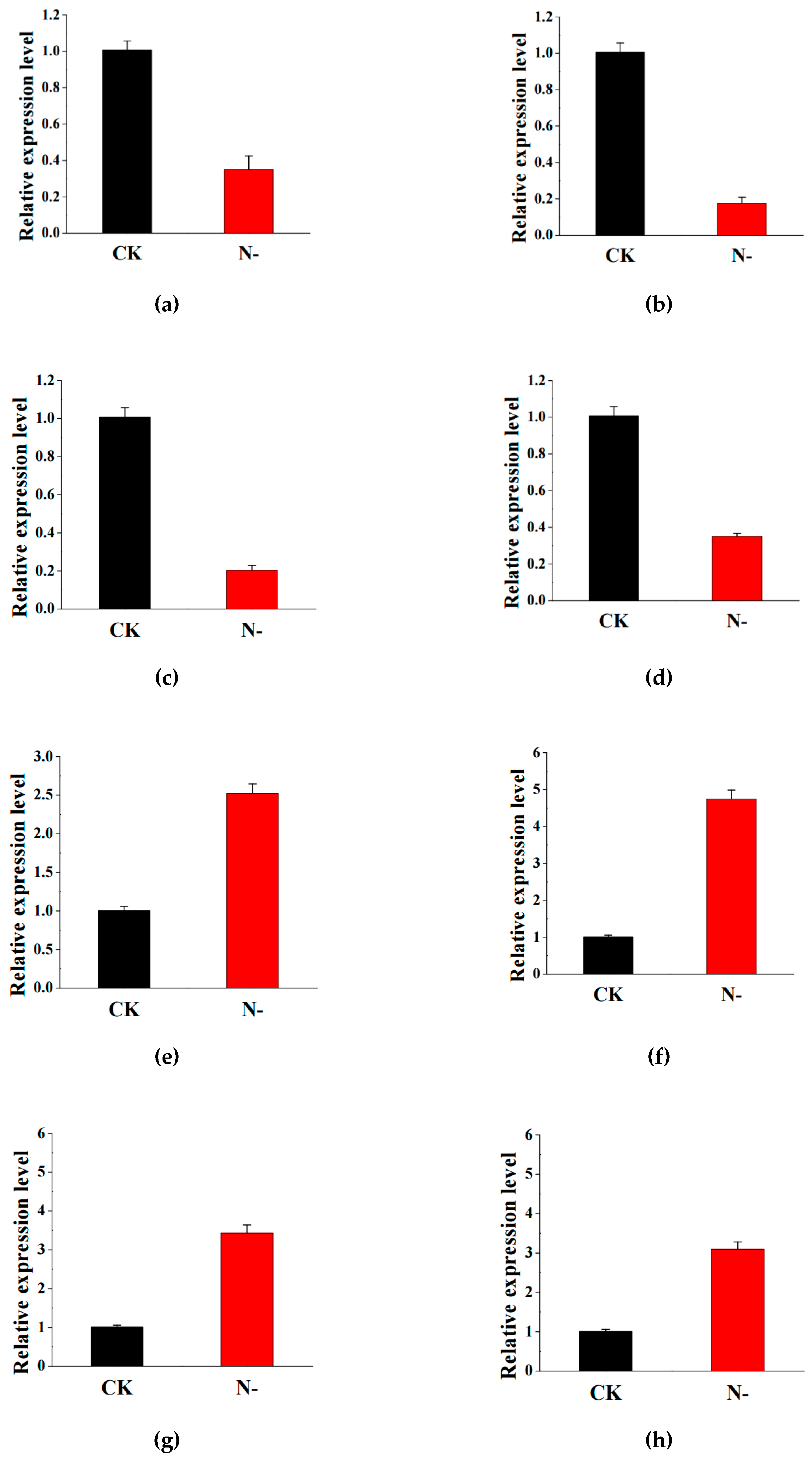
A total of eight DEGs (four in leaf and four in root) were randomly selected and validated by quantitative real-time PCR (qRT-PCR) to confirm the reliability of our sequencing data. These included genes encoding photosystem II PPD protein 3, MYB transcription factor 78, glycine cleavage system p protein, and catalase in leaves, and WRKY transcription factor, asparagine synthetase, peroxidase, and MYB 33 in roots. The results showed that the average expression levels of four genes in leaf were significantly down-regulated under low nitrogen stress, whereas the average expression levels of four genes in root were significantly up-regulated under low nitrogen stress (Figure 6). The results showed that the expression of these genes measured by qRT-PCR was in good agreement with the RNA-seq results. Consequently, the RNA-seq data we obtained were trustworthy.

3. Discussion

3.1. Response to Low Nitrogen Stress by Morphological Changes

Nitrogen is an essential nutrient for plant growth and development [17]. Insufficient nitrogen supply adversely influences morphology, limits growth, and decreases biomass in wheat [18,19]. Most plants manifest prominent changes in their leaves and roots when grown under low phosphorus or nitrogen conditions. Plants rely on morphological changes to adapt to nutrient stress, a common finding on plants grown under nutrient stress conditions [20,21,22]. Our results further confirmed that low nitrogen stress inhibited wheat growth. We recorded a remarkable response to low nitrogen stress in wheat seedlings. Low nitrogen treatment significantly decreased wheat seedlings growth parameters, including plant height, leaf area, shoot and root dry weight, and total root length and number. The changes in these parameters suggested that low nitrogen stress has a serious impact on wheat seedlings growth.

3.2. Potential DEGs Play Important Roles in Low Nitrogen Tolerance in Wheat Seedlings

Abiotic stress triggers dramatic molecular responses in plants. In recent years, the molecular mechanism of plant response to abiotic stress has attracted wide attention [23,24,25,26]. In order to obtain the molecular mechanism of wheat seedlings response to low nitrogen stress, RNA-seq analysis was performed. 4348 differentially expressed genes were obtained from the whole wheat seedling in all, and among which 2265 genes (1688 up-regulated and 577 down-regulated) were from roots, and 2083 genes (505 up-regulated and 1578 down-regulated) were from leaves. Our results showed that the gene expression of wheat seedlings changed greatly under low nitrogen stress. Changes in gene expression can lead to changes in the corresponding biological processes. GO enrichment analysis is helpful to highlight the main biological processes in response to stress environment. For example, ‘nitrogen compound metabolism’, ‘carbon metabolism’, and ‘photosynthesis’ were mostly enriched in durum wheat under nitrogen starvation [17]. ‘Metabolic process’, ‘cellular process’, and ‘transport’ were enriched in rice roots and shoots under nitrogen-free conditions [16]. Our results detected ‘oxidation-reduction process’ and ‘metabolic process’ as highly enriched in wheat leaves subjected to low nitrogen stress. Genes involved in ‘carbon–nitrogen lyase activity’ and ‘organic acid catabolic process’ were significantly enriched in wheat seedlings roots. Bi et al. indicated that DEGs associated with these processes might play essential roles in Arabidopsis thaliana adaptation to low nitrogen stress [27]. Therefore, the response of these biological process genes enhances the adaptability of wheat to low nitrogen stress.

3.3. Amino Acid Metabolism, Lipid Metabolism, Energy Metabolism, and Signal Transduction Pathway Play Important Roles Under Low Nitrogen Stress

KEGG pathway analysis can help us to further understand the biological functions of genes and how these genes interact [28]. Previous studies have revealed that many genes participate in nitrogen deficiency or nitrogen-free condition resistance via various amino acid metabolism, lipid metabolism, energy metabolism, and signal transduction pathways [29,30,31]. For example, DEGs associated with amino acid metabolism pathway were mostly represented in sorghum roots under low nitrogen stress, which play a key role in nitrogen uptake and transformation [32]. Protein kinases (PK) are widely involved in the signal transduction and were shown to respond to nitrogen deficiency in Arabidopsis thaliana roots and leaves [17]. In this study, genes related to ‘amino acid metabolism pathway’, ‘lipid metabolism pathway’, ‘energy metabolism pathway’, and ‘signal transduction pathway’ were also identified both in leaves and roots. These results support previous findings that these pathways can form a close-knit signaling network and play vital roles in low nitrogen stress tolerance in plants [28].

3.4. Some Candidate Genes for Plant Low Nitrogen Stress Tolerance Breeding

PsbP protein is an extrinsic component of photosystem II (PSII) and participates in crucial processes such as calcium-ion binding and photosynthesis [33,34]. Studies have shown that genes encoding PsbP protein can serve as signal response factors to various unfavorable external environments [35,36]. In our study, PsbP domain-containing protein 3 (PPD3) gene, a member of the PsbP gene family, was predominantly down-regulated in wheat leaves under low nitrogen stress., Before this, no studies have found that PPD3 gene is regulated in wheat under low nitrogen or nitrogen-free stress. Our results provide a reference for future research.
Transcription factors (TFs) are important factors involved in abiotic stress regulation in plants, and, among them, MYB, WRKY, bHLH, and bZIP families were identified responding to nitrogen stress [37,38]. For example, genes encoding WRKY TFs were up-regulated in rice under nitrogen deficiency [16], MYB TFs were up-regulated in durum wheat under nitrogen starvation [17], and also revealed that NF-Y TFs were induced in wheat under low nitrogen conditions, which play roles in nitrogen uptake and grain yield [39]. Some TFs regulate the pivotal cell process in the response to nitrogen deficiency. Zhang et al. reported that several MYB TFs are associated with the cell development and cell cycle in wheat during nitrogen stress [40]. In this paper, MYB and WRKY were the most prominent. In regard to WRKY family genes, 17 genes were up-regulated in roots under low nitrogen stress, 40 MYB family genes were detected in both the leaves and roots. They were down-regulated in leaves, but up-regulated in roots..Our results suggest that these transcription factors detected in response to low nitrogen stress may contribute to the adaptation or resistance of wheat seedlings to low nitrogen condition.
Asparagine (Asn) play a vital role in nitrogen metabolism, transport, and storage [41]. Asparagine biosynthesis is catalyzed by asparagine synthase (AsnS) in higher plants [42]. Recent studies showed that the AsnS gene family also serves as a response factor to nitrogen and other abiotic stresses [17]. Asparagine synthetase 1 (AS1), a member of the AsnS family, was shown in rice to be expressed mainly in roots in an NH4+-dependent manner [43]. In the present work, several genes belonging to the AsnS gene family were mostly up-regulated in wheat roots under low nitrogen stress. The significant differential expression of AsnS genes in wheat roots under low nitrogen condition may contribute to the synthesis of asparagine, and promote the assimilation and distribution of nitrogen.
Reactive oxygen species (ROS) often accumulates in plants under various abiotic stresses, which leads to the oxidative damage of many cell structures and components [44,45]. In order to protect themselves from oxidative damage, plants have developed an antioxidant defense system consisting of a variety of enzymes. Superoxide dismutase (SOD), peroxidases (POD), and catalases (CAT) are common antioxidant enzymes. Lian et al. have reported that antioxidant defense systems can be induced under low nitrogen stress, and improve the adaptability to low nitrogen environment, by increasing the gene expression levels of SOD, POD, and CAT in rice [46]. Bi et al. also found that several detoxification-associated genes were detected in Arabidopsis under nitrogen stress [27]. In the present study, plenty of POD genes were up-regulated in wheat roots under low nitrogen stress, and several CAT genes were down-regulated in leaves. These genes might improve the adaptability of wheat seedling to low nitrogen environments.

4. Material and Methods

4.1. Plant Material and Growth Conditions

For this study, wheat cultivar Wanmai No. 52 grown in large areas in China, was selected. The wheat seedlings were hydroponically cultured in a greenhouse. After selecting full and uniform seeds, they were sterilized with ethanol (75% v/v) for one min and then washed three times in distilled water, soaked in distilled water and placed in an artificial climate incubator at 25 °C for 24 h without light. Uniformly germinated seeds were selected and placed on a moistened germination paper, and then cultured in a greenhouse at 25 ± 3 °C. At about 5 cm growth height, the robust seedlings were transferred to plastic boxes containing a proper volume of hydroponic nutrient solution (pH 6.0), and were grown afterwards in an incubator at 20/15 °C (day/night) under a 12 h photoperiod until they showed two fully expanded leaves. During the growth period, seedlings were sprayed with distilled water on time. The growth of wheat is shown in Figure S1.

4.2. Experimental Design

The basic nutrient solution was an improved Hoagland nutrient solution. The major elements of nutritional solution are as follows: 4 mM Ca(NO3)2·4H2O, 5 mM KNO3, 1 mM NH4NO3, 1 mM KH2PO4, 2 mM MgSO4 × 7H2O, 0.02 mM FeSO4 × 7H2O + EDTA(Na). The micronutrients of nutritional solution are as follows: 0.005 mM KI, 0.1 mM H3BO3, 0.15 mM MnSO4, 0.05 mM ZnSO4, 0.001 mM Na2MoO4, 0.15 × 10−3 mM CuSO4, 0.19 × 10−3 mM CoCl2. Two-leaf stage seedlings were transferred to different conditions: Standard total nitrogen nutrition (Ca(NO3)2·4H2O+KNO3 + NH4NO3 2 mM, labeled CK), and low-nitrogen stress (Ca(NO3)2·4H2O + KNO3 + NH4NO3 0.2 mM, labeled N-). Except for the total nitrogen concentration, the other components of the solution under low-nitrogen stress were identical to those of the control. Each treatment was applied to 18 plants and repeated 3 times. The incubator was placed in a greenhouse with a 12 h photoperiod and the nutrient solution was renewed every three days. After ten days of treatments, roots and leaves were sampled from CK and N- wheat seedlings, and immediately frozen in liquid nitrogen, and then refrigerate it in the refrigerator with −80 °C until RNA extraction.

4.3. Determination of Morphological Parameters

Morphological parameters (plant height, leaf area, shoot dry weight, root dry weight, total root length and number) were determined from harvested wheat seedlings. Plant height and leaf area were determined following Wan [47]. Leaf area was calculated according to the following formula:
Leaf area (cm2) = leaf length × leaf width/1.2
Roots were scanned with a scanner, and images were analyzed using Win Rhizo to determine total root length and total root number according to Boris [48]. Seedlings dry weight was determined according to Qiu [49].

4.4. Isolation of Total RNA, cDNA Library Construction, and Illumina Sequencing

Total RNA was extracted from roots and leaves by the TRIzol Reagent (Invitrogen, Carlsbad, CA, USA) according to the manufacturer’s instructions. Agilent 2100 Bioanalyzer (Agilent Technologies, Santa Clara, CA, USA) was used to determine RNA concentration and purity. RNA integrity was examined by running gel electrophoresis in 1% (w/v) agarose gel (Invitrogen, CA, USA). The next step is to enrich mRNA from total RNA using Oligo (dT)-conjugated magnetic beads. mRNA was enriched from total RNA using mRNA fragmentation was conducted by ion interruption, giving rise to mRNA fragments of about 200 bp. The first strand of cDNA was synthesized using reverse transcriptase and random primers using the above fragments as templates, and the second strand was synthesized using DNA polymerase I and RNase H. The end of the fragment was connected with the adapter. Then the products were purified and concentrated by polymerase chain reaction (PCR) to form the final cDNA libraries. The libraries were paired-end (PE)-sequenced using next-generation sequencing based on the Illumina HiSeq platform. Sequencing was conducted by Shanghai Personal Biotechnology Co., Ltd. (Shanghai, China). The raw reads were submitted to the NCBI Sequence Read Archive (accession number: PRJNA528563).

4.5. Data Filtering and Mapping of Illumina Reads

To obtain high-quality reads for subsequent analysis, FastQC quality control tool (http://www. bioinformatics.babraham.ac.uk/projects/fastqc/) was used to evaluate the quality of the quality of RNA-seq raw reads. The reads were then filtered using Cutadapt. The process included removing adapter sequences and trimming the bases with a quality score less than Q20 using a 5-bp 3′ to 5′ window. Final reads that are less than 50 bp in length or do not require bases are discarded. A reference genome index was established using Bowtie2 [50], and clean reads were mapped to the reference genome (http://www.ensembl.org/index.html) using Tophat2 [51].

4.6. Enrichment Analysis of DEGs

The DESeq R package was performed to analyze the differential expression in each tissue. At first, we mapped high-quality reads data to the reference genome of wheat (http://www.ensembl.org/) to calculate the number of reads mapped to each gene in each sample. Then these raw read counts were normalized to reads per kilo bases per million reads (RPKM). We use a false discovery rate of 0.05 as the threshold for judging the significance of DEGs. We performed enrichment analysis using GO (http://geneontology.org/) and the KEGG (http://www.genome.jp/kegg). DEGs terms and pathways were calculated using a hypergeometric distribution algorithm with wheat reference genome (Table S5) (http://www.ensembl.org/) as background.

4.7. Quantitative Real-Time PCR Validation

In order to validate the reliability of DEGs obtained from RNA-seq, four DEGs were randomly selected from leaves and roots, respectively, for qRT-PCR analysis. RLI (Ta2776) was used as an internal control. Gene-specific primer pairs were designed using Primer Premier 5.0 software (Premier Biosoft International), and primer information is shown in Table S6. Total RNA from each tissue was extracted as described above. Two micrograms RNA was reverse-transcribed into cDNA using the iScriptTM advanced cDNA Synthesis Kit (Promega, Madison, WI, USA) following RNase-free DNase I (Promega, Madison, WI, USA) treatment. Standard curve for each gene was prepared with several dilutions of cDNA. The qRT-PCR was carried out using SYBR® Green PCR Master Mix (Roche, CH) in a Rotor-Gene 3000 Real Time system (Qiagen, Hilden, Germany). Quantitative PCR reactions cycling conditions were performed as follows: 95 °C for 5 min, followed by 40 cycles at 95 °C for 15 s, 60 °C for 30 s. The relative expression value of the different genes was calculated using 2△△Ct method [52]. The experiment was performed using three biological replicates.

4.8. Statistical Analysis

Statistical analysis of plant morphological data was conducted using SPSS 19.0 (IBM, Chicago, IL, USA). Statistical results were obtained by one-way analysis of variance (ANOVA) followed by Tuckey’s test to evaluate significant treatment effects at significance of p < 0.05. Data presented are means ± standard errors.

5. Conclusions

Our study provides a more comprehensive understanding of the morphological changes and the DEGs in wheat roots and leaves under low nitrogen stress. It was observed that plant height, leaf area, shoot dry weight, root dry weight, total root length and total root number of wheat seedlings were decreased significantly in under nitrogen stress. 2265 and 2083 DEGs were detected in roots and leaves, respectively.In regard to up-regulation and down-regulation, 1688 genes were up-regulated, and 577 genes were down-regulated in roots, while 505 genes were up-regulated, and 1578 genes were down-regulated in leaves. Furthermore, the classification functional enrichment and metabolic pathways of DEGs were shown in this paper. Several key genes and TFs involved in the signal transduction, carbon and nitrogen metabolism, antioxidant activity, and environmental adaptation were identified. Our results will provide useful information to the further research about wheat response to low nitrogen stress.

Supplementary Materials

The following are available online at https://www.mdpi.com/2223-7747/8/4/98/s1; Figure S1: View of wheat seedlings growth in CK and N- groups. Table S1: All expression datasets of DEGs under low N stress in roots. Table S2: All expression datasets of DEGs under low N stress in leaves. Table S3: GO enrichment analysis for DEGs in wheat seedlings under low nitrogen stress (leaf). Table S4: GO enrichment analysis for DEGs in wheat seedlings under low nitrogen stress (root). Table S5: Reference genome information. Table S6: Primer information for qRT-PCR.

Author Contributions

J.W. and K.S. performed the experiments and wrote the manuscript. L.S., Q.Q. and Y.S. helped to revise the manuscript. J.P. and Y.X. involved in designing the research and revised the manuscript. All authors read and approved the manuscript.

Funding

This study was funded by the National Key Research and Development Program of China (2018YFD0200500), Shanghai Science and Technology Commission’s Yangtze River Delta Science and Technology Joint Research Project (17295810062), Shanghai Academy of Agricultural Sciences Outstanding Team Plan (2017(A-03)), Shanghai Science and Technology Commission’s Key Project in Social Development Field (17DZ1202301), Natural Science Foundation of Shanghai (16ZR1431100, 17ZR1431200), and Discipline Construction Project of Shanghai Academy of Agricultural Sciences (Promotion 2019 (22)).

Conflicts of Interest

The authors declare no conflicts of interest.

References

  1. Curci, P.L.; Bergès, H.; Marande, W.; Maccaferri, M.; Tuberosa, R.; Sonnante, G. Asparagine synthetase genes (AsnS1, and AsnS2) in durum wheat: Structural analysis and expression under nitrogen stress. Euphytica 2018, 214, 36. [Google Scholar] [CrossRef]
  2. Zhang, D.; Zhang, Y.; Yang, W.; Miao, G. Biological response of roots in different spring wheat genotypes to low nitrogen stress. Acta Agron. Sin. 2006, 32, 1349–1354. [Google Scholar]
  3. Frink, C.R.; Waggoner, P.E.; Ausubel, J.H. Nitrogen fertilizer: Retrospect and prospect. Proc. Natl. Acad. Sci. USA 1999, 96, 1175–1180. [Google Scholar] [CrossRef] [PubMed]
  4. Hill, J.O.; Simpson, R.J.; Moore, A.D. Morphology and response of roots of pasture species to phosphorus and nitrogen nutrition. Plant Soil 2006, 286, 7–19. [Google Scholar] [CrossRef]
  5. Gruber, B.D.; Giehl, R.F.; Friedel, S.; Von, W.N. Plasticity of the arabidopsis root system under nutrient deficiencies. Plant Physiol. 2013, 163, 161–179. [Google Scholar] [CrossRef] [PubMed]
  6. Trubat, R.; Cortina, J.; Vilagrosa, A. Plant morphology and root hydraulics are altered by nutrient deficiency in Pistacia lentiscus (L.). Trees 2006, 20, 334–339. [Google Scholar] [CrossRef]
  7. Jeuffroy, M.H.; Bouchard, C. Intensity and duration of nitrogen deficiency on wheat grain number. Crop Sci. 1999, 39, 1385–1393. [Google Scholar] [CrossRef]
  8. Xue, Y.F.; Zhang, W.; Liu, D.Y.; Yue, S.C.; Zou, C.Q. Effects of nitrogen management on root morphology and zinc translocation from root to shoot of winter wheat in the field. Field Crops Res. 2014, 161, 38–45. [Google Scholar] [CrossRef]
  9. Rose, T.J.; Impa, S.M.; Rose, M.T.; Pariasca-Tanaka, J.; Mori, A.; Heuer, S.; JohnsonBeebout, S.E.; Wissuwa, M. Enhancing phosphorus and zinc acquisition efficiency in rice: A critical review of root traits and their potential utility in rice breeding. Ann. Bot. 2013, 112, 331–345. [Google Scholar] [CrossRef]
  10. Diao, J.; Liu, H.; Hu, F.; Li, L.; Wang, X.; Gai, C. Transcriptome analysis of immune response in fat greenling (Hexagrammos otakii) against Vibrio harveyi infection. Fish Shellfish Immunol. 2018, 84, 937–947. [Google Scholar] [CrossRef]
  11. Wan, Y.; King, R.; Mitchell, R.A.C.; Hassani-Pak, K.; Hawkesford, M.J. Spatiotemporal expression patterns of wheat amino acid transporters reveal their putative roles in nitrogen transport and responses to abiotic stress. Sci. Rep. 2017, 7, 5461–5474. [Google Scholar] [CrossRef]
  12. Dai, Z.W.; Plessis, A.; Vincent, J.; Duchateau, N.; Besson, A.; Dardevet, M.; Prodhomme, D.; Gibon, Y.; Hilbert, G.; Pailloux, M.; et al. Transcriptional and metabolic alternations rebalance wheat grain storage protein accumulation under variable nitrogen and sulfur supply. Plant J. 2015, 83, 326–343. [Google Scholar] [CrossRef]
  13. Kirkman, M.A.; Miflin, B.J. The nitrate content and amino acid composition of the xylem fluid of spring wheat throughout the growing season. J. Sci. Food Agric. 1979, 30, 653–660. [Google Scholar] [CrossRef]
  14. Lam, H.M.; Hsieh, M.-H.; Coruzzi, G. Reciprocal regulation of distinct asparagine synthetase genes by light and metabolites in Arabidopsis thaliana. Plant J. 1998, 16, 345–353. [Google Scholar] [CrossRef]
  15. Todd, J.; Screen, S.; Crowley, J. Identification and characterization of four distinct asparagine synthetase (AsnS) genes in maize (Zea mays L.). Plant Sci. 2008, 175, 799–808. [Google Scholar] [CrossRef]
  16. Yang, S.Y.; Hao, D.L.; Song, Z.Z.; Yang, G.Z.; Wang, L.; Su, Y.H. RNA-Seq analysis of differentially expressed genes in rice under varied nitrogen supplies. Gene 2015, 555, 305–317. [Google Scholar] [CrossRef]
  17. Curci, P.L.; Cigliano, R.A.; Zuluaga, D.L.; Janni, M.; Sanseverino, W.; Sonnante, G. Transcriptomic response of durum wheat to nitrogen starvation. Sci. Rep. 2017, 7, 1176–1190. [Google Scholar] [CrossRef]
  18. Forde, B.; Lorenzo, H.; Powlson, D.S. The nutritional control of root development. Plant Soil 2001, 232, 51–68. [Google Scholar] [CrossRef]
  19. Werf, A.V.D.; Nuenen, M.V.; Visser, A.J.; Lambers, H. Contribution of physiological and morphological plant traits to a species’ competitive ability at high and low nitrogen supply. Oecologia 1993, 94, 434–440. [Google Scholar] [CrossRef]
  20. Rga, B.; Mensink, M. The Influence of Nitrogen Availability on Growth Parameters of Fast- and Slow-Growing Perennial Grasses; Blackwell Science: Hoboken, NJ, USA, 1991; pp. 161–168. [Google Scholar]
  21. Boot, R.G.A.; Mensink, M. Size and morphology of root systems of perennial grasses from contrasting habitats as affected by nitrogen supply. Plant Soil 1990, 129, 291–299. [Google Scholar] [CrossRef]
  22. Schippers, P.; Olff, H. Biomass partitioning, architecture and turnover of six herbaceous species from habitats with different nutrient supply. Plant Ecol. 2000, 149, 219–231. [Google Scholar] [CrossRef]
  23. Li, X.J.; Guo, C.J.; Lu, W.J.; Duan, W.W.; Zhao, M.; Ma, C.Y. Expression pattern analysis of zinc finger protein genes in wheat (Triticum aestivum L.) under phosphorus deprivation. J. Int. Agric. 2014, 13, 1621–1633. [Google Scholar] [CrossRef]
  24. Li, C.; Li, Y.; Bai, L.; Chaoxing, H.E.; Xianchang, Y.U. Dynamic expression of miRNAs and their targets in the response to drought stress of grafted cucumber seedlings. Hortic. Plant J. 2016, 2, 41–49. [Google Scholar] [CrossRef]
  25. Jun, H.E.; Ren, Y.; Wang, Y. Root morphological and physiological responses of rice seedlings with different tolerance to cadmium stress. Acta Ecol. Sin. 2011, 31, 522–528. [Google Scholar]
  26. Li, H.; Hu, T.; Amombo, E.; Fu, J. Transcriptome profilings of two tall fescue (Festuca arundinacea) cultivars in response to lead (Pb) stress. BMC Genom. 2017, 18, 145. [Google Scholar] [CrossRef]
  27. Bi, Y.M.; Wang, R.L.; Tong, Z.; Rothstein, S.J. Global transcription profiling reveals differential responses to chronic nitrogen stress and putative nitrogen regulatory components in Arabidopsis. BMC Genom. 2007, 8, 281. [Google Scholar] [CrossRef]
  28. Kanehisa, M.; Goto, S.; Kawashima, S.; Okuno, Y.; Hattori, M. The KEGG resource for deciphering the genome. Nucleic Acids Res. 2004, 32, D277–D280. [Google Scholar] [CrossRef]
  29. Stitt, M. Nitrate regulation of metabolism and growth. Curr. Opin. Plant Biol. 1999, 2, 178–186. [Google Scholar] [CrossRef]
  30. Lam, H.M.; Coschigano, K.T.; Oliveira, I.C.; Melo-Oliveira, R.; Coruzzi, G.M. The molecular-genetics of nitrogen assimilation into amino acids in higher plants. Annu. Rev. Plant Physiol. Plant Mol. Biol. 1996, 47, 569–593. [Google Scholar] [CrossRef]
  31. Scheible, W.R.; GonzalezFontes, A.; Lauerer, M.; MullerRober, B.; Caboche, M.; Stitt, M. Nitrate acts as a signal to induce organic acid metabolism and repress starch metabolism in tobacco. Plant Cell 1997, 9, 783–798. [Google Scholar] [CrossRef]
  32. Gelli, M.; Duo, Y.; Konda, A.; Zhang, C.; Holding, D.; Dweikat, I. Identification of differentially expressed genes between sorghum genotypes with contrasting nitrogen stress tolerance by genome-wide transcriptional profiling. BMC Genom. 2014, 15, 179. [Google Scholar] [CrossRef] [PubMed]
  33. Hall, M.; Kieselbach, T.; Sauer, U.H.; Schröder, W.P. Purification, crystallization and preliminary X-ray analysis of PPD6, a PsbP-domain protein from Arabidopsis thaliana. Acta Crystallogr. 2012, 68, 278–280. [Google Scholar]
  34. Bricker, T.M.; Roose, J.L.; Zhang, P.; Frankel, L.K. The PsbP family of proteins. Photosynth. Res. 2013, 116, 235–250. [Google Scholar] [CrossRef] [PubMed]
  35. Liu, J.; Yang, H.; Lu, Q.; Wen, X.; Chen, F.; Peng, L. PsbP-domain protein1, a nuclear-encoded thylakoid lumenal protein, is essential for photosystem I assembly in Arabidopsis. Plant Cell 2012, 24, 4992–5006. [Google Scholar] [CrossRef] [PubMed]
  36. Fey, V.; Wagner, R.; Braütigam, K.; Wirtz, M.; Hell, R.; Dietzmann, A. Retrograde plastid redox signals in the expression of nuclear genes for chloroplast proteins of Arabidopsis thaliana. J. Biol. Chem. 2005, 280, 5318–5328. [Google Scholar] [CrossRef] [PubMed]
  37. Singh, K.B. Transcription factors in plant defense and stress responses. Curr. Opin. Plant Biol. 2002, 5, 430–436. [Google Scholar] [CrossRef]
  38. Wu, W.S.; Chen, B.S. Identifying stress transcription factors using gene expression and TF-gene association data. Bioinform. Biol. Insights 2007, 1, 137–145. [Google Scholar] [CrossRef]
  39. Qu, B.; He, X.; Wang, J.; Zhao, Y.; Teng, W.; Shao, A. A wheat ccaat box-binding transcription factor increases the grain yield of wheat with less fertilizer input. Plant Physiol. 2015, 167, 411–423. [Google Scholar] [CrossRef] [PubMed]
  40. Zhang, L.; Zhao, G.; Jia, J.; Liu, X.; Kong, X. Molecular characterization of 60 isolated wheat MYB genes and analysis of their expression during abiotic stress. J. Exp. Bot. 2012, 63, 203–214. [Google Scholar] [CrossRef]
  41. Gaufichon, L.; Reisdorfcren, M.; Rothstein, S.J. Biological functions of asparagine synthetase in plants. Plant Sci. 2015, 179, 141–153. [Google Scholar] [CrossRef]
  42. Xu, G.; Fan, X.; Miller, A.J. Plant nitrogen assimilation and use efficiency. Annu. Rev. Plant Biol. 2012, 63, 153–182. [Google Scholar] [CrossRef] [PubMed]
  43. Ohashi, M.; Ishiyama, K.; Kojima, S.; Konishi, N.; Nakano, K.; Kanno, K. Asparagine synthetase1, but not asparagine synthetase2, is responsible for the biosynthesis of asparagine following the supply of ammonium to rice roots. Plant Cell Physiol. 2015, 56, 769–778. [Google Scholar] [CrossRef] [PubMed]
  44. Shin, R.; Berg, R.H.; Schachtman, D.P. Reactive Oxygen Species and Root Hairs in Arabidopsis Root Response to Nitrogen, Phosphorus and Potassium Deficiency. Plant Cell Physiol. 2005, 46, 1350–1357. [Google Scholar] [CrossRef]
  45. Apel, K.; Hirt, H. Reactive oxygen species: Metabolism, oxidative stress, and signal transduction. Annu. Rev. Plant Biol. 2004, 55, 373–399. [Google Scholar] [CrossRef] [PubMed]
  46. Lian, X.M.; Wang, S.P.; Zhang, J.W.; Feng, Q.; Zhang, L.D.; Fan, A.L. Expression profiles of 10,422 genes at early stage of low nitrogen stress in rice assayed using a cDNA microarray. Plant Mol. Biol. 2006, 60, 617–631. [Google Scholar] [CrossRef] [PubMed]
  47. Wan, H.S.; Li, J.; Chen, H.H.; Wang, L.L.; Peng, Z.S.; Hu, X.R. Preliminary identification of the biologic characteristics of Chuanmai 42 under different N, P, K concentration. Southwest China J. Agric. Sci. 2007, 20, 281–285. [Google Scholar]
  48. Boris, L.; Tomáš, L.; Manschadi, A.M. Arbuscular mycorrhizae modify winter wheat root morphology and alleviate phosphorus deficit stress. Plant Soil Environ. 2018, 64, 47–52. [Google Scholar] [CrossRef]
  49. Qiu, Z.; Yuan, M.; He, Y.; Li, Y.; Zhang, L. Physiological and transcriptome analysis of He-Ne laser pretreated wheat seedlings in response to drought stress. Sci. Rep. 2017, 7, 6108. [Google Scholar] [CrossRef] [PubMed]
  50. Langmead, B.; Trapnell, C.; Pop, M. Ultrafast and memory-efficient alignment of short DNA sequences to the human genome. Genome Biol. 2009, 10, R25. [Google Scholar] [CrossRef]
  51. Trapnell, C.; Pachter, L.; Salzberg, S.L. TopHat: Discovering splice junctions with RNA-Seq. Bioinformatics 2009, 25, 1105–1111. [Google Scholar] [CrossRef]
  52. Kenneth, J.; Livak, T.D. Analysis of relative gene expression data using real-time quantitative PCR and the 2△△Ct method. Method 2001, 25, 402–408. [Google Scholar]
Figure 1. Volcano Plot of differentially expressed genes (DEGs) between the control and low nitrogen stress of wheat seedlings leaves (a) and roots (b). The two vertical dotted lines are twice of the difference threshold, and the horizontal dotted line represents p-value is 0.05. The red dots indicate the up-regulated genes in this group, the blue dots indicate the down-regulated genes in this group, and the gray dots indicate the non-significant differentially expressed genes. (c) Number of genes up-and down-regulated in leaves and roots. The red column indicate the number of up-regulated genes, while the blue column indicate the number of down-regulated genes.
Figure 1. Volcano Plot of differentially expressed genes (DEGs) between the control and low nitrogen stress of wheat seedlings leaves (a) and roots (b). The two vertical dotted lines are twice of the difference threshold, and the horizontal dotted line represents p-value is 0.05. The red dots indicate the up-regulated genes in this group, the blue dots indicate the down-regulated genes in this group, and the gray dots indicate the non-significant differentially expressed genes. (c) Number of genes up-and down-regulated in leaves and roots. The red column indicate the number of up-regulated genes, while the blue column indicate the number of down-regulated genes.
Plants 08 00098 g001
Figure 2. GO enrichment analysis of DEGs in leaves of wheat seedlings. (a) Biological process; (b) Molecular function; (c) Cellular component. The hypergeometric distribution calculates the p-value which determines the significance of enrichment, and the red line represents the p-value of 0.05.
Figure 2. GO enrichment analysis of DEGs in leaves of wheat seedlings. (a) Biological process; (b) Molecular function; (c) Cellular component. The hypergeometric distribution calculates the p-value which determines the significance of enrichment, and the red line represents the p-value of 0.05.
Plants 08 00098 g002
Figure 3. GO enrichment analysis of DEGs in roots of wheat seedlings. (a) Biological process; (b) Molecular function; (c) Cellular component. The hypergeometric distribution calculates the p-value which determines the significance of enrichment, and the red line represents the p-value of 0.05.
Figure 3. GO enrichment analysis of DEGs in roots of wheat seedlings. (a) Biological process; (b) Molecular function; (c) Cellular component. The hypergeometric distribution calculates the p-value which determines the significance of enrichment, and the red line represents the p-value of 0.05.
Plants 08 00098 g003
Figure 4. KEGG pathway enrichment analysis of DEGs in leaves under N- compared with CK. (a) Cellular processes; (b) Environmental information processing; (c) Genetic information processing; (d) Metabolism; (e) Organismal systems. The hypergeometric distribution calculates the p-value which determines the significance of enrichment, and the red line represents the p-value of 0.05.
Figure 4. KEGG pathway enrichment analysis of DEGs in leaves under N- compared with CK. (a) Cellular processes; (b) Environmental information processing; (c) Genetic information processing; (d) Metabolism; (e) Organismal systems. The hypergeometric distribution calculates the p-value which determines the significance of enrichment, and the red line represents the p-value of 0.05.
Plants 08 00098 g004
Figure 5. KEGG pathway enrichment analysis of DEGs in roots under N- compared with CK. (a) Cellular processes; (b) Environmental information processing; (c) Genetic information processing; (d) Metabolism; (e) Organismal systems. The hypergeometric distribution calculates the p-value which determines the significance of enrichment, and the red line represents the p-value of 0.05.
Figure 5. KEGG pathway enrichment analysis of DEGs in roots under N- compared with CK. (a) Cellular processes; (b) Environmental information processing; (c) Genetic information processing; (d) Metabolism; (e) Organismal systems. The hypergeometric distribution calculates the p-value which determines the significance of enrichment, and the red line represents the p-value of 0.05.
Plants 08 00098 g005
Figure 6. The relative gene expression of eight randomly selected genes examined by qRT-PCR analysis. Different treatments represent: The control (CK), low nitrogen stress (N-). Genes are (a) PsbP domain-containing protein 3; (b) MYB transcription factor 78; (c) Glycine cleavage system p protein; (d) Catalase; (e) WRKY transcription factor; (f) Asparagine synthetase; (g) Peroxidase; (h) MYB 33. Data represent the mean ± SE (n = 3).
Figure 6. The relative gene expression of eight randomly selected genes examined by qRT-PCR analysis. Different treatments represent: The control (CK), low nitrogen stress (N-). Genes are (a) PsbP domain-containing protein 3; (b) MYB transcription factor 78; (c) Glycine cleavage system p protein; (d) Catalase; (e) WRKY transcription factor; (f) Asparagine synthetase; (g) Peroxidase; (h) MYB 33. Data represent the mean ± SE (n = 3).
Plants 08 00098 g006
Table 1. Effects of low nitrogen stress on plant height, leaf area, shoot dry weight, root dry weight, total root length, and total root number of wheat seedlings. Different treatments represent: The control (CK), low nitrogen stress (N-). The data are from the average of 15 seedlings, for each parameter, mean values (±standard error) are presented.
Table 1. Effects of low nitrogen stress on plant height, leaf area, shoot dry weight, root dry weight, total root length, and total root number of wheat seedlings. Different treatments represent: The control (CK), low nitrogen stress (N-). The data are from the average of 15 seedlings, for each parameter, mean values (±standard error) are presented.
TreatmentPlant Height
(cm)
Leaf Area
(cm2/Plant)
Shoot Dry Weigh
(mg/Plant)
Root Dry Weigh
(mg/Plant)
Total Root Length
(cm/Plant)
Total Root Number
CK26.58 ± 0.60 a14.70 ± 0.17 a30.77 ± 0.27 a23.17 ± 0.57 a57.83 ± 1.31 a8.50 ± 0.26 a
N-19.67 ± 0.56 b10.57 ± 0.24 b23.29 ± 0.32 b14.37 ± 0.76 b33.90 ± 1.25 b6.70 ± 0.03 b
Note: Different letters (a,b) indicate that there are significant differences at 0.05 level according to Tuckey’s test.
Table 2. Summary of RNA-seq data and reads mapping. Different treatment represents: The CK and N- of leaf, the CK and N- of root.
Table 2. Summary of RNA-seq data and reads mapping. Different treatment represents: The CK and N- of leaf, the CK and N- of root.
SampleRaw ReadsClean ReadsQ20 (%)Q30 (%)GC (%)Total MappedMultiple MappedUniquely Mapped
LeafCK45,633,10245,096,75295.2488.7655.3838,073,404 (84.43%)3,068,994 (8.06%)35,004,410 (91.94%)
N-41,236,03240,827,91495.5389.3554.6234,306,913 (84.03%)2,229,665 (6.50%)32,077,248 (93.50%)
RootCK41,250,03240,726,87295.2488.9453.0828,921,761 (71.01%)1,953,811 (6.76%)26,967,950 (93.24%)
N-44,308,46643,721,98695.0088.3954.9233,846,419 (77.41%)1,908,786 (5.64%)31,937,633 (94.36%)

Share and Cite

MDPI and ACS Style

Wang, J.; Song, K.; Sun, L.; Qin, Q.; Sun, Y.; Pan, J.; Xue, Y. Morphological and Transcriptome Analysis of Wheat Seedlings Response to Low Nitrogen Stress. Plants 2019, 8, 98. https://doi.org/10.3390/plants8040098

AMA Style

Wang J, Song K, Sun L, Qin Q, Sun Y, Pan J, Xue Y. Morphological and Transcriptome Analysis of Wheat Seedlings Response to Low Nitrogen Stress. Plants. 2019; 8(4):98. https://doi.org/10.3390/plants8040098

Chicago/Turabian Style

Wang, Jun, Ke Song, Lijuan Sun, Qin Qin, Yafei Sun, Jianjun Pan, and Yong Xue. 2019. "Morphological and Transcriptome Analysis of Wheat Seedlings Response to Low Nitrogen Stress" Plants 8, no. 4: 98. https://doi.org/10.3390/plants8040098

APA Style

Wang, J., Song, K., Sun, L., Qin, Q., Sun, Y., Pan, J., & Xue, Y. (2019). Morphological and Transcriptome Analysis of Wheat Seedlings Response to Low Nitrogen Stress. Plants, 8(4), 98. https://doi.org/10.3390/plants8040098

Note that from the first issue of 2016, this journal uses article numbers instead of page numbers. See further details here.

Article Metrics

Back to TopTop